A Study on the Transient Performance of Compensated PLL-Type Estimators for Sensorless IPMSMs
Abstract
1. Introduction
2. Extended EMF Model of IPMSMs
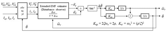
3. Extended EMF Estimation
4. Speed and Position Estimation
4.1. Analysis of the PLL-Type Estimator
4.2. Selection of Speed and Position Estimator Bandwidth ρ
5. Improvement of Speed Response in a Transient State
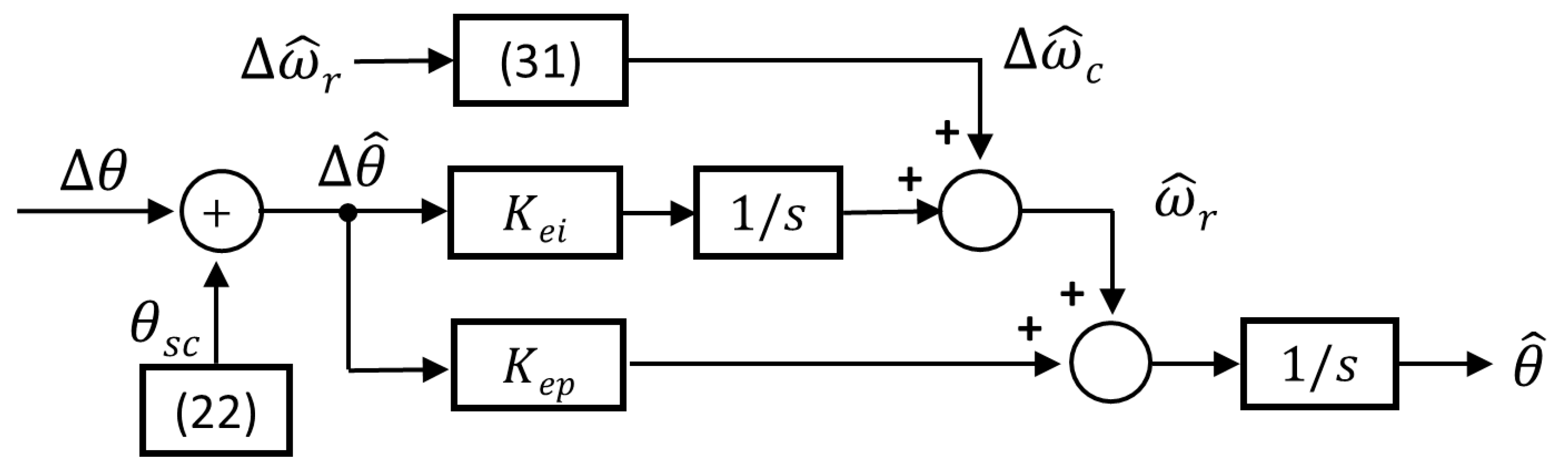
5.1. Compensation Design of Estimated Position Error
5.2. Compensation Design of Estimated Speed Error
6. Improvement of Torque Response in a Transient State
6.1. Compensation Design Using Current Feedback Control
6.2. Stability Analysis of Current Feedback Control
7. Simulation and Experimental Results
7.1. Dynamic Performance of Speed Response
7.2. Dynamic Performance of Torque Response
7.3. Performance Comparison of Speed and Postion Estimators
8. Conclusions
Funding
Data Availability Statement
Conflicts of Interest
>Appendix A


References
- Pillay, P.; Krishnan, R. Application characteristics of permanent magnet synchronous and brushless dc motors for servo drives. In Proceedings of the IEEE Transactions on Industry Applications, Piscataway, NJ, USA, 31 October 1991; Volume 3, pp. 1814–1819. [Google Scholar]
- Sul, S.-K.; Kwon, Y.-C.; Lee, Y. Sensorless control of IPMSM for last 10 years and next 5 years. CES Trans. Electr. Mach. Syst. 2017, 1, 91–99. [Google Scholar] [CrossRef]
- Kondo, K.; Doki, S. Position estimation system for PMSM position sensorless control in inverter overmodulation drive. IEEJ J. Ind. Appl. 2017, 6, 165–172. [Google Scholar] [CrossRef]
- Takahashi, R.; Ohishi, K.; Yokokura, Y.; Haga, H.; Hiwatari, T. Stationary reference frame position sensorless control based on stator flux linkage and sinusoidal current tracking controller for IPMSM. IEEJ J. Ind. Appl. 2017, 6, 181–191. [Google Scholar] [CrossRef][Green Version]
- Morimoto, S.; Kawamoto, K.; Sanada, M.; Takeda, Y. Sensorless control strategy for salient-pole PMSM based on extended EMF in rotating reference frame. IEEE Trans. Ind. Appl. 2002, 38, 1054–1061. [Google Scholar] [CrossRef]
- Jang, J.-H.; Sul, S.-K.; Ha, J.-I.; Ide, K.; Sawamura, M. Sensorless drive of surface-mounted permanent-magnet motor by high-frequency signal injection based on magnetic saliency. IEEE Trans. Ind. Appl. 2003, 39, 1031–1039. [Google Scholar] [CrossRef]
- Harnefors, L.; Nee, H.-P. A general algorithm for speed and position estimation of AC motors. IEEE Trans. Ind. Elec. 2000, 47, 77–83. [Google Scholar] [CrossRef]
- Wallmark, O.; Harnefors, L.; Carlson, O. An improved speed and position estimator for salient permanent-magnet synchronous motors. IEEE Trans. Power Electron. 2005, 52, 255–262. [Google Scholar] [CrossRef]
- Chen, Z.; Tomita, M.; Doki, S.; Okuma, S. An extended electromotive force model for sensorless control of interior permanent magnet synchronous motors. IEEE Trans. Ind. Electron. 2003, 50, 288–295. [Google Scholar] [CrossRef]
- Bojoi, R.; Pastorelli, M.; Bottomley, J.; Giangrande, P.; Gerada, C. Sensorless control of PM motor drives—A technology status review. In Proceedings of the IEEE Workshop on Electrical Machines Design Control and Diagnosis (WEMDCD), Valletta, Malta, 9–10 April 2013; pp. 168–182. [Google Scholar]
