It Works! Organic-Waste-Assisted Trichoderma spp. Solid-State Fermentation on Agricultural Digestate
Abstract
:1. Introduction
2. Materials and Methods
2.1. Digestate
2.2. Solid-State Fermentation Substrates
2.3. Physical–Chemical Characterization of Substrates
2.4. Trichoderma spp. Culture Conditions
2.5. Standard Curve for Mycelial Biomass Determination
2.6. Quantification of Trichoderma spp. Biomass
2.7. Lepidium sativum Seed Germination and Root Elongation Assay
3. Results and Discussion
3.1. Evaluation of Fungal Growth on Different SSF Substrates
3.2. Quantification of Trichoderma spp. Biomass Production in SSF
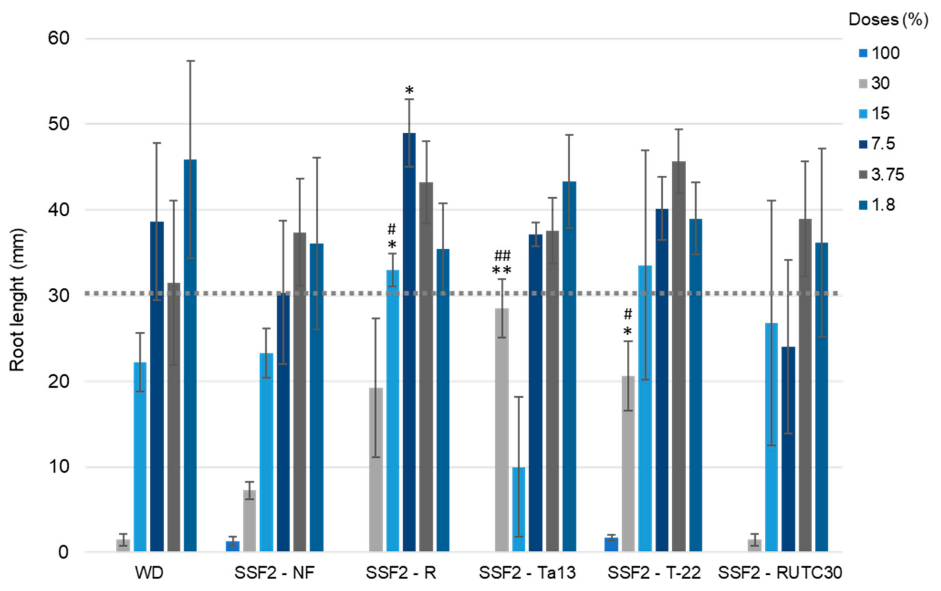
3.3. Effects of Substrates on Seed Germination and Root Elongation
4. Conclusions
Supplementary Materials
Author Contributions
Funding
Institutional Review Board Statement
Informed Consent Statement
Data Availability Statement
Acknowledgments
Conflicts of Interest
References
- European Biogas Association. EBA Statistical Report 2020. 2020. Available online: https://www.europeanbiogas.eu/eba-statistical-report-2020/ (accessed on 8 January 2022).
- European Commission. Digestate and Compost as Organic Fertilisers—Risk Assessment and Risk Management Options. Available online: https://ec.europa.eu/environment/chemicals/reach/pdf/40039%20Digestate%20and%20Compost%20RMOA%20-%20Final%20report%20i2_20190208.pdf (accessed on 3 July 2021).
