Next Article in Journal / Special Issue
Research on Key Technologies of Low-Energy-Consumption Magnetic Suspension Flywheel Battery Systems
Previous Article in Journal
Adaptive Longitudinal–Lateral Coordinated Control of Distributed Drive Vehicles Under Unknown Road Conditions
Previous Article in Special Issue
Multiphysics Field Coupling Analysis and Highly Robust Control Strategy with Coupling Functions of Vehicle-Mounted Flywheel Battery
 
 
Font Type:
Arial Georgia Verdana
Font Size:
Aa Aa Aa
Line Spacing:
Column Width:
Background:
Article

Research on Levitation Control of a Two-Degree-of-Freedom System Based on IWOA-ISMC

1
School of Mechanical Engineering, Shijiazhuang Tiedao University, Shijiazhuang 050043, China
2
State Key Laboratory of Mechanical Behavior and System Safety of Traffic Engineering Structures, Shijiazhuang Tiedao University, Shijiazhuang 050043, China
*
Author to whom correspondence should be addressed.
Actuators 2026, 15(2), 118; https://doi.org/10.3390/act15020118
Submission received: 14 January 2026 / Revised: 12 February 2026 / Accepted: 12 February 2026 / Published: 14 February 2026

Abstract

Electromagnetic levitation control is a core technology for ensuring the stable operation of maglev trains. To enhance the disturbance rejection capability and stability of the levitation system, an IWOA-ISMC control strategy is proposed in this paper. First, a single-electromagnet levitation model with two degrees of freedom is established, in which the effects of spring stiffness and damping are taken into account. Based on this model, an integral sliding mode controller (ISMC) is designed. However, manual parameter tuning based on engineering experience makes it difficult to obtain an optimal parameter combination, and inappropriate controller parameters may lead to significant performance degradation. To address this issue, an improved whale optimization algorithm (IWOA) is introduced to globally optimize the key parameters of the ISMC, resulting in an IWOA-ISMC tailored to the proposed model. Comparative simulations under track irregularity conditions and sudden force disturbances induced by track irregularities are conducted. The results demonstrate that, compared with ISMC, PID, and backstepping controllers, the proposed IWOA-ISMC approach exhibits superior disturbance rejection performance and robustness.

1. Introduction

Maglev trains possess significant application potential in optimizing existing transportation network layouts owing to their unique technological advantages [1]. Unlike conventional wheel–rail trains, maglev trains operate without wheel–rail contact; instead, the vehicle body is levitated by electromagnetic attractive or repulsive forces, while propulsion is provided by linear motors. This contactless configuration effectively eliminates friction associated with wheel–rail interaction in traditional railway systems, making maglev transportation an important complement to modern transit systems with a relatively mature technological framework [2]. At present, electromagnetic suspension (EMS) maglev trains are the primary type in practical operation. During maglev train operation, active control of the suspension system is a critical factor in ensuring ride stability and operational safety [3,4]. Given that the reference levitation gap during operation is approximately 10 mm, coupling effects among suspension points and track irregularities may deteriorate the vehicle’s dynamic performance, thereby placing stringent requirements on the vertical control system of maglev trains [5,6]. To address the single-point levitation control problem, numerous studies have proposed various improved control strategies. Long et al. [7] applied a feedback linearization technique to linearize the input–state relationship of the system and designed a PI controller with a corresponding nonlinear compensator. Acharya et al. [8] proposed a fractional-order PID controller and verified its superiority through comparisons with conventional ADRC and LQR controllers. Jose et al. [9] adopted an H∞ control strategy incorporating disturbance rejection, and their experimental results demonstrated fast and stable tracking of the target levitation gap. Yau et al. [10] utilized a backpropagation (BP) neural network to tune PI controller parameters, aiming to improve ride comfort during high-speed operation of maglev vehicles. In addition, Guo et al. [11] proposed an adaptive particle swarm optimization (PSO)-based dynamic matrix fractional-order PID control algorithm, which achieved superior air gap tracking performance compared with conventional fractional-order PID controllers. Feng et al. [12] refined the electromagnetic force formulation using experimentally measured data from a maglev ball system and ensured model and parameter accuracy through physical system identification, based on which an IMC–PID controller was designed to achieve stable levitation control. Yang et al. [13] combined model reference adaptive control (MRAC) with active disturbance rejection control (ADRC), employing an extended state observer, adaptive control laws, and disturbance compensation mechanisms to handle system uncertainties and external disturbances, resulting in significantly improved performance compared with PID, ADRC, SMC-DOBC, and SMC methods. Chen et al. [14] integrated the advantages of sliding mode control and ADRC to develop a sliding-mode active disturbance rejection levitation control algorithm, which achieved satisfactory levitation performance while ensuring stable operation under partial sensor failure conditions. Sun et al. [15] conducted online condition monitoring of medium- and low-speed maglev trains based on Internet of Things technology and enhanced adaptive fuzzy control to enable accurate target tracking with a certain level of disturbance rejection capability. Starbino et al. [16] investigated sliding mode control through simulations of servo tracking, disturbance rejection tracking, square-wave tracking, and robustness tests, demonstrating superior performance over conventional PID control. Chen et al. [17] addressed external vibration excitation during dynamic levitation by proposing a sliding mode control method with stability proven via bifurcation theory and incorporating a radial basis function neural network for parameter self-tuning, thereby constructing a vibration-suppressing levitation control module; the effectiveness of the proposed approach was validated through Simulink-based simulations. Furthermore, Sun et al. [18] enhanced sliding mode control by introducing an adaptive fuzzy approximator and a neuro-fuzzy switching law, significantly reducing the effects of disturbances and parameter variations.
To improve the efficiency of parameter tuning, an increasing number of studies have introduced metaheuristic optimization algorithms into controller parameter design in recent years. To further enhance system control performance, this paper integrates an optimization algorithm into the design of the conventional sliding mode controller for global optimization of the controller parameters. In recent years, numerous novel metaheuristic algorithms have been proposed and widely applied to real-world optimization problems. Among them, the whale optimization algorithm (WOA), first introduced by Seyedali Mirjalili and Andrew Lewis [19] in 2016, is a swarm intelligence optimization algorithm inspired by the bubble-net feeding behavior of humpback whales. Despite its simple structure, few parameters, and broad applicability, WOA still faces several challenges when tackling high-dimensional, complex optimization problems, such as slow convergence speed, susceptibility to local optima, and a decline in population diversity [20]. To address these limitations, many subsequent studies have proposed improvements and hybrid versions of WOA. For instance, strategies such as chaotic mapping, opposition-based learning mechanisms, multi-subpopulation cooperation, and adaptive control parameter mechanisms have been introduced to improve population initialization uniformity, search diversity, and convergence efficiency [21]. Xu et al. [22] proposed a hybrid strategy to improve WOA (HIWOA), which combines multiple strategies to enhance search efficiency and solution quality. Wu et al. [23], aiming to solve the issues of local optima and low convergence accuracy in WOA, introduced adaptive weights and random differential mutation strategies to propose an improved whale optimization algorithm (IWOA). Zhongyu et al. [24] combined differential evolution (DE) and WOA to develop a new hybrid algorithm (DEWOA), which integrates the global exploration ability of WOA with the local search capability of DE. Kaur et al. [25] introduced chaotic mapping into the algorithm, adjusting key parameters to provide an effective solution to the imbalance between exploration and exploitation. Jin et al. [26] proposed an IWOA with an auxiliary cooperative mechanism, increasing population diversity through random evolution and special reinforcement and thus improving the algorithm’s ability to escape local optima. Shen et al. [27] proposed a multi-population evolutionary WOA (MEWOA), which allocates movement strategies to each subpopulation through three different mechanisms, with exploratory and exploitative subpopulations performing global and local searches, respectively, and moderate subpopulations conducting random exploration of the search space. He et al. [28] proposed a WOA with a dual-population strategy and mutation strategy (TMWOA), where the dual-population strategy accelerates convergence by exchanging information between the two populations, and the mutation strategy enhances the algorithm’s ability to escape local optima using the current best solution. Liu et al. [29] developed a WOA that focuses on global search capability by improving the spiral ascent strategy, modifying the fixed prey ascent motion of whales, which enhances the global optimization ability of the algorithm. Sun et al. [30] improved the convergence speed of the algorithm by adjusting the position update method during the exploration and exploitation phases through population division. Wang et al. [31] introduced a cubic chaotic mapping strategy to improve the diversity of initial solutions, along with a generalized opposition-based learning mechanism to enhance the algorithm’s ability to escape local optima.
In this study, a two-degree-of-freedom single-point levitation model incorporating spring stiffness and damping is established. An integral sliding mode controller (ISMC) is designed based on the levitation gap and velocity states. To mitigate chattering and performance degradation caused by improper parameter configuration, an improved whale optimization algorithm (IWOA), derived from WOA, is employed to perform global optimization of the ISMC parameters. Comparative simulations under various operating conditions and control strategies are conducted to evaluate performance. The results demonstrate the stability and superiority of the proposed control approach.

