Next Article in Journal
Research on Inertial Force Suppression Control for Hydraulic Cylinder Synchronization of Shield Tunnel Segment Erector Based on Sliding Mode Control
Next Article in Special Issue
Fully-Distributed Bipartite Consensus for Linear Multiagent Systems with Dynamic Event-Triggered Mechanism Under Signed Topology Network
Previous Article in Journal
An Adaptive Estimation Model for the States and Loads in Electro-Hydraulic Actuation Systems
Previous Article in Special Issue
On Control Synthesis of Hydraulic Servomechanisms in Flight Controls Applications
 
 
Font Type:
Arial Georgia Verdana
Font Size:
Aa Aa Aa
Line Spacing:
Column Width:
Background:
Article

Adaptive Event-Triggered Full-State Constrained Control of Multi-Agent Systems Under Cyber Attacks

College of Science, Liaoning University of Technology, Jinzhou 121001, China
*
Author to whom correspondence should be addressed.
Actuators 2025, 14(9), 448; https://doi.org/10.3390/act14090448
Submission received: 9 August 2025 / Revised: 6 September 2025 / Accepted: 9 September 2025 / Published: 11 September 2025
(This article belongs to the Special Issue Advanced Technologies in Actuators for Control Systems)

Abstract

For multi-agent systems under Denial-of-Service (DoS) attacks, a relative threshold strategy for event triggering and a state-constrained control method with prescribed performance are proposed. Within the framework of combining graph theory with the leader–follower approach, coordinate transformation is utilized to decouple the multi-agent system. Inspired by the three-way handshake technology of TCP communication, a DoS detection system is designed based on event-triggering. This system is used to detect DoS attacks, prevent the impacts brought by DoS attacks, and reduce the update frequency of the controller. Fuzzy logic systems are employed to approximate the unknown nonlinear functions within the system. By using a first-order filter to approximate the derivative of the virtual controller, the computational complexity issue in the backstepping method is addressed. Furthermore, The Barrier Lyapunov Function (BLF) possesses unique mathematical properties. When the system state approaches the pre-set boundary, it can exhibit a special variation trend, thereby imposing a restrictive effect on the system state. The Prescribed Performance Function (PPF), on the other hand, defines the expected performance standards that the system aims to achieve in the tracking task, covering key indicators such as tracking accuracy and response speed. By organically integrating these two functions, the system can continuously monitor and adjust its own state during operation. When there is a tendency for the tracking error to deviate from the specified range, the combined function mechanism will promptly come into play. Through the reasonable adjustment of the system’s control input, it ensures that the tracking error always remains within the pre-specified range. Finally, through Lyapunov analysis, the proposed control protocol ensures that all closed-loop signals remain bounded under attacks, with the outputs of all followers synchronizing with the leader’s output in the communication graph.

1. Introduction

With the rapid advancements in technology, Multi-Agent Systems (MASs) have found widespread applications across various domains. These systems are typically composed of multiple autonomous agents, each equipped with their own sensing, decision-making, and execution capabilities. In practical applications, these agents communicate and coordinate with each other through a network to achieve common goals. Guowei Dong [1] studied nonlinear multi-agent systems in non-strict feedback form. He used the Nussbaum function to deal with the output dead zone problem. Eventually, the tracking error of the system converged to a small neighborhood within a finite time. Wang Wei [2] focused on a class of nonlinear multi-agent systems with unmeasurable states. He designed an output feedback controller by using a state observer, and in this controller, an auxiliary system was designed to solve the problem of input saturation.
However, due to the openness and complexity of networks, MASs are vulnerable to a variety of security threats, with Denial-of-Service (DoS) attacks being a common method. A DoS attack aims to disable a system by depleting its resources or disrupting network communication. In the context of MASs, a DoS attack can lead to communication breakdowns, degradation in control performance, and even system collapse. To enhance the security and robustness of MASs against such attacks, it is crucial to study the adaptive event-triggered full-state constrained control of MASs under network attacks. Y. Wang [3] designed a hybrid distributed control protocol to ensure consensus safety of MASs under DoS attacks, which was validated through numerical examples for its effectiveness in reducing the impact of attacks and maintaining system stability. The paper also provides a tolerance threshold for attack parameters to quantify the system’s resistance to DoS attacks. Tian-Yu Zhang [4] introduces a distributed event-triggered controller for achieving consensus objectives of MASs under Impulsive and Random DoS (IRDoS) attacks. It also provides sufficient conditions for the attack duration and success probability under the premise of ensuring safe consensus of MASs. Hao Liu [5] presents a new definition of complete DoS attacks and a dual-layer switching system model to describe asynchronous DoS attacks. Successful DoS attacks can partition the communication topology into multiple isolated subgraphs. Based on this, the original system is transformed into a dual-layer switching system with stable and unstable modes, where each unstable subsystem consists of a finite second-level unstable subsystem representing continuous successful DoS attacks. The paper employs a novel Dual-Mode Dependent Lyapunov Function (DMDLF) method to obtain the lower and upper bounds of the average dwell time (ADT) for each subsystem. The results show that it is possible to resist the effects of asynchronous DDoS attacks and achieve consistency in multi-agent outputs. K. Pan [6] studied the scenario of implementing multi-channel Denial-of-Service (DoS) attacks in a multi-agent formation system (MAS). This study provides a distributed formation control protocol to achieve the desired formation in the presence of DoS attacks and adopts an online adjustment method to correct the interactions between adjacent agents. In addition, based on state information, the performance guarantee conditions for effectively regulating the state errors among all agents are derived. In other words, in the form of Linear Matrix Inequalities (LMIs), sufficient conditions for the stability of the system are derived with respect to the cognitive structure of the controller and the allowable duration of the attack. Y Xu [7] proposed an innovative event-triggered control scheme. This scheme achieves cooperative control of a multi-agent system (MAS) under Denial-of-Service (DoS) attacks by utilizing the relative states (instead of absolute states) among agents. The core approach lies in designing a link-reference-based distributed state estimator, which is used to evaluate the relative states among agents during intermittent communication outages. Z Li [8] addressed high-order uncertain nonlinear multi-agent systems subjected to DoS attacks and actuator faults. A method based on the logical relationship between the voltage signals of system components was adopted to detect DoS attacks, and an event-triggered mechanism was employed to reduce the resource consumption of system control. Ye D [9] explored the distributed event-triggered consensus problem of nonlinear multi-agent systems under cyber attacks. Different from existing studies, it focused on the situation where the communication topology was frequently attacked by cyber threats, resulting in damaged communication links and paralyzed system topology. It was assumed that the attacks were recoverable, and agents could stop communicating when there was no directed spanning tree in the topological graph. The multiple Lyapunov function method was used to reduce the communication frequency. Liu J [10] studied the security consensus control problem of discrete-time multi-agent systems (MASs). An algorithm was proposed to obtain the target gain matrix without any dynamic information, and the feasibility of this algorithm was proven using this gain matrix and the designed Lyapunov function. He H [11] designed an adaptive fuzzy resilient control strategy for switched systems with deception attacks and state constraints. The Nussbaum function was used to solve the problem of unknown control directions, and a novel adaptive resilient controller and a mode-dependent switching law were designed to counteract the impacts of network attacks.
Despite the progress made in exploring the impact of network attacks on the consensus control of MASs, the key factor of state constraints has been largely overlooked. State-constrained consensus control aims to ensure that all agents in the MAS converge to a common state while satisfying state constraints. Such problems are prevalent in numerous fields, including unmanned aerial vehicle formations, multi-robot collaboration, and intelligent transportation systems. The presence of state constraints not only limits the movement range of agents but also may affect system stability and performance. Yanhui Zhang [12] investigated the consensus tracking problem of nonlinear MASs with state constraints and unknown disturbances. For the case where the states of each follower and its neighbors are unmeasurable, the paper proposes an observer. Jianhui Wang [13] established an adaptive consensus control method using backstepping techniques and Barrier Lyapunov Functions (BLFs) to ensure the performance of MASs under full state constraints, regardless of whether actuators fail. For uncertain nonlinear MASs, it also provides a finite-time neural network (NN) consensus control scheme to ensure synchronization of system signals within a finite time. Zhang [14] proposed an adaptive fuzzy output feedback control method for a class of uncertain multi-input multi-output (MIMO) switched nonlinear systems with prescribed performance and unmeasurable states. Z Xu [15], regarding nonlinear systems with full state constraints, used the Extended State Observer (ESO) and the Nonlinear Disturbance Observer (NDO) to solve the problems of unmeasurable states and unmeasurable disturbances in the system. Moreover, by using the Barrier Lyapunov Function (BLF) and the Prescribed Performance Function (PPF), the prescribed performance for system tracking and the constraints on system states were achieved. He Y [16] designed a switched MIMO state observer to estimate unmeasurable system states and solved the problem of computational complexity in the backstepping process according to the command filter. When designing the Lyapunov function, the Barrier Lyapunov Function was adopted to limit the system states.
From a practical perspective, in the process of pursuing the achievement of expected control objectives, it is crucial to consider the associated costs. This includes the expenses incurred during the design, implementation, and maintenance stages of the controller, as well as the possible increase in production costs and the decrease in efficiency that may be caused by changes in the control strategy. Therefore, when formulating a control strategy, one cannot merely focus on the control effect but must also incorporate cost and efficiency factors into the comprehensive consideration to achieve the optimal balance between the control effect and economic benefits. In modern control systems, especially in networked control systems and distributed control systems, a large amount of data communication is required among multiple subsystems to achieve coordinated control. However, resources such as the bandwidth and transmission capacity of the communication network are often limited. The traditional time-triggered control method usually conducts data collection and control signal updates at a fixed sampling period, which will lead to a large amount of data transmission in the network, easily causing network congestion and reducing the real-time performance and reliability of the system. Event-triggered control, on the other hand, decides whether to perform data transmission and control actions according to the actual state changes of the system. Communication and control are only triggered when the system state meets specific triggering conditions, effectively reducing unnecessary data transmission and improving the utilization rate of communication resources. Heemels W P M H [17] mainly introduced event-triggered control and self-triggered control. The former responds passively when the deviation between the state of the controlled object and the expected value exceeds the threshold, while the latter actively calculates the next operation time in advance. The differences between state feedback and output feedback in event-triggered control were also discussed, and how to implement these two types of control using existing wireless communication technologies was described. Their applications in the wireless control of the process industry were also mentioned. Girard A [18] proposed a new class of dynamic event-triggered mechanisms, proved the stability of the closed-loop system under this mechanism, explored the influence of design parameters on the decay rate of the Lyapunov function, determined the lower limit of the execution interval time for linear systems, and studied the effect of parameters on the quadratic integral performance index. Xianming Zhang [19] proposed an accumulative-error-based event-triggered control scheme for discrete-time linear systems, extended the looped functional method from continuous-time to discrete-time systems, derived LMI-based conditions for co-designing control gains and event-triggered parameters, applied the method to systems with input saturation to ensure convergence to a region of attraction, and validated the effectiveness through simulations of an unstable reactor and an inverted pendulum system. Xianming Zhang [20] proposed an accumulated-state-error-based event-triggered sampling scheme for H-infinity control of sampled-data systems, proved the exclusion of Zeno behavior, constructed a novel looped-functional to establish stability and H-infinity performance criteria, co-designed the controller and event-triggering parameters via LMIs, and developed a self-triggered implementation strategy, validated through a batch reactor and an inverted pendulum system.
The existence of state constraints has a significant impact on the stability and performance of multi-agent systems (MASs). Moreover, saving communication resources also holds great significance in practical applications, especially when facing external disturbances such as network attacks. Currently, research that takes these several issues into account simultaneously remains largely unexplored, which brings broad research space and challenges to the relevant fields, especially when considering simultaneous constraints on system states, communication resources, and resilience against DoS attacks. The key challenges include:
  • Designing a detection mechanism that distinguishes between effective and ineffective DoS attacks without excessive communication.
  • Ensuring full-state constraints are not violated while maintaining tracking performance.
  • Reducing computational complexity in the controller design to facilitate real-time implementation.
  • Integrating event-triggering mechanisms to save communication resources without compromising stability.
Additionally, compared to existing methods such as those in [3,4,5,6,7,8,9,10,11], this paper provides a more comprehensive framework that integrates DoS attack detection, event-triggered communication, and full-state constraints under a unified Lyapunov-based design. While references [3,8,21] focus primarily on consensus under DoS attacks without explicit state constraints, and references [15,16] address state constraints without considering communication resources or attack resilience, our approach simultaneously tackles these challenges. Moreover, the proposed method distinguishes between effective and ineffective DoS attacks—a feature not commonly addressed in prior works that enhances practical applicability in real-world networked systems.
Compared with [2,5,6,7,8,15,16,17,18], this paper includes the following innovations.
  • We design a Denial-of-Service (DoS) attack detection mechanism to counter DoS attacks against the controller of a multi-agent system. This mechanism incorporates an event-triggered mechanism to save system communication resources and mitigate the adverse consequences that may be brought about by network congestion.
  • A Barrier Lyapunov Function is designed, and a Prescribed Performance Function is added based on this function to limit the tracking error within the given prescribed function. This plays a very good role in the state constraint and control accuracy of the multi-agent system.
  • For the non-linear terms in the multi-agent system presented in this paper, fuzzy logic functions are used for processing. Moreover, to simplify the computational complexity, the dynamic surface technique is employed to handle the problem of differentiating the virtual control law during the use of the backstepping method. The dynamic surface technique approximates the derivative of the virtual controller with the aid of a first-order filter, thereby avoiding the direct differentiation of the virtual control law in the backstepping method. Specifically, by introducing a low-pass filter at each backstepping design stage, this filter can smoothly handle the changes in the virtual control law, effectively reducing the computational complexity. This approach not only simplifies the design process of the control law but also improves the real-time performance and stability of the control system, enabling the multi-agent system to operate more efficiently and reliably when facing complex tasks and environments.

