Isolation and Characterization of Basidiomycetous Yeasts Capable of Producing Phytase under Oligotrophic Conditions
Abstract
1. Introduction
2. Materials and Methods
2.1. Chemicals and Materials
2.2. Preparation of Soil Extract
2.3. Preparation of Culture Media
2.4. Sampling of Soils and Isolation of PA-Solubilizing Microbes
2.5. Phytase Assay
2.6. Phylogenetic Analysis of the Isolated Strains
3. Results
3.1. Development of Soluble-Phosphate-Free Soil Extract
3.2. Isolation of PA-Hydrolyzing Microbes
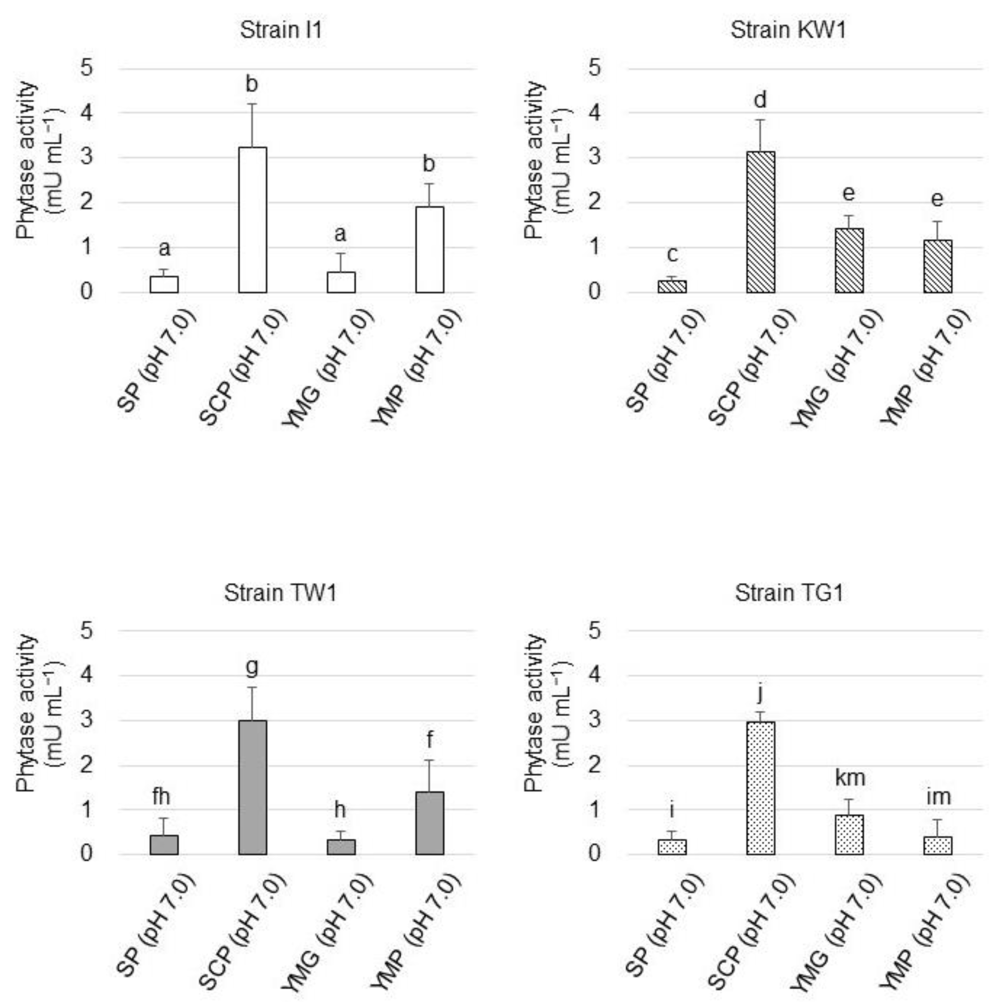
3.3. Phytase Activity of the Isolated Strains
3.4. Phylogenetic Classification of the Isolated Strains
3.5. Phytase Production Mode of the Isolated Strains
4. Discussion
Author Contributions
Funding
Data Availability Statement
Conflicts of Interest
References
- Cordell, D.; Drangert, J.O.; White, S. The story of phosphorus: Global food security and food for thought. Glob. Environ. Change 2009, 19, 292–305. [Google Scholar] [CrossRef]
- Daneshgar, S.; Callegari, A.; Capodaglio, A.G.; Vaccari, D. The potential phosphorus crisis: Resource conservation and possible escape technologies: A review. Resources 2018, 7, 37. [Google Scholar] [CrossRef]
- Ritter, E. Carbon, nitrogen and phosphorus in volcanic soils following afforestation with native birch (Betula pubescens) and introduced larch (Larix sibirica) in Iceland. Plant Soil 2007, 295, 239–251. [Google Scholar] [CrossRef]
- Galvan-Tejada, N.C.; Pena-Ramirez, V.; Mora-Palomino, L.; Siebe, C. Soil P fractions in a volcanic soil chronosequence of Central Mexico and their relationship to foliar P in pine trees. J. Plant Nutr. Soil Sci. 2014, 177, 792–802. [Google Scholar] [CrossRef]
- Lott, J.N.A.; Ockenden, I.; Raboy, V.; Batten, G.D. PA and phosphorus in crop seeds and fruits: A global estimate. Seed Sci. Res. 2000, 10, 11–33. [Google Scholar] [CrossRef]
- Prasad, R.; Chakraborty, D. Phosphorus basics: Understanding phosphorus forms and their cycling in the soil. In Alabama A&M University and Auburn University Extension ANR-2535; The Alabama Cooperative Extension System: Huntsville, AL, USA, 2019; Available online: https://www.aces.edu/wp-content/uploads/2019/04/ANR-2535-Phosphorus-Basics_041719L.pdf (accessed on 30 September 2022).
- Alori, E.T.; Glick, B.R.; Babalola, O.O. Microbial phosphorus solubilization and its potential for use in sustainable agriculture. Front. Microbiol. 2017, 8, 971. [Google Scholar] [CrossRef]
- Jain, J.; Singh, B. Characteristics and biotechnological applications of bacterial phytases. Process Biochem. 2016, 51, 159–169. [Google Scholar] [CrossRef]