2. Modeling of a Two-Degree-of-Freedom Levitation System

In EMS maglev trains, stable levitation is achieved by balancing the combined weight of the vehicle body and the electromagnets through the electromagnetic attractive force between the levitation electromagnets and the guideway. The four-point levitation test rig is shown in Figure 1.
The levitation frame of a maglev train typically contains multiple levitation points that generate levitation forces to ensure normal operation. Owing to the structural decoupling of the chassis, a single-point levitation system can be regarded as the fundamental unit of the overall levitation system and can be controlled independently. To improve ride stability and comfort, a spring–damper element is introduced between each levitation point and the vehicle body. Accordingly, this paper establishes a two-degree-of-freedom single-point levitation model incorporating spring stiffness and damping, as shown in Figure 2.
In Figure 2, x 1 and x 2 denote the displacements of the electromagnet and the vehicle body, respectively; m 1 and m 2 represent the masses of the electromagnet and the vehicle body; and F 1 and F 2 correspond to the electromagnetic force and the spring–damper force, respectively. In the following analysis, the upward direction is taken as positive.
When the self-weight of the spring is neglected and the system operates under normal levitation conditions, the model of the single-point levitation system incorporating the spring–damper element can be expressed as follows:
m 1 a 1 = F 1 ( x 1 , i ) F 2 ( x 1 , x 2 ) m 1 g + f 1 d m 2 a 2 = F 2 ( x 1 , x 2 ) m 2 g + f 2 d F 1 ( x 1 , i ) = u 0 N 2 A s 4 ( i x 1 ) 2 F 2 ( x 1 , x 2 ) = k ( x 2 x 1 ) + c ( x ˙ 2 x ˙ 1 )
where a 1 and a 2 denote the accelerations of the electromagnet and the vehicle body, respectively; f 1 d represents the external disturbance acting on the electromagnet; f 2 d represents the external disturbance acting on the vehicle body; μ 0 is the vacuum permeability; N is the number of turns of the electromagnet coil; A s denotes the pole face area of the electromagnet; k is the spring stiffness; c is the spring damping coefficient; and i denotes the control current.
To facilitate subsequent derivations, k d is defined as:
k d = u 0 N 2 A s 4
The parameters of the vehicle body and the levitation frame are listed in Table 1:

3. IWOA-ISMC Control Strategy Design

3.1. Improved Whale Optimization Algorithm

The whale optimization algorithm (WOA) is a metaheuristic optimization algorithm inspired by the hunting behavior of humpback whales in nature. It centers on mimicking the whales’ cooperative bubble-net hunting strategy to encircle prey. The algorithm primarily consists of three phases: encircling the prey, executing the bubble-net attack (spiral updating), and conducting random search. During iteration, each whale individual follows either a randomly selected leading whale or the current global best solution, gradually approaching the target in a spiral trajectory, or explores other regions stochastically to balance global exploration and local exploitation. However, the original WOA suffers from drawbacks such as a tendency to fall into local optima and slow convergence speed. To this end, modifications have been proposed in the following three aspects:

3.1.1. Logistic Chaotic Map and Opposition-Based Learning for Initialization

To obtain an initial population with better ergodicity and randomness, a Logistic chaotic mapping was employed to generate sequences within the interval (0, 1), which were then mapped to the search space. Meanwhile, Opposition-Based Learning (OBL) was introduced to further expand the coverage of the population [32].
The Logistic map is as follows:
z k + 1 = μ z k ( 1 z k ) , μ = 4 , z k ( 0 , 1 )
which was subsequently mapped onto the search space:
X i , j = l b j + ( u b j l b j ) z i , j , i = 1 , , N ,   j = 1 , , d
The opposite individuals are as follows:
X i , j o p p = l b j + u b j X i j
After merging the chaotic sequences { X i } and the opposite individuals { X i o p p } , a simple proxy dispersion metric is employed to select the top N samples as the final initialized population, thereby enhancing its initial diversity and balance. In the formulation, z k represents the value of the chaotic sequence at the k iteration, and μ denotes the chaos control parameter, which is set to 4 here. Here, X i , j denotes the coordinate of the i individual in the j dimension; N represents the population size; and d corresponds to the dimensionality of the problem. l b j and u b j refer to the lower and upper bounds of the j dimension, respectively, with X i , j o p p defined as the opposite point of X i , j with respect to the interval [ l b j , u b j ]. In this design, the chaotic sequences contribute ergodicity combined with stochasticity, while opposition-based learning provides symmetrical complementarity. Their synergistic integration promotes a more uniform initialization distribution, enabling broader coverage of the entire search space and thereby effectively mitigating the risk of premature convergence.