2. Preliminary

2.1. Graph Theory

Graph theory is utilized to depict the interactions among agents in a network. The directed graph G = V , E , Λ consists of a vertex set V = n 1 , , n N , an edge set E = n i , n j V × V , and an adjacency matrix Λ = a i , j R N × N . The nodes represent the followers, and an edge n i , n j E indicates information flow from agent i to agent j. The neighbor set of node i is denoted by N i = j | n i , n j E . Each element a i , j of Λ is defined as a i , j > 0 if n i , n j E and a i j = 0 if n i , n j E . It is assumed that a i i = 0 , and the topology is fixed. A directed graph has a spanning tree if there is a root node such that a directed path exists from the root to every other node in the graph. The Laplacian matrix L = L i j R N × N is defined as L i j = a i j if i j ; otherwise, L i j = j N i a i j . The degree matrix D = d i a g d 1 , , d N , where d i = j N i a i j .
The leader adjacency matrix is defined as Λ 0 = d i a g a 10 , , a N 0 , where a i 0 > 0 if and only if follower i can access the leader’s information; otherwise, a i 0 = 0 . For the sake of simplicity, denote H = L + Λ 0 .

2.2. FLSs

To address the inherent unknown nonlinearities within the system, we will employ Fuzzy Logic Systems (FLSs). Fuzzy Logic Systems (FLSs) are often used to handle such nonlinear functions and have been shown to achieve good results, which are expressed as follows.
Rule:
R i : IF x 1 is F 1 i and x 2 is F 2 i and x n is F n i
then
y is G i
where F j i j = 1 , 2 , , n and G i denote fuzzy set. Moreover, x i = x 1 , , x n T and y represent the input and output of FLSs, respectively. Based on this, the FLS is described by
y x = i = 1 N θ i j = 1 n μ F j i x j i = 1 N j = 1 n μ F j i x j
where θ i = max y R μ G i y .
The fuzzy basis functions are defined as
φ i x = j = 1 n μ F j i x j i = 1 N j = 1 n μ F j i x j
where i = 1 , , N . Denote θ T = θ 1 , , θ N , φ x = φ 1 x , , φ N x T , then the equation can be rewritten as
y x = θ T φ i x

2.3. Young’s Inequality

Lemma 1
([22]). For any x R n and x R n , a > 1 , b > 1 , c > 0 , and ( a 1 ) ( b 1 ) = 1 , the following inequality holds:
x T y c a a x a + 1 b c b y b
Lemma 2
([22]). Defining x p = x 1 , x 2 , x p T , x q = x 1 , x 2 , x q T when p < q , the basis function φ x satisfies the following:
φ x q 2 φ x p 2
Lemma 3
([23]). For any variable l R , such that the following inequality holds:
0 l l 2 l 2 + r 2 r
where the constant r > 0 .
In this chapter, the target of the denial-of-service attack is to block the information transmission channels between internal components of the system, rendering the cooperative control strategy ineffective. Here, the denial-of-service attacks are categorized into effective attacks and ineffective attacks. We define h l i l N D as the sequence of effective denial-of-service attacks, where h l i 0 , and N D is a natural number representing the total number of denial-of-service attacks. The time intervals for l effective denial-of-service attacks are as follows:
H l i = h l i [ h l i , h l i + o l i )
o l i R + is the duration of the l effective denial-of-service attacks. An effective denial-of-service attack implies that there is at least one attempt to update the control input during the denial-of-service attack time interval.
We define D i t 1 , t 2 and H i t 1 , t 2 as the unions of effective and ineffective denial-of-service attacks, respectively.
D i t 1 , t 2 = l N D h l i , h l i + o l i t 1 , t 2
H i t 1 , t 2 = l N D h l i + o l i , h l + 1 i t 1 , t 2
For any 0 t 1 < t 2 , it can be obtained that
H i t 1 , t 2 = t 1 , t 2 D i t 1 , t 2
H i t 1 , t 2 = t 2 D i t 1 , t 2
Assumption 1
([8]). For any 0 t 1 < t 2 , there exist ζ R + and T > 1 such that the inequality D i t 1 , t 2 ζ + t 2 t 1 / T holds true.

