Next Article in Journal
Roles of Arbuscular mycorrhizal Fungi as a Biocontrol Agent in the Control of Plant Diseases
Previous Article in Journal
Oxidative Stress in Chronic Hepatitis B—An Update
 
 
Font Type:
Arial Georgia Verdana
Font Size:
Aa Aa Aa
Line Spacing:
Column Width:
Background:
Article

Bacteria Halotolerant from Karst Sinkholes as a Source of Biosurfactants and Bioemulsifiers

by
Félix Maldonado Desena
1,
Navila De la Cruz Ceferino
1,
Sergio Gómez Cornelio
2,
Carina Alvarez Villagomez
1,
José Luis Herrera Candelario
1 and
Susana De la Rosa García
1,*
1
División Académica de Ciencias Biológicas, Universidad Juárez Autónoma de Tabasco, Carr. Villahermosa-Cardenas Km 0.5, Ranchería Emialiano Zapata, Villahermosa 86150, Tabasco, Mexico
2
Ingeniería en Biotecnología, Universidad Politécnica del Centro, Carretera Federal, Villahermosa-Teapa Km 22.5, Tumbulushal Centro, Villahermosa 86290, Tabasco, Mexico
*
Author to whom correspondence should be addressed.
Microorganisms 2022, 10(7), 1264; https://doi.org/10.3390/microorganisms10071264
Submission received: 27 May 2022 / Revised: 12 June 2022 / Accepted: 16 June 2022 / Published: 21 June 2022
(This article belongs to the Section Environmental Microbiology)

Abstract

:
Halotolerant bacteria with biosurfactant (BS) and bioemulsifiers (BE) activity can coexist in Karstic sinkholes with marine influence. Two sinkholes in the Yucatan peninsula were selected to isolate bacteria with BE and BS activity stable in NaCl. The optimal time, the effect of nitrogen and carbon source in the medium, and the conditions (agitation, pH and salinity) for the production of BS and BE compounds in planktonic and sessile (stimulate the formation of biofilms in cell roller) culture were determined. Eighty strains showed the highest emulsification activity (EI24 ≥ 50%) and drop-collapse ≥ 4 mm. 87% of the strains are moderately halotolerant, and 21% bordered the limit of extreme halotolerance. Twenty-four strains maintained or improved their BS and BE activity under salinity conditions at 5% and 10%, being the most active genera Bacillus, Paenibacillus and Lysinibacillus, identified by sequencing of the 16S rRNA gene. The results show that the nitrogen source positively affects the BS and BE activity, regardless of the type of culture. The sessile culture markedly stimulated BS activity with significant differences. However, we did not find a greater influence on the culture conditions. The results suggest that halotolerant bacteria from sinkholes could be implemented in bioremediation and other biotechnological applications.

1. Introduction

The sinkholes (cenotes) that predominate in the Yucatan Peninsula originated from a geomorphological process called karst, resulting from the dissolution of karst rock with permeability through a low hydraulic gradient, which causes the filtration and accumulation of water, generating a layer of fresh water floating on a mass of saline water, whose principle is the intrusion of seawater [1,2]. The oligotrophic and alkaline conditions of the sinkholes are due to the contribution of carbonates and bicarbonates from groundwater [3], which, with the halocline environment, give rise to a little-explored autochthonous microbial community capable of growing and tolerating high concentrations of chloride ions [4]. In these environments, chemoautotrophic bacteria associated with sediments and submerged walls predominate [5], and in sinkholes with low or no anthropogenic impact (pristine), cultivable populations of Gram-negative bacteria of the genera Pseudomonas, Burkholderia, Sphingomonas and Bacillus have been reported, including strains of the genus Photobacterium of marine origin [6].
Studies on the potential of the microorganisms that inhabit the sinkholes are scarce. Bacteria that produce secondary metabolites, such as bacteriocins, siderophores and biosurfactant compounds with antimicrobial activity have been found [6]. The sinkholes of halotolerant, oligotrophic and alkaline conditions may be of interest in the search for metabolites with biotechnological applications, especially to remediate sites contaminated by hydrocarbons, whose salinity, osmolarity, temperatures and pH conditions are altered, affecting ecosystems and the food chain [7,8].
A variety of microorganisms, such as bacteria, fungi and yeasts, produce biosurfactants (BS), reducing the surface tension between two phases with diverse and low molecular weight compounds, such as glycolipids, polypeptides and lipopeptides [9]. In contrast, bioemulsifiers (BE) that are high molecular weight compounds made up of polysaccharides, lipopolysaccharides and lipoproteins can produce and stabilize emulsifications for a long time [10]. These represent an important alternative to synthetic surfactants [11,12], which are not very effective and are friendly to the environment since they release other types of chemical compounds that, due to their persistence, cause harmful side effects to the environment [13,14].
The nature and performance of BS and BE compounds will depend on the type of microorganism, medium composition and culture conditions in which they are produced. These compounds for bioremediation processes must be produced by innocuous microorganisms, with efficiency in short times and economic culture media [15], low ecotoxicity, and high surface-active and emulsifying activity under conditions environmental extremes (pH, temperature, and salinity). Microorganisms used in bioremediation processes are frequently isolated from contaminated soils or wastewater effluents [16,17]; however, undisturbed sinkholes could be an interesting alternative since the adaptation and survival strategy, particularly under variable conditions, would contribute to the production of BS and BE [13,18], allowing greater bioavailability on various hydrophobic substrates, favouring adherence and therefore the establishment of biofilms. Halotolerant bacteria are a clear example of adaptation to stress conditions since they have various strategies that allow them to withstand wide salinity ranges [19], such as those that prevail in the sinkholes of the Yucatan peninsula.
The microbial communities that proliferate under the particular conditions of the sinkholes of the Yucatan Peninsula may be of interest for various biotechnological applications; in this work, bacteria from two sinkholes with little anthropogenic impact were isolated, and those that produce biosurfactant compounds and stable bioemulsifiers in salinity conditions were selected. For the five bacteria with the highest activity, the time of highest BS and BE activity were determined in planktonic (shaken flask) and sessile (the stimulation of biofilms formation in a rolling bottle system) cultures. After the the time of greatest activity BE (EI24) and BS (drop-collapse) was determined, the composition of the medium (complex carbon and nitrogen sources) and culture conditions (pH, salinity and agitation) were optimized to establish the variables that stimulate the biosynthetic capacity of secondary metabolites with BS and BE activity. These results make it possible to contribute to the large-scale production of biosurfactants under a cultivation system that stimulates the expression and is economically profitable for its potential use in bioremediation, pharmacy, food and biological control, among others.

2. Materials and Methods

2.1. Study Site and Sampling

The sinkholes were selected for easy access and with the least anthropogenic influence that could alter the microbiota. These are located in the archaeo-ecological reserve of Dzibilchaltún at approximately 30 km from the Gulf of Mexico, named by locals as Temozón (21°04′23″ N and 89°36′00″ W) and X′ can ho che (21°04′17″ N and 89°36′26″ W). Samples of water, sediment and wall scraping were collected and transported cold to the laboratory.

2.2. Isolation of Bacteria

Due to the oligotrophic conditions reported for the cenotes of the Yucatan Peninsula, the bacteria were isolated in a trypticase soy agar (TSA) medium diluted to 10% with sinkhole water filtered by a 0.45 μm Millipore membrane and 13.5 g/L of agar were added [6]. From the water samples, 60 μL were taken and inoculated in the culture media; on the other hand, 1 g of each sediment and wall scraping samples were suspended in 9 mL sterile water from the sinkhole. The suspensions were serially diluted (10−1 to 10−4); 60 μL of each dilution was plated and incubated at 35 °C. Colonies with different morphology were transferred to plates with TSA until pure cultures were obtained (Figure S1a). The purity of the isolated was verified by Gram staining and preserved in sterile water and deep-frozen (−80 °C) in trypticase soy broth (TSB) with 25% glycerol added [20].

2.3. Selection of Strains with Biosurfactant (BS) and Bioemulsifying (BE) Activity

For selecting strains with BS and BE activity, 10 mL of the overnight cultures adjusted to an optical density (OD550nm) of 0.13, which corresponds to 1.5 × 108 colony-forming units (CFU), were inoculated in 90 mL of TSB and incubated at 150 rpm, 35 °C for 72 h. After they were centrifuged (5350× g, 30 min, 4 °C), the cell-free supernatants (CFS) were used for the quantification of the emulsifying capacity and the biosurfactant activity.

2.3.1. Emulsifying Activity (EI24)

In test tubes for triplicate, 2 mL of the CFS of each bacterium and 2 mL of n-hexadecane were added and vortexed at 200 rpm for 2 min [21]. The emulsion was left to stand for 24 h in the dark to measure the stable area of emulsification. The emulsification index was defined as the height of the emulsification divided by the total height, expressed as a percentage, and Equation (1) [22] was applied. As a positive control, the commercial surfactants TritonTM X-100 (Merck, Darmstadt, Germany) and Tween 80 (non-ionic surfactants), sodium dodecyl sulphate (SDS) (anionic surfactant) at 1%, were used. Non-inoculated TSB medium was used as negative control.
EI 24 = Height   of   the   emulsion   layer   ( mm ) Total   height   of   the   liquid   column   ( mm ) × 100
The strains with an emulsification index ≥50% were selected. In addition, these emulsions were kept in the dark to evaluate their stability one month and one year later.

