Synergistic Guaranteed Cost and Integral Sliding Mode Fault-Tolerant Control for Steer-by-Wire Systems Subject to Multiple Uncertainties
Abstract
1. Introduction
- (1)
- An application-oriented GCC–ISMC fault-tolerant control framework is developed for SBW systems subject to parameter perturbations, external disturbances, and actuator faults, where the contribution lies in the integrated design for this practical engineering scenario.
- (2)
- A coordinated mechanism between GCC and ISMC is established, in which GCC provides performance guarantees and robustness constraints, while ISMC enhances transient response and accelerates convergence to the desired state.
2. Dynamic Modeling of the SBW System
3. Design of the Controller
3.1. GCC
3.2. ISMC
4. Example Illustration
- (1)
- The simulation time interval is set to 0.001 s.
- (2)
- The uncertainty perturbation of the viscous damping Beq is set to ±5%, reflecting the equivalent modeling error introduced by unmodeled nonlinear friction components under normal operating temperatures and lubrication conditions.
- (3)
- The uncertainty perturbations of the front and rear wheel cornering stiffness k1 and k2 are set to ±10%, reflecting moderate variations arising from normal tread wear, mild tire inflation pressure fluctuations, and minor changes in road surface friction coefficient during regular highway driving.
- (4)
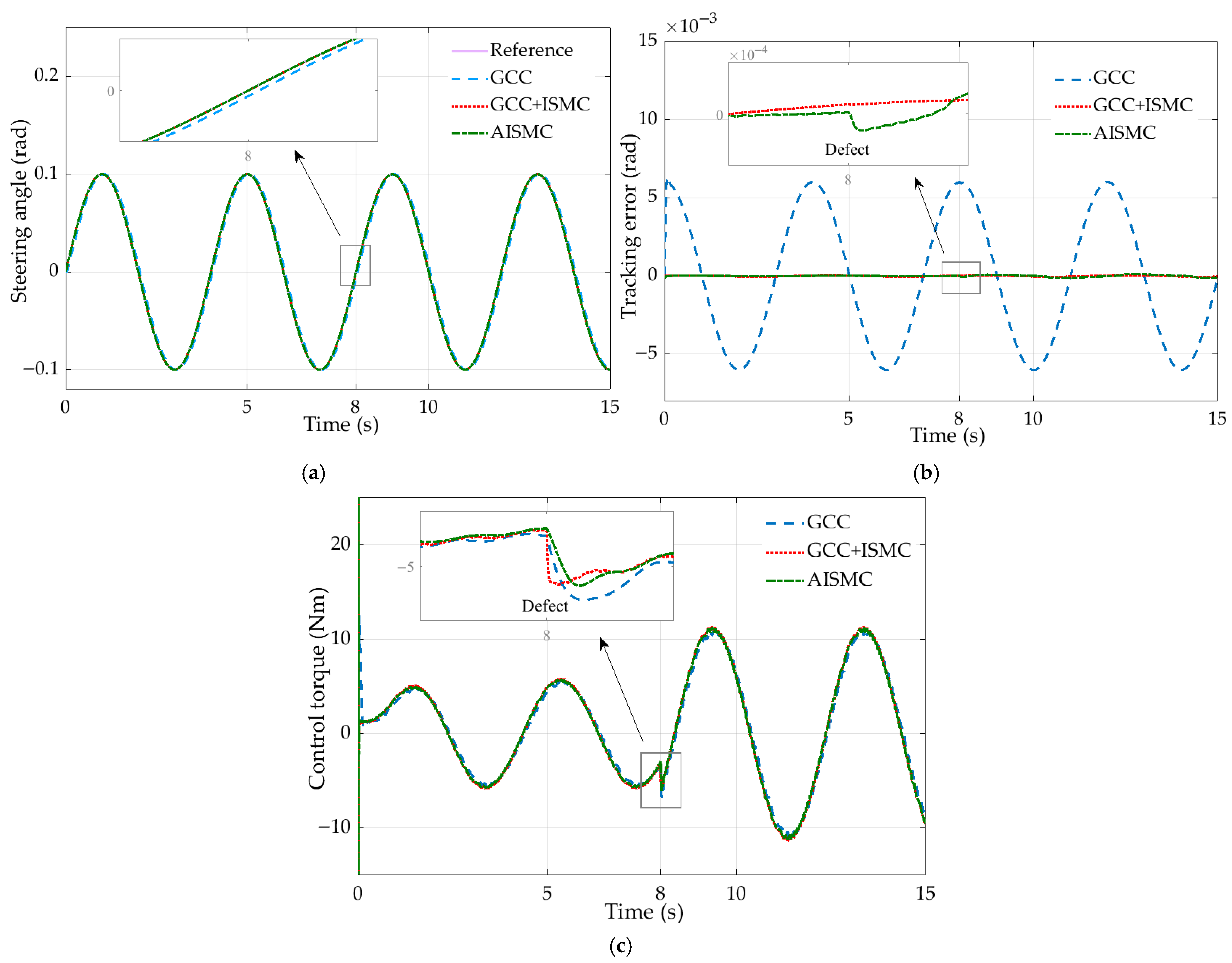