2.4. Denial-of-Service (DoS) Attack Detection Mechanism

In this article, the mechanism of the TCP three-way handshake is borrowed. Through the request, response, and acknowledgment mode, it ensures that both communication parties have a consistent understanding of the connection status, thereby guaranteeing the subsequent reliable data transmission. The article involves the sending data signal (SDA) and the acknowledgment signal (ACK). The SDA is output by the sending-end component, and the ACK is output by the receiving-end component. Both of them are composed of high level (1) and low level (0). There are specific relationships between different signals. On the one hand, the value of the SDA is determined by specific conditions:
S D A = 0 ;   β i t ξ i v h i t + ϱ i T i , p i * l N D H l i 1 ;   e l s e
S D A = 1 ;   W h e n t h e r e c e i v i n g c o m p o n e n t o b t a i n s a s i g n a l w i t h a l o w v o l t a g e l e v e l f r o m t h e t r a n s m i t t e r c o m p o n e n t 0 ;   e l s e
It is 0 when specific conditions are met, and 1 otherwise. At the same time, when the receiving end receives a low voltage level signal from the sending end, the SDA is 1, and it is 0 otherwise. On this basis, the value of ι i can be determined by the following signal states:
ι i = 0 ;   S D A = 0 A C K = 1 S D A = 1 A C K = 0 1 ;   e l s e
Furthermore, it can be concluded that v i t = ι i v h i t 1 ι i v d i t , where v d i t represents the control input signal when there is an effective denial-of-service attack, v h i t represents the control input signal when there is no effective attack, and ι i is the switching signal of the control input.
The SDA signal will change according to different mechanisms based on the system state. When the system is in a safe state, it follows the event-triggered mechanism; when it encounters an effective denial-of-service attack, it operates according to the periodic elastic mechanism. At the update moment T p + 1 * , the SDA signal changes from a high level to a low level. After the receiving end receives the low-level SDA signal and updates the control input, the ACK signal changes from a low level to a high level. When the sending end receives the high-level ACK signal, the SDA signal changes back from a low level to a high level. After the operation is completed, the two respectively return to the high-level and low-level states. If the receiving end does not receive the low-level SDA signal, it means that the event-triggered condition is not met, or the event-triggered component is being effectively attacked. When both the SDA and ACK signals are at a low level, the detection mechanism is activated, and an attempt is made to update the control input at time intervals of Δ * .
The denial-of-service attack detection mechanism based on the SDA and ACK signals and the detection results are provided in Table 1.
When it comes to the last situation, adopt a periodic update strategy, The SDA signal remains at a low level at intervals of Δ * , the detector checks the state of the event-triggered component at intervals of Δ * , and the event-triggered component is restored to a secure state when the channel becomes available again.
When under an ineffective denial-of-service attack, the relative threshold event-triggering mechanism is defined as follows:
T i , p + 1 i = inf t > T i , p i β i t ξ i v h i + ϱ i
wherein the event-triggering error β i t = Π i t v h i t determines whether the control input v h i t for an ineffective denial-of-service attack will be updated. Π i t represents the intermediate transition control signal. 0 < ξ i < 1 and ϱ i > 0 are parameters designed within the event-triggering mechanism.
Based on the above analysis, for the control input v h i t , the controller update rules are defined as follows:
T i , p + 1 i * = T i , p i * + Δ * ,   i f   p F i T i , p + 1 i * ,   e l s e
where F i = p N * T i , p i * l N D H l i , Δ * is a positive constant that determines the detection frequency of the detector.

2.5. System Construction

Inspired by graph theory, the communication mode of multi-agents is considered, and thus a multi-agent system with N nodes is obtained. The mathematical model of the i-th follower is as follows [22]:
x ˙ i , k = x i , k + 1 + f i , k x ¯ i , k = 1 , , n i 1 x ˙ i , n = u i + f i , n i ( x ¯ n i ) y i = x i , 1 , i = 1 , , N
In which the state vector of the i-th follower is x ¯ i , n i = x i , 1 , , x i , n i T R n i , and its output signal is y i R . f i , k . k = 1 , , n i is an unknown nonlinear function that cannot be described by a specific function among the followers. v i t R is the control input that will be designed by the Lyapunov function later.
Assumption 2
([22]). There exists a set of predefined constants ρ ¯ i , k i = 1 , , N , k = 1 , , n i . For X 1 , X 2 R k , the following inequality holds:
f i , k X 1 f i , k X 2 ρ ¯ i , k X 1 X 2
in which . represents the Euclidean norm of a vector.
Assumption 3
([22]). The reference signal y r t R is a smooth function of time and can be transmitted to the root agent. Furthermore, it, along with its first and second derivatives with respect to time, are all bounded by known constants.
Although Assumptions 1–3 are standard in the literature for ensuring system stability under DoS attacks, they may not cover more sophisticated threats such as deception attacks or unbounded disturbances. Future work could explore relaxing these assumptions by incorporating adaptive mechanisms or robust control techniques.
To ensure the clarity and systematic nature of the control strategy, the overall framework of the proposed adaptive event-triggered full-state constrained controller is first presented in Figure 1. This framework integrates core modules such as DoS attack detection, an event-triggering mechanism, adaptive fuzzy control, and state constraint handling, forming a synergistic and organic whole.