2.3.2. Biosurfactant Activity (Drop-Collapse)

In 96-well microplate covers, 2 µL of mineral oil was deposited in each well and stabilized for 24 h on a level surface. Subsequently, 5 µL of the CFSs were placed on the oil monolayer and one minute after application, the size and morphology of the droplet were inspected. Each CFS was evaluated in octuplicate and reported in mm [23]. The strains that caused the collapse of flattened droplets with sizes ≥4 mm were selected. As a positive control, commercial surfactants TritonTM X-100, Tween 80 and SDS were used at their corresponding critical micelle concentration (CMC) for each surfactant.

2.3.3. Stability of BS and BE Activity under Salinity Conditions

The CFS from each strain that presented good emulsifying and surfactant activity, NaCl was added to a final concentration of 5% and 10%, and the emulsifying and biosurfactant activity was re-evaluated. The commercial surfactants TritonTM X-100, Tween 80 and SDS at 1% final concentration were used as a positive control and the TSB medium was used as negative control, and 5% and 10% NaCl were added.

2.3.4. Halotolerance Test

The isolates were cultivated in a salinity gradient of 2.5%, 5%, 7.5%, 10%, 12.5%, 15%, 17.5% and 20% NaCl using TSA as the base medium [23]; and only TSA medium (0.5% NaCl) as control (Figure S1b).

2.3.5. Haemolytic Activity

The blood–agar base medium was sterilized; at about 50 °C, defibrinated blood was added at 5% (v/v) and gently shaken. Subsequently, the blood–agar medium was poured into Petri dishes of 10 × 10 cm, equidistantly, containing 16 metal cylinders, which were removed when the agar gelled. 100 µL of CFS of each strain were placed in the wells, TritonTM X-100 at 1% was used as a positive control, and sterile TSB was used as a negative control. The plates were incubated at 25 °C for 24 h; the diameter of haemolytic halos was evaluated in mm, recording the colour changes around the well [24].

2.4. Motility Test: Swimming and Swarming

The swimming and swarming motility of the selected strains were determined by applying 100 μL of the bacterial suspensions (1.5 × 108 CFU) in a Luria–Bertani medium supplemented with 0.3% bacteriological agar for swimming and 0.7% for swarming, at 35 °C [25,26]. Luria–Bertani medium with 1.5% agar was used as growth control. The motility was recorded as the diameter (cm) of displacement from the point of inoculation at 24 and 48 h.

2.5. Molecular Identification of Bacteria with BS and BE Activity Stable in Salt

Strains with higher BS and BE activity and stability under salinity conditions were identified by amplifying 16S rRNA using primers fD1: AGAGTTT-GATCCTGGCTCAG and rD1: AAGGAGGTGATCCAGCC by PCR [27]. The purified DNA fragments were sent for sequencing. The taxonomic location of the bacterial strains was performed by homology search by comparison with the nucleotide sequences of the 16S rRNA gene reported in the GeneBank (https://www.ncbi.nlm.nih.gov/genbank/; accessed on 15 May 2022) of the National Center for Biotechnology Information (NCBI), using the BLAST sequence analysis tool (http://www.ncbi.nlm.nih.gov/BLAST/; accessed on 15 May 2022). The sequences were deposited in the Genbank database.

2.6. BS and BE Production at Different Times (h) in Planktonic Culture

The selected strains B. vallismortis XHA16, B. siamensis XHA14, Bacillus sp. TZS01, L. fusiformis TZA38 and Paenibacillus sp. XHA18 were grown at 35 °C in TSB. Overnight bacterial cultures were adjusted to OD550nm of 0.13. 100 mL of this culture were added to 900 mL of TSB and incubated at 120 rpm, pH 7 for 96 h. Monitoring in the time of BE and BS activity was performed by taking 35 mL aliquots in triplicate every 24 h up to 96 h, each sample was centrifuged to obtain the CFS, and BE and BS activity was evaluated, as described previously (Section 2.3.1 and Section 2.3.2).

2.7. BS and BE Production at Different Times (h) in Sessile Culture

For sessile culture, 18 mL of TSA at 1.6% were deposited in 100 mL Duran bottles. The bottles were sterilized and then rotated on ice for 5 min to coat the entire internal surface. Overnight bacterial cultures were adjusted to OD550nm of 0.13 and added to the bottles and spread by rotation. The bottles were incubated in a rotary culture system at 7 rotations per minute (rpm) at 35 °C for 24 h, and then 10 mL of fresh TSB culture medium was added [28]. Every 24 h, two bottles were removed to determine the BS and BE activity, up to 96 h, as described in numbers (Section 2.3.1 and Section 2.3.2); in addition, stability at 5 and 10% NaCl was evaluated at the time (h) of the highest BS and BE activity [29].

2.8. Optimization of the Composition of the Culture Medium for BS and BE Activity

The composition of the carbon source for the culture medium was molasses, and yeast extract was the nitrogen source; both represent the fundamental components for the production of BS by bacteria of the Bacillaceae family [30,31]. To determine the appropriate combinations for the production of BS and BE, a 32 factorial design was implemented; F1 corresponds to molasses with three levels 1%, 2% and 3%, and F2 to yeast extract at 0.55%, 1.25% and 2% in planktonic and sessile cultures (Table 1). The assays were performed at the times of highest expression of BS and BE activity (Section 2.6 and Section 2.7), at 7 rpm in sessile and 150 rpm in planktonic cultures at 35 °C. The cultures were centrifuged (5350× g, 30 min, 4 °C), and the pH of the CFSs were determined. BS and BE activity were evaluated as described above (Section 2.3.1 and Section 2.3.2) with the replacement of n-hexadecane by diesel in BE activity.

2.9. Optimization of Sessile and Planktonic Culture Conditions for BS and BE Activity

The pH condition was determined in a pH range of 4 to 10. 100 µL overnight culture adjusted to OD550nm of 0.13 was added to tubes with 9.9 mL of TSB and shaken at 150 rpm for 48 h at 35 °C. Microbial growth was determined at OD550nm. Based on these results, a fractional factorial design of the culture conditions was carried out, with pH values of 6, 7 and 8; salt concentrations at 0.5%, 2.5% and 4.5% and agitation of 4, 7 and 10 rpm in the sessile culture and 120, 150 and 180 rpm in planktonic culture (Table 1). The cultures were then centrifuged (5350× g, 30 min, 4 °C), and the final pH of the CFSs were determined. BS and BE activity were evaluated as described above (Section 2.3.1 and Section 2.3.2), replacing n-hexadecane with diesel.

2.10. Statistical Analysis

The BS and BE activity results were analysed by multiple comparisons of means, performing a one-way analysis of variance (ANOVA), followed by a Tukey test at a significance of p < 0.05. In addition, to optimise the medium and the culture conditions, the response surface method and principal component analysis with the Statistic 7.0 software (Statistic, Stat Soft, Inc, Tulsa, OK, USA).

3. Results and Discussion

3.1. Isolation of Cultivable Bacteria from Sinkhole

The use of a culture medium that mimics the natural environment conditions is essential for the recovery of a greater diversity of microorganisms. From both sinkholes, 170 different strains were isolated. The 109 isolates from the sinkhole X′ can ho che (XH) were recovered from the water samples; from Temozón (TZ), 61 strains were isolated, 5 from wall scrapings, 3 from sediment and 53 from water. The recovery of microorganisms from oligotrophic environments is generally low since less than 10% can be cultivated [32], particularly in undisturbed environments [18].
The low anthropogenic impact of these sinkholes supposes the recovery of native microorganisms since the bacteria isolated from these sinkholes are sensitive to 400 and 500 ppm of heavy metals nickel, copper, lead and mercury. In addition, the low concentration of nitrates in the water is a good indicator of minimal human activity and the incorporation of fertilizers [33].

3.2. Biosurfactant and Bioemulsifying Activity of Strains Isolated from Sinkholes

The 170 strains were evaluated for their emulsifying activity with the n-hexadecane at 24 h and their biosurfactant activity by drop-collapse assay. Most strains isolated from the sinkholes (84%) were able to produce metabolites with BE activity and only 26% with BS activity (Figure 1).
BE activity was observed with a similar percentage of bacteria in both sinkholes, TZ with 85% and XH with 83% (Figure 1); of these, 33.5% produce EI24 ≥ 50%. This suggests that the cultivable microorganisms from these sites can produce metabolites with BE activity, which may be a mechanism to efficiently solubilize low nutrients in this oligotrophic environment [18].
Regarding the BS activity, according to Joy et al. [34], good activity can occur depending on the flattening of the droplet; therefore, those strains with a size ≥4 mm were selected. BS activity in the sinkholes was 29% and 24% for the strains isolated from TZ and XH, respectively (Figure 1). This highlights the higher percentage (33.5%) of the recovered strains with the capacity of producing emulsifications ≥50% and a minor percentage (26%) with surface-active activity (drop-collapse ≥ 4 mm). However, strains producing biosurfactants with the bioemulsifying compound have been documented, but not vice versa, and there is even a strong negative correlation between the measurement of surface and the interfacial tension. Therefore, the BS activity shows the changes in the surface tension, while the BE shows activity in the stability of the emulsification–emulsion systems [35].