- A 50% torque failure fault of the steering motor is considered, representing a severe 50% loss of torque, which is injected from the eighth second of the simulation; that is, ρ = 0 (0 < t < 8) and ρ = 0.5 (t ≥ 8), and the corresponding effective torque of the faulty motor is τmr (1 − ρ). This value is deliberately chosen to evaluate the fault tolerance capability of the proposed controller under demanding conditions.
5. Conclusions
- (1)
- A dynamic model of the SBW system incorporating multiple uncertain factors was formulated, providing an accurate mathematical description of the controlled plant for subsequent controller design;
- (2)
- By deriving the GCC law based on LMI solutions, strict constraints were imposed on the system’s tracking accuracy and robustness, ensuring that the theoretical upper bound of the steady-state performance remains controllable under the influence of uncertainties.
- (3)
- By integrating an ISMC mechanism, the system’s dynamic response speed was significantly accelerated without sacrificing steady-state accuracy. This resolves the intrinsic trade-off between precision and rapidity common in existing methods, formulating a synergistic fault-tolerant architecture characterized by both high accuracy and fast response.
- (4)
- Simulations conducted under typical steering maneuvers demonstrated that the proposed strategy effectively suppresses the adverse effects of multiple uncertainties across various fault scenarios. Quantitative analysis reveals that the tracking RMSE of GCC+ISMC is reduced by approximately 35% compared to AISMC. This thoroughly corroborates the comprehensive advantages of the proposed method in tracking accuracy, response speed, and robustness.
