Compromised Effectiveness of Thermal Inactivation of Legionella pneumophila in Water Heater Sediments and Water, and Influence of the Presence of Vermamoeba vermiformis
Abstract
:1. Introduction
2. Materials and Methods
2.1. Preparation of Inocula
2.2. Collection and Concentration of Water Heaters’ Loose Deposits
2.3. Temperature Inactivation Testing
3. Results
3.1. Thermal Inactivation of L. pneumophila and V. vermiformis in Hot Water
3.1.1. Impact of a Short Duration Heat Shock on L. pneumophila in Water
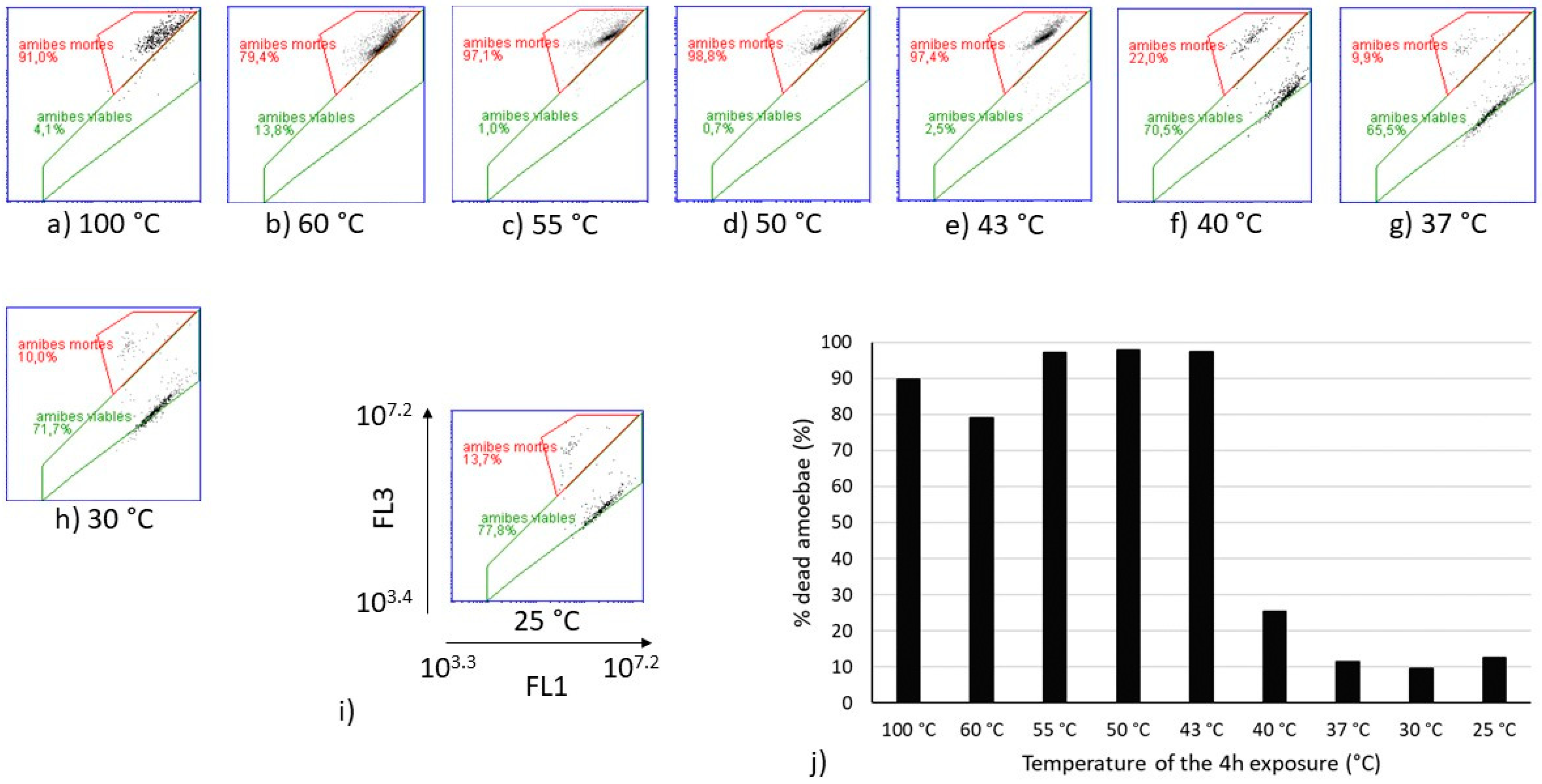
3.1.2. Impact of Elevated Temperatures on the Form and Decay of V. vermiformis in Hot Water
3.2. Thermal Inactivation of L. pneumophila in Loose Deposits of Water Heaters
3.2.1. Heat Exposures of Different Durations
3.2.2. Impact of Repeated Short Heat Shocks
3.3. Resuscitation of L. pneumophila by V. vermiformis in Water Heater Loose Deposits
4. Discussion
4.1. Thermal Heat Shock Inactivation of L. pneumophila and V. vermiformis in Water Heaters and Hot Water Systems
4.2. Thermal Inactivation of L. pneumophila in Water and Hot Water Loose Deposits
- (1)
- passage through the water heater and reservoirs, before returning in the hot water distribution system;
- (2)
- storage in the water heater or reservoirs during periods of low or no use. Temperature conditions will vary depending on the water heater type, hot water demand and stratification. For instance, thermal stratification typically results in 10 to 15 °C lower temperatures in the bottom part of the reservoir of electric water heaters;
- (3)
- exposure in the recirculation loops. In a well-balanced system, a temperature of more than 55 °C should be maintained.
4.3. Resuscitation of L. pneumophila by V. vermiformis after a 4 h-Heat Treatment in Water Heater Loose Deposits
4.4. Limitations of this Study
4.5. Considerations for the Operation of Residential Water Heaters and Hot Water Distribution Systems
5. Conclusions
- Exposure of an environmental strain of L. pneumophila to 60 °C for 1 h led to a 2.5-log to 4-log loss of culturability in simulated drinking water and resuspended water heater loose deposits.
- Exposure to temperatures over 43 °C decreases the viability of V. vermiformis and causes a rapid shift to the dead form.
- Successive daily exposures at 55 °C for 4 h can prevent the growth of culturable L. pneumophila after one week.
- After a 4 h exposure to 55 °C, L. pneumophila concentrations with V. vermiformis are 5 log higher than without host 4 days after the treatment, and concentrations remain constant for at least 3 more days.
- The relevance of meeting regulated, and recommended water heaters and hot water system minimal set temperatures were confirmed.
Supplementary Materials
Author Contributions
Funding
Institutional Review Board Statement
Informed Consent Statement
Acknowledgments
Conflicts of Interest
References