- The European Parliament and the Council of the European Union. Regulation (EU) 2019/1009 of the European Parliament and of the Council of 5 June 2019 Laying down Rules on the Making Available on the Market of EU Fertilising Products and amneding regulation (EC) No 1069/2009 and (EC) No 1107/2009 and Repealing Regulat; European Parliament: Strasbourg, France, 2019. [Google Scholar]
- Tambone, F.; Orzi, V.; D’Imporzano, G.; Adani, F. Solid and liquid fractionation of digestate: Mass balance, chemical characterization, and agronomic and environmental value. Bioresour. Technol. 2017, 243, 1251–1256. [Google Scholar] [CrossRef]
- Grillo, F.; Piccoli, I.; Furlanetto, I.; Ragazzi, F.; Obber, S.; Bonato, T.; Meneghetti, F.; Morari, F. Agro-Environmental Sustainability of Anaerobic Digestate Fractions in Intensive Cropping Systems: Insights Regarding the Nitrogen Use Efficiency and Crop Performance. Agronomy 2021, 11, 745. [Google Scholar] [CrossRef]
- Cattin, M.; Semple, K.T.; Stutter, M.; Romano, G.; Lag-Brotons, A.J.; Parry, C.; Surridge, B.W.J. Changes in microbial utilization and fate of soil carbon following the addition of different fractions of anaerobic digestate to soils. Eur. J. Soil Sci. 2021, 72, 2398–2413. [Google Scholar] [CrossRef]
- Lijó, L.; González-García, S.; Bacenetti, J.; Negri, M.; Fiala, M.; Feijoo, G.; Moreira, M.T. Environmental assessment of farm-scaled anaerobic co-digestion for bioenergy production. Waste Manag. 2015, 41, 50–59. [Google Scholar] [CrossRef] [PubMed]
- Akhiar, A.; Guilayn, F.; Torrijos, M.; Battimelli, A.; Shamsuddin, A.H.; Carrère, H. Correlations between the Composition of Liquid Fraction of Full-Scale Digestates and Process Conditions. Energies 2021, 14, 971. [Google Scholar] [CrossRef]
- Nkoa, R. Agricultural benefits and environmental risks of soil fertilization with anaerobic digestates: A review. Agron. Sustain. Dev. 2014, 34, 473–492. [Google Scholar] [CrossRef] [Green Version]
- Abdullahi, Y.A.; Akunna, J.C.; White, N.A.; Hallett, P.D.; Wheatley, R. Investigating the effects of anaerobic and aerobic post-treatment on quality and stability of organic fraction of municipal solid waste as soil amendment. Bioresour. Technol. 2008, 99, 8631–8636. [Google Scholar] [CrossRef] [PubMed]
- Ronga, D.; Setti, L.; Salvarani, C.; De Leo, R.; Bedin, E.; Pulvirenti, A.; Milc, J.; Pecchioni, N.; Francia, E. Effects of solid and liquid digestate for hydroponic baby leaf lettuce (Lactuca sativa L.) cultivation. Sci. Hortic. (Amsterdam) 2019, 244, 172–181. [Google Scholar] [CrossRef]
- Pivato, A.; Vanin, S.; Raga, R.; Lavagnolo, M.C.; Barausse, A.; Rieple, A.; Laurent, A.; Cossu, R. Use of digestate from a decentralized on-farm biogas plant as fertilizer in soils: An ecotoxicological study for future indicators in risk and life cycle assessment. Waste Manag. 2016, 49, 378–389. [Google Scholar] [CrossRef] [Green Version]
- European Commission. Review of the 2012 European Bioeconomy Strategy; European Commission: Bruxelles, Belgium, 2012. [Google Scholar]
- Pertiwiningrum, A.; Budyanto, E.C.; Hidayat, M.; Rochijan; Soeherman, Y.; Habibi, M.F. Making organic fertilizer using sludge from biogas production as carrier agent of Trichoderma harzianum. J. Biol. Sci. 2017, 17, 21–27. [Google Scholar] [CrossRef]