3.3. Stability of the BS and BE Activity under Salinity Conditions

The 80 strains with emulsifications (EI24) ≥50% and/or with a surface tension by the drop-collapse ≥ 4 mm, were evaluated at concentrations of 1% to 20% NaCl (Table S1), considering halotolerant those that grow at concentrations above 1% of salt [36]; therefore 94% are halotolerant and only 4% do not tolerate salt. Most active strains grow between 2.5% and 20%, classifying them as moderately halotolerant, more frequent than those growing at 10% NaCl, while 21% border on extreme halotolerant [19,37]. The ability to tolerate salt concentrations by these bacteria from freshwater sinkholes is attributed to their halocline environment [3]. It has also been shown that microorganisms and crustaceans from these sites tolerate moderate salt concentrations, finding some species of marine origin [5,6,38].
The stability of the metabolites responsible for the BS and BE activity under two salinity concentrations were determined. Of the 32 strains from sinkhole XH that presented an EI24 ≥ 50% with n-hexadecane (Table S1), only 17 maintained stable the EI24 at 5% and 10% NaCl; however, in the remaining strains, the loss of emulsification was not greater than 40% (Table S1). Despite the dominance of Gram-negative bacteria in the sinkholes, the Gram-positive presented the most stable emulsifying activities in salinity conditions. In addition, of the 25 strains with EI24 ≥ 50% in the TZ sinkhole, 76% and 72%, maintain emulsifying stability at 5% and 10% NaCl, respectively.
Regarding BS activity, of the 21 strains from the XH sinkhole with biosurfactant activity ≥4 mm, 10 maintained their activity at 5% and seven strains at 10% NaCl. Similar to the BE activity results, Gram-positive bacteria expressed metabolites of a more stable nature under salinity conditions. Similar results were observed in TZ, with better BS activity in 14 and 13 strains at 5% and 10% salt concentrations, respectively; predominantly Gram-negative strains, in contrast to Gram-positive from sinkhole XH (Table S1). This difference in the BS activity and the dominance of a bacterial group in the TZ sinkhole is likely due to the competition for the scarcity of organic matter so that bacteria with the best capacity to sequester and assimilate nutrients will be the most successful [18].
In response to environmental stress, such as salinity, microorganisms trigger the biosynthesis of various metabolic compounds to counteract the effects [39]. In this sense, halotolerant bacteria implement a regulation mechanism by synthesizing and/or accumulating compatible solutes within the cell to maintain the osmotic balance; these osmoregulation mechanisms are used to colonize saline environments [40,41]. Generally, halotolerant bacteria belong to genera, such as Pseudomonas, Flavobacterium, Staphylococcus, Acinetobacter, Vibrio, Micrococcus, Alteromonas, and Bacillus [42]. Similar genera, such as Pseudomonas, Staphylococcus, and Bacillus were found in this study.
The contaminated sites are characterized by high salinity gradients, making their bioremediation difficult by conventional methods. However, the microorganisms that are not halotolerant and used to treat contaminated water and soil can suffer cell lysis since the salt denatures enzymes and dehydrates cells [43]. Therefore, to remedy these sites and marine environments, it was necessary to use halophilic or halotolerant microorganisms that withstand saline environment conditions [44]. Therefore, the high number of halotolerant strains from cenotes and their capacity to produce emulsions (BE) and break the surface tension (BS) at 5 and 10% salt concentration is transcendental.

3.4. Haemolytic Activity of Strains with Stable BS and BE Compound under Salinity Conditions

Haemolytic activity is related to BS activity, and the haemolysis assays are utilized as a quick way to select strains that produce metabolites with BS activity [23]. The rupture of the erythrocyte membrane is due to hydrophilic and hydrophobic nature of the metabolites [45]. Haemolytic activity was evaluated from the CFS obtained at 72 h on 5% blood–agar plates. The results show that 49 of the 80 strains evaluated can break the surface tension with a drop-collapse ≥4 mm and only 23 presented haemolytic activity (Table 2 and Table S1). The largest haemolysis halo was recorded by the XHA02 bacterium (2.7 mm); however, it did not show a notable BS activity (>3 mm) (Table S1). According to other studies, there is no 100% relationship between bacteria with BS activity and those with haemolytic activity, since metabolites that break surface tension do not always cause the haemolysis of erythrocytes. Therefore, the compounds responsible for the haemolytic activity are not necessarily of the biosurfactant type, such as the haemolysin-type exotoxins [46].

3.5. Motility Test: Swimming and Swarming

Previous studies have shown a significant association between the motility mechanisms of bacteria and the BS production, finding strains deficient in BS compounds that do not form swarming, nor do they manage to form biofilm [25]. In the motility tests, it was found that the size of the colony of B. siamensis, B. vallismortis, Bacillus sp. and L. fusiformis spread on the surface of the plate (8.5 cm) from the first 24 h of swimming and swarming with a waxy biofilm, except for L. fusiformis, which presented a type of mucous biofilm. On the other hand, the motility of Paenibacillus sp. presented a circular colony margin and mucosal biofilm with 1.15 cm for swimming at 48 h and swarming with 1.25 cm. Various studies show that lipopeptide-type BS affects bacteria’s growth, helping to assemble multicellular communities [26]. Lipopeptides, such as surfactin and mycosubtilin, contribute to the extension of the bacteria on the surface and decrease surface tension [47], so the swarming activity of strains from sinkholes may be mediated by the production of lipopeptide-type BS.

3.6. Molecular Identification of Strains with Stable BS and BE Activity in Salinity Conditions

The 24 most promising strains for their stable BE and/or BS activity in salinity conditions were identified by gene 16 rRNA sequencing (Table 2 and Figure S2). A variety of genera coincided with those reported as producers of metabolites with BS activity, Pseudomonas, Bacillus and related genera, such as Paenibacillus, Brevibacillus and Lysinibacillus. In this sense, few studies have reported species of the Brevibacillus genus as producers of BS metabolites with EI24 ≥ 50% [48], except under optimized conditions that have an EI24 of 72% [49].
Species identified by gene 16 rRNA, such as B. siamensis, have been associated with BE activity and antifungal activity [50] as plant growth promoters [51] and as bioremediators in salinity conditions [52]. The Bacillus and Psedomonas genera are known for their versatility and ability to colonize different environments and use various substrates due to the diversity of enzymes and metabolites produced, so these genera are highly explored for biotechnological applications. Bacillus sphearicus and B. fusiformis are now relocated to the genus Lysinibacillus for their typical spherical or ellipsoidal endospores [53].
The Lysinibacillus has potential by degrading heavy metals, producing substances that promote plant growth and compounding bioinsecticide [53]. While L. fusiformis isolated from soil contaminated by automobile-mechanic workshops has a notable production of BE metabolites, with EI24 of 65.15% and optimized conditions, it increased to 93.08% [54].
The origin of the bacteria isolated in this study demonstrates the influence of the marine environment on the sinkholes, as is the case of B. vallismortis, which is a strain of marine origin and considered extremophilic [55], with emulsifications greater than 50%; while in this study they were greater than 60%. In addition, their BS activity is attributed to a lipopeptide of the type surfactin and iturin A [56].