- Jatuwong, K.; Suwannarach, N.; Kumla, J.; Penkhrue, W.; Kakumyan, P.; Lumyong, S. Bioprocess for production, characteristics, and biotechnological applications of fungal Phytases. Front. Microbiol. 2020, 11, 118. [Google Scholar] [CrossRef]
- Bhavsar, K.; Khire, J.M. Current research and future perspectives of phytase bioprocessing. RSC Adv. 2014, 4, 26677–26691. [Google Scholar] [CrossRef]
- Amann, R.I.; Ludwig, W.; Schleifer, K.H. Phylogenetic identification and in situ detection of individual microbial cells without cultivation. Microbiol. Rev. 1995, 59, 143–169. [Google Scholar] [CrossRef]
- Buée, M.; Reich, M.; Murat, C.; Morin, E.; Nilsson, R.H.; Uroz, S.; Martin, F. 454 pyrosequencing analyses of forest soils reveal an unexpectedly high fungal diversity. New Phytol. 2009, 184, 449–456. [Google Scholar] [CrossRef] [PubMed]
- Pikovskaya, R.I. Mobilization of phosphorus in soil in connection with the vital activity of some microbial species. Microbiology 1948, 17, 362–370. [Google Scholar]
- Reyes, I.; Bernier, L.; Simard, R.R.; Antoun, H. Effect of nitrogen source on the solubilization of different inorganic phosphates by an isolate of Penicillium rugulosum and two UV-induced mutants. FEMS Micrbiol. Ecol. 1999, 28, 281–290. [Google Scholar] [CrossRef]
- Gadagi, R.S.; Sa, T. New isolation method for microorganisms solubilizing iron and aluminum phosphates using dyes. Soil Sci. Plant Nutr. 2002, 48, 615–618. [Google Scholar] [CrossRef]
- Murphy, J.; Riley, J.P. A modified single solution method for the determination of phosphate in natural waters. Anal. Chim. Acta 1962, 27, 36–39. [Google Scholar] [CrossRef]
- Quan, C.; Zhang, L.; Wang, Y.; Ohta, Y. Affiliations expand production of phytase in a low phosphate medium by a novel yeast Candida krusei. J. Biosci. Bioeng. 2001, 92, 154–160. [Google Scholar] [CrossRef]
- Smith, P.K.; Krohn, R.I.; Hermanson, G.T.; Mallia, A.K.; Gartner, F.H.; Provenzano, M.D.; Fujimoto, E.K.; Goeke, N.M.; Olson, B.J.; Klenk, D.C. Measurement of protein using bicinchoninic acid. Anal. Biochem. 1985, 150, 76–78. [Google Scholar] [CrossRef]
- White, T.J.; Bruns, T.; Lee, S.; Taylor, J.W. Amplification and direct sequencing of fungal ribosomal RNA genes for phylogenetics. In PCR Protocols. A Guide to Methods and Applications; Innis, M.A., Gelfand, D.H., Sninsky, J.J., White, T.J., Eds.; Academic Press: New York, NY, USA, 1990; pp. 315–522. [Google Scholar]
- Jannasch, H.W.; Wirsen, C.; Molyneaux, S.J.; Langworthy, T.A. Extremely thermophilic fermentative Archaebacteria of the genus Desulfurococcus from deep-sea hydrothermal vents. Appl. Environ. Microbiol. 1988, 54, 1203–1209. [Google Scholar] [CrossRef]