- Boppe, I.; Bédard, E.; Taillandier, C.; Lecellier, D.; Nantel-Gauvin, M.-A.; Villion, M.; Laferrière, C.; Prévost, M. Investigative approach to improve hot water system hydraulics through temperature monitoring to reduce building environmental quality hazard associated to Legionella. Build. Environ. 2016, 108, 230–239. [Google Scholar] [CrossRef] [Green Version]
- Marchesi, I.; Marchegiano, P.; Bargellini, A.; Cencetti, S.; Frezza, G.; Miselli, M.; Borella, P. Effectiveness of different methods to control legionella in the water supply: Ten-year experience in an Italian university hospital. J. Hosp. Infect. 2011, 77, 47–51. [Google Scholar] [CrossRef]
- National Academies of Sciences, Engineering, and Medicine (NASEM). Management of Legionella in Water Systems; The National Academies Press: Washington, DC, USA, 2019; 304p. [Google Scholar]
- Falkinham, J.O. Living with Legionella and Other Waterborne Pathogens. Microorganisms 2020, 8, 2026. [Google Scholar] [CrossRef]
- ASHRAE. Managing the Risk of Legionellosis Associated with Building Water Systems. In ASHRAE Guideline 12-2000; ASHRAE: Atlanta, GA, USA, 2020; 60p. [Google Scholar]
- Van der Kooij, D.; Brouwer-Hanzens, A.J.; Veenendaal, H.R.; Wullings, B.A. Multiplication of Legionella pneumophila Sequence types 1, 47, and 62 in Buffered Yeast Extract Broth and Biofilms Exposed to Flowing Tap Water at Temperatures of 38 degrees C to 42 degrees C. Appl. Env. Microbiol. 2016, 82, 6691–6700. [Google Scholar] [CrossRef] [PubMed] [Green Version]
- Bédard, E.; Paranjape, K.; Lalancette, C.; Villion, M.; Quach, C.; Laferrière, C.; Faucher, S.P.; Prévost, M. Legionella pneumophila levels and sequence-type distribution in hospital hot water samples from faucets to connecting pipes. Water Res. 2019, 156, 277–286. [Google Scholar] [CrossRef] [PubMed]
- Huot, C.; Duchesne, J.-F.; Villeneuve, J. Guide D’Intervention—La Légionellose (Édition 2015); Ministère de la Santé et des Services Sociaux (MSSS): Quebec, QC, Canada, 2015; 147p. [Google Scholar]
- Allegra, S.; Grattard, F.; Girardot, F.; Riffard, S.; Pozzetto, B.; Berthelot, P. Longitudinal Evaluation of the Efficacy of Heat Treatment Procedures against Legionella spp. in Hospital Water Systems by Using a Flow Cytometric Assay. Appl. Environ. Microbiol. 2011, 77, 1268–1275. [Google Scholar] [CrossRef] [PubMed] [Green Version]
- Allegra, S.; Berger, F.; Berthelot, P.; Grattard, F.; Pozzetto, B.; Riffard, S. Use of Flow Cytometry to Monitor Legionella Viability. Appl. Environ. Microbiol. 2008, 74, 7813–7816. [Google Scholar] [CrossRef] [PubMed] [Green Version]
- Dewailly, E.; Joly, J.R. Contamination of domestic water heaters withLegionella pneumophila: Impact of water temperature on growth and dissemination of the bacterium. Toxic. Assess. 1991, 6, 249–257. [Google Scholar] [CrossRef]
- Gavaldà, L.; Garcia-Nuñez, M.; Quero, S.; Gutierrez-Milla, C.; Sabrià, M. Role of hot water temperature and water system use on Legionella control in a tertiary hospital: An 8-year longitudinal study. Water Res. 2018, 149, 460–466. [Google Scholar] [CrossRef]