3.7. Expression at Different Times of Metabolites with BS and BE Activity in Planktonic and Sessile Cultures

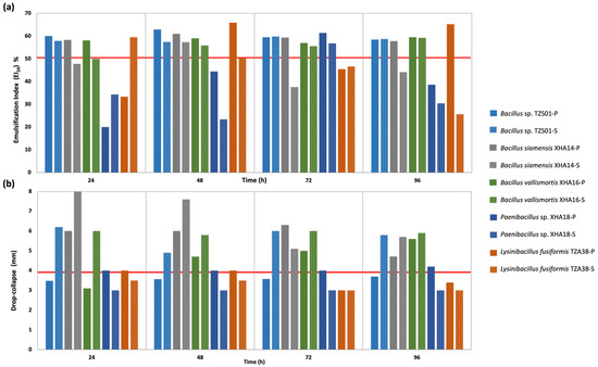
The bacteria B. vallismortis XHA16, B. siamensis XHA14, Bacillus sp. TZS01, L. fusiformis TZA38 and Paenibacillus sp. XHA18 with stable BE and/or BS activity in salinity culture were selected (Table 2) to determine the time of greatest expression of these compounds in planktonic and sessile cultures. In sessile, BE activity with EI24 higher than 59% in diesel substrate between 24 and 96 h was recorded, highlighting L. fusiformis at 24 h, Bacillus sp. at 72 h and B. vallismortis at 96 h (Figure 2a). No significant differences in the production of BE compounds between both cultures were found (p < 0.05). Only B. vallismortis, B. siamensis and Bacillus sp. showed stable emulsifications without significant differences in the times evaluated in the sessile culture. Paenibacillus sp. presented the highest EI24 at 72 h, L. fusiformis at 48 and 96 h and Bacillus sp. at 48 h (EI24 greater than 60%) in the planktonic culture (Figure 2a). In most cases, the bacteria produced BE compounds at different times (h); in contrast, most studies state that the BE compounds are produced at the end of the exponential phase or the beginning of the stationary [57,58,59].
Statistically significant differences were observed in BS activity between the sessile and planktonic cultures (p < 0.05) (Figure 2b). In the planktonic, the highest activity was recorded in four strains after 72 h, ranging from 3.58 (Bacillus sp.) to 6.31 mm (B. siamensis). While in sessile culture, B. siamensis, B. vallismortis and Bacillus sp. presented an activity ≥6 mm from the first 24 h (Figure 2b), contrasting with L. fusiformis and Paenibacillus sp., where the drop-collapse was less than 4 mm from 24 h. However, there was no relationship between BE compounds’ production and the BS activity in sessile culture. The production of BS compounds could contribute to improving the hydrophobicity of the cell surface from the first hours of growth since, in low salinity conditions, bacterial cells balance intra- and extracellular osmotic levels, promoting the expression of bioemulsifiers compounds, accelerating the formation of micelles and with it the increase in the availability of the hydrocarbon, managing to degrade those of long-chain [24].
Most of the values obtained in the EI24 are considerably high, from 24 h to 96 h of culture; this suggests that the types of BE produced by the bacteria at the different times evaluated change the modes of access to the substrate diesel [14,60,61]. In this case, the stability and formation of the emulsion are of importance; therefore, the expression of a surfactant-type compound contributes to the bioremediation process efficiently since the surfactant is absorbed in the interface between water and oil, which reduces the interfacial tension and prevents the coalescence of the droplets, increasing the repulsion forces between them [62]. In addition, high molecular weight bioemulsifiers tightly absorb the hydrocarbons and thus increase their apparent solubility [63].
The salt stability (5% and 10%) of each strain’s BE and BS metabolites at the best expression time in sessile culture was evaluated. In general, it was observed that both BS and BE activity decreased with increasing salt concentration with statistically significant differences (p < 0.05); however, in the EI24 of Bacillus sp. and L. fusiformis there are no significant differences between the BE activity without salt with the two salt concentrations. Results were similar to the species that presented BS activity, where the activity generally decreased with the increase in salt, except B. vallismortis, where the biosurfactant activity increased significantly at 5% NaCl, which could be due to its origin extremophile [55].

3.8. Optimization of the C/N Source in the Medium to Produce BS and BE Compounds in Sessile and Planktonic Cultures

The production and recovery of BS and BE compounds must be efficient and profitable for the industry and their respective biotechnological applications, since the commercial culture media that are frequently used increase production costs [64]. Therefore, the carbon source in the culture medium was replaced by molasses, an economical and easily accessible substrate for microorganisms, and the yeast extract as a nitrogen source, thereby determining the C/N combination and the culture type that influences a greater expression of BS and BE compounds. For BE activity, a positive correlation was found in principal component analysis (PCA) with the different nitrogen concentrations in both planktonic and sessile cultures (Table S2), except for L. fusiformis in the sessile culture (−0.426). While a negative correlation was found with the carbon source in most of the strains, according to the PCA and response surface analyses (RSA), only a positive effect in the BE production of Paenibacillus sp. in planktonic and sessile cultures was observed, and L. fusiformis in sessile culture at high carbon concentration according to RSA (Table S2 and Figure S3). In Euclidean distance analysis groups, the BE activity resulted in the five strains in the sessile culture agglomerating into a single cluster, while planktonic cultures differed in the distances between them (Figure 3a). Although the yeast extract can improve emulsification rates [65], it has been observed to cause a lowered ability to reduce surface tension [66]. However, these results show that the nitrogen source is relevant for producing BE and BS compounds (Table S2), finding that the BE activity at low nitrogen concentrations varies depending on the strain. Therefore, the sustained activity at different nitrogen concentrations may be due to the protein synthesis being blocked by shifting metabolism to carbohydrate synthesis, thus maintaining BS and BE activity [31].
In all the strains, the BE activity in planktonic culture was not recorded for some of the C/N ratios; only L. fusiformis showed activity for nine combinations of C/N with EI24 from 23% up to 55.9% (Figure 3c), except for the lowest concentration of nitrogen and the highest concentration of carbon (CN7); the RSA suggests that adding a higher carbon concentration would increase the BE activity for this strain (Figure S3). The BE activity was stable and consistent (EI24 of 40%) for all the species evaluated with the CN3 composition, the highest yeast extract concentration and low molasses concentration (Figure 3c), suggesting that bacteria efficiently metabolize the low concentration of molasses in planktonic culture. In the sessile culture, the effectiveness of the different carbon and nitrogen source concentrations stands out, with values greater than 35% of EI24 (Figure 3c), except for Bacillus sp. at low nitrogen concentration and high carbon (CN7). In general, no significant differences were observed in the different compositions in sessile culture; those with EI24 greater than 55% were the compositions that included 2% yeast extract and 3% molasses (CN9), and all the compositions of 3% molasses had concentrations greater than 1.25 yeast extract.
The biosurfactant activity measured through the drop-collapse in the optimization of the medium in sessile culture shows that all species of the genus Bacillus have a collapsed droplet size greater than 4.3 mm with statistically significant differences (p < 0.05) in L. fusiformis with a drop-collapse between 3 and 4.1 mm, and Paenibacillus sp. with values less than 3.5 mm in the different C/N combinations (Figure 3d). In planktonic culture, the largest droplet collapse was observed for B. vallismortis, Bacillus sp. and L. fusiformis in the composition CN3 (lowest carbon and highest nitrogen); while for B. siamensis, values of 6.56 mm were found in the minor and intermediate formulation of both sources of C/N (CN5) (Figure 3d). The PCA shows a positive correlation of most species to yeast extract in sessile and planktonic cultures (Table S2), except for B. siamensis and Paenibacillus sp. in the planktonic culture, which registers a negative correlation, and B. vallismortis in sessile culture according to the response surface (Figure S4). For molasses, most species correlation were negative, except for Paenibacillus sp. in planktonic culture and L. fusiformis in a sessile culture which presented a positive correlation. However, no correlation was observed between the two culture types in the BS activity similarity dendrogram (Figure 3b).
The pH of the CFS in planktonic and sessile cultures ranged between 5.49 and 8.76, highlighting that sessile culture with the composition of 0.55% yeast extract and 3% molasses (CN7) had the lowest values of pH for all strains (5.4 to 6.6), except L. fusiformis, which was 7.8. In the case of the planktonic culture, no significant differences were found for the strains B. siamensis and L. fusiformis, since the former had values from 6.3 to 7.2, while the latter had values from 7.7 to 8. The low variability in the pH of the CFSs suggests that the bacteria optimize the various conditions of the medium, maintaining the pH between 6 and 8, which could increase the biosynthesis of BS and BE [67,68,69].

3.9. Optimization of Culture Conditions for the Production of BS and BE Compounds in Sessile and Planktonic Cultures

The effects of agitation, pH and salt concentration to optimize the expression of BS and BE compounds in sessile and planktonic cultures were determined. The values obtained of the BS and BE activity in the culture conditions (Figure 4 and Figure 5) do not exceed the observed in the optimization of the medium (C/N) (Figure 3). Although increasing pH presented a positive effect on surface tension and emulsion stability, according to Abouseud et al. [70], no significant increase in BS and BE activity were observed for any strains; only B. vallismortis in sessile culture showed the highest EI24 (76.6%) under the condition of pH 8 at 10 rpm and with 4.5% NaCl (CC8), surpassing the results found in the other assays (Figure 4a). In B. siamensis and B. vallismortis no effect was observed with the addition of salts, while Paenibacillus sp. and Bacillus sp. have a lower percentage of EI24, with statistically significant differences (p < 0.05) between the different salt concentrations (Figure 4a). In a planktonic culture (Figure 4b), only B. siamensis recorded BE activity in all conditions where agitation was equal to or greater than 150 rpm. Although an increase in drop-collapse and EI24 was not observed with agitation, it was observed that high agitation values kept BE activity stable (Figure 4b), regardless of salinity and pH, and it has been reported that high agitation ranges can improve the production of BS and BE [71].
Regarding collapsed drop, results similar to those found in the production of different times and the optimization of the medium were observed in both sessile (Figure 5a) and planktonic (Figure 5b) cultures; the strains of the genus Bacillus (XHA14, XHA16 and TZS01) showed BS activity ≥4 mm. However, this droplet size fluctuated in different culture conditions, but it usually did not decrease below 5 mm. The ability of the Bacillus genus to produce BS compounds is well known [23,72], where molecular studies of the non-ribosomal peptide synthetase (NRPS) group confirm the chemical nature of a BS belonging to surfactins [73]. In both sessile and planktonic cultures, Paenibacillus sp. and L. fusiformis did not present significant BS activity (≥4 mm) under any culture condition (Figure 5a,b), consistent with the results found in the BS and BE expression at different times, as well as in the optimization of the medium. The importance of sessile culture in the optimization should be highlighted; except L. fusiformis, the rest of the bacteria maintain a BE activity under the different salt and pH conditions. Finally, to our knowledge, this is the first study where the optimization of the C/N source and the sessile culture conditions for the expression of BS and BE type metabolites was carried out.