3. The Design of Distributed Fuzzy State Feedback Controller

3.1. Control Design Under Ineffective Denial-of-Service (DoS) Attack Coordinate Transformation

s i , 1 = j N a i , j ( y i y j ) + a i , 0 ( y i y i , r ) s i , k = x i , k ω i , k ,   k = 2 , 3 , , n i y i , k = ω i , k α i , k 1
Here, ω i , k is the output of a first-order filter used to approximate the virtual control law α i , k 1 , defined as follows:
τ i , k ω ˙ i , k + ω i , k = α i , k 1 , ω i , k ( 0 ) = α i , k 1 ( 0 )
Step 1: Differentiate with respect to s i , 1 .
s ˙ i , 1 = j N i a i , j ( y ˙ i y ˙ j ) + a i , 0 ( y ˙ i y ˙ i , r ) = ( d i + a i , 0 ) [ x i , 2 + f i , 1 ( x ¯ i ) ] a i , 0 y ˙ i , r j N i a i , j [ x j , 2 + f j , 1 ( x ¯ j ) ] = q i [ s i , 2 + y i , 2 + α i , 1 + f i , 1 ( x ¯ i ) ] a i , 0 y ˙ i , r j N i a i , j [ x j , 2 + f j , 1 ( x ¯ j ) ]
Design parameter Θ i , 1 * = θ i , 1 * 2 ( i = 1 , 2 , , n i ) , Θ ^ i , 1 is an estimate of Θ i , 1 * , and Θ ˜ i , 1 = Θ i , 1 * Θ ^ i , 1 , j N i a i , j = d i , q i = d i + a i , 0 .
Define z i , 1 = s i , 1 t ρ A i , 1 t . The tracking error must strictly satisfy the following inequality to achieve the specified tracking performance: ρ t < s i , 1 t < ρ t   t > 0 , where ρ t denotes the designed specified performance function, which is expressed as follows:
ρ t = ρ 0 ρ e k t + ρ lim t ρ t = ρ > 0
where ρ 0 and ρ constrain the boundaries of the transient and steady-state tracking error s i , 1 , respectively, and k represents the convergence speed.
The BLF with PPF is constructed as follows:
V i , 1 = 1 2 log 1 1 z i , 1 2 + 1 2 Γ A i , 1 Θ ˜ i , 1 2
where log is the natural logarithm of •. We define z i , 1 = s i , 1 t ρ A , i t .
We differentiate (11) with respect to time and substitute the expressions of (6) and (9) into the derivative of (11).
V ˙ i , 1 = ρ A , i 1 z i , 1 1 z i , 1 2 [ q i ( z i , 2 + y i , 2 + α i , 1 + f i , 1 ( x ¯ i ) ) a i , 0 y ˙ i , r j N i a i , j x j , 2 j N i a i , j f j , 1 ( x ¯ j ) ρ ˙ A , i z 1 ] 1 Γ A i , 1 Θ ˜ i , 1 Θ ^ ˙ i , 1
According to the Lemma 1, we have the following:
z i , 1 ρ 1 1 z i , 1 2 q i y i , 2 1 2 y i , 2 2 + 1 2 q i ρ 1 z i , 1 1 z i , 1 2 2
z i , 1 j N i a i , j x j , 2 1 2 + s i , 1 2 2 j N i a i , j x j , 2 2
Substituting Equations (13) and (14) into Equation (12) yields the following:
V ˙ i , 1 ρ A , i 1 1 z i , 1 2 z i , 1 z i , 2 + z i , 1 q i α i , 1 + f i , 1 ( X i ) a i , 0 y ˙ i , r + 1 2 z i , 1 ρ ˙ A , i 1 Γ A i , 1 Θ ˜ i , 1 Θ i , 1 ^ ˙ + 1 2 y i , 2 2
where
f ¯ i , 1 ( X i ) = q i f i , 1 ( x ¯ i ) j N i a i , j f j , 1 ( x ¯ j ) + 1 2 q i 2 z i , 1 ρ A , i 1 1 z i , 1 2 2 a i , 0 y ˙ i , r + 1 2 z i , 1 j N i a i , j x j , 2 2
Using a fuzzy logic system for estimation, we obtain the following equation:
f ¯ i , 1 ( X i ) = θ i , 1 * T φ i , 1 X i + δ A i , 1   δ A i , 1 δ A i , 1 *
where X i = x i T , x j T , y i , r , y ˙ i , r T , δ A i , 1 is the approximation error.
According to Lemmas 1 and 2, we can obtain the following:
z i , 1 ρ A , i 1 1 z i , 1 2 θ i , 1 * T φ i , 1 X i + δ A i , 1 μ A i , 1 2 + 1 2 z i , 1 ρ A , i 1 1 z i , 1 2 2 + 1 2 μ A i , 1 z i , 1 ρ A , i 1 1 z i , 1 2 2 Θ i , 1 * × φ i , 1 T ( X i , 1 ) φ i , 1 X i , 1 + δ A i , 1 * 2 2
where X i , 1 = x i , 1 T , x j , 1 , y i , r , y ˙ i , r T , μ A i , 1 > 0 is the design parameter. Therefore, Equation (15) is rewritten as follows:
V ˙ i , 1 z i , 1 ρ A , i 1 1 z i , 1 2 [ 1 2 μ A i , 1 z i , 1 Θ ^ i , 1 φ i , 1 T X i , 1 φ i , 1 X i , 1 a i , 0 y ˙ i , r + q i α i , 1 + 1 2 z i , 1 ρ 1 1 z i , 1 2 + z i , 2 z i , 1 ρ ˙ A , i ] + 1 2 y i , 2 2 1 Γ A i , 1 Θ ˜ i , 1 [ Θ ^ ˙ i , 1 z i , 1 ρ A , i 1 1 z i , 1 2 2 Γ A i , 1 2 μ A i , 1 φ i , 1 T X i , 1 φ X i , 1 ] + D A i , 1
where the design parameters are Γ A i , 1 > 0 , D A i , 1 = μ A i , 1 2 + δ A i , 1 * 2 + 1 2 .
The designed virtual controller and parameter adaptation law are as follows:
α i , 1 = 1 q i c i , 1 A z i , 1 1 2 z i , 1 ρ A , i 1 1 z i , 1 2 z i , 1 1 2 μ A i , 1 z i , 1 Θ ^ i , 1 φ i , 1 T X i , 1 φ i , 1 X i , 1 + a i , 0 y ˙ i , r + ρ ˙ A , i
Θ ^ ˙ i , 1 = Γ A i , 1 2 μ A i , 1 z i , 1 ρ A , i 1 1 z i , 1 2 2 φ i , 1 T X i , 1 φ i , 1 X i , 1 Γ ¯ A i , 1 Θ ^ i , 1
Substituting Equations (18) and (19) into Equation (17),we have the following:
V ˙ i , 1 ρ 1 1 z i , 1 2 c i , 1 z i , 1 2 + z i , 1 z i , 2 + 1 2 y i , 2 2 Γ ¯ i , 1 Γ i , 1 Θ ˜ i , 1 Θ ^ i , 1 + D i , 1
We design a first-order filter as follows:
τ i , 2 z ˙ i , 2 + z i , 2 = α i , 1 , z i , 2 0 = α i , 2 0
According to y i , 2 = z i , 2 α i , 1 , it can be inferred that z ˙ i , 2 = y i , 2 / τ i , 2
y ˙ i , 2 = z ˙ i , 2 α ˙ i , 1 = y i , 2 τ i , 2 + B i , 2 Θ ^ i , 1 , y i , 2 , y i , r , y ˙ i , r , y ¨ i , r , s i , 1 , s i , 2
Remark 1.