- Bédard, E.; Boppe, I.; Kouamé, S.; Martin, P.; Pinsonneault, L.; Valiquette, L.; Racine, J.; Prévost, M. Combination of Heat Shock and Enhanced Thermal Regime to Control the Growth of a Persistent Legionella pneumophila Strain. Pathogens 2016, 5, 35. [Google Scholar] [CrossRef] [Green Version]
- Bédard, E.; Fey, S.; Charron, D.; Lalancette, C.; Cantin, P.; Dolcé, P.; Laferrière, C.; Déziel, E.; Prévost, M. Temperature diagnostic to identify high risk areas and optimize Legionella pneumophila surveillance in hot water distribution systems. Water Res. 2015, 71, 244–256. [Google Scholar] [CrossRef] [PubMed]
- Régie du bâtiment du Québec (RBQ). Modifications du Québec Applicables au Code National de la Plomberie Canada 2010; Régie du bâtiment du Québec: Quebec, QC, Canada, 2014; 67p. [Google Scholar]
- Kistemann, T.; Wasser, F. Big Data: Markante Erkenntnisse aus der Legionellen-Routineüberwachung; Sanitär und Heizungstechnik (Sanitary & Heating Construction): Lienz, Austria, 2018; pp. 34–39. [Google Scholar]
- Blanc, D.; Carrara, P.; Zanetti, G.; Francioli, P. Water disinfection with ozone, copper and silver ions, and temperature increase to control Legionella: Seven years of experience in a university teaching hospital. J. Hosp. Infect. 2005, 60, 69–72. [Google Scholar] [CrossRef] [PubMed]
- Whiley, H.; Bentham, R.; Brown, M. Legionella Persistence in Manufactured Water Systems: Pasteurization Potentially Selecting for Thermal Tolerance. Front. Microbiol. 2017, 8, 1330. [Google Scholar] [CrossRef] [PubMed]
- Saby, S.; Vidal, A.; Suty, H. Resistance of Legionella to disinfection in hot water distribution systems. Water Sci. Technol. 2005, 52, 15–28. [Google Scholar] [CrossRef]
- Zacheus, O.M.; Martikainen, P.J. Effect of heat flushing on the concentrations of Legionella pneumophila and other heterotrophic microbes in hot water systems of apartment buildings. Can. J. Microbiol. 1996, 42, 811–818. [Google Scholar] [CrossRef]
- Ji, P.; Rhoads, W.J.; Edwards, M.A.; Pruden, A. Effect of heat shock on hot water plumbing microbiota and Legionella pneumophila control. Microbiome 2018, 6, 30. [Google Scholar] [CrossRef]
- Bartram, J.; Chartier, Y.; Lee, J.V.; Pond, K.; Surman-Lee, S. Legionella and the Prevention of Legionellosis; World Health Organization Press: Geneva, Switzerland, 2007. [Google Scholar]
- Atlas, R.M. Legionella: From environmental habitats to disease pathology, detection and control. Environ. Microbiol. 1999, 1, 283–293. [Google Scholar] [CrossRef]
- Temmerman, R.; Vervaeren, H.; Noseda, B.; Boon, N.; Verstraete, W. Necrotrophic Growth of Legionella pneumophila. Appl. Environ. Microbiol. 2006, 72, 4323–4328. [Google Scholar] [CrossRef] [Green Version]