3.1.2. Annealing-Driven Search

An annealing-style exploration strategy is implemented in the early stage of the algorithm: the temperature parameter simultaneously modulates both the perturbation magnitude and the acceptance probability of inferior solutions, thereby facilitating a transition from “wide-area jumping” to “orderly convergence.”
The generation of candidate solutions follows Equation (6):
X ˜ i = X i t + ε s ( τ ) ( X X i t ) + σ ( τ ) ς ( 0 , I )
where ε s ( τ ) = ε 0 τ and σ ( τ ) = σ 0 τ ( ε 0 = 0.5, σ 0 = 0.2), and ς ( 0 , I ) represents Gaussian noise with zero mean and unit covariance. The Metropolis acceptance criterion is expressed as:
P ( a c c e p t ) = exp ( max ( Δ f , 0 ) T ) Δ f = f ( X ˜ i ) f ( X i t )
If u U n i f ( 0 , 1 ) , and u   <   P ( a c c e p t ) , then X ˜ i is accepted; otherwise, a minor perturbation is performed to maintain diversity and apply boundary projection:
X i t + 1 = X ˜ i Π [ l b , u b ] ( X i t + σ ( τ ) ς ( 0 , I ) )
where X i t + 1 denotes the position of the i individual at the t generation; X represents the current best individual; X ˜ i is a candidate solution generated via annealing-based perturbation; Δ f indicates the fitness difference between the candidate and the current solution; T is the current temperature; T 0 is the initial temperature; τ = T / T 0 denotes the normalized temperature; u U n i f ( 0 , 1 ) stands for a uniform random variable over (0, 1); and Π [ l b , u b ] performs dimension-wise boundary projection.
In summary, σ ( τ ) , the higher temperature, yields a larger perturbation magnitude and a greater probability of accepting inferior solutions, thereby promoting extensive exploration in the early phase. As the temperature declines, both the perturbation scale and the acceptance rate decrease, shifting the search toward steady refinement and helping to avoid secondary convergence or premature stagnation.

3.1.3. The Adaptive-Weighted Exploitation Phase of WOA

The algorithm switches to the WOA exploitation phase when condition τ γ is met. To enhance precision and stability in the later search stages, an adaptive weight ω ( t ) is introduced after both the encircling and spiral updating mechanisms to attenuate the step size. The adaptive weight is designed as follows:
ω ( t ) = ω max t T max ( ω max ω min )
where ω max = 1.0, ω min = 0.3.
The weighted encircling mechanism is formulated as follows:
X i t + 1 2 = X A   |   C X X i t |     | A | < 1 X r a n d A   |   C X r a n d X i t | | A | 1
The weighted spiral bubble-net updating is formulated as follows:
X i t + 1 2 = |   X X i t   |   e b l cos ( 2 π l ) + X l U n i f ( 1 , 1 )
X i t + 1 = X i t + ω ( t ) ( X i t + 1 2 X i t )
Furthermore, a projection is applied to X i t + 1 . In the formulation, T max denotes the maximum number of iterations; ω ( t ) , ω max and ω min correspond to the adaptive weight and its upper and lower bounds, respectively; X r a n d represents an individual randomly selected from the current population; A = 2 a r 1 a , C = 2 r 2 and a = 2 a t / T max are the standard WOA coefficients; b is the spiral coefficient ( b = 0.5 ); and l U n i f ( 1 , 1 ) is the spiral random factor. The parameter ω ( t ) decreases across iterations, enabling “rapid approach” in the early phase and “fine-tuned exploitation” in the later phase. This mechanism, together with the linear decay of a and the alternating application of the two updating operators, effectively balances exploitation versus moderated exploration.

3.2. Performance Validation of the Improved Whale Optimization Algorithm

To validate the effectiveness of the improved WOA, comparative experiments were conducted against the Snake Optimizer (SO), Harris Hawks Optimization (HHO), and the original WOA on the CEC 2017 benchmark suite. Four representative functions from the test set—spanning unimodal, multimodal, and hybrid types—were selected for evaluation under 30-dimensional conditions. The four test functions are shown in the following Table 2.
Four benchmark functions from CEC 2017, namely F1, F4, F5, and F15, were selected for validation. These functions belong to the unimodal, multimodal, and hybrid categories, with theoretical optimal values of 100, 300, 500, and 1500, respectively. The search range for all functions was set to [−100, 100]D, with a population size of 30, dimensionality of 30, and a maximum iteration count of 200. All algorithm validations in this section were conducted under the following computational environment: an Intel Core I5-12400F processor (3.0 GHz), 32 GB RAM, Windows 10 Professional 64-bit operating system, and MATLAB R2022b.
Figure 3 presents the comparative results of different algorithms on fundamental multimodal functions. According to Figure 3a,b, for the unimodal functions, the improved IWOA exhibits a faster convergence rate in the early stages of iteration. In Figure 3c, the whale optimization algorithm demonstrates overall suitability for optimizing multimodal functions. Its convergence speed outperforms both SO and the original WOA, with convergence performance generally superior to other compared algorithms. The value obtained by IWOA is closest to the optimum, particularly excelling over WOA and SO. In Figure 3b, although the convergence curve remains roughly on par with other algorithms before the 50th iteration, a notable divergence occurs thereafter. While SO escapes the local optimum earlier, it ultimately fails to converge to a better solution than IWOA. The other two compared algorithms only manage to escape local optima around 200 and 380 iterations, respectively, which substantiates the rapid convergence and accuracy of the proposed IWOA.
The results of the ablation study are presented in Figure 4. As evidenced by the ablation study on the F1 test function, the original WOA exhibits the slowest convergence during iteration. The variant equipped only with an adaptive-weight strategy remains relatively slow, yet it provides a noticeable improvement: although its convergence is initially sluggish, it accelerates in the later stage and eventually converges faster than the baseline WOA. In addition, the WOA versions incorporating chaotic opposition-based learning and the annealing-inspired search mechanism both achieve favorable performance, approaching that of the final IWOA. Overall, these results indicate that each proposed enhancement yields measurable benefits compared with the original WOA.