Author Contributions
Funding
Institutional Review Board Statement
Informed Consent Statement
Data Availability Statement
Conflicts of Interest
References
- Yang, C.; Wang, Q.; Wang, W.; Gao, Y.; Zhang, Y.; Zhang, R. A fault estimation and fault-tolerant operation scheme design under simultaneous actuator and sensor faults for steer-by-wire system. Veh. Syst. Dyn. 2025, 1–28. [Google Scholar] [CrossRef]
- Jiang, H.; Yang, N.; Liu, T.; Wang, J.; Mizuno, K.; Chen, M.; Zheng, J. Fault-tolerant control of steer-by-wire system based on Gaussian process regression. Trans. Inst. Meas. Control. 2025, 1–13. [Google Scholar] [CrossRef]
- Wang, X. Active fault tolerant control for unmanned underwater vehicle with actuator fault and guaranteed transient performance. IEEE Trans. Intell. Veh. 2020, 6, 470–479. [Google Scholar] [CrossRef]
- Wang, X.; Pan, L.; Tian, Y.; Liu, Y.; Li, L. Adaptive Fault-Tolerant Fixed-Time Sliding Mode Tracking Control for Steer-By-Wire System with Dual-Three-Phase PMSM. IEEE Trans. Veh. Technol. 2025, 74, 7554–7564. [Google Scholar] [CrossRef]
- Huang, C.; Naghdy, F.; Du, H. Fault tolerant sliding mode predictive control for uncertain steer-by-wire system. IEEE Trans. Cybern. 2017, 49, 261–272. [Google Scholar] [CrossRef] [PubMed]
- Chen, H.; Tu, Y.; Wang, H.; Shi, K.; He, S. Fault-tolerant tracking control based on reinforcement learning with application to a steer-by-wire system. J. Frankl. Inst. 2022, 359, 1152–1171. [Google Scholar] [CrossRef]
- Tran, A.T.; Van Huynh, V.; Tran, D.T.; Shim, J.W.; Lim, C.P. Delay-resilient super-twisting sliding mode control for frequency regulation in multi-area power systems under time-varying delays. Int. J. Electr. Power Energy Syst. 2026, 176, 111695. [Google Scholar] [CrossRef]
- Du, Z.; Wang, H.; Li, J.; Yang, X.; Ye, H. Event-Triggered Integral Sliding Mode Control for Nonlinear Networked Cascade Control Systems with Uncertain Delay. Int. J. Robust Nonlinear Control. 2025, 35, 3071–3082. [Google Scholar] [CrossRef]
- Du, Z.; Chen, C.; Li, C.; Yang, X.; Li, J. Fault-tolerant H-infinity stabilization for networked cascade control systems with novel adaptive event-triggered mechanism. IEEE Trans. Autom. Sci. Eng. 2025, 22, 22597–22608. [Google Scholar] [CrossRef]
- Guo, Z.; Henry, D.; Guo, J.; Wang, Z.; Cieslak, J.; Chang, J. Control for systems with prescribed performance guarantees: An alternative interval theory-based approach. Automatica 2022, 146, 110642. [Google Scholar] [CrossRef]
- Zhou, S.; Li, Y.; Tong, S. Prescribed performance adaptive fuzzy output feedback control for steer-by-wire vehicle system with intermittent actuator faults. Neural Comput. Appl. 2024, 36, 16057–16070. [Google Scholar] [CrossRef]
- Zhao, X.; Zhao, L. Steering angle tracking control of steer-by-wire system with prescribed performance under primary sensor failure. Control. Eng. Pract. 2025, 161, 106354. [Google Scholar] [CrossRef]
- Zhao, X.; Zhao, L. Performance-guaranteed adaptive switching tracking control for steer-by-wire system with disturbance observer. Nonlinear Dyn. 2025, 113, 35107–35123. [Google Scholar] [CrossRef]
- Lu, L.; Zhu, S.; Wang, D.M.; Han, Y.-Q. Distributed adaptive fault-tolerant control with prescribed performance for nonlinear multiagent systems. Commun. Nonlinear Sci. Numer. Simul. 2024, 138, 108222. [Google Scholar] [CrossRef]