- Mejias, L.; Cerda, A.; Barrena, R.; Gea, T.; Sánchez, A. Microbial strategies for cellulase and xylanase production through solid-state fermentation of digestate from biowaste. Sustainability 2018, 10, 2433. [Google Scholar] [CrossRef] [Green Version]
- Pandey, A.; Soccol, C.R.; Nigam, P.; Soccol, V.T. Biotechnological potential of agro-industrial residues. Bioresour. Technol. 2000, 74, 69–80. [Google Scholar] [CrossRef]
- Sala, A.; Barrena, R.; Artola, A.; Sánchez, A. Current developments in the production of fungal biological control agents by solid-state fermentation using organic solid waste. Crit. Rev. Environ. Sci. Technol. 2019, 49, 655–694. [Google Scholar] [CrossRef]
- Kumar, V.; Ahluwalia, V.; Saran, S.; Kumar, J.; Patel, A.K.; Singhania, R.R. Recent developments on solid-state fermentation for production of microbial secondary metabolites: Challenges and solutions. Bioresour. Technol. 2021, 323, 124566. [Google Scholar] [CrossRef] [PubMed]
- Alias, C.; Bulgari, D.; Bilo, F.; Borgese, L.; Gianoncelli, A.; Ribaudo, G.; Gobbi, E.; Alessandri, I. Food waste-assisted metal extraction from printed circuit boards: The aspergillus niger route. Microorganisms 2021, 9, 895. [Google Scholar] [CrossRef] [PubMed]
- De la Cruz Quiroz, R.; Roussos, S.; Hernández, D.; Rodríguez, R.; Castillo, F.; Aguilar, C.N. Challenges and opportunities of the bio-pesticides production by solid-state fermentation: Filamentous fungi as a model. Crit. Rev. Biotechnol. 2015, 35, 326–333. [Google Scholar] [CrossRef] [PubMed]
- Hamrouni, R.; Molinet, J.; Dupuy, N.; Taieb, N.; Carboue, Q.; Masmoudi, A.; Roussos, S. The Effect of Aeration for 6-Pentyl-alpha-pyrone, Conidia and Lytic Enzymes Production by Trichoderma asperellum Strains Grown in Solid-State Fermentation. Waste Biomass Valorization 2020, 11, 5711–5720. [Google Scholar] [CrossRef] [Green Version]
- Shoresh, M.; Harman, G.E.; Mastouri, F. Induced Systemic Resistance and Plant Responses to Fungal Biocontrol Agents. Annu. Rev. Phytopathol. 2010, 48, 21–43. [Google Scholar] [CrossRef] [PubMed] [Green Version]
- Contreras-Cornejo, H.A.; Macías-Rodríguez, L.; del-Val, E.; Larsen, J. Ecological functions of Trichoderma spp. and their secondary metabolites in the rhizosphere: Interactions with plants. FEMS Microbiol. Ecol. 2016, 92, fiw036. [Google Scholar] [CrossRef] [Green Version]
- Cai, F.; Chen, W.; Wei, Z.; Pang, G.; Li, R.; Ran, W.; Shen, Q. Colonization of Trichoderma harzianum strain SQR-T037 on tomato roots and its relationship to plant growth, nutrient availability and soil microflora. Plant Soil 2015, 388, 337–350. [Google Scholar] [CrossRef]
- Ji, S.; An, Y.B.; Zhang, H.; Wang, Y.; Liu, Z. Trichoderma biofertilizer (mixTroTha) mediates Malus sieversii resistance to Alternaria alternata. Biol. Control 2021, 156, 104539. [Google Scholar] [CrossRef]
- Kashyap, P.L.; Rai, P.; Srivastava, A.K.; Kumar, S. Trichoderma for climate resilient agriculture. World J. Microbiol. Biotechnol. 2017, 33, 155. [Google Scholar] [CrossRef]