- Paniagua, A.T.; Paranjape, K.; Hu, M.; Bédard, E.; Faucher, S.P. Impact of temperature on Legionella pneumophila, its protozoan host cells, and the microbial diversity of the biofilm community of a pilot cooling tower. Sci. Total Environ. 2019, 712, 136131. [Google Scholar] [CrossRef]
- Rohr, U.; Weber, S.; Michel, R.; Selenka, F.; Wilhelm, M. Comparison of Free-Living Amoebae in Hot Water Systems of Hospitals with Isolates from Moist Sanitary Areas by Identifying Genera and Determining Temperature Tolerance. Appl. Environ. Microbiol. 1998, 64, 1822–1824. [Google Scholar] [CrossRef] [Green Version]
- Storey, M.V.; Winiecka-Krusnell, J.; Ashbolt, N.; Stenström, T.-A. The Efficacy of Heat and Chlorine Treatment against Thermotolerant Acanthamoebae and Legionellae. Scand. J. Infect. Dis. 2004, 36, 656–662. [Google Scholar] [CrossRef] [PubMed]
- Masangkay, F.; Karanis, P.; Nissapatorn, V. Vermamoeba vermiformis—Global Trend and Future Perspective. In Encyclopedia of Environmental Health, 2nd ed.; Nriagu, J., Ed.; Elsevier: Oxford, OH, USA, 2019; pp. 356–366. [Google Scholar]
- Ji, P.; Rhoads, W.J.; Edwards, M.A.; Pruden, A. Impact of water heater temperature setting and water use frequency on the building plumbing microbiome. ISME J. 2017, 11, 1318–1330. [Google Scholar] [CrossRef] [PubMed] [Green Version]
- Buse, H.Y.; Ji, P.; Gomez-Alvarez, V.; Pruden, A.; Edwards, M.A.; Ashbolt, N.J. Effect of temperature and colonization of Legionella pneumophila and Vermamoeba vermiformis on bacterial community composition of copper drinking water biofilms. Microb. Biotechnol. 2017, 10, 773–788. [Google Scholar] [CrossRef] [PubMed]
- Cervero-Aragó, S.; Rodriguez-Martinez, S.; Canals, O.; Salvadó, H.; Araujo, R.M. Effect of thermal treatment on free-living amoeba inactivation. J. Appl. Microbiol. 2013, 116, 728–736. [Google Scholar] [CrossRef] [Green Version]
- Fouque, E.; Héchard, Y.; Hartemann, P.; Humeau, P.; Trouilhé, M.-C. Sensitivity of Vermamoeba (Hartmannella) vermiformis cysts to conventional disinfectants and protease. J. Water Health 2014, 13, 302–310. [Google Scholar] [CrossRef]
- Farhat, M.; Moletta-Denat, M.; Fr�Re, J.; Onillon, S.; Trouilh�, M.-C.; Robine, E. Effects of Disinfection on Legionella spp., Eukarya, and Biofilms in a Hot Water System. Appl. Environ. Microbiol. 2012, 78, 6850–6858. [Google Scholar] [CrossRef] [Green Version]
- Natural Resources Canada. Water Heater Guide; Natural Resources Canada’s Office of Energy Efficiency: Ottawa, Canada, 2012. [Google Scholar]
- Alary, M.; Joly, J.R. Risk factors for contamination of domestic hot water systems by legionellae. Appl. Environ. Microbiol. 1991, 57, 2360–2367. [Google Scholar] [CrossRef] [Green Version]
- Marrie, T.; Green, P.; Burbridge, S.; Bezanson, G.; Neale, S.; Hoffman, P.S.; Haldane, D. Legionellaceae in the potable water of Nova Scotia hospitals and Halifax residences. Epidemiol. Infect. 1994, 112, 143–150. [Google Scholar] [CrossRef] [Green Version]