- Wang, H.; Bai, W.; Zhao, X.; Liu, P.X. Finite-time-prescribed performance-based adaptive fuzzy control for strict-feedback nonlinear systems with dynamic uncertainty and actuator faults. IEEE Trans. Cybern. 2021, 52, 6959–6971. [Google Scholar] [CrossRef] [PubMed]
- Wang, Z.; Hashimoto, S.; Kurita, N.; Nie, P.; Xu, S.; Kawaguchi, T. Prescribed Performance Adaptive Fault-Tolerant Control for Nonlinear System with Actuator Faults and Dead Zones. Symmetry 2025, 17, 1915. [Google Scholar] [CrossRef]
- Chang, S.; Peng, T. Adaptive guaranteed cost control of systems with uncertain parameters. IEEE Trans. Autom. Control. 1972, 17, 474–483. [Google Scholar] [CrossRef]
- Yu, L.; Chu, J. An LMI approach to guaranteed cost control of linear uncertain time-delay systems. Automatica 1999, 35, 1155–1159. [Google Scholar] [CrossRef]
- Yu, L. An LMI approach to reliable guaranteed cost control of discrete-time systems with actuator failure. Appl. Math. Comput. 2005, 162, 1325–1331. [Google Scholar] [CrossRef]
- Zong, G.; Ren, H. Guaranteed cost finite-time control for semi-Markov jump systems with event-triggered scheme and quantization input. Int. J. Robust Nonlinear Control. 2019, 29, 5251–5273. [Google Scholar] [CrossRef]
- Qiao, M.; Chang, X. Quantified Guaranteed Cost Fault-Tolerant Control for Continuous-Time Fuzzy Singular Systems with Sensor and Actuator Faults. IEEE Trans. Fuzzy Syst. 2023, 32, 660–670. [Google Scholar] [CrossRef]
- Cai, H.; Shi, P. Attitude guaranteed cost control method for flexible spacecraft based on LPV model. J. Beijing Univ. Aeronaut. Astronaut. 2024, 50, 3921–3929. (In Chinese) [Google Scholar] [CrossRef]
- Wang, Z.; Li, Y. Guaranteed cost spacecraft attitude stabilization under actuator misalignments using linear partial differential equations. J. Frankl. Inst. 2020, 357, 6018–6040. [Google Scholar] [CrossRef]
- Xu, J.; Zhang, J.; Liu, C.; Yue, X. RBF Neural Network-based Guaranteed Cost Nonfragile Control for Spacecraft Electromagnetic Docking. Adv. Astronaut. 2026, 1–12. [Google Scholar] [CrossRef]
- Yu, Z.; Jiang, H.; Mei, X.; Hu, C. Guaranteed cost consensus for second-order multi-agent systems with heterogeneous inertias. Appl. Math. Comput. 2018, 338, 739–757. [Google Scholar] [CrossRef]
- Li, J.; Zhang, Q.; Yu, H.; Cai, M. Real-time guaranteed cost control of MIMO networked control systems with packet disordering. J. Process Control 2011, 21, 967–975. [Google Scholar] [CrossRef]
- Huai, H.; Wu, H.; Xu, J. Robust Lateral Shared Control of Autonomous Vehicle Considering Driver NMS Characteristics. J. Mech. Eng. 2024, 60, 280–290. (In Chinese) [Google Scholar] [CrossRef]
- Jin, X.J.; Yin, G.; Chen, J.; Chen, N. Robust guaranteed cost state-delayed control of yaw stability for four-wheel-independent-drive electric vehicles with active front steering system. Int. J. Veh. Des. 2015, 69, 304–323. [Google Scholar] [CrossRef]
- Zhang, Z.; Zheng, L.; Li, Y.; Zhang, Z.; Zheng, H. Trajectory Tracking Control of Intelligent Vehicle in Unreliable Onboard Data Transmission Environment. China J. Highw. Transp. 2023, 36, 284–297. (In Chinese) [Google Scholar] [CrossRef]
- Liang, Y.; Li, Y.; Khajepour, A.; Zheng, L. Optimised robust path following control of autonomous vehicle with pole constraints. Int. J. Veh. Des. 2021, 87, 5–28. [Google Scholar] [CrossRef]