3.3. ISMC Design

Integral sliding mode control (ISMC) is a nonlinear control approach in which the control law is designed based on a sliding manifold, driving the system states to reach the manifold within a finite time and then evolve along it toward the desired equilibrium. However, conventional sliding mode control often suffers from chattering, which can degrade control performance. To alleviate this issue, an integral term is introduced into the sliding manifold to form ISMC, enabling a smoother approach to the sliding manifold and effectively reducing chattering. As a result, ISMC enhances tracking accuracy and smoothness while maintaining robustness. Based on the levitation system model shown in Figure 2, the sliding manifold s is designed as:
s = e + c 1 e + c 2 e d t
where e = x 1 x 1 r e f denotes the levitation gap error, and c 1 and c 2 are the sliding manifold parameters.
The exponential reaching law is defined as follows:
s ˙ = ε tanh ( s ) k s s ,   ε > 0 ,   k s > 0
where ε is the reaching speed coefficient, k s is the exponential decay coefficient, and tanh ( s ) denotes the hyperbolic tangent function.
From Equations (13) and (14), the following expression can be obtained:
ε tanh ( s ) k s s = k d i 2 m 1 x 1   2 g k x 2 x 1 + c x 2 x 1 m 1 + c 1 e + c 2 e
From Equation (15), the current control law can be derived as follows:
i = x 1 m 1 k d g + k x 2 x 1 + c x 2 x 1 m 1 c 1 e c 2 e ε tanh ( s ) k s s
To analyze the stability of the proposed controller, a Lyapunov function is constructed as follows:
V = 1 2 s 2
By combining Equations (13) and (14), we obtain:
V ˙ = s s ˙ = s ε tanh ( s ) k s s
where ε s tanh ( s ) < 0 and k s s 2 < 0 . Therefore, V ˙ < 0 , and the stability of the system is guaranteed.
To evaluate the dynamic performance of the ISMC strategy, a sinusoidal excitation with an amplitude of 3000 N and a frequency range of 0–100 Hz is applied to the electromagnet, and the variation in the system amplitude response under different excitation frequencies is investigated. The resulting amplitude–frequency response curves are shown in Figure 5.
Under swept-frequency sinusoidal excitation, the system’s amplitude–frequency response exhibits an overall smooth trend. A slight amplification is observed in the low-frequency range, after which the amplitude gradually attenuates and becomes stable as the excitation frequency increases. These results indicate that the proposed control strategy provides favorable dynamic stability.

3.4. Design of IWOA-ISMC Control Framework

Integral sliding mode control exhibits strong robustness in suppressing system uncertainties and external disturbances; however, its control performance is highly dependent on the selection of controller parameters. Improper parameter configuration may result in slow system response or even induce chattering phenomena. Given the strong nonlinearity of the levitation system, experience-based parameter tuning methods are insufficient to obtain an optimal parameter combination. Therefore, an improved whale optimization algorithm (IWOA) is introduced to globally optimize the parameters of the integral sliding mode controller, thereby enhancing the dynamic performance and robustness of the system. The proposed IWOA-ISMC framework is illustrated in Figure 6.
The operating procedure of the proposed IWOA-ISMC scheme is as follows. The ISMC outputs the control current to the levitation system, and the electromagnet generates the corresponding levitation force driven by the control current to regulate the levitation gap. The IWOA evaluates the fitness based on the levitation gap and performs parameter optimization for the ISMC; the overall optimization workflow is illustrated in Figure 7. The newly optimized control parameters are then fed back into the ISMC for simulation, yielding an updated levitation gap. Through iterative optimization, the globally optimal control parameters are obtained and applied for levitation control. The pseudocode of the proposed IWOA-ISMC strategy is provided in Table 3.

4. Comparison of Simulation Performance of the Levitation System Under Different Operating Conditions

Considering that various external factors may introduce disturbances during the operation of practical maglev trains, this section validates the effectiveness and robustness of the proposed control algorithm by designing multiple simulation scenarios.
To ensure the accuracy and reproducibility of the simulation study, the implementation parameters of the considered controllers are explicitly provided. For the integral sliding mode controller (ISMC), the key gains are set as follows: error gain c 1 = 100 , integral error gain c 2 = 50 , feedback gain ε = 1 , and switching gain k s = 10 , 000 , which is introduced to enhance robustness against disturbances. For the backstepping controller, the parameters are selected as c 11 = 500 and c 22 = 120 . As a widely used benchmark, the PID controller parameters are set to k p = 61 , 508 , k i = 1 , 943 , 374 , and k d = 752.7 . These preset parameters ensure that all controllers can achieve basic stable levitation prior to IWOA optimization, thereby allowing subsequent performance improvements to be clearly attributed to the optimization effect of IWOA rather than to differences in initial parameter settings.

4.1. Simulation Performance Comparison Under Track Irregularities

Condition 1 is defined as the track irregularity disturbance scenario. The vertical irregularity profiles on the left and right sides of the guideway along the electromagnet running path are generated by fitting the irregularity spectrum so as to emulate track irregularities arising during construction, such as guideway surface roughness, misalignment between adjacent segments, construction tolerances, pier-height deviations, and bearing settlement. The corresponding simulation results are presented below:
Figure 8 presents the levitation gap response of the levitation system operating under the track irregularity condition. To better visualize the control performance of the proposed method, a zoomed-in view around t = 2 s is included. Table 4 compares the levitation gap performance indices obtained with different control algorithms. Under the proposed IWOA-ISMC scheme, the mean absolute deviation of the levitation gap is reduced by 95.63% compared with the PID controller, 92.53% compared with the backstepping controller, 72.20% compared with ISMC, and 48.97% compared with WOA-ISMC. Similarly, the standard deviation is reduced by 95.61%, 92.47%, 71.94%, and 48.73%, respectively. The peak-to-peak value is reduced by 95.46% relative to PID, 92.07% relative to backstepping, 72.18% relative to ISMC, and 47.56% relative to WOA-ISMC. Figure 9 shows the vehicle body acceleration response under track irregularities, indicating that IWOA-ISMC achieves better ride smoothness than the other methods. Overall, these results demonstrate the superior capability of the proposed IWOA-ISMC in rejecting track irregularity disturbances.