- Mathys, W.; Stanke, J.; Harmuth, M.; Junge-Mathys, E. Occurrence of Legionella in hot water systems of single-family residences in suburbs of two German cities with special reference to solar and district heating. Int. J. Hyg. Environ. Health 2008, 211, 179–185. [Google Scholar] [CrossRef]
- Stout, J.E.; Yu, V.L.; Yee, Y.C.; Vaccarello, S.; Diven, W.; Lee, T.C. Legionella pneumophila in residential water supplies: Environmental surveillance with clinical assessment for Legionnaires’ disease. Epidemiol. Infect. 1992, 109, 49–57. [Google Scholar]
- Wallet, F.; Emery, C.; Briand, E.; Cabanes, p.-a. Prevalence of Legionella in domestic hot water systems in homes in France. Environ. Risques Sante 2016, 15, 29–38. [Google Scholar]
- Bédard, E.; Lévesque, S.; Martin, P.; Pinsonneault, L.; Paranjape, K.; Lalancette, C.; Dolcé, C.; Villion, M.; Valiquette, L.; Faucher, S.P.; et al. Energy Conservation and the Promotion of Legionella pneumophila Growth: The Probable Role of Heat Exchangers in a Nosocomial Outbreak. Infect. Control Hosp. Epidemiol. 2016, 37, 1475–1480. [Google Scholar] [CrossRef] [PubMed] [Green Version]
- Bédard, E.; Trigui, H.; Liang, J.; Doberva, M.; Paranjape, K.; Lalancette, C.; Allegra, S.; Faucher, S.P.; Prévost, M. Local Adaptation of Legionella pneumophila within a Hospital Hot Water System Increases Tolerance to Copper. Appl. Environ. Microbiol. 2021, 87, e00242-21. [Google Scholar] [CrossRef] [PubMed]
- Bédard, E.; Prévost, M.; Déziel, E. Pseudomonas aeruginosa in premise plumbing of large buildings. Microbiol. Open 2016, 5, 937–956. [Google Scholar] [CrossRef]
- Sydnor, E.R.M.; Bova, G.; Gimburg, A.; Cosgrove, S.E.; Perl, T.M.; Maragakis, L.L. Electronic-Eye Faucets: Legionella Species Contamination in Healthcare Settings. Infect. Control Hosp. Epidemiol. 2012, 33, 235–240. [Google Scholar] [CrossRef]
- Epalle, T.; Girardot, F.; Allegra, S.; Maurice-Blanc, C.; Garraud, O.; Riffard, S. Viable but Not Culturable Forms of Legionella pneumophila Generated After Heat Shock Treatment Are Infectious for Macrophage-Like and Alveolar Epithelial Cells After Resuscitation on Acanthamoeba polyphaga. Microb. Ecol. 2014, 69, 215–224. [Google Scholar] [CrossRef]
- Scheid, P.L. Vermamoeba vermiformis—A Free-Living Amoeba with Public Health and Environmental Health Significance. Open Parasitol. J. 2019, 7, 40–47. [Google Scholar] [CrossRef]
- Rhoads, W.J.; Ji, P.; Pruden, A.; Edwards, M.A. Water heater temperature set point and water use patterns influence Legionella pneumophila and associated microorganisms at the tap. Microbiome 2015, 3, 67. [Google Scholar] [CrossRef] [Green Version]
- Gatza, E.; Hammes, F.; Prest, E. Assessing water quality with the BD Accuri™ C6 flow cytometer. BD Biosci. 2013, 12. Available online: https://jornades.uab.cat/workshopmrama/sites/jornades.uab.cat.workshopmrama/files/Assessing_water_quality_with_the_BD_Accuri_C6_flow_cytometer.pdf (accessed on 17 January 2022).