- Zhou, J.; Ni, M.; Zhao, W.; Wang, C. Performance-guaranteed open-circuit fault-tolerant strategy for dual-winding steer-by-wire system. Proc. Inst. Mech. Eng. Part D J. Automob. Eng. 2025, 09544070251380918. [Google Scholar] [CrossRef]
- Liu, W.; Jiang, Z. Adaptive fault-tolerant control based on linear matrix inequalities for actuator failures in steer-by-wire system. Proc. Inst. Mech. Eng. Part D J. Automob. Eng. 2024, 238, 4379–4393. [Google Scholar] [CrossRef]
- Wang, H.; Kong, H.; Man, Z.; Tuan, D.M.; Cao, Z.; Shen, W. Sliding mode control for steer-by-wire systems with AC motors in road vehicles. IEEE Trans. Ind. Electron. 2013, 61, 1596–1611. [Google Scholar] [CrossRef]
- Yu, Z. Automobile Theory; China Machine Press: Beijing, China, 2023. (In Chinese) [Google Scholar]
- Yu, F. Robust Control-Linear Matrix Inequality (LMI) Approach; Tsinghua University Press: Beijing, China, 2002. (In Chinese) [Google Scholar]






| Parameters | Values | Parameters | Values |
|---|---|---|---|
| Jf (kg·m2) | 2.6 | Pn | 4 |
| Bf (Nms/rad) | 12 | Ψf0 (Wb) | 0.0275 |
| Jm (kg·m2) | 0.02129 | Δia (A) | −0.08 |
| Bm (Nms/rad) | 0.038 | Δib (A) | 0.06 |
| τfs (Nm) | 2.68 | Iz (kg·m2) | 1300 |
| r | 200 | m (kg) | 2000 |
| N | 12 | Vx (m/s) | 35 |
| l (m) | 0.039 | k1, k2 (N/rad) | 45,000 |
| a (m) | 1.2 | τmd6 | 0.022 |
| b (m) | 1.05 | τmd12 | 0.005 |
| Parameters | Values |
|---|---|
| D | [0, 0, 0; 0, 0, 0; 1, 0, 0; 0, 1, 0; 0, 0, 1] |
| F | [1, 0, 0; 0, 1, 0; 0, 0, 1] |
| Q | [106, 0, 0, 0, 0; 0, 10−2, 0, 0, 0; 0, 0, 10, 0, 0; 0, 0, 0, 0, 10] |
| R | 10−6 |
| ρ | 0.5 |
| c | 100 |
| μ | 100 |
| k | 10,000 |
| ca | 100 |
| μa | 100 |
| α | 10,000 |
| β | 5 |
Disclaimer/Publisher’s Note: The statements, opinions and data contained in all publications are solely those of the individual author(s) and contributor(s) and not of MDPI and/or the editor(s). MDPI and/or the editor(s) disclaim responsibility for any injury to people or property resulting from any ideas, methods, instructions or products referred to in the content. |
© 2026 by the authors. Licensee MDPI, Basel, Switzerland. This article is an open access article distributed under the terms and conditions of the Creative Commons Attribution (CC BY) license.
Share and Cite
Yang, J.; Hu, Y.; Zeng, D.; Yang, L.; Carbone, G. Synergistic Guaranteed Cost and Integral Sliding Mode Fault-Tolerant Control for Steer-by-Wire Systems Subject to Multiple Uncertainties. Actuators 2026, 15, 199. https://doi.org/10.3390/act15040199
Yang J, Hu Y, Zeng D, Yang L, Carbone G. Synergistic Guaranteed Cost and Integral Sliding Mode Fault-Tolerant Control for Steer-by-Wire Systems Subject to Multiple Uncertainties. Actuators. 2026; 15(4):199. https://doi.org/10.3390/act15040199
Chicago/Turabian StyleYang, Jinwen, Yiming Hu, Dequan Zeng, Lingang Yang, and Giuseppe Carbone. 2026. "Synergistic Guaranteed Cost and Integral Sliding Mode Fault-Tolerant Control for Steer-by-Wire Systems Subject to Multiple Uncertainties" Actuators 15, no. 4: 199. https://doi.org/10.3390/act15040199
APA StyleYang, J., Hu, Y., Zeng, D., Yang, L., & Carbone, G. (2026). Synergistic Guaranteed Cost and Integral Sliding Mode Fault-Tolerant Control for Steer-by-Wire Systems Subject to Multiple Uncertainties. Actuators, 15(4), 199. https://doi.org/10.3390/act15040199