4.2. Simulation Performance Comparison Under Sudden Force Disturbance

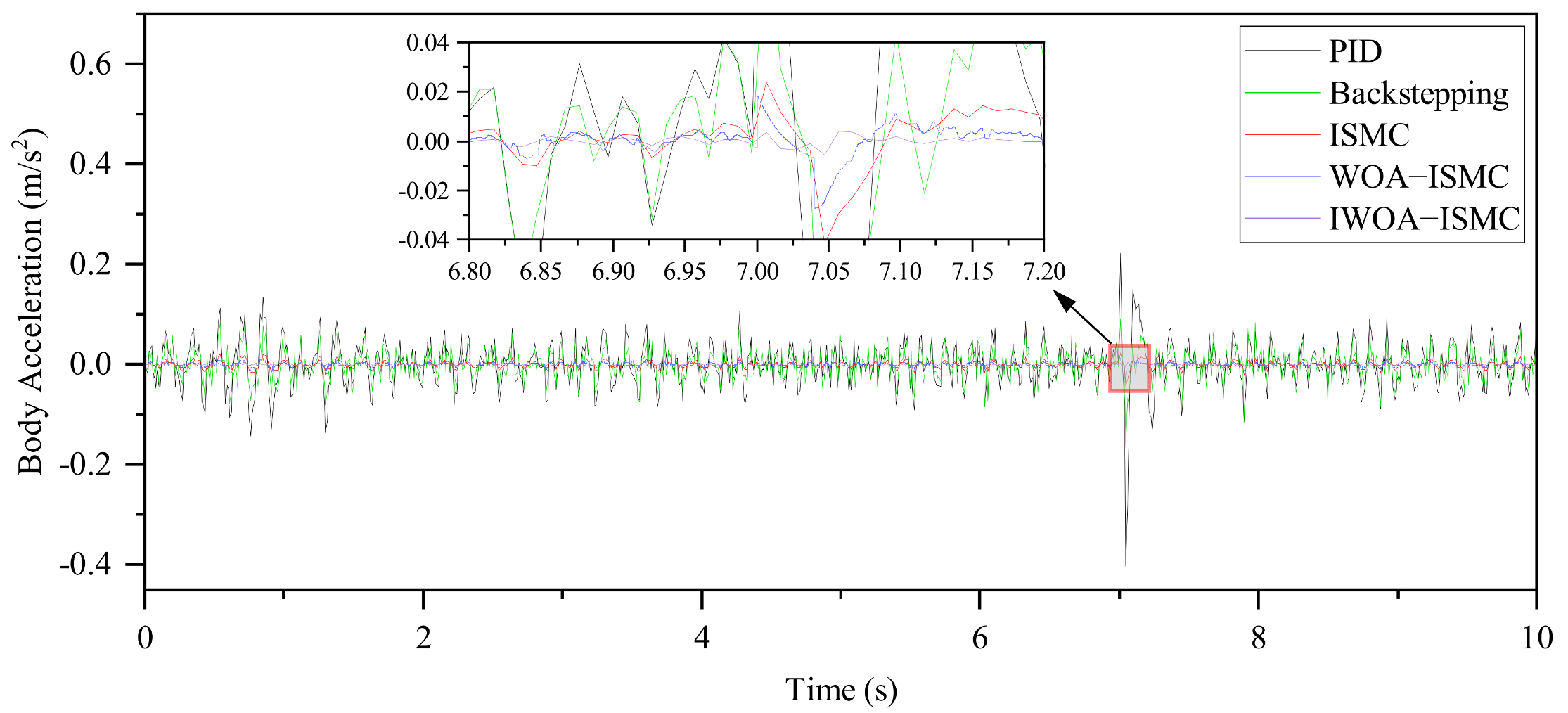
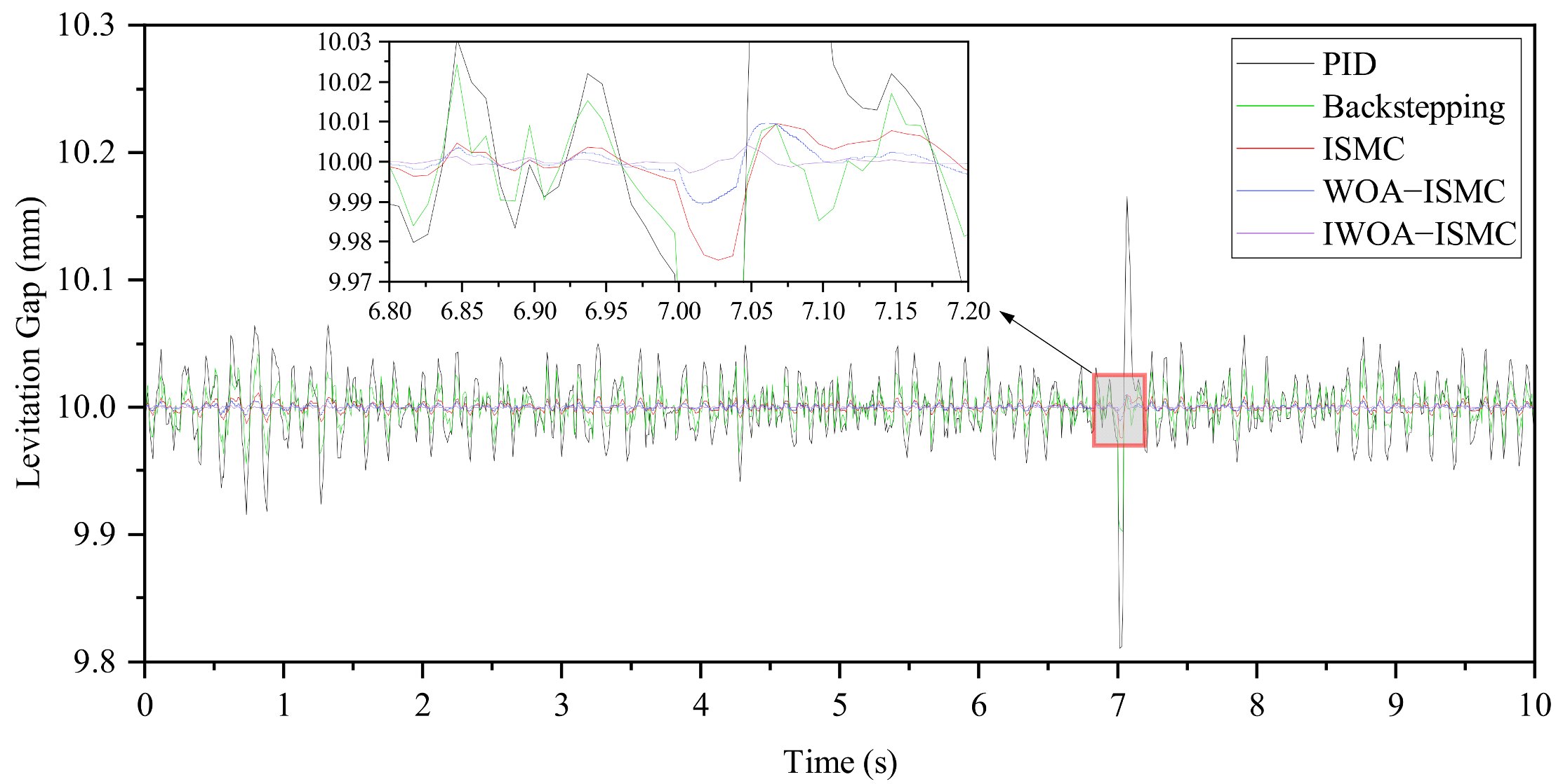
Condition 2 is defined as a sudden force disturbance scenario. With track irregularities included, a 3000 N step disturbance force is applied at t = 7 s to emulate an abrupt event during train operation.
Figure 10 shows the levitation gap response of the levitation system under the track irregularity condition with an additional 3000 N step force applied at t = 7 s. To better illustrate the control performance of the proposed method, a zoomed-in view around t = 7 s is provided. Table 5 compares the levitation gap performance indices of different control algorithms. Under the proposed IWOA-ISMC scheme, the mean absolute deviation of the levitation gap is reduced by 97.36% compared with the PID controller, 95.35% compared with the backstepping controller, 82.96% compared with ISMC, and 68.42% compared with WOA-ISMC. Likewise, the standard deviation is reduced by 97.54%, 95.52%, 83.24%, and 68.63%, respectively. The peak-to-peak value is reduced by 98.02% relative to PID, 94.91% relative to backstepping, 80.37% relative to ISMC, and 65.13% relative to WOA-ISMC. Figure 11 presents the vehicle body acceleration response under the sudden force disturbance, indicating that IWOA-ISMC yields smoother vehicle body motion when the step disturbance occurs at t = 7 s. Overall, these results demonstrate that the proposed IWOA-ISMC provides robust performance against sudden force disturbances under track irregularities.