- Mi-Ichi, F.; Miyake, Y.; Tam, V.K.; Yoshida, H. A Flow Cytometry Method for Dissecting the Cell Differentiation Process of Entamoeba Encystation. Front. Cell Infect. Microbiol. 2018, 8, 250. [Google Scholar] [CrossRef]
- Borazjani, R.N.; May, L.L.; Noble, J.A.; Avery, S.V.; Ahearn, D.G. Flow Cytometry for Determination of the Efficacy of Contact Lens Disinfecting Solutions against Acanthamoeba spp. Appl. Environ. Microbiol. 2000, 66, 1057–1061. [Google Scholar] [CrossRef] [Green Version]
- Sanden, G.N.; Fields, B.S.; Barbaree, J.M.; Feeley, J.C. Viability ofLegionella pneumophila in choline-free water at elevated temperatures. Curr. Microbiol. 1989, 18, 61–65. [Google Scholar] [CrossRef]
- E Stout, J.; Best, M.G.; Yu, V.L. Susceptibility of members of the family Legionellaceae to thermal stress: Implications for heat eradication methods in water distribution systems. Appl. Environ. Microbiol. 1986, 52, 396–399. [Google Scholar] [CrossRef] [PubMed] [Green Version]
- Körmendy, I. Considerations for calculating heat inactivation processes when semilogarithmic thermal inactivation models are non-linear. J. Food Eng. 1997, 34, 33–40. [Google Scholar] [CrossRef]
- Cervero-Aragó, S.; Rodríguez-Martínez, S.; Puertas-Bennasar, A.; Araujo, R.M. Effect of Common Drinking Water Disinfectants, Chlorine and Heat, on Free Legionella and Amoebae-Associated Legionella. PLoS ONE 2015, 10, e0134726. [Google Scholar] [CrossRef] [Green Version]
- Chang, C.-W.; Hwang, Y.-H.; Cheng, W.-Y. Effects of chlorination and heat disinfection on long-term starved Legionella pneumophila in warm water. J. Appl. Microbiol. 2006, 102, 1636–1644. [Google Scholar] [CrossRef] [PubMed]
- Best, A.; Kwaik, Y.A.; Garsin, D.A. Evolution of the Arsenal of Legionella pneumophila Effectors to Modulate Protist Hosts. Mbio 2018, 9, e01313-18. [Google Scholar] [CrossRef] [PubMed] [Green Version]
- Thomas, V.; Herrera-Rimann, K.; Blanc, D.S.; Greub, G. Biodiversity of Amoebae and Amoeba-Resisting Bacteria in a Hospital Water Network. Appl. Environ. Microbiol. 2006, 72, 2428–2438. [Google Scholar] [CrossRef] [Green Version]
- Fields, B.S.; Fields, S.R.U.; Loy, J.N.C.; White, E.H.; Steffens, W.L.; Shotts, E.B. Attachment and Entry of Legionella pneumophila in Hartmannella vermiformis. J. Infect. Dis. 1993, 167, 1146–1150. [Google Scholar] [CrossRef]
- García, M.T.; Jones, S.; Pelaz, C.; Millar, R.D.; Abu Kwaik, Y. Acanthamoeba polyphaga resuscitates viable non-culturable Legionella pneumophila after disinfection. Environ. Microbiol. 2007, 9, 1267–1277. [Google Scholar] [CrossRef]
- Thomas, J.M.; Ashbolt, N.J. Do free-living Amoebae in treated drinking water systems present an emerging health risk? Environ. Sci. Technol. 2011, 45, 860–869. [Google Scholar] [CrossRef]
- Steinert, M.; Emödy, L.; Amann, R.; Hacker, J. Resuscitation of viable but nonculturable Legionella pneumophila Philadelphia JR32 by Acanthamoeba castellanii. Appl. Environ. Microbiol. 1997, 63, 2047–2053. [Google Scholar] [CrossRef] [PubMed] [Green Version]
- Barker, J.; Scaife, H.; Brown, M.R. Intraphagocytic growth induces an antibiotic-resistant phenotype of Legionella pneumophila. Antimicrob. Agents Chemother. 1995, 39, 2684–2688. [Google Scholar] [CrossRef] [PubMed] [Green Version]