- Zachow, C.; Berg, C.; Müller, H.; Monk, J.; Berg, G. Endemic plants harbour specific Trichoderma communities with an exceptional potential for biocontrol of phytopathogens. J. Biotechnol. 2016, 235, 162–170. [Google Scholar] [CrossRef]
- Agosin, E.; Aguilera, J.M. Ndustrial production of active propagules of Trichoderma for agricultural use. In Richoderma and Gliocladium. Enzymes Biological Control and Commercial Applications; Harman, G.E., Kubicek, C., Eds.; Taylor & Francis Ltd.: London, UK, 1998; pp. 205–222. [Google Scholar]
- Whipps, J.M. Developments in the Biological Control of Soil-borne Plant Pathogens. In Advances in Botanical Research; Callow, J.A., Ed.; Academic Press: Cambridge, MA, USA, 1997; Volume 26, pp. 1–134. [Google Scholar]
- Naeimi, S.; Khosravi, V.; Varga, A.; Vágvölgyi, C.; Kredics, L. Screening of organic substrates for solid-state fermentation, viability and bioefficacy of Trichoderma harzianum as12-2, a biocontrol strain against rice sheath blight disease. Agronomy 2020, 10, 1258. [Google Scholar] [CrossRef]
- Lewis, J.A.; Papavizas, G.C. Biocontrol of plant diseases: The approach for tomorrow. Crop Prot. 1991, 10, 95–105. [Google Scholar] [CrossRef]
- Jomura, M.; Kuwayama, T.; Soma, Y.; Yamaguchi, M.; Komatsu, M.; Maruyama, Y. Mycelial biomass estimation and metabolic quotient of Lentinula edodes using speciesspecific qPCR. PLoS ONE 2020, 15, e0232049. [Google Scholar] [CrossRef]
- IRSA-CNR Metodi Analitici—Quaderno, n. 64 per i Fanghi. Available online: http://www.irsa.cnr.it/pdf/quad64.pdf (accessed on 10 March 2021).
- UNI EN 15936; Sludge, Treated Biowaste, Soil And Waste—Determination of Total Organic Carbon (TOC) by Dry Combustion. 2012.
- UNI EN 13654-2; Soil Improvers and Growing Media—Determination of Nitrogen—Part 2: Dumas Method. 2001.
- The European Parliament and the Council of the European Union. Regulation (EC) No 2003/2003 of the European Parliament and of the Council of 13 October 2003 relating to Fertilisers—Annex IV Met. 2.1; European Parliament: Strasbourg, France, 2003. [Google Scholar]
- US EPA. Method 3050B (SW846): Acid Digestion of Sediments, Sludges, and Soils; US EPA: Washington, DC, USA, 1996. [Google Scholar]
- US EPA. Method 6010D (SW-846): Inductively Coupled Plasma-Atomic Emission Spectrometry; US EPA: Washington, DC, USA, 2018. [Google Scholar]
- Bulgari, D.; Fiorini, L.; Gianoncelli, A.; Bertuzzi, M.; Gobbi, E. Enlightening Gliotoxin Biological System in Agriculturally Relevant Trichoderma spp. Front. Microbiol. 2020, 11, 200. [Google Scholar] [CrossRef]
- APAT. Guida Tecnica Su Metodi di Analisi per il Suolo e i siti Contaminati; APAT: Rome, Italy, 2004. [Google Scholar]
- Pandey, A. Aspects of fermenter design for solid-state fermentations. Process Biochem. 1991, 26, 355–361. [Google Scholar] [CrossRef]
- Santi, G.; Muzzini, V.G.; Galli, E.; Proietti, S.; Moscatello, S.; Battistelli, A. Mycelial growth and enzymatic activities of white-rot fungi on anaerobic digestates from industrial biogas plants. Environ. Eng. Manag. J. 2015, 14, 1713–1719. [Google Scholar] [CrossRef]