When using the backstepping method for derivation, the term of the virtual controller’s derivative will be included in the Lyapunov function’s derivative after the second step. This term needs to be eliminated during the controller design. However, calculating the derivative of the virtual controller is a very complex task, so we designed a first-order filter to approximate it.
Step 2: From (6), (8), (9), we have the following:
z ˙ i , n i = u i + f i , 2 x ¯ i ω ˙ i , 2
The second-step Lyapunov function designed based on the error is as follows:
V i , 2 = 1 2 log L 2 L 2 z i , 2 2 + 1 2 y i , 2 2 + 1 2 Γ i , 2 Θ ˜ i , 2 2
where L > 0 is a constant used to constrain z i , 2 .
We differentiate V i , 2 to obtain the following:
V ˙ i , 2 z i , 2 L A i , 2 2 z i , 2 2 u i + f i , 2 x ¯ i ω ˙ i , 2 1 Γ A i , 2 Θ ˜ i , 2 Θ ^ ˙ i , 2 + y i , 2 B A i , 2 . y i , 2 2 τ A i , 2
Based on Lemmas 1 and 2, we obtain the following:
z i , 2 L i , 2 2 z i , 2 2 f i , 2 x ¯ i 1 2 μ A i , 2 z i , 2 L A i , 2 2 z i , 2 2 2 Θ i , 2 * φ i , 2 T X i , 2 φ X i , 2 + μ A i , 2 2 + 1 2 δ A i , 2 * 2 + 1 2 z i , 2 L A i , 2 2 z i , 2 2 2
where X i , n i = x i , 1 , x i , 2 , , x i , n i T , μ i , 2 is a positive constant design parameter.
By substituting Inequality (26) into Equality (25), we have the following:
V ˙ i , 2 1 L A , i 2 z i , 2 2 1 2 μ A i , n i z i , 2 2 L A i , 2 2 z i , 2 2 Θ i , 2 * φ i , 2 T X i , 2 φ i , 2 X i , 2 + 1 2 z i , 2 2 L A i , 2 2 z i , 2 2 + z i , 2 L A i , 2 2 z i , 2 2 μ A i , 2 i ω ˙ i , 2   1 Γ A i , 2 Θ ˜ i , 2 Θ ^ ˙ i , 2 + y i , 2 B A i , 2 . y i , 2 2 τ A i , 2 + μ A i , 2 2 + 1 2 δ A i , 2 * 2
The virtual controller α i , 2 and the adaptive law Θ ^ i , 2 for the second follower are designed as follows:
α i , 2 = c i , 2 A s i , 2 1 2 z i , 2 L A i , 2 2 z i , 2 2 + ω ˙ i , 2 z i , 2 Θ ^ i , 2 φ i , 2 T X i , 2 φ i , 2 X i , 2 ρ A , i 1 z i , 1 L A i , 2 2 z i , 2 2 1 z i , 1 2
Θ ^ ˙ i , 2 = z i , 2 L A i , 2 2 z i , 2 2 2 Γ A i , 2 2 μ A i , 2 φ i , 2 T X i , 2 φ i , 2 X i , 2 + Γ ¯ A i , 2 Θ ^ i , 2
We design an event-triggered control input for follower i:
u i t = t i u h i t i + 1 t i u d i t
where u d i t and u h i t correspond to the actuator input signals during the occurrence of an effective DoS attack and under different circumstances, respectively.
u h i t = Π i T i , p i   t T i , p i , T i , p + 1 i , p N *
Based on reference [24], within the interval T p i , T p + 1 i , there is i t = 1 + m i , 1 t ξ i u h i t + m i , 2 t ϱ i . Thus, we obtain the following:
u h i t = Π i t 1 + m i , 1 t ξ i m i , 2 t ϱ i 1 + m i , 1 t ξ i
We design the intermediate transition control signal as follows:
Π i t = 1 + ξ i z i , 2 α i , 2 2 z i , 2 2 α i , 2 2 + L i , 2 2 z i , 2 2 2 I A i 2 + z i , 2 γ ¯ i 2 z i , 2 2 γ ¯ i , 2 2 + L i , 2 2 z i , 2 2 2 I A i 2
where γ ¯ > ϱ i 1 ξ i , 0 < ξ i < 1 , I A i > 0 i = 1 , 2 , 3 .
Next, we scale the following expression to obtain
z i , 2 u i , 2 z i , 2 Π i t 1 + m i , 1 t ξ i + z i , 2 m i , 2 t ϱ i 1 + m i , 1 t ξ i z i , 2 Π i t 1 + ξ i + z i , 2 ϱ i 1 ξ i z i , 2 α i , 2 z i , 2 γ ¯ i + 2 L i , 2 2 z i , 2 2 I A i + z i , 2 ϱ i 1 ξ i z i , 2 α i , 2 + 2 L i , 2 2 z i , 2 2 I A i
and substitute it into V ˙ i , 2 , to obtain
V i , 2 c i , 2 A z i , 2 2 L A i , 2 2 z i , 2 2 ρ A , i 1 z i , 1 z i , 2 1 z i , 1 2 Γ ¯ A i , 2 Γ A i , 2 Θ ˜ i , 2 Θ ^ i , 2 y i , 2 2 τ A i , 2 + y i , 2 B A i , 2 ( ) + D A i , 2
where D A i , 2 = μ A i , 2 2 + δ A i , 2 * 2 + 2 I A i
As established in reference [13], the specific Lyapunov functions are employed as (9), (23), and differentiate these functions. From (19), (34) we have the following:
V ˙ = V ˙ i , 1 + V ˙ i , 2 ρ 1 1 z i , 1 2 c i , 1 A z i , 1 2 + z i , 1 z i , 2 + 1 2 y i , 2 2 Γ ¯ A i , 1 Γ A i , 1 Θ ˜ i , 1 Θ ^ i , 1 + D A i , 1 + c i , 2 A z i , 2 2 L A i , 2 2 z i , 2 2 ρ A , i 1 z i , 1 z i , 2 1 z i , 1 2 Γ ¯ A i , 2 Γ A i , 2 Θ ˜ i , 2 Θ ^ i , 2 y i , 2 2 τ A i , 2 + y i , 2 B A i , 2 ( ) + D A i , 2 ρ A , i 1 c i , 1 A log z i , 1 2 1 z i , 1 2 Γ ¯ A i , 1 Γ A i , 1 Θ ˜ i , 1 Θ ^ i , 1 + D A i , 1 c i , 2 A log z i , 2 2 1 z i , 2 2 Γ ¯ A i , 2 Γ A i , 2 Θ ˜ i , 2 Θ ^ i , 2 1 τ A i , 2 1 2 y i , 2 2 + y i , 2 B A i , 2 . + D A i , 2
Θ ˜ i , j Θ ^ i , j 1 2 Θ i , j * 2 1 2 Θ ˜ i , j 2
y i , 2 B i , 2 . 1 2 κ A i y i , 2 2 H A i , 2 2 + 2 κ A i ,   B A i , l . H A i , 2
Substituting (36) and (37) into (35), we have the following:
V ˙ i = 1 N ρ 1 c i , 1 A log z i , 1 2 1 z i , 1 2 c i , 2 A log z i , 2 2 1 z i , 2 2 Γ ¯ A i , 1 Γ A i , 1 Θ ˜ i , 1 Θ ^ i , 1 i = 1 N Γ ¯ A i , 2 Γ A i , 2 Θ ˜ i , 2 Θ ^ i , 2 + 1 τ A i , 2 H A i , 2 2 2 κ A i 1 2 y i , 2 2 D
V ˙ C 1 V + D 1
where
C 1 = i = 1 N 2 ρ A i , 1 1 c i , 1 A , 2 c i , 2 A , 1 2 + 1 2 κ A i H A i , l 2 1 τ A i , l , Γ ¯ A i , 1 2 Γ A i , 1 , Γ ¯ A i , 2 2 Γ A i , 2 , D 1 = i = 1 N D A i , 1 + D A i , 2 + Γ ¯ A i , 1 2 Γ A i , 1 Θ i , 1 * 2 + Γ ¯ A i , 2 2 Γ A i , 2 Θ i , 2 * 2 + 2 κ A i .