4. Conclusions

Sinkholes represent a great opportunity for the bioprospection of microorganisms that produce compounds with emulsifying and surfactant activity that are stable over time and tolerate different salinity conditions for possible biotechnological, industrial and commercial applications.
Eighty strains with droplet size ≥4 mm (BS activity) and EI24 ≥ 50% (BE activity) were obtained, of which seventy-seven were considered halotolerant; therefore, in salinity conditions of 5% and 10%, 42 with BE activity and 24 BS activity were stable. Haemolysis results show that strains with BS activity do not necessarily have haemolytic activity.
In the molecular identification, the genera with the highest BS and BE activity were Bacillus, Paenibacillus and Lysinibacillus. The time of greater expression of the BS and BE compounds fluctuated depending on the species; however, B. vallismortis and Bacillus sp. maintained their BE activity at different hours, while BS activity was stable for B. vallismortis, the latter also showed BS and BE activity in different salinity conditions. In optimising the culture medium to evaluate the expression of BS and BE activity, there are no notable significant differences with the commercial culture medium, although a better BS activity was observed in planktonic culture. This study highlights the relevance of the economic substrates used in the tests with promising results for obtaining compounds of interest. It was found that the nitrogen source positively affects BS and BE activity regardless of the culture type. However, in the sessile culture conditions a similar BS activity was observed at the different times evaluated but not in planktonic cultures.
These results conclude that biosurfactants and bioemulsifiers produced by bacteria isolated from sinkholes could have greater advantages in remediation processes than their synthetic counterparts, which form toxic by-products. It should be noted that the metabolites responsible for the BS and BE activity were not purified; even so, they reached values equal to or higher than the purified compounds. Therefore, these strains have high biotechnological potential; however, it is necessary to carry out more tests and evaluation criteria and ensure the purification of the compounds responsible for the BS and BE activities, and in vitro and in situ degradation tests of hydrocarbons or contaminated substrates.

Supplementary Materials

The following supporting information can be downloaded at: https://www.mdpi.com/article/10.3390/microorganisms10071264/s1, Figure S1. Morphology of some strains isolated from sinkholes (a) and NaCl tolerance gradient (b), Figure S2. Evolutionary relationships of taxa. The evolutionary history was inferred using the Neighbour-Joining method. The bootstrap consensus tree inferred from 1000 replicates. Evolutionary analyses were conducted in MEGA X, Figure S3. Response surface to the bioemulsifier of bacteria isolated from sinkholes by different concentrations of C/N in sessile and planktonic culture, Figure S4. Response surface to the biosurfactant activity of bacteria isolated from sinkholes by different concentrations of C/N in sessile and planktonic culture. Table S1. Biosurfactant (drop-collapse ≥ 4 mm) and/or bioemulsifier (EI24 50%) activity stable at different salt concentrations, tolerance to NaCl, pH and haemolytic activity of bacteria isolated from the X′ can ho che (XH) and Temozón (TZ) sinkholes, Table S2. Principal component analysis (PCA) correlations of the collapsed droplet and emulsification index under different combinations of C/N source, in sessile and planktonic bacterial culture conditions.

Author Contributions

Conceptualization, S.D.l.R.G. and S.G.C.; methodology, F.M.D., N.D.l.C.C. and J.L.H.C.; software, S.G.C. and C.A.V.; validation, S.D.l.R.G., C.A.V. and S.G.C.; formal analysis, F.M.D. and S.G.C.; investigation, F.M.D., N.D.l.C.C., S.G.C., C.A.V., J.L.H.C. and S.D.l.R.G.; resources, C.A.V. and S.D.l.R.G.; data curation, S.D.l.R.G., S.G.C. and C.A.V.; writing—original draft preparation, F.M.D., S.D.l.R.G. and S.G.C.; writing—review and editing, N.D.l.C.C., C.A.V., J.L.H.C., S.D.l.R.G. and S.G.C.; visualization, S.D.l.R.G. and S.G.C.; supervision, S.D.l.R.G.; project administration, S.D.l.R.G.; funding acquisition, S.D.l.R.G. All authors have read and agreed to the published version of the manuscript.

Funding

This research was funded by Consejo Nacional de Ciencia y Tecnología (CONACYT, MX), grant number 283643.

Institutional Review Board Statement

Not applicable.

Informed Consent Statement

Not applicable.

Data Availability Statement

Not applicable.

Acknowledgments

The authors thank the technical support of biologist Quetzalí Pérez Regil, biotechnologists Francisco J. Ortega Morales and Adolfo Cárdenas Brabata, and Carlos A. Álvarez for his statistical guidance.

Conflicts of Interest

The authors declare no conflict of interest. The funders had no role in the design of the study; in the collection, analyses, or interpretation of data; in the writing of the manuscript, or in the decision to publish the results.