- He, Q.; Peng, H.; Sheng, M.; Hu, S.; Qiu, J.; Gu, J. Humidity control strategies for solid-state fermentation: Capillary water supply by water-retention materials and negative-pressure auto-controlled irrigation. Front. Bioeng. Biotechnol. 2019, 7, 263. [Google Scholar] [CrossRef] [Green Version]
- He, Q.; Chen, H. Pilot-Scale Gas Double-Dynamic Solid-State Fermentation for the Production of Industrial Enzymes. Food Bioprocess Technol. 2013, 6, 2916–2924. [Google Scholar] [CrossRef]
- Novy, V.; Schmid, M.; Eibinger, M.; Petrasek, Z.; Nidetzky, B. The micromorphology of Trichoderma reesei analyzed in cultivations on lactose and solid lignocellulosic substrate, and its relationship with cellulase production. Biotechnol. Biofuels 2016, 9, 169. [Google Scholar] [CrossRef] [Green Version]
- Daryaei, A.; Jones, E.E.; Ghazalibiglar, H.; Glare, T.R.; Falloon, R.E. Culturing conditions affect biological control activity of Trichoderma atroviride against Rhizoctonia solani in ryegrass. J. Appl. Microbiol. 2016, 121, 461–472. [Google Scholar] [CrossRef] [PubMed] [Green Version]
- Reyes-Calderón, A.; Garcia-Luquillas, K.R.; Ludeña, Y.; Hernández-Macedo, M.L.; Villena, G.K. A simple and accurate method for specifc quantfcaton of biomass in mixed cultures of flamentous fungi by quanttatve PCR. Rev. Peru. Biol. 2020, 27, 85–90. [Google Scholar] [CrossRef]
- Sinha, A.; Singh, R.; Rao, S.G.; Verma, A. Comprehensive evaluation of Trichoderma harzianum and Trichoderma viride on different culture media & at different temperature and pH. Pharma Innov. J. 2018, 7, 193–195. [Google Scholar]
- Zehra, A.; Dubey, M.K.; Meena, M.; Upadhyay, R.S. Effect of different environmental conditions on growth and sporulation of some Trichoderma species. J. Environ. Biol. 2017, 38, 197–203. [Google Scholar] [CrossRef]
- Ming, S.; Rong, J.; Zhang, C.; Li, C.; Zhang, C.; Zhang, Y.; Zhou, R.; Li, G. The Solid Fermentation State’s Optimization of Trichoderma Harzianum M1. IOP Conf. Ser. Mater. Sci. Eng. 2019, 612, 022111. [Google Scholar] [CrossRef]
- Ye, L.; Zhao, X.; Bao, E.; Li, J.; Zou, Z.; Cao, K. Bio-organic fertilizer with reduced rates of chemical fertilization improves soil fertility and enhances tomato yield and quality. Sci. Rep. 2020, 10, 177. [Google Scholar] [CrossRef] [Green Version]
- Lencioni, G.; Imperiale, D.; Cavirani, N.; Marmiroli, N.; Marmiroli, M. Environmental application and phytotoxicity of anaerobic digestate from pig farming by in vitro and in vivo trials. Int. J. Environ. Sci. Technol. 2016, 13, 2549–2560. [Google Scholar] [CrossRef]
- Peterson, R.; Nevalainen, H. Trichoderma reesei RUT-C30—Thirty years of strain improvement. Microbiology 2012, 158, 58–68. [Google Scholar] [CrossRef] [Green Version]
- Nieto-Jacobo, M.F.; Steyaert, J.M.; Salazar-Badillo, F.B.; Vi Nguyen, D.; Rostás, M.; Braithwaite, M.; De Souza, J.T.; Jimenez-Bremont, J.F.; Ohkura, M.; Stewart, A.; et al. Environmental growth conditions of Trichoderma spp. Affects indole acetic acid derivatives, volatile organic compounds, and plant growth promotion. Front. Plant Sci. 2017, 8, 102. [Google Scholar] [CrossRef] [PubMed] [Green Version]