3.2. Control Design Under Effective Denial-of-Service (DoS) Attacks

According to the control strategy of multi-agent systems, when the event-triggered component is subjected to an effective Denial-of-Service (DoS) attack, the control input switches to u d i t .
Let
u d i t = Π i t
where Π i t is designed through Equation (32), and ξ i = 0 . Using the same controller design method and the same Lyapunov function as in Equation (38), we obtain the following:
V ˙ C 2 V + D 2
where
C 2 = i = 1 N 2 ρ B i , 1 1 c i , 1 B , 2 c i , 2 B , 1 2 + 1 2 κ B i H B i , l 2 1 τ B i , l , Γ ¯ B i , 1 2 Γ B i , 1 , Γ ¯ B i , 2 2 Γ B i , 2 , D 2 = i = 1 N D B i , 1 + D B i , 2 + Γ ¯ B i , 1 2 Γ B i , 1 Θ i , 1 * 2 + Γ ¯ B i , 2 2 Γ B i , 2 Θ i , 2 * 2 + 2 κ B i .
Since the proof process and the design of the adaptive control law are the same as those in (39), the proof process for (41) is given in that section.

4. Stability Analysis

4.1. Stability Analysis

This section mainly investigates the stability issue of closed-loop systems under Denial-of-Service (DoS) attacks. Through the design and analysis process of the aforementioned event-triggered control scheme, the following theorem is summarized.
Theorem 1.
We consider the nonlinear multi-agent system (3) with Denial-of-Service (DoS) attacks, where the DoS attacks satisfy Assumption 1 and the output of the virtual leader satisfies Assumption 3. Using the control input update rules (30) and (40), the virtual controllers (17), (27), the intermediate transition control signal (32), and the adaptive laws (18), (28), it is ensured that the trajectories of all follower ships remain within the convex hull formed by the leader, even in the presence of DoS attacks.
Proof. 
V ˙ t C 1 V + D 1 C 1 V + ϖ * , The event - triggered component is subjected to an ineffective attack . V ˙ t C 2 V + D 2 C 2 V + ϖ * , The event - triggered component is subjected to an effective attack .
Here, ϖ * = max D 1 , D 2
From Equations (39) and (41), it can be seen that when t a h l + o l , h l + 1 and the event-triggering mechanism is under an ineffective Denial-of-Service (DoS) attack, the following can be obtained:
V ˙ t a C 1 V t a + ϖ *
According to the definition of V,
V t a e C 1 t a h l + o l V h l + 0 l + ϖ * C 1
When t b h l + 1 , h l + 1 + o l + 1 , the event-triggering mechanism is under an ineffective Denial-of-Service (DoS) attack
V ˙ t b C 2 V t b + ϖ *
According to the definition of V,
V t b e C 2 t b h l + 1 V h l + 1 + ϖ * C 2
According to Equations (42) and (45), the stability of the multi-agent system will be analyzed in two cases.
Case 1.
t a h k + o k , h k + 1
Applying (45) recursively over k attack cycles,
V ( t ) e C 1 ( t ( h k + o k ) ) [ e C 2 o k ( e C 1 ( ( h k + o k ) ( h k 1 + o k 1 ) ) ϖ * C 1 × e C 1 ( ( h 1 + o 1 ) 0 ) V ( 0 ) + ϖ * C 1 + ϖ * C 2 ) ] + ϖ * C 1
where D k = l = 1 k o l , and H k = h k + o k D k is the total duration of effective attacks and normal operation in [ 0 , h k + o k ] .
The expression simplifies to the following:
V ( t ) e C 2 D ( k ) e C 1 H ( k ) e C 1 ( t ( h k + o k ) ) V ( 0 ) + ϖ * C 1 1 + i = 1 k e C 1 ( t ( h i + o i ) ) + ϖ * C 2 j = 1 k e C 2 ( t h j )
Since e C 1 ( t ( h i + o i ) ) 1 and e C 2 ( t h j ) 1 , we have
V ( t ) e C 2 D ( k ) e C 1 H ( k ) e C 1 ( t ( h k + o k ) ) V ( 0 ) + ϖ * k C 1 + k C 2 + 1 C 1
Based on Assumption 1, k t T + ζ , but for asymptotic stability, we require a time-invariant bound. Therefore, we use the supremum bound:
V t e C 2 D k e C 2 H k e C 1 t h k + o k V 0 + ϖ * σ ¯
where σ ¯ = min C 1 , C 2 .
For H 0 , t = t D 0 , t , it can be obtained that
e C 2 D k e C 1 H k = e C 2 C 1 D k e C 1 t
According to the above analysis, it can be obtained that
V t ξ H e C 2 t V 0 + ϖ * σ ¯
where ξ H = e C 2 C 1 D k .
Case 2.
t a h k + 1 , h k + 1 + o k + 1
Following similar recursive derivation, we have
V t e C 2 D k e C 1 H k + 1 e C 1 t h k + 1 V 0 + ϖ * σ ¯
Based on (50) and Assumption 1, we can obtain
e C 2 D k e C 1 H k + 1 = e ( C 2 C 1 ) ( ξ + 1 T ) e C 1 t
Based on the above analysis, we can conclude that
V t ξ D e C 1 + C 2 + C 2 C 1 T t V 0 + ϖ * σ ¯
where ξ H = e C 2 C 1 ζ e C 2 h o + l .
According to Equations (39), (41), (49), (51), and Assumptions 1 and 3, it can be known that ξ H , ξ D , C 1 , and C 2 are positive constants. Analyzing Case 1: As time approaches infinity, the terms related to time e C 1 t tend to 0, then V t approaching ϖ * σ ¯ is bounded. Based on (51), Case 2 has been analyzed. When 1 T < 1 , if t and V t tends to ϖ * σ ¯ , the terms related to time e C 1 + C 2 + C 2 C 1 / T t 0 are bounded. From the definitions of V t in Equations (9) and (23), it can be seen that z i , j , Θ ^ i , j i = 1 , 2 , , N are bounded for all followers. According to reference [25], we can obtain χ i α i , m < ¯ i . Based on Theorem 1, the closed-loop system (3) is stable. Here, the proof is completed. Next, we will prove that the event-triggered control strategy proposed in this chapter can avoid the Zeno phenomenon; that is, it effectively prevent events from being updated and triggered an infinite number of times within a finite time. According to reference [25], it is known that there exist t * > 0 , T i , p + 1 i T i , p i t * , p N * to be proven. Based on the event-triggering error β i t = Π i t v h i t , for t T i , p i , T i , p + 1 i , there is
d d t β i t = d d t β i t × β i t 1 2 = s i g n β i t β ˙ i t Π ˙ i t
From Equation (32), it is known that the intermediate control signal Π i t is differentiable. Since all signals in the Π ˙ i t function are bounded, the constants m i > 0 and Π ˙ i t m i hold. For β i T i , p i = 0 and lim t T i , p + 1 i β i t = , t * m i can be obtained; therefore, the Zeno phenomenon is successfully avoided. The minimum inter-event time is explicitly lower-bounded by t * m i , where is the triggering threshold and m i is the upper bound of Π ˙ i t . In our simulation, t * 0.12 s, which ensures practical implementability.

4.2. Comparison and Robustness Analysis

Compared to the methods in [3,4,5,6,7,8,9,10,11], the proposed controller integrates several distinctive features:
  • A TCP-inspired DoS detection mechanism that distinguishes between effective and ineffective attacks, reducing unnecessary controller updates and communication burden.
  • The combination of the Barrier Lyapunov Function (BLF) and Prescribed Performance Function (PPF) ensures that state constraints are never violated while maintaining tracking accuracy—a feature not simultaneously addressed in [8] or [15].
  • The use of dynamic surface control (DSC) with first-order filters avoids the computational complexity of repeated differentiations in backstepping, which is more efficient than the approaches in [2,13].
The proposed control scheme exhibits inherent robustness against:
  • Approximation errors from fuzzy logic systems, as the adaptive laws and Lyapunov analysis account for estimation errors δ A i , k .
  • Time-varying disturbances and unmodeled dynamics, due to the use of BLF and PPF, which restrict state deviations within predefined bounds.
  • Intermittent DoS attacks, as the event-triggering mechanism and detection logic ensure that the system switches to a safe mode during effective attacks, maintaining stability under bounded attack durations.
Although this paper does not explicitly consider communication delays or measurement noise in the stability analysis, the structure of the BLF and adaptive mechanisms provides a foundation for handling such perturbations. Future work will include explicit delay and noise robustness analysis.

5. Simulation Example

To validate the theoretical results, we need to construct a dynamic model of the single-link robotic arm shown in the Figure 2 as the follower, then conduct simulation experiments.
The steps to perform this experiment are as follows:
J 1 q ¨ 1 + F 1 q ˙ 1 + K ( q 1 q 2 N ) + m g d cos q 1 = 0 J 2 q ¨ 2 + F 2 q ˙ 2 K N ( q 1 q 2 N ) = K t i L D i + R i + K b q ˙ 2 = u
where the angular displacement of the linkage and the motor shaft are q 1 and q 2 , the viscous friction constant is F 1 and F 2 , the armature current is i, the armature voltage is v, the inertia is J 1 and J 2 , the link mass is M, the acceleration due to gravity is g, the spring constant is K, the torque constant is K t , the center of gravity position of the link is d, the back electromotive force (EMF) constant is K b , the gear ratio is N, and the armature resistance and inductance are R and L.
From the above formulas, we can determine that
x 1 = x 2 ( R L + F 1 J 1 + F 2 J 2 ) y x 2 = u [ R L ( F 1 J 1 + F 2 J 2 ) + K b L K t J 2 + ( K J 1 + K J 1 J 2 ) ] y m g d J 1 cos y y = x 1
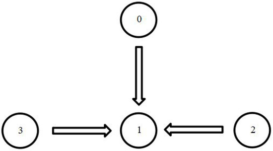
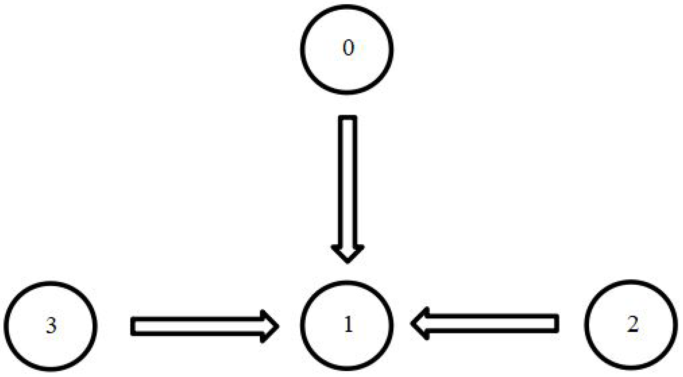
We consider the multi-agent system in the figure, where agent 0 is the leader and agents 1, 2, and 3 are followers, with the communication topology shown in Figure 3. The current leader–follower topology is simplified for clarity, but the proposed method can be extended to large-scale or directed graphs by leveraging graph-theoretic properties and distributed estimation techniques. The communication topology can be time-varying or switching, as long as the graph contains a directed spanning tree and the leader is reachable.
Leader trajectory: y i , r = 0.5 sin ( 2 t )
J 1 = J 2 = 100 kg m 2 , K t = 10 Nm / A , K b = 0.9 Nm / A , m = 0.5 kg , g = 9.8 N / kg , F 1 = F 2 = 0.001 Nms / rad , R = 1 Ω , K = 10 , L = 200 H , N = 2 .
The initial states are as follows: x i , 1 ( 0 ) = 0.3 , x i , 2 ( 0 ) = 0.1 , and the other parameters are ξ i = 0.01 , ϱ i = 0.1 , L A i , 2 = 15.2 , c i , 1 = 27.348 , c 1 , 2 = 36.32 , τ i , 2 = 0.98 , μ i = 0.5 , Γ i , 1 = 0.01 , Γ ¯ i , 1 = 0.01 , Γ i , 2 = 0.01 , Γ ¯ i , 2 = 0.02 , β = 97 / 99 , ρ t = 0.2 + 1.5 e 0.3 t .
From the communication diagram, we have Λ = 000 100 100 , ι = 000 100 100 . The simulation results are as follows.
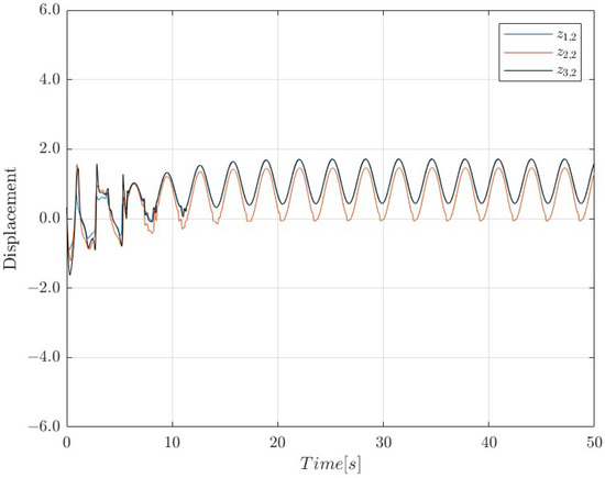
Figure 4 shows the scenario where three agents track the trajectory of the leader. Figure 5 displays the tracking errors between the three followers and the leader’s trajectory, respectively, as well as the performance function given in this paper. From Figure 4, Figure 5 and Figure 6, it can be seen that the control strategy designed in this paper is very effective, and the system output error converges to a small neighborhood within a certain period of time. Figure 7 and Figure 8 present the control inputs and the update instants of the controller, respectively. These two figures indicate that the network attack detection mechanism and the event-triggered strategy designed in this paper have achieved good results.
From the simulation results, it can be observed that compared to conventional event-triggered mechanisms and the methods in [3,8], the proposed approach incorporates a relative threshold event-triggering condition and a DoS-aware update rule. This significantly reduces unnecessary controller updates and communication frequency, especially during ineffective DoS attacks, thereby alleviating network congestion and saving communication resources. Unlike methods that do not explicitly distinguish between effective and ineffective DoS attacks (e.g., [3]), the proposed mechanism integrates a TCP-inspired DoS detection strategy. This allows the system to maintain stability and consistent tracking performance even under intermittent DoS attacks, enhancing resilience compared to typical event-triggered controls without attack adaptation. The combination of the Barrier Lyapunov Function (BLF) and Prescribed Performance Function (PPF) ensures that all state constraints are strictly satisfied and the tracking error converges to a predefined small neighborhood. In contrast, methods such as [8] do not simultaneously address full-state constraints and prescribed performance under DoS attacks, which may lead to constraint violations or degraded accuracy.