References

  1. Perry, E.C.; Velazquez-Oliman, G.; Leal-Bautista, R.M.; Dunning, N. The Icaiche Formation: Major contributor to the stratigraphy, hydrogeochemistry and geomorphology of the northern Yucatán peninsula, Mexico. Bol. Soc. Geol. Mex. 2019, 71, 741–760. [Google Scholar] [CrossRef]
  2. Bauer-Gottwein, P.; Gondwe, B.R.; Charvet, G.; Marín, L.E.; Rebolledo-Vieyra, M.; Merediz-Alonso, G. The Yucatán Peninsula karst aquifer, Mexico. Hydrogeol. J. 2011, 19, 507–524. [Google Scholar] [CrossRef]
  3. Schmitter-Soto, J.J.; Comín, F.A.; Escobar-Briones, E.; Herrera-Silveira, J.; Alcocer, J.; Suárez-Morales, E.; Elías-Gutiérrez, M.; Arce-Díaz, V.; Marín, L.E.; Steinich, B. Hydrogeochemical and bilogical characteristics of sinkholes in the Yucatán Peninsula (SE México). Hydrobiologia 2002, 467, 215–228. [Google Scholar] [CrossRef]
  4. Moreno-Pérez, P.A.; Hernández-Téllez, M.; Ramirez-Durán, N.; Gamboa-Angulo, M.; Isaac-Olivé, K. Microorganisms and spatial distribution of the sinkholes of the Yucatan Peninsula, underestimated biotechnological potential? Water Environ. J. 2019, 34, 41–49. [Google Scholar] [CrossRef]
  5. Suárez-Moo, P.; Remes-Rodríguez, C.A.; Márquez-Velázquez, N.A.; Falcón, L.I.; García-Maldonado, J.Q.; Prieto-Davó, A. Changes in the sediment microbial community structure of coastal and inland sinkholes of a karst ecosystem from the Yucatan peninsula. Sci. Rep. 2022, 12, 1110. [Google Scholar] [CrossRef]
  6. De la Rosa-García, S.C.; Muñoz-García, A.A.; Barahona-Pérez, L.F.; Gamboa-Angulo, M.M. Antimicrobial properties of moderately halotolerant bacteria from sinkholes of the Yucatan peninsula. Lett. Appl. Microbiol. 2007, 45, 289–294. [Google Scholar] [CrossRef]
  7. Paria, S. Surfactant-enhanced remediation of organic contaminated soil and water. Adv. Colloid Interface Sci. 2008, 138, 24–58. [Google Scholar] [CrossRef]
  8. Mnif, I.; Sahnoun, R.; Ellouz-Chaabouni, S.; Ghribi, D. Application of bacterial biosurfactants for enhanced removal and biodegradation of diesel oil in soil using a newly isolated consortium. Process Saf. Environ. Prot. 2017, 109, 72–81. [Google Scholar] [CrossRef]
  9. Smyth, T.J.P.; Perfumo, A.; McClean, S.; Marchant, R.; Banat, I.M. Isolation an analysis of lipopeptides and high molecular weight biosurfactants. In Handbook of Hydrocarbon and Lipid Microbiology; Springer: Berlin/Heidelberg, Germany, 2010; pp. 3688–3704. [Google Scholar]
  10. Bach, H.; Gutnick, D.L. Potential applications of bioemulsifiers in the oil industry. In Studies in Surface Science and Catalysis; Elsevier: Amsterdam, The Netherlands, 2004; Volume 151, pp. 233–281. [Google Scholar]
  11. Banat, I.M.; Franzetti, A.; Gandolfi, I.; Bestetti, G.; Martinotti, M.G.; Fracchia, L.; Smyth, T.J.; Marchant, R. Microbial biosurfactants production, applications and future potential. Appl. Microbiol. Biotechnol. 2010, 87, 427–444. [Google Scholar] [CrossRef]
  12. Suryawanshi, Y.; Kaur, G.; Mandavkar, A.; Jena, B. Biosurfactants from soil microorganisms as a possible detergent replacement. Int. J. Res. Appl. Sci. Biotechnol. 2021, 8, 136–143. [Google Scholar] [CrossRef]
  13. Van Hamme, J.D.; Singh, A.; Ward, O.P. Physiological aspects. Part 1 in a series of papers devoted to surfactants in microbiology and biotechnology. Biotechnol. Adv. 2006, 24, 604–620. [Google Scholar] [CrossRef] [PubMed]
  14. Pacwa-Płociniczak, M.; Płaza, G.A.; Piotrowska-Seget, Z.; Cameotra, S.S. Environmental applications of biosurfactants: Recent advances. Int. J. Mol. Sci. 2011, 12, 633–654. [Google Scholar] [CrossRef] [PubMed]
  15. Banat, I.M.; Satpute, S.K.; Cameotra, S.S.; Patil, R.; Nyayanit, N.V. Cost effective technologies and renewable substrates for biosurfactants’ production. Front. Microbiol. 2014, 5, 697. [Google Scholar] [CrossRef] [PubMed] [Green Version]
  16. Panjiar, N.; Sachan, S.G.; Sachan, A. Screening of bioemulsifier-producing micro-organisms isolated from oil-contaminated sites. Ann. Microbiol. 2015, 65, 753–764. [Google Scholar] [CrossRef]
  17. Shavandi, M.; Mohebalia, G.; Haddadib, A.; Shakaramia, H.; Nuhic, A. Emulsification potential of a newly isolated biosurfactant-producing bacterium, Rhodococcus sp. strain TA6. Colloids Surf. B 2011, 82, 477–482. [Google Scholar] [CrossRef]
  18. Bodour, A.; Drees, K.; Maier, R. Distribution of biosurfactant-producing bacteria in undisturbed and contaminated arid southwestern soils. Appl. Environ. Microbiol. 2003, 69, 3280–3287. [Google Scholar]
  19. Oren, A. Microbial life at high salt concentrations: Phylogenetic and metabolic diversity. Saline Syst. 2008, 4, 2. [Google Scholar] [CrossRef] [Green Version]
  20. Kirsop, B.E.; Doyle, A. Maintenance of micro-organisms and cultured cells. In A Manual of Laboratory Methods, 2nd ed.; Academic: London, UK, 1991. [Google Scholar]
  21. Cooper, D.G.; Goldenberg, B.G. Surface-active agents from two Bacillus species. Appl. Environ. Microbiol. 1987, 53, 224–229. [Google Scholar]
  22. Maneerat, S.; Phetrong, K. Isolation of biosurfactant-producing marine bacteria and characteristics of selected biosurfactant. Songklanakarin J. Sci. Technol. 2007, 29, 781–791. [Google Scholar]
  23. Cao, Y.; Zhang, B.; Zhu, Z.; Song, X.; Cai, Q.; Chen, B.; Ye, X. Microbial eco-physiological strategies for salinity-mediated crude oil biodegradation. Sci. Total Environ. 2020, 727, 138723. [Google Scholar] [CrossRef]
  24. Youssef, N.H.; Duncan, K.E.; Nagle, D.P.; Savage, K.N.; Knapp, R.M.; McInerney, M.J. Comparison of methods to detect biosurfactant production by diverse microorganisms. J. Microbiol. Methods. 2004, 56, 339–347. [Google Scholar] [CrossRef] [PubMed]
  25. Bindel Connelly, M.; Young, G.M.; Sloma, A. Extracellular proteolytic activity plays a central role in swarming motility in Bacillus subtilis. J. Bacteriol. 2004, 186, 4159–4167. [Google Scholar] [CrossRef] [PubMed] [Green Version]
  26. Sarwar, A.; Brader, G.; Corretto, E.; Aleti, G.; Abaidullah, M.; Sessitsch, A.; Hafeez, F.Y. Qualitative analysis of biosurfactants from Bacillus species exhibiting antifungal activity. PLoS ONE 2018, 13, e0198107. [Google Scholar]
  27. Weisburg, W.G.; Barns, S.M.; Pelletier, D.A.; Lane, D.J. 16S ribosomal DNA amplification for phylogenetic study. J. Bacteriol. 1991, 173, 697–703. [Google Scholar] [CrossRef] [Green Version]
  28. Yan, L.; Boyd, K.G.; Adams, D.R.; Burgess, J.G. Biofilm-specific cross-species induction of antimicrobial compounds in bacilli. Appl. Environ. Microbiol. 2003, 69, 3719–3727. [Google Scholar] [CrossRef] [Green Version]
  29. Jumpathong, W.; Intra, B.; Euanorasetr, J.; Wanapaisan, P. Biosurfactant-Producing Bacillus velezensis PW192 as an Anti-Fungal Biocontrol Agent against Colletotrichum gloeosporioides and Colletotrichum musae. Microorganisms 2022, 10, 1017. [Google Scholar] [CrossRef]
  30. Saimmai, A.; Sobhon, V.; Maneerat, S. Molasses as a whole medium for biosurfactants production by Bacillus strains and their application. Biotechnol. Appl. Biochem 2011, 165, 315–335. [Google Scholar] [CrossRef]
  31. Hippolyte, M.T.; Augustin, M.; Hervé, T.M.; Robert, N.; Devappa, S. Application of response surface methodology to improve the production of antimicrobial biosurfactants by Lactobacillus paracasei subsp. tolerans N2 using sugar cane molasses as substrate. Bioresour. Bioprocess. 2018, 5, 48. [Google Scholar]
  32. Torsvik, V.L.; Øvreås, L.; Thingstad, T.F. Prokaryotic diversity—Magnitude, dynamics, and controlling factors. Science 2002, 296, 1064–1066. [Google Scholar] [CrossRef] [Green Version]
  33. De la Rosa-García, S. Evaluación del Potencial Antimicrobiano de Microorganismos Aislados de Cenotes de la Península de Yucatán. Ph.D. Thesis, Tesis de Doctorado en Ciencias y Biotecnología en Plantas. CICY, Mérida, Mexico, 2007; p. 184. (In Spanish). [Google Scholar]
  34. Joy, S.; Rahman, P.; Sharma, S. Biosurfactant production and concomitant hydrocarbon degradation potentials of bacteria isolated from extreme and hydrocarbon contaminated environments. Chem. Eng. J. 2017, 317, 232–241. [Google Scholar] [CrossRef]
  35. Varjani, S.; Upasani, V. Critical review on biosurfactant analysis, purification and characterization using rhamnolipid as a model biosurfactant. Bioresour. Technol. 2017, 232, 389–397. [Google Scholar] [CrossRef]
  36. Nanjani, S.G.; Soni, H. Diversity and EPS Production Potential of Halotolerant Bacteria from Veraval and Dwarka. IOSR J. Pharm. Biol. Sci. 2012, 2, 20–25. [Google Scholar] [CrossRef]
  37. Agwu, O.; Oluwagunke, T. Halotolerance of Heterotrophic Bacteria Isolated from Tropical Coastal Waters. Int. J. Sci. Basic Appl. 2014, 16, 224–231. [Google Scholar]
  38. Lopez-Adrian, S.; Herrera-Silviera, J.A. Plankton composition in a sinkholes, Yucatan, Mexico. Verh. Internat. Verein. Limnol. 1994, 25, 1402–1405. [Google Scholar]
  39. Fenical, W. Chemical Studies of Marine Bacteria: Developing a New Resource. Chem. Rev. 1993, 93, 1673–1683. [Google Scholar] [CrossRef]
  40. Shivanand, P.; Mugeraya, G. Halophilic bacteria and their compatible solutes—Osmoregulation and potential applications. Curr. Sci. 2011, 100, 1516–1521. [Google Scholar]
  41. Vaidya, S.; Dev, K.; Sourirajan, A. Distinct Osmoadaptation Strategies in the Strict Halophilic and Halotolerant Bacteria Isolated from Lunsu Salt Water Body of North West Himalayas. Curr. Microbiol. 2018, 75, 888–895. [Google Scholar] [CrossRef] [PubMed]
  42. Hrenovic, J.; Ivankovic, T. Survival of Escherichia coli and Acinetobacter junii at various concentrations of sodium chloride. EurAsian J. BioSci. 2009, 3, 144–151. [Google Scholar] [CrossRef]
  43. Kargi, F.; Dinçer, A.R. Use of halophilic bacteria in biological treatment of saline wastewater by fed-batch operation. Water Environ. Res. 2000, 72, 170–174. [Google Scholar] [CrossRef]
  44. Mainka, T.; Weirathmüller, D.; Herwig, C.; Pflügl, S. Potential applications of halophilic microorganisms for biological treatment of industrial process brines contaminated with aromatics. J. Ind. Microbiol. Biotechnol. 2021, 48, kuab015. [Google Scholar] [CrossRef]
  45. Vinardell, M.P.; Infante, M.R. The relationship between the chain length of non-ionic surfactants and their hemolytic action on human erythrocytes. Comp. Biochem. Physiol. Part C Pharmacol. Toxicol. Endocrinol. 1999, 124, 117–120. [Google Scholar] [CrossRef]
  46. Ogunshe, A.A.O.; Falode, O.A. The Intriguing Extrapolations of Haemolysis Assay as Screening Criterion for Selecting Biosurfactant-Producing Microorganisms in Petroleum Industries Process-Conditions. J. Pet. Environ. Biotechnol. 2021, 8, 431. [Google Scholar]
  47. Luo, C.; Liu, X.; Zhou, X.; Guo, J.; Truong, J.; Wang, X.; Chen, Z. Unusual biosynthesis and structure of locillomycins from Bacillus subtilis 916. Appl. Environ. Microbiol. 2015, 81, 6601–6609. [Google Scholar] [CrossRef] [PubMed] [Green Version]
  48. Reddy, M.S.; Naresh, B.; Leela, T.; Prashanthi, M.; Madhusudhan, N.C.; Dhanasri, G.; Devi, P. Biodegradation of phenanthrene with biosurfactant production by a new strain of Brevibacillus sp. Bioresour. Technol. 2010, 101, 7980–7983. [Google Scholar] [CrossRef]
  49. Vigneshwaran, C.; Sivasubramanian, V.; Vasantharaj, K.; Krishnanand, N.; Jerold, M. Potential of Brevibacillus sp. AVN 13 isolated from crude oil contaminated soil for biosurfactant production and its optimization studies. J. Environ. Chem. Eng. 2018, 6, 4347–4356. [Google Scholar] [CrossRef]