- Wei, H.; Xiao, G.; Guenet, B.; Janssens, I.; Shen, W. Soil microbial community composition does not predominantly determine the variance of heterotrophic soil respiration across four subtropical forests. Sci. Rep. 2015, 5, 7854. [Google Scholar] [CrossRef]
- Glatz, M.; Bosshard, P.P.; Hoetzenecker, W.; Schmid-Grendelmeier, P. The role of Malassezia spp. in atopic dermatitis. J. Clin. Med. 2015, 4, 1217–1228. [Google Scholar] [CrossRef]
- Laich, F.; Chavez, R.; Vaca, I. Leucosporidium escuderoi f.a., sp. nov., a basidiomycetous yeast associated with an Antarctic marine sponge. Antonie van Leeuwenhoek 2014, 105, 593–601. [Google Scholar] [CrossRef] [PubMed]
- Gorte, O.; Hollenbach, R.; Papachristou, I.; Steinweg, C.; Silve, A.; Frey, W.; Syldatk, C.; Ochsenreither, K. Evaluation of downstream processing, extraction, and quantification strategies for single cell oil produced by the oleaginous yeasts Saitozyma podzolica DSM 27192 and Apiotrichum porosum DSM 27194. Front. Bioeng. Biotechnol. 2020, 24, 355. [Google Scholar] [CrossRef] [PubMed]
- Abdollahzadeh, J.; Groenewald, J.Z.; Coetzee, M.P.A.; Wingfield, M.J.; Crous, P.W. Evolution of lifestyles in Capnodiales. Stud. Mycol. 2020, 95, 381–414. [Google Scholar] [CrossRef]
- Singh, B.; Kunze, G.; Satyanarayana, T. Developments in biochemical aspects and biotechnological applications of microbial phytases. Biotechnol. Mol. Biol. Rev. 2011, 6, 69–87. [Google Scholar]
- Nuobariene, L.; Hansen, A.S.; Arneborg, N. Isolation and identification of phytase-active yeasts from sourdoughs. LWT Food Sci. Technol. 2012, 48, 190–196. [Google Scholar] [CrossRef]
- Fujita, J.; Yamane, Y.; Fukuda, H.; Kizaki, Y.; Wakabayashi, S.; Shigeta, S.; Suzuki, O.; Ono, K. Production and properties of phytase and acid phosphatase from a Sake Koji Mold, Aspergillus oryzae. J. Biosci. Bioeng. 2003, 95, 348–353. [Google Scholar] [CrossRef]
- Watson, K.; Arthur, H.; Shipton, W.A. Leucosporidium yeasts: Obligate psychrophiles which alter membrane-lipid and cytochrome composition with temperature. J. Gen. Microbiol. 1976, 97, 11–18. [Google Scholar] [CrossRef]
- Turchetti, B.; Onofri, A.; Forti, L.; Buzzini, P. Study of Holtermanniella wattica, Leucosporidium creatinivorum, Naganishia adeliensis, Solicoccozyma aeria, and Solicoccozyma terricola for their lipogenic aptitude from different carbon sources. Biotechnol. Biofuels 2016, 9, 259. [Google Scholar]