4.3. Simulation Performance Comparison Under Aerodynamic Lift Disturbance

Condition 3 is defined as the aerodynamic lift disturbance scenario. To emulate the influence of aerodynamic lift acting on the vehicle body during maglev operation, a periodic disturbance force FC is introduced to the vehicle body under the track irregularity excitation condition, and its expression is given in Equation (19).
F C = 1000 + 500 sin ( 20 t )
Figure 12 shows the levitation gap response of the levitation system under the track irregularity condition with an additional aerodynamic lift disturbance applied to the vehicle body. To better visualize the control performance of the proposed method, a zoomed-in view around t = 2 s is provided, and the peak near t ≈ 1.84 s in Figure 13 is further enlarged for detailed observation. Table 6 compares the levitation gap performance indices obtained with different control algorithms. Under the proposed IWOA-ISMC scheme, the mean absolute deviation of the levitation gap is reduced by 98.16% compared with the PID controller, 92.85% compared with the backstepping controller, 73.39% compared with ISMC, and 51.42% compared with WOA-ISMC. Likewise, the standard deviation is reduced by 98.00%, 92.84%, 73.13%, and 50.90%, respectively. The peak-to-peak value is reduced by 97.09% relative to PID, 92.44% relative to backstepping, 73.50% relative to ISMC, and 47.37% relative to WOA-ISMC. Figure 13 presents the vehicle body acceleration response under aerodynamic lift. Since the vehicle body is not actively controlled by varying the spring–damper parameters, the differences among the acceleration responses obtained by the considered control methods are not pronounced. Overall, these results indicate that the proposed IWOA-ISMC exhibits robust performance in rejecting aerodynamic lift disturbances under track irregularities.

5. Conclusions

This paper investigates levitation control of a two-degree-of-freedom (2-DOF) single-point levitation system incorporating spring stiffness and damping, and proposes an IWOA-ISMC-based levitation controller for the 2-DOF system. A mathematical model of the spring–damper coupled 2-DOF single-point levitation system is established, and an integral sliding mode control (ISMC) scheme is developed accordingly. Moreover, an improved whale optimization algorithm (IWOA) is devised by enhancing the conventional whale optimization algorithm with Logistic chaotic mapping and opposition-based learning for population initialization, together with an annealing-inspired search mechanism and an adaptive weight decay strategy. The resulting IWOA is then employed to optimize the key parameters of ISMC, yielding the proposed IWOA-ISMC approach. Finally, extensive simulations under multiple operating conditions are performed, and the proposed method is benchmarked against PID, backstepping, ISMC, and WOA-ISMC. Comparisons of levitation gap responses and vehicle body accelerations demonstrate that IWOA-ISMC achieves superior control performance over the considered baseline controllers.

Author Contributions

Conceptualization, M.W.; methodology, R.W.; software, L.H. and Z.H.; writing—original draft preparation, Z.H. and L.H.; writing—review and editing, P.L. funding acquisition, M.W. and P.L. All authors have read and agreed to the published version of the manuscript.

Funding

This research was funded by National Natural Science Foundation of China (NO. 12472020), The Major Technology Research and Development Program of the Hebei Provincial Science and Technology (NO. 24292201Z), Hebei Province’s Full-time Recruitment of High-Level Talent Research Project (NO. 2024HBQZYCXY014), and The Hebei Provincial Natural Science Foundation (NO. E2024210122, NO. E2025210158).

Institutional Review Board Statement

Not applicable.

Informed Consent Statement

Not applicable.

Data Availability Statement

The original contributions presented in this study are included in the article. Further inquiries can be directed to the corresponding author.

Conflicts of Interest

The authors declare no conflicts of interest.