  50. Hussain, T.; Khan, A.A. Determining the antifungal activity and characterization of Bacillus siamensis AMU03 against Macrophomina phaseolina (Tassi) Goid. Indian Phytopathol. 2020, 73, 507–516. [Google Scholar] [CrossRef]
  51. Zouari, I.; Masmoudi, F.; Medhioub, K.; Tounsi, S.; Trigui, M. Biocontrol and plant growth-promoting potentiality of bacteria isolated from compost extract. Antonie Van Leeuwenhoek 2020, 113, 2107–2122. [Google Scholar] [CrossRef] [PubMed]
  52. Zhang, J.; Feng, W.; Xue, Q. Biosurfactant production and oil degradation by Bacillus siamensis and its potential applications in enhanced heavy oil recovery. Int. Biodeterior. Biodegrad. 2022, 169, 105388. [Google Scholar] [CrossRef]
  53. Ahsan, N.; Shimizu, M. Lysinibacillus species: Their potential as Eeffective Bbioremediation, biostimulant, and biocontrol agents. Rev. Agric. Sci. 2021, 9, 103–116. [Google Scholar]
  54. John, W.C.; Ogbonna, I.O.; Gberikon, G.M.; Iheukwumere, C.C. Evaluation of biosurfactant production potential of Lysinibacillus fusiformis MK559526 isolated from automobile-mechanic-workshop soil. Braz. J. Microbiol. 2021, 52, 663–674. [Google Scholar]
  55. Chakraborty, J.; Chakrabarti, S.; Das, S. Characterization and antimicrobial properties of lipopeptide biosurfactants produced by Bacillus subtilis SJ301 and Bacillus vallismortis JB201. Appl. Biochem. Microbiol. 2014, 50, 609–618. [Google Scholar] [CrossRef]
  56. Das, M.; Borah, D.; Patowary, K.; Borah, M.; Khataniar, A.; Kakoti, B.B. Antimicrobial activity of silver nanoparticles synthesised by using microbial biosurfactant produced by a newly isolated Bacillus vallismortis MDU6 strain. IET Nanobiotechnol. 2019, 13, 967973. [Google Scholar] [CrossRef] [PubMed]
  57. Brint, J.M.; Ohman, D.E. Synthesis of multiple exoproducts in Pseudomonas aeruginosa is under the control of RhlR-RhlI, another set of regulators in strain PAO1 with homology to the autoinducer-responsive LuxR-LuxI family. J. Bacteriol. 1995, 177, 7155–7163. [Google Scholar] [CrossRef] [PubMed] [Green Version]
  58. Kim, H.S.; Jeon, J.W.; Lee, H.W.; Park, Y.I.; Seo, W.T.; Oh, H.M.; Yoon, B.D. Extracellular production of a glycolipid biosurfactant, mannosylerythritol lipid, from Candida antarctica. Biotechnol. Lett. 2002, 24, 225–229. [Google Scholar] [CrossRef]
  59. Cha, M.; Lee, N.; Kim, M.; Kim, M.; Lee, S. Heterologous production of Pseudomonas aeruginosa EMS1 biosurfactant in Pseudomonas putida. Bioresour. Technol. 2008, 99, 2192–2199. [Google Scholar] [CrossRef]
  60. Franzetti, A.; Caredda, P.; La Colla, P.; Pintus, M.; Tamburini, E.; Papacchini, M.; Bestetti, G. Cultural factors affecting biosurfactant production by Gordonia sp. BS29. Int. Biodeterior. Biodegrad. 2009, 63, 943–947. [Google Scholar] [CrossRef]
  61. Franzetti, A.; Gandolfi, I.; Bestetti, G.; Smyth, T.J.; Banat, I.M. Production and applications of trehalose lipid biosurfactants. Eur. J. Lipid Sci. Technol. 2010, 112, 617–627. [Google Scholar] [CrossRef]
  62. Perrier-Cornet, J. Comparison of emulsification efficiency of protein-stabilized oil-in-water emulsions using jet, high pressure and colloid mill homogenization. J. Food Eng. 2005, 66, 211–217. [Google Scholar] [CrossRef]
  63. Perfumo, A.; Smyth, T.; Marchant, R.; Banat, I. Production and roles of biosurfactants and bioemulsifiers in accessing hydrophobic substrates. In Handbook of Hydrocarbon and Lipid Microbiology; Springer: Berlin/Heidelberg, Germany, 2010; pp. 1501–1512. [Google Scholar]
  64. Teixeira Souza, K.S.; Gudiña, E.J.; Schwan, R.F.; Rodrigues, L.R.; Dias, D.R.; Teixeira, J.A. Improvement of biosurfactant production by Wickerhamomyces anomalus CCMA 0358 and its potential application in bioremediation. J. Hazard. Mater. 2018, 346, 152–158. [Google Scholar] [CrossRef] [Green Version]
  65. Nurfarahin, A.H.; Mohamed, M.S.; Phang, L.Y. Culture medium development for microbial-derived surfactants production—an overview. Molecules 2018, 23, 1049. [Google Scholar] [CrossRef] [Green Version]
  66. Qazi, M.A.; Malik, Z.A.; Qureshi, G.D.; Hameed, A.; Ahmed, S. Yeast extractas the most preferable substrate for optimized biosurfactant production by rhlB Ggene Positive Pseudomonas putida SOL-10 isolate. Bioremediat. Biodegrad. 2013, 4, 2. [Google Scholar]
  67. Al-Ajlani, M.M.; Sheikh, M.A.; Ahmad, Z.; Hasnain, S. Production of surfactin from Bacillus subtilis MZ-7 grown on pharmamedia commercial medium. Microbial. Cell. Factories 2007, 6, 17. [Google Scholar] [CrossRef] [PubMed] [Green Version]
  68. Abdel-Mawgoud, A.M.; Aboulwafa, M.M.; Hassouna, N.A.H. Microbial production of surfactants: Screening and identification of two promising isolates and their biosurfactants. Egypt. J. Biotechnol. 2007, 27, 166–185. [Google Scholar]
  69. Lee, S.; Lee, J.; Yu, H.; Lim, J. Synthesis of environment friendly biosurfactants and characterization of interfacial properties for cosmetic and household products formulations. Colloids Sur. A Physicochem. Eng. 2018, 536, 224–233. [Google Scholar] [CrossRef]
  70. Abouseoud, M.; Maachi, R.; Amrane, A.; Boudergua, S.; Nabi, A. Evaluation of different carbon and nitrogen sources in production of biosurfactant by Pseudomonas fluorescens. Desalination 2008, 223, 143–151. [Google Scholar] [CrossRef]
  71. Fonseca, R.R.; Silva, A.J.R.; De França, F.P.; Cardoso, V.L.; Sérvulo, E.F.C. Optimizing carbon/nitrogen ratio for biosurfactant production by a Bacillus subtilis strain. Appl. Biochem. Biotecnol. 2007, 7, 471–486. [Google Scholar]
  72. Al-Bahry, S.N.; Al-Wahaibi, Y.M.; Elshafie, A.E.; Al-Bemani, A.S.; Joshi, S.J. Isolation of biosurfactant producing spore-forming bacteria from Oman: Potential applications in bioremediation. Int. J. Earth Sci. 2014, 8, 77–79. [Google Scholar]
  73. Shaligram, S.; Kumbhare, S.V.; Dhotre, D.P.; Muddeshwar, M.G.; Kapley, A.; Joseph, N.; Pawar, S.P. Genomic and functional features of the biosurfactant producing Bacillus sp. AM13. Funct. Integr. Genom. 2016, 16, 557–566. [Google Scholar] [CrossRef]
Figure 1. Bioemulsifying (BS) and biosurfactant (BS) activity, by strains isolated from the X′ can ho che (XH) and Temozon (TZ) sinkholes and their highlighting the EI24 ≥ 50% and drop-collapse ≥ 4 mm.
Figure 1. Bioemulsifying (BS) and biosurfactant (BS) activity, by strains isolated from the X′ can ho che (XH) and Temozon (TZ) sinkholes and their highlighting the EI24 ≥ 50% and drop-collapse ≥ 4 mm.
Microorganisms 10 01264 g001
Figure 2. (a) Bioemulsifying and (b) biosurfactant activity of bacteria strains from sinkholes at different times in planktonic and sessile cultures. Solid bars are planktonic culture (P), dotted bars are sessile culture (S).
Figure 2. (a) Bioemulsifying and (b) biosurfactant activity of bacteria strains from sinkholes at different times in planktonic and sessile cultures. Solid bars are planktonic culture (P), dotted bars are sessile culture (S).
Microorganisms 10 01264 g002
Figure 3. Euclidean distance of the BE (a) and BS (b) activity, and heat map EI24 (c) and drop-collapse (d) of halotolerant bacteria at different concentrations of C/N source in planktonic (P) and sessile (S) cultures.
Figure 3. Euclidean distance of the BE (a) and BS (b) activity, and heat map EI24 (c) and drop-collapse (d) of halotolerant bacteria at different concentrations of C/N source in planktonic (P) and sessile (S) cultures.
Microorganisms 10 01264 g003
Figure 4. Optimization of culture conditions for bioemulsifier activity in sessile (a) and planktonic (b) systems of halotolerant bacteria.
Figure 4. Optimization of culture conditions for bioemulsifier activity in sessile (a) and planktonic (b) systems of halotolerant bacteria.
Microorganisms 10 01264 g004
Figure 5. Optimization of culture conditions for biosurfactant activity, in sessile (a) and planktonic (b) systems of halotolerant bacteria.
Figure 5. Optimization of culture conditions for biosurfactant activity, in sessile (a) and planktonic (b) systems of halotolerant bacteria.
Microorganisms 10 01264 g005
Table 1. Media composition (C/N source) and culture conditions for the BS and BE production of bacteria isolated from sinkholes.
Table 1. Media composition (C/N source) and culture conditions for the BS and BE production of bacteria isolated from sinkholes.
C/N Source Concentration
Composition (%)CN1CN2CN3CN4CN5CN6CN7CN8CN9
Molasses111222333
Yeast extract0.551.2520.551.2520.551.252
Culture Conditions
Culture conditionCC1CC2CC3CC4CC5CC6CC7CC8CC9
NaCl (%)0.50.54.54.50.50.54.54.52.5
pH686868687
Planktonic agitation (rpm)180180180180120120120120150
Sessile agitation (rpm)4444101010107
Table 2. Taxonomy of bacteria strains from two pristine sinkholes of the Yucatan Peninsula selected for their BS and BE activity stable under salinity conditions, NaCl tolerance and haemolytic activity.
Table 2. Taxonomy of bacteria strains from two pristine sinkholes of the Yucatan Peninsula selected for their BS and BE activity stable under salinity conditions, NaCl tolerance and haemolytic activity.
Identification Emulsification Index (%)Drop-Collapse (mm)Haemolytic Activity
StrainSimilarity
(%)
GenBank
Accessions
Nearest Phylogenetic NeighbourTolerance NaCl (%)TSBNaCl
5%
NaCl
10%
TSBNaCl
5%
NaCl
10%
CFS
(mm)
TZA4697.73ON600577Brevibacillus sp.2.565.5163.6257.403.03.03.01.8
XHA1898.37ON600579Paenibacillus sp. *7.565.1561.5961.243.54.94.2(−)
TZA3899.18ON600589Lysinibacillus fusiformis *5.065.1063.2060.334.13.13.4(−)
TZA3494.00ON586647Pseudomonas aeruginosa7.564.3864.4355.793.04.04.02.1
TZA1088.00ON600528Pseudomonas sp.10.064.3853.7950.953.03.03.01.7
XHA9097.46ON600581Bacillus sp.20.063.9462.2262.043.04.03.0(−)
XHA6696.84ON606036Cytobacillus sp.10.063.5762.8961.163.03.03.0(−)
XHA2888.60ON600618Family Bacillaceae17.563.1162.0738.163.03.03.0(−)
TZA2698.63ON600536Staphylococcus epidermidis15.061.6955.826.324.13.03.0(−)
TZA5199.32ON595357Lysinibacillus fusiformis5.061.6161.9158.633.03.03.00.2
TZRP298.83ON600664Serratia rubidaea2.561.5854.9551.803.04.04.0(−)
TZA1199.59ON600582Lysinibacillus sphaericus12.560.2954.5353.793.03.03.0(−)
XHA5398.77ON599339Staphylococcus epidermidis10.059.6653.6853.324.54.03.01.8
XHA7898.83ON600578Pseudomonas parafulva5.059.6041.2736.893.03.03.0(−)
XHA3398.60ON600531Staphylococcus sp.15.059.5058.1041.673.54.04.01.5
TZA5090.70ON606021Family Rhizobiaceae2.558.2758.2454.964.94.04.0(−)
TZS0198.17ON599903Bacillus sp. *12.557.8053.3655.585.96.76.71.2
XHA0698.27ON600721Pseudomonas sp.12.557.7360.9454.956.25.34.71.7
XHA1698.77ON600576Bacillus vallismortis *12.557.7360.9454.9577.87.21.7
XHA1499.11ON600533Bacillus siamensis *12.557.6357.0353.716.77.37.22
TZA0498.84ON600529Bacillus amyloliquefaciens12.556.1154.9552.835.64.04.01.6
TZA1582.30ON606020Family
Sphingobacteriaceae
7.555.9564.3744.943.04.04.5(−)
TZA4795.69ON606022Brevibacillus sp.2.553.0249.8741.353.85.05.3(−)
XHA0198.90ON600876Pseudomonas aeruginosa7.53.2959.9160.074.46.06.02.2
* Strains selected for the BS and BE production trials at different times, optimization of the medium, and culture conditions; (−) No haemolytic activity.
Publisher’s Note: MDPI stays neutral with regard to jurisdictional claims in published maps and institutional affiliations.