- Bader, A.N.; Salerno, G.L.; Covacevich, F.; Consolo, V.F. Native Trichoderma harzianum strains from Argentina produce indole-3 acetic acid and phosphorus solubilization, promote growth and control wilt disease on tomato (Solanum lycopersicum L.). J. King Saud Univ.-Sci. 2020, 32, 867–873. [Google Scholar] [CrossRef]
- Panda, S.K.; Maiti, S.K. An approach for simultaneous detoxification and increment of cellulase enzyme production by Trichoderma reesei using rice straw. Energy Sources Part A Recover. Util. Environ. Eff. 2019, 41, 2691–2703. [Google Scholar] [CrossRef]




| Constituents | % (w/w) |
|---|---|
| Dairy cattle slurry | 38.1 |
| Triticale | 24.5 |
| Silage corn stalks | 13.9 |
| Silage corn (1st harvest) | 13.7 |
| Silage corn (2nd harvest) | 5.5 |
| Fresh cattle manure | 4.3 |
| Substrate | Constituents | % (w/w) |
|---|---|---|
| WD | Whole Digestate | 100 |
| SSF1 | Whole Digestate | 100 |
| Wood sawdust | ~20 of the total weight | |
| SSF2 | Whole Digestate | 70 |
| Apple—Malus domestica | 10 | |
| Banana—Musa acuminata | 10 | |
| Grape—Vitis vinicola | 10 | |
| Wood sawdust | ~20 of the total weight |
| Parameter | Measure Unit | WD | SSF2-NF | SSF2-F |
|---|---|---|---|---|
| Dry matter (d.m.) | g/kg | 81.3 ± 0.1 | 272.3 ± 0.1 | 169.4 ± 0.1 |
| Moisture | % | 91.9 | 72.8 | 83.0 |
| Porosity | % | 0.0 | 33.8 | 37.8 |
| pH | unit | 9.0 ± 0.1 | 8.5 ± 0.1 | 7.0 ± 0.1 |
| Total organic carbon | % d.m. | 41.0 ± 0.1 | 53.0 ± 0.1 | 49.1 ± 0.1 |
| Total nitrogen | % d.m. | 6.1 ± 0.1 | 3.3 ± 0.1 | 3.6 ± 0.1 |
| C/N ratio | -- | 6.6 | 15.9 | 13.5 |
| Ammonia nitrogen (NH4+) | % d.m. | 3.13 ± 0.01 | 0.58 ± 0.01 | 0.46 ± 0.01 |
| Phosphorus (P2O5) | % d.m. | 0.06 ± 0.01 | 0.37 ± 0.01 | 0.36 ± 0.01 |
| Potassium (K2O) | % d.m. | 5.41 ± 0.01 | 1.45 ± 0.01 | 1.40 ± 0.01 |
| Fungi | Fungal Biomass (mg/g Substrate) ± SD |
|---|---|
| T. asperellum R | 444.79 ± 91.02 |
| T. atroviride Ta13 | 584.24 ± 13.36 |
| T. harzianum T-22 | 174.26 ± 2.87 |
| T. reesei RUT-C30 | 689.80 ± 80.53 |
Publisher’s Note: MDPI stays neutral with regard to jurisdictional claims in published maps and institutional affiliations. |
© 2022 by the authors. Licensee MDPI, Basel, Switzerland. This article is an open access article distributed under the terms and conditions of the Creative Commons Attribution (CC BY) license (https://creativecommons.org/licenses/by/4.0/).
Share and Cite
Alias, C.; Bulgari, D.; Gobbi, E. It Works! Organic-Waste-Assisted Trichoderma spp. Solid-State Fermentation on Agricultural Digestate. Microorganisms 2022, 10, 164. https://doi.org/10.3390/microorganisms10010164
Alias C, Bulgari D, Gobbi E. It Works! Organic-Waste-Assisted Trichoderma spp. Solid-State Fermentation on Agricultural Digestate. Microorganisms. 2022; 10(1):164. https://doi.org/10.3390/microorganisms10010164
Chicago/Turabian StyleAlias, Carlotta, Daniela Bulgari, and Emanuela Gobbi. 2022. "It Works! Organic-Waste-Assisted Trichoderma spp. Solid-State Fermentation on Agricultural Digestate" Microorganisms 10, no. 1: 164. https://doi.org/10.3390/microorganisms10010164
APA StyleAlias, C., Bulgari, D., & Gobbi, E. (2022). It Works! Organic-Waste-Assisted Trichoderma spp. Solid-State Fermentation on Agricultural Digestate. Microorganisms, 10(1), 164. https://doi.org/10.3390/microorganisms10010164