References

  1. Zhai, W.; Zhao, C. Frontiers and challenges of sciences and technologies in modern railway engineering. J. Southwest Jiaotong Univ. 2016, 51, 209–226. [Google Scholar]
  2. Deng, Z.; Liu, Z.; Li, H.; Zhang, W. Development status and prospect of maglev train. J. Southwest Jiaotong Univ. 2022, 57, 455–474, 530. [Google Scholar]
  3. Xv, F.; Luo, S.; Deng, Z. Study on key technologies and whole speed range application of maglev rail transport. J. China Railw. Soc. 2019, 41, 40–49. [Google Scholar]
  4. Lee, H.-W.; Kim, K.-C.; Lee, J. Review of Maglev Train Technologies. IEEE Trans. Magn. 2006, 42, 1917–1925. [Google Scholar] [CrossRef]
  5. Sun, Y.; Xu, J.; Chen, C.; Hu, W. Reinforcement Learning-Based Optimal Tracking Control for Levitation System of Maglev Vehicle with Input Time Delay. IEEE Trans. Instrum. Meas. 2022, 71, 7500813. [Google Scholar] [CrossRef]
  6. Sun, Y.; Xu, J.; Lin, G.; Sun, N. Adaptive Neural Network Control for Maglev Vehicle Systems with Time-Varying Mass and External Disturbance. Neural Comput. Appl. 2023, 35, 12361–12372. [Google Scholar] [CrossRef]
  7. Long, Z.; Hong, H.; Zhou, X. Research of nonlinear control for maglev train. Control Theory Appl. 2003, 20, 399–402. [Google Scholar]
  8. Acharya, D.S.; Mishra, S.K.; Swain, S.K.; Ghosh, S. Real-Time Implementation of Fractional-Order PID Controller for Magnetic Levitation Plant with Time Delay. IEEE Trans. Instrum. Meas. 2022, 71, 3001011. [Google Scholar] [CrossRef]
  9. de Jesus Rubio, J.; Lughofer, E.; Pieper, J.; Cruz, P.; Ivan Martinez, D.; Ochoa, G.; Antonio Islas, M.; Garcia, E. Adapting H-Infinity Controller for the Desired Reference Tracking of the Sphere Position in the Maglev Process. Inf. Sci. 2021, 569, 669–686. [Google Scholar] [CrossRef]
  10. Yau, J.D. Vibration Control of Maglev Vehicles Traveling over a Flexible Guideway. J. Sound Vib. 2009, 321, 184–200. [Google Scholar] [CrossRef]
  11. Guo, Z.; Li, Z.; Tan, C. Speed tracking control of permanent magnet maglev trains based on DMC-FOPID control algorithm and adaptive PSO. J. China Railw. Soc. 2023, 45, 74–84. [Google Scholar]
  12. Feng, Y.; Zhang, P.; Zou, J.; Deng, Z. System identification and IMC-PID parameter tuning method for a maglev ball system. J. Vib. Shock 2025, 44, 66–75. [Google Scholar] [CrossRef]
  13. Yang, Y.; Huang, C.; Dai, C.; Long, Z. An Active Resisting Disturbance Control Method for High-Speed Maglev Train with Weak Model Dependence. ISA Trans. 2025, 163, 172–183. [Google Scholar] [CrossRef]
  14. Chen, P.; Shi, T.; Yu, M.; Chen, Y.; Shi, Y. Sliding mode active disturbance rejection levitation control algorithm of the medium- and low-speed maglev vehicles. J. Railw. Sci. Eng. 2023, 20, 682–693. [Google Scholar] [CrossRef]
  15. Sun, Y.; Qiang, H.; Xu, J.; Lin, G. Internet of Things-Based Online Condition Monitor and Improved Adaptive Fuzzy Control for a Medium-Low-Speed Maglev Train System. IEEE Trans. Ind. Informat. 2020, 16, 2629–2639. [Google Scholar] [CrossRef]
  16. Sathiyavathi, S. Design of Sliding Mode Controller for Magnetic Levitation System. Comput. Electr. Eng. 2019, 78, 184–203. [Google Scholar] [CrossRef]
  17. Chen, C.; Xv, J.; Lin, G.; Rong, L.; Sun, Y. Sliding mode control of maglev train suspension system with neural network acceleration feedback. J. Tongji Univ. (Nat. Sci.) 2021, 49, 1642–1651. [Google Scholar]
  18. Sun, Y.; Xu, J.; Qiang, H.; Lin, G. Adaptive Neural-Fuzzy Robust Position Control Scheme for Maglev Train Systems with Experimental Verification. IEEE Trans. Ind. Electron. 2019, 66, 8589–8599. [Google Scholar] [CrossRef]
  19. Mirjalili, S.; Lewis, A. The Whale Optimization Algorithm. Adv. Eng. Softw. 2016, 95, 51–67. [Google Scholar] [CrossRef]
  20. Mohammed, H.M.; Umar, S.U.; Rashid, T.A. A Systematic and Meta-Analysis Survey of Whale Optimization Algorithm. Comput. Intell. Neurosci. 2019, 2019, 8718571. [Google Scholar] [CrossRef]
  21. Nadimi-Shahraki, M.H.; Zamani, H.; Varzaneh, Z.A.; Mirjalili, S. A Systematic Review of the Whale Optimization Algorithm: Theoretical Foundation, Improvements, and Hybridizations. Arch. Comput. Methods Eng. 2023, 30, 4113–4159. [Google Scholar] [CrossRef] [PubMed]
  22. Xv, H.; Zhang, D.; Wang, Y.; Song, T.; Fan, Y. Hybrid strategy to improve whale optimization algorithm. Comput. Eng. Des. 2020, 41, 3397–3404. [Google Scholar] [CrossRef]
  23. Wu, Z.; Mou, Y. Improved whale optimization algorithm. Appl. Res. Comput. 2020, 37, 3618–3621. [Google Scholar] [CrossRef]
  24. Wang, Z.; Li, Y.; Tang, Y. An Efficient Hybrid DE-WOA Algorithm for Numerical Function Optimization. In Proceedings of the 2019 IEEE 28th International Symposium on Industrial Electronics (ISIE), Vancouver, BC, Canada, 12–14 June 2019; pp. 2629–2634. [Google Scholar]
  25. Kaur, G.; Arora, S. Chaotic Whale Optimization Algorithm. J. Comput. Des. Eng. 2018, 5, 275–284. [Google Scholar] [CrossRef]
  26. Jin, Q.; Xu, Z.; Cai, W.; Jin, Q.; Xu, Z.; Cai, W. An Improved Whale Optimization Algorithm with Random Evolution and Special Reinforcement Dual-Operation Strategy Collaboration. Symmetry 2021, 13, 238. [Google Scholar] [CrossRef]
  27. Shen, Y.; Zhang, C.; Soleimanian Gharehchopogh, F.; Mirjalili, S. An Improved Whale Optimization Algorithm Based on Multi-Population Evolution for Global Optimization and Engineering Design Problems. Expert Syst. Appl. 2023, 215, 119269. [Google Scholar] [CrossRef]
  28. He, J.; He, Z.; Liu, J.; Zhang, Y.; Zhang, F.; Liang, F.; Wang, T.; Xiao, L.; Wang, X. An Effective Power Optimization Approach Based on Whale Optimization Algorithm with Two-Populations and Mutation Strategies. Chin. J. Electron. 2024, 33, 423–435. [Google Scholar] [CrossRef]
  29. Liu, L.; Bai, K.; Dan, Z.; Zhang, S.; Liu, Z. Whale Optimization Algorithm with Global Search Strategy. J. Chin. Comput. Syst. 2020, 41, 1820–1825. [Google Scholar]
  30. Sun, Y.; Chen, Y. Multi-Population Improved Whale Optimization Algorithm for High Dimensional Optimization. Appl. Soft Comput. 2021, 112, 107854. [Google Scholar] [CrossRef]
  31. Wang, Z.; Dou, Z.; Dong, J.; Si, S.; Wang, C. Adaptive dynamic whale optimization algorithm based on multi-strategy improvement. Comput. Eng. Des. 2022, 43, 2638–2645. [Google Scholar] [CrossRef]
  32. Rai, R.; Sasmal, B.; Das, A.; Bharasa, T.; Dhal, K.G.; Naskar, P.K. Opposition Based Learning for Metaheuristic Algorithms: Theory, Variants, Applications, and Performance Evaluation. Swarm Evol. Comput. 2026, 100, 102271. [Google Scholar] [CrossRef]
Figure 1. Four-point levitation test bench.
Figure 1. Four-point levitation test bench.
Actuators 15 00118 g001
Figure 2. Schematic diagram of the two-degree-of-freedom single-point levitation system.
Figure 2. Schematic diagram of the two-degree-of-freedom single-point levitation system.
Actuators 15 00118 g002
Figure 3. Comparative performance of different algorithms on unimodal, multimodal, and hybrid functions. (a) Convergence curve of F1; (b) convergence curve of F4; (c) convergence curve of F5; (d) convergence curve of F15.
Figure 3. Comparative performance of different algorithms on unimodal, multimodal, and hybrid functions. (a) Convergence curve of F1; (b) convergence curve of F4; (c) convergence curve of F5; (d) convergence curve of F15.
Actuators 15 00118 g003aActuators 15 00118 g003b
Figure 4. Ablation study results.
Figure 4. Ablation study results.
Actuators 15 00118 g004
Figure 5. Amplitude–frequency response curves.
Figure 5. Amplitude–frequency response curves.
Actuators 15 00118 g005
Figure 6. IWOA-ISMC framework.
Figure 6. IWOA-ISMC framework.
Actuators 15 00118 g006
Figure 7. IWOA flowchart.
Figure 7. IWOA flowchart.
Actuators 15 00118 g007
Figure 8. Levitation gap response under track irregularities.
Figure 8. Levitation gap response under track irregularities.
Actuators 15 00118 g008
Figure 9. Vehicle body acceleration response under track irregularities.
Figure 9. Vehicle body acceleration response under track irregularities.
Actuators 15 00118 g009
Figure 10. Levitation gap response under sudden force disturbance.
Figure 10. Levitation gap response under sudden force disturbance.
Actuators 15 00118 g010
Figure 11. Vehicle body acceleration response under sudden force disturbance.
Figure 11. Vehicle body acceleration response under sudden force disturbance.
Actuators 15 00118 g011
Figure 12. Levitation gap response under aerodynamic lift.
Figure 12. Levitation gap response under aerodynamic lift.
Actuators 15 00118 g012
Figure 13. Vehicle body acceleration response under aerodynamic lift.
Figure 13. Vehicle body acceleration response under aerodynamic lift.
Actuators 15 00118 g013
Table 1. Parameters of the levitation system.
Table 1. Parameters of the levitation system.
Physical ParametersUnitValue
Levitation frame mass m1kg100
Vehicle body levitated
mass m2
kg230
Number of turns of the electromagnet coil NTurns340
Pole face area of the electromagnet Asmm215,000
Target levitation gap xrefmm10
Equilibrium current i0A24.7
Table 2. Mathematical models of the benchmark functions.
Table 2. Mathematical models of the benchmark functions.
Function NameMathematical Model
F1 f 1 ( x ) = x 1 2 + 10 6 i = 2 D x i 2
F4 f 3 ( x ) = i = 1 D x i 2 + ( i = 1 D 0.5 x i ) 2 + ( i = 1 D 0.5 x i ) 4
F5 f 5 ( x ) = i = 1 D ( x i 2 10 cos ( 2 π x i ) + 10 )
F15 f 15 ( x ) = i = 1 D x i 2 4000 i = 1 D cos ( x i i ) + 1
Table 3. Pseudocode of the IWOA-ISMC algorithm.
Table 3. Pseudocode of the IWOA-ISMC algorithm.
IWOA-ISMC Algorithm
Population   size   N ,   maximum   number   of   iterations   T ma x ,   parameter   dimension   D ,   and   parameter   bounds   [ l b , u b ] Global optimal solution Xbest
  Initialization and Evaluation:
  Generate the initial parameter population using chaotic mapping and opposition-based learning.
  Substitute each parameter set into the levitation system for simulation.
  Calculate the fitness of all individuals based on system performance.
  Record the individual with the best fitness as Xbest.
  Main Optimization Loop (repeated for Tmax iterations):
   a. Update the control coefficient a and the adaptive weight ω.
   b. For each individual in the population:
    i. According to a random probability, select the “encircling”, “search”, or “spiral” strategy to generate new parameters.
    ii. Ensure that the new parameters remain within the prescribed bounds.
    iii. Apply the new parameters to the ISMC.
    iv. Perform levitation control simulation of the two-degree-of-freedom model.
    v. Compute the fitness based on the levitation gap obtained from the simulation.
    vi. If the new parameters yield better performance, replace the old individual.
    vii. If the new parameters outperform Xbest, update Xbest.
   c. Apply the elitism strategy.
End
Return Xbest to the ISMC for levitation control.
Table 4. The gap index of each control method under condition 1 (unit: mm).
Table 4. The gap index of each control method under condition 1 (unit: mm).
Mean Absolute DeviationStandard DeviationPeak-to-Peak Value
PID0.0184400000.023010.14927
Backstepping0.0108000000.013420.08553
ISMC0.0029000000.003600.02437
WOA-ISMC0.0015800000.001970.01293
IWOA-ISMC0.0008063170.001010.00678
Table 5. The gap index of each control method under condition 2 (unit: mm).
Table 5. The gap index of each control method under condition 2 (unit: mm).
Mean Absolute DeviationStandard DeviationPeak-to-Peak Value
PID0.0196400000.0268300000.35586
Backstepping0.0111400000.0146900000.13858
ISMC0.0030400000.0039300000.03591
WOA-ISMC0.0016400000.0021000000.02022
IWOA-ISMC0.0005178990.0006588460.00705
Table 6. The gap index of each control method under condition 3 (unit: mm).
Table 6. The gap index of each control method under condition 3 (unit: mm).
Mean Absolute DeviationStandard DeviationPeak-to-Peak Value
PID0.028800000.034150000.18200
Backstepping0.0074100000.009530000.07015
ISMC0.0019900000.002540000.02000
WOA-ISMC0.0010900000.001390000.01007
IWOA-ISMC0.0005295220.000682520.00530
Disclaimer/Publisher’s Note: The statements, opinions and data contained in all publications are solely those of the individual author(s) and contributor(s) and not of MDPI and/or the editor(s). MDPI and/or the editor(s) disclaim responsibility for any injury to people or property resulting from any ideas, methods, instructions or products referred to in the content.