Share and Cite

MDPI and ACS Style

Maldonado Desena, F.; De la Cruz Ceferino, N.; Gómez Cornelio, S.; Alvarez Villagomez, C.; Herrera Candelario, J.L.; De la Rosa García, S. Bacteria Halotolerant from Karst Sinkholes as a Source of Biosurfactants and Bioemulsifiers. Microorganisms 2022, 10, 1264. https://doi.org/10.3390/microorganisms10071264

AMA Style

Maldonado Desena F, De la Cruz Ceferino N, Gómez Cornelio S, Alvarez Villagomez C, Herrera Candelario JL, De la Rosa García S. Bacteria Halotolerant from Karst Sinkholes as a Source of Biosurfactants and Bioemulsifiers. Microorganisms. 2022; 10(7):1264. https://doi.org/10.3390/microorganisms10071264

Chicago/Turabian Style

Maldonado Desena, Félix, Navila De la Cruz Ceferino, Sergio Gómez Cornelio, Carina Alvarez Villagomez, José Luis Herrera Candelario, and Susana De la Rosa García. 2022. "Bacteria Halotolerant from Karst Sinkholes as a Source of Biosurfactants and Bioemulsifiers" Microorganisms 10, no. 7: 1264. https://doi.org/10.3390/microorganisms10071264

APA Style

Maldonado Desena, F., De la Cruz Ceferino, N., Gómez Cornelio, S., Alvarez Villagomez, C., Herrera Candelario, J. L., & De la Rosa García, S. (2022). Bacteria Halotolerant from Karst Sinkholes as a Source of Biosurfactants and Bioemulsifiers. Microorganisms, 10(7), 1264. https://doi.org/10.3390/microorganisms10071264

Note that from the first issue of 2016, this journal uses article numbers instead of page numbers. See further details here.

Article Metrics

Back to TopTop