6. Conclusions

We designed an innovative adaptive fuzzy state feedback control strategy, which was constructed for a special multi-agent system with unknown non-linear terms. This multi-agent system, composed of multiple non-linear systems, not only faces severe threats from network attacks but is also subject to full-state constraints and limitations of communication resources due to its extremely complex operating environment. When designing the controller, we adopted a distributed control algorithm. With the aid of the communication graph, the controller can obtain key information from neighboring nodes. This information interaction method enables the subsystems in the multi-agent system to flexibly adjust their own control strategies according to the states of surrounding nodes, thus operating better in a changeable network environment.
In addressing the crucial issue of network attacks, especially for the currently extremely common Denial-of-Service (DoS) attacks, inspired by the three-way handshake mechanism of the TCP network protocol, we designed a reliable DoS attack detection mechanism. This mechanism is based on the logical relationship between the voltage level signals output by the controller and actuator components. Moreover, this mechanism incorporates an event-triggered mechanism, which can effectively reduce the communication frequency between the controller and the actuator. In the past, frequent communication not only consumed a large amount of resources but also easily aggravated network congestion when suffering from DoS attacks. The application of this mechanism has successfully alleviated the network congestion problem caused by DoS attacks, ensuring that the control system can still maintain stable operation even under malicious network interference, guaranteeing the reliability and continuity of the system.
Regarding the problem of full-state constraints, when constructing the Lyapunov function, this paper innovatively introduces the Barrier Lyapunov Function and integrates the performance function, enabling the signals of the multi-agent system to be constrained within the given performance function interval.
Finally, to verify the effectiveness of the proposed method in the multi-agent system, this paper applies the Lyapunov stability theorem. Through theoretical derivation and analysis, it is proven that the outputs of all followers in the system can be consistent with the output of the leader. Meanwhile, the tracking error is successfully confined within a relatively small neighborhood. This conclusion has also been verified via MATLAB simulation. This result fully demonstrates that the designed control method has high-performance and high-precision characteristics in practical applications, can meet the strict requirements of practical engineering for system stability and control accuracy, and provides valuable theoretical support and technical reference for engineering practices in related fields.
In terms of controller design, the adaptive fuzzy event-triggered control strategy adopted in this paper demonstrates satisfactory asymptotic stability and resource efficiency under DoS attacks and state constraints. However, its convergence rate depends on the initial state, and the convergence time cannot be predetermined. In contrast, the fixed-time nonlinear feedback control proposed by Polyakov [26] achieves strong robustness and convergence within a preset fixed time, independent of initial conditions, by leveraging bi-limit homogeneity and a polynomial feedback structure. Furthermore, the distributed fixed-time control strategy applied by Ning [27] in microgrids exemplifies the effectiveness of this control method in multi-agent coordination, along with its adaptability to communication delays and topological changes. In future work, we will draw on the fixed-time control design methodologies from references [26,27] to extend the current asymptotic controller into a fixed-time controller with faster convergence, stronger robustness, and a convergence time independent of initial conditions. This enhancement will be particularly suited for application scenarios requiring higher security and real-time performance.Additionally, we will explore distributed implementation under time-varying topologies, integration of machine learning techniques into fuzzy approximation, and practical applications in the field of UAV formation control.

Author Contributions

Conceptualization, J.W. (Juan Wang) and P.C.; methodology, J.W. (Jinxia Wu) and Y.L.; software, P.C.; validation, J.W. (Juan Wang) and P.C.; formal analysis, P.C.; investigation, P.C.; resources, J.W. (Juan Wang) and J.W. (Jinxia Wu); data curation, P.C.; writing—original draft preparation, P.C.; writing—review and editing, P.C.; visualization, J.W. (Juan Wang); supervision, Y.L.; project administration, J.W. (Jinxia Wu) and Y.L.; funding acquisition, J.W. (Juan Wang) and J.W. (Jinxia Wu). All authors have read and agreed to the published version of the manuscript.

Funding

This work was supported by the Natural Science Project of Liaoning Provincial Department of Science and Technology (No. 2024-MS-190), General Project of Liaoning Provincial Department of Education of China (No. JYTMS20230868), and the National Natural Science Foundation of China (No. 61903167).

Data Availability Statement

The data that support the findings of this study are available upon request from the corresponding author. The data are not publicly available due to privacy or ethical restrictions.

Conflicts of Interest

The authors declare no conflicts of interest.