Share and Cite

MDPI and ACS Style

Hao, Z.; Hao, L.; Liu, P.; Wang, R.; Wang, M. Research on Levitation Control of a Two-Degree-of-Freedom System Based on IWOA-ISMC. Actuators 2026, 15, 118. https://doi.org/10.3390/act15020118

AMA Style

Hao Z, Hao L, Liu P, Wang R, Wang M. Research on Levitation Control of a Two-Degree-of-Freedom System Based on IWOA-ISMC. Actuators. 2026; 15(2):118. https://doi.org/10.3390/act15020118

Chicago/Turabian Style

Hao, Ziyang, Linjie Hao, Pengfei Liu, Ruichen Wang, and Meiqi Wang. 2026. "Research on Levitation Control of a Two-Degree-of-Freedom System Based on IWOA-ISMC" Actuators 15, no. 2: 118. https://doi.org/10.3390/act15020118

APA Style

Hao, Z., Hao, L., Liu, P., Wang, R., & Wang, M. (2026). Research on Levitation Control of a Two-Degree-of-Freedom System Based on IWOA-ISMC. Actuators, 15(2), 118. https://doi.org/10.3390/act15020118

Note that from the first issue of 2016, this journal uses article numbers instead of page numbers. See further details here.

Article Metrics

Back to TopTop