- Cirillo, J.D.; Falkow, S.; Tompkins, L.S. Growth of Legionella pneumophila in Acanthamoeba castellanii enhances invasion. Infect. Immun. 1994, 62, 3254–3261. [Google Scholar] [CrossRef] [PubMed] [Green Version]
- Falkinham, J.O.; Pruden, A.; Edwards, M. Opportunistic Premise Plumbing Pathogens: Increasingly Important Pathogens in Drinking Water. Pathogens 2015, 4, 373–386. [Google Scholar] [CrossRef] [Green Version]
- Buse, H.Y.; Lu, J.; Struewing, I.T.; Ashbolt, N.J. Eukaryotic diversity in premise drinking water using 18S rDNA sequencing: Implications for health risks. Environ. Sci. Pollut. Res. 2013, 20, 6351–6366. [Google Scholar] [CrossRef]
- Cervero-Aragó, S.; Schrammel, B.; Dietersdorfer, E.; Sommer, R.; Lück, C.; Walochnik, J.; Kirschner, A. Viability and infectivity of viable but nonculturable Legionella pneumophila strains induced at high temperatures. Water Res. 2019, 158, 268–279. [Google Scholar] [CrossRef]
- Coulon, C.; Collignon, A.; McDonnell, G.; Thomas, V. Resistance of Acanthamoeba Cysts to Disinfection Treatments Used in Health Care Settings. J. Clin. Microbiol. 2010, 48, 2689–2697. [Google Scholar] [CrossRef] [Green Version]






| Temperature and Time Lapse | k in this Study (h−1) | k in Previous Studies |
|---|---|---|
| From 0 to 24 h, 40 °C | 0 * | |
| From 0 to 24 h, 45 °C | 0 * | k = 0.024 h−1 [50] |
| From 0 to 4 h, 50 °C | 0 * | k = 0.16 h−1 [50] |
| From 4 to 24 h, 50 °C | 0.16 | |
| From 0 to 2 h, 55 °C | 1.6 | k = 4.3 h−1 (measured on 20 min) [50] |
| From 2 to 24 h, 55 °C | 0.034 | |
| From 0 to 1 h, 60 °C | 4.27 | k = 81 h−1 [50] k from 17.6 to 26 h−1 (measured on 20 min) [51] |
Publisher’s Note: MDPI stays neutral with regard to jurisdictional claims in published maps and institutional affiliations. |
© 2022 by the authors. Licensee MDPI, Basel, Switzerland. This article is an open access article distributed under the terms and conditions of the Creative Commons Attribution (CC BY) license (https://creativecommons.org/licenses/by/4.0/).
Share and Cite
Cazals, M.; Bédard, E.; Doberva, M.; Faucher, S.; Prévost, M. Compromised Effectiveness of Thermal Inactivation of Legionella pneumophila in Water Heater Sediments and Water, and Influence of the Presence of Vermamoeba vermiformis. Microorganisms 2022, 10, 443. https://doi.org/10.3390/microorganisms10020443
Cazals M, Bédard E, Doberva M, Faucher S, Prévost M. Compromised Effectiveness of Thermal Inactivation of Legionella pneumophila in Water Heater Sediments and Water, and Influence of the Presence of Vermamoeba vermiformis. Microorganisms. 2022; 10(2):443. https://doi.org/10.3390/microorganisms10020443
Chicago/Turabian StyleCazals, Margot, Emilie Bédard, Margot Doberva, Sébastien Faucher, and Michèle Prévost. 2022. "Compromised Effectiveness of Thermal Inactivation of Legionella pneumophila in Water Heater Sediments and Water, and Influence of the Presence of Vermamoeba vermiformis" Microorganisms 10, no. 2: 443. https://doi.org/10.3390/microorganisms10020443
APA StyleCazals, M., Bédard, E., Doberva, M., Faucher, S., & Prévost, M. (2022). Compromised Effectiveness of Thermal Inactivation of Legionella pneumophila in Water Heater Sediments and Water, and Influence of the Presence of Vermamoeba vermiformis. Microorganisms, 10(2), 443. https://doi.org/10.3390/microorganisms10020443