- Aliyu, H.; Gorte, O.; Neumann, A.; Ochsenreither, K. Draft genome sequence of the oleaginous yeast Saitozyma podzolica (syn. Cryptococcus podzolicus) DSM 27192. Microbiol. Res. Announc. 2019, 8, e01676-18. [Google Scholar] [CrossRef]
- Guillot, J.; Bond, B. Malassezia yeasts in veterinary dermatology: An updated overview. Front. Cell. Infect. Microbiol. 2020, 10, 79. [Google Scholar] [CrossRef]
- Oh, B.C.; Choi, W.C.; Park, S.; Kim, Y.O.; Oh, T.K. Biochemical properties and substrate specificities of alkaline and histidine acid phytases. Appl. Microbiol. Biotechnol. 2004, 63, 362–372. [Google Scholar] [CrossRef] [PubMed]
- Wu, Y.H.; Hung, K.C.; Patton, J. Assessment and visualization of spatial interpolation of soil pH values in farmland. Precision Agric. 2013, 14, 565–585. [Google Scholar] [CrossRef]
- Cox, N.A.; Cason, J.A.; Buhr, R.J.; Richardson, K.E.; Richardson, L.J.; Rigsby, L.L.; Fedorka-Cray, P.J. Variations in preenrichment pH of poultry feed and feed ingredients after incubation periods up to 48 hours. J. Appl. Poult. Res. 2013, 22, 190–195. [Google Scholar] [CrossRef]
- Hajati, H. Application of organic acids in poultry nutrition. Int. J. Avian Wildl. Biol. 2018, 3, 324–329. [Google Scholar] [CrossRef]






Publisher’s Note: MDPI stays neutral with regard to jurisdictional claims in published maps and institutional affiliations. |
© 2022 by the authors. Licensee MDPI, Basel, Switzerland. This article is an open access article distributed under the terms and conditions of the Creative Commons Attribution (CC BY) license (https://creativecommons.org/licenses/by/4.0/).
Share and Cite
Kurosawa, A.; Nishioka, R.; Aburai, N.; Fujii, K. Isolation and Characterization of Basidiomycetous Yeasts Capable of Producing Phytase under Oligotrophic Conditions. Microorganisms 2022, 10, 2182. https://doi.org/10.3390/microorganisms10112182
Kurosawa A, Nishioka R, Aburai N, Fujii K. Isolation and Characterization of Basidiomycetous Yeasts Capable of Producing Phytase under Oligotrophic Conditions. Microorganisms. 2022; 10(11):2182. https://doi.org/10.3390/microorganisms10112182
Chicago/Turabian StyleKurosawa, Akino, Ryo Nishioka, Nobuhiro Aburai, and Katsuhiko Fujii. 2022. "Isolation and Characterization of Basidiomycetous Yeasts Capable of Producing Phytase under Oligotrophic Conditions" Microorganisms 10, no. 11: 2182. https://doi.org/10.3390/microorganisms10112182
APA StyleKurosawa, A., Nishioka, R., Aburai, N., & Fujii, K. (2022). Isolation and Characterization of Basidiomycetous Yeasts Capable of Producing Phytase under Oligotrophic Conditions. Microorganisms, 10(11), 2182. https://doi.org/10.3390/microorganisms10112182