References

  1. Dong, G.; Li, H.; Ma, H.; Lu, R. Finite-time consensus tracking neural network FTC of multi-agent systems. IEEE Trans. Neural Netw. Learn. Syst. 2020, 32, 653–662. [Google Scholar] [CrossRef]
  2. Wang, W.; Wang, D.; Peng, Z.; Wang, H. Cooperative adaptive fuzzy output feedback control for synchronization of nonlinear multi-agent systems in the presence of input saturation. Asian J. Control 2016, 18, 619–630. [Google Scholar] [CrossRef]
  3. Wang, Y.; Lu, J.; Liang, J. Security control of multiagent systems under denial-of-service attacks. IEEE Trans. Cybern. 2020, 52, 4323–4333. [Google Scholar] [CrossRef]
  4. Zhang, T.Y.; Ye, D. Distributed event-triggered control for multi-agent systems under intermittently random denial-of-service attacks. Inf. Sci. 2021, 542, 380–390. [Google Scholar] [CrossRef]
  5. Liu, H.; Wang, Z. Sampled-data-based consensus of multi-agent systems under asynchronous denial-of-service attacks. Nonlinear Anal. Hybrid Syst. 2021, 39, 100969. [Google Scholar] [CrossRef]
  6. Pan, K.; Lyu, Y.; Pan, Q. Adaptive formation for multiagent systems subject to denial-of-service attacks. IEEE Trans. Circuits Syst. I Regul. Pap. 2022, 69, 3391–3401. [Google Scholar] [CrossRef]
  7. Xu, Y.; Fang, M.; Wu, Z.G.; Pan, Y.J.; Chadli, M.; Huang, T. Input-based event-triggering consensus of multiagent systems under denial-of-service attacks. IEEE Trans. Syst. Man Cybern. Syst. 2018, 50, 1455–1464. [Google Scholar] [CrossRef]
  8. Li, Z.; Hua, C.; Li, K.; Cui, H. Event-triggered control for high-order uncertain nonlinear multiagent systems subject to denial-of-service attacks. IEEE Trans. Syst. Man Cybern. Syst. 2022, 52, 6129–6138. [Google Scholar] [CrossRef]
  9. Ye, D.; Yang, X. Distributed event-triggered consensus for nonlinear multi-agent systems subject to cyber attacks. Inf. Sci. 2019, 473, 178–189. [Google Scholar] [CrossRef]
  10. Liu, J.; Dong, Y.; Gu, Z.; Xie, X.; Tian, E. Security consensus control for multi-agent systems under DoS attacks via reinforcement learning method. J. Frankl. Inst. 2024, 361, 164–176. [Google Scholar] [CrossRef]
  11. He, H.; Qi, W.; Yan, H.; Cheng, J.; Shi, K. Adaptive fuzzy resilient control for switched systems with state constraints under deception attacks. Inf. Sci. 2023, 621, 596–610. [Google Scholar] [CrossRef]
  12. Zhang, Y.; Liang, H.; Ma, H.; Zhou, Q.; Yu, Z. Distributed adaptive consensus tracking control for nonlinear multi-agent systems with state constraints. Appl. Math. Comput. 2018, 326, 16–32. [Google Scholar] [CrossRef]
  13. Wang, J.; Yan, Y.; Liu, Z.; Chen, C.P.; Zhang, C.; Chen, K. Finite-time consensus control for multi-agent systems with full-state constraints and actuator failures. Neural Netw. 2023, 157, 350–363. [Google Scholar] [CrossRef] [PubMed]
  14. Zhang, L.; Li, Y.; Tong, S. Adaptive fuzzy output feedback control for MIMO switched nonlinear systems with prescribed performances. Fuzzy Sets Syst. 2017, 306, 153–168. [Google Scholar] [CrossRef]
  15. Xu, Z.; Sun, C.; Liu, Q. Output-feedback prescribed performance control for the full-state constrained nonlinear systems and its application to DC motor system. IEEE Trans. Syst. Man Cybern. Syst. 2023, 53, 3898–3907. [Google Scholar] [CrossRef]
  16. He, Y.; Chang, X.H.; Wang, H.; Zhao, X. Command-filtered adaptive fuzzy control for switched MIMO nonlinear systems with unknown dead zones and full state constraints. Int. J. Fuzzy Syst. 2023, 25, 544–560. [Google Scholar] [CrossRef]
  17. Heemels, W.P.; Johansson, K.H.; Tabuada, P. An introduction to event-triggered and self-triggered control. In Proceedings of the 2012 IEEE 51st IEEE Conference on Decision and Control (CDC), Maui, HI, USA, 10–13 December 2012; pp. 3270–3285. [Google Scholar]
  18. Girard, A. Dynamic triggering mechanisms for event-triggered control. IEEE Trans. Autom. Control 2014, 60, 1992–1997. [Google Scholar] [CrossRef]
  19. Zhang, X.M.; Han, Q.L.; Ge, X.; Zhang, B.L. Accumulative-error-based event-triggered control for discrete-time linear systems: A discrete-time looped functional method. IEEE/CAA J. Autom. Sin. 2024, 12, 683–693. [Google Scholar] [CrossRef]
  20. Zhang, X.M.; Han, Q.L.; Zhang, B.L.; Ge, X.; Zhang, D. Accumulated-state-error-based event-triggered sampling scheme and its application to H-infinity control of sampled-data systems. Sci. China Inf. Sci. 2024, 67, 162206. [Google Scholar] [CrossRef]
  21. Liu, C.; Jiang, B.; Li, Y.; Patton, R.J. Distributed Event-Triggered Fault-Tolerant Consensus Control of Multi-Agent Systems Under DoS Attacks. IEEE Trans. Signal Inf. Process. Netw. 2024, 10, 390–402. [Google Scholar] [CrossRef]
  22. Wu, J.; Cui, P. Cooperative Adaptive Fuzzy Control for the Synchronization of Nonlinear Multi-Agent Systems under Input Saturation. Mathematics 2024, 12, 1426. [Google Scholar] [CrossRef]
  23. Li, Y.; Yang, G. Adaptive asymptotic tracking control of uncertain nonlinear systems with input quantization and actuator faults. Automatica 2016, 72, 177–185. [Google Scholar] [CrossRef]
  24. Xing, L.; Wen, C.; Liu, Z.; Su, H.; Cai, J. Event-triggered output feedback control for a class of uncertain nonlinear systems. IEEE Trans. Autom. Control 2018, 64, 290–297. [Google Scholar] [CrossRef]
  25. Levant, A. Higher-order sliding modes, differentiation and output-feedback control. Int. J. Control 2003, 76, 924–941. [Google Scholar] [CrossRef]
  26. Polyakov, A. Nonlinear feedback design for fixed-time stabilization of linear control systems. IEEE Trans. Autom. Control 2011, 57, 2106–2110. [Google Scholar] [CrossRef]
  27. Ning, B.; Han, Q.L.; Ding, L. A Brief Overview of Recent Advances in Distributed Accelerated Secondary Control for Islanded AC Microgrids. IEEE Trans. Ind. Inform. 2025, 21, 1–10. [Google Scholar] [CrossRef]
Figure 1. The overall framework of the adaptive event-triggered constrained control.
Figure 1. The overall framework of the adaptive event-triggered constrained control.
Actuators 14 00448 g001
Figure 2. Schematic diagram of the robotic arm.
Figure 2. Schematic diagram of the robotic arm.
Actuators 14 00448 g002
Figure 3. Communication diagram.
Figure 3. Communication diagram.
Actuators 14 00448 g003
Figure 4. Tracking performance of followers under DoS attacks.
Figure 4. Tracking performance of followers under DoS attacks.
Actuators 14 00448 g004
Figure 5. Diagram of the variation in tracking error.
Figure 5. Diagram of the variation in tracking error.
Actuators 14 00448 g005
Figure 6. Evolution of z 1 , 2 , z 2 , 2 , and z 3 , 2 under state constraints.
Figure 6. Evolution of z 1 , 2 , z 2 , 2 , and z 3 , 2 under state constraints.
Actuators 14 00448 g006
Figure 7. Control input.
Figure 7. Control input.
Actuators 14 00448 g007
Figure 8. The moments when the controller is updated.
Figure 8. The moments when the controller is updated.
Actuators 14 00448 g008
Table 1. Detection results of denial-of-service attacks based on SDA and ACK signals.
Table 1. Detection results of denial-of-service attacks based on SDA and ACK signals.
SDAACK ι i v hi ( t ) Significance
011 Π i ( T i , p + 1 i ) The event-triggered condition is met
101 Π i ( T i , p i ) The event-triggered condition is not met
000 Π i ( t ) The denial-of-service attack blocks the
communication channel
Disclaimer/Publisher’s Note: The statements, opinions and data contained in all publications are solely those of the individual author(s) and contributor(s) and not of MDPI and/or the editor(s). MDPI and/or the editor(s) disclaim responsibility for any injury to people or property resulting from any ideas, methods, instructions or products referred to in the content.

Share and Cite

MDPI and ACS Style

Wu, J.; Cui, P.; Wang, J.; Li, Y. Adaptive Event-Triggered Full-State Constrained Control of Multi-Agent Systems Under Cyber Attacks. Actuators 2025, 14, 448. https://doi.org/10.3390/act14090448

AMA Style

Wu J, Cui P, Wang J, Li Y. Adaptive Event-Triggered Full-State Constrained Control of Multi-Agent Systems Under Cyber Attacks. Actuators. 2025; 14(9):448. https://doi.org/10.3390/act14090448

Chicago/Turabian Style

Wu, Jinxia, Pengfei Cui, Juan Wang, and Yuanxin Li. 2025. "Adaptive Event-Triggered Full-State Constrained Control of Multi-Agent Systems Under Cyber Attacks" Actuators 14, no. 9: 448. https://doi.org/10.3390/act14090448

APA Style

Wu, J., Cui, P., Wang, J., & Li, Y. (2025). Adaptive Event-Triggered Full-State Constrained Control of Multi-Agent Systems Under Cyber Attacks. Actuators, 14(9), 448. https://doi.org/10.3390/act14090448

Note that from the first issue of 2016, this journal uses article numbers instead of page numbers. See further details here.

Article Metrics

Back to TopTop