- Kim, H.; Harke, M.C.; Lorenz, R.D. Sensorless control of interior permanent-magnet machine drives with zero-phase lag position estimation. IEEE Trans. Ind. Appl. 2003, 39, 1726–1733. [Google Scholar]
- Hsieh, G.C.; Hung, J.C. Phase-locked loop techniques. A survey. IEEE Trans. Ind. Electron. 1996, 43, 609–615. [Google Scholar] [CrossRef]
- Lee, K.W.; Park, S.; Jeong, S. A seamless transition control of sensorless PMSM compressor drives for improving efficiency based on a dual-mode operation. IEEE Trans. Power Electron. 2015, 30, 1446–1456. [Google Scholar] [CrossRef]
- Wallmark, O.; Harnefors, L. Sensorless control of salient PMSM drives in the transition region. IEEE Trans. Ind. Electron. 2006, 53, 1179–1187. [Google Scholar] [CrossRef]
- Hejny, R.W.; Lorenz, R.D. Evaluating the practical low-speed limits for back-EMF tracking-based sensorless speed control using drive stiffness as a key metric. IEEE Trans. Ind. Appl. 2011, 47, 1337–1343. [Google Scholar] [CrossRef]
- Berriri, H.; Naouar, M.W.; Slama-Belkhodja, I. Easy and fast sensor fault detection and isolation algorithm for electrical drives. IEEE Trans. Power Electron. 2012, 27, 490–499. [Google Scholar] [CrossRef]
- Huang, S.; Tan, K.K.; Lee, T.H. Fault diagnosis and fault-tolerant control in linear drives using the Kalman filter. IEEE Trans. Ind. Electron. 2012, 59, 4285–4292. [Google Scholar] [CrossRef]
- Piippo, A.; MLuomi, H.; Luomi, J. Analysis of an adaptive observer for sensorless control of interior permanent magnet synchronous motors. IEEE Trans. Ind. Electron. 2008, 55, 570–576. [Google Scholar] [CrossRef]
- Lee, D.; Akatsu, K. The study on gain selecting method of position sensorless control algorithm for IPMSM. In Proceedings of the 2017 IEEE 12th International Conference on Power Electronics and Drive Systems (PEDS), Honolulu, HI, USA, 12–15 December 2017; pp. 728–733. [Google Scholar]
- Lee, D.; Akatsu, K. The study on transient performance improvement of position sensorless control algorithm for IPMSM. In Proceedings of the 2017 IEEE Symposium on Sensorless Control for Electrical Drives (SLED), Catania, Italy, 18–19 September 2017; pp. 67–72. [Google Scholar]
- Hinkkanen, M.; Tuovinen, T.; Harnefors, L.; Luomi, J. A Combined Position and Stator-Resistance Observer for Salient PMSM Drives: Design and Stability Analysis. IEEE Trans. Power Electron. 2012, 27, 601–609. [Google Scholar] [CrossRef]
- Lee, D.; Akatsu, K. An improved speed and position estimator for transient performance of back-EMF self-sensing for IPMSM. In Proceedings of the IECON 2018-44th Annual Conference of the IEEE Industrial Electronics Society, Washington, DC, USA, 21–23 October 2018; pp. 397–402. [Google Scholar]
- Ye, S.; Yao, X. A modified flux sliding-mode observer for the sensorless control of PMSMs with online stator resistance and inductance estimation. IEEE Trans. Power Electron. 2020, 35, 8652–8662. [Google Scholar] [CrossRef]
- Yoo, J.; Lee, J.; Sul, S.-K. Analysis of Instability in torque control of sensorless PMSM drives in flux weakening region. IEEE Trans. Power Electron. 2021, 35, 10816–10826. [Google Scholar] [CrossRef]
- Lin, Q.; Liu, L.; Liang, D. Adaptive Observer Design for Sensorless IPMSM Drives with Known Regressors Variant of Extended EMF Model. IEEE Trans Power Electron. 2024, 39, 212–224. [Google Scholar] [CrossRef]




















| Parameters | Value |
|---|---|
| Number of poles | 4 |
| Rated speed | 1500 [min−1] |
| Rated torque | 1.8 [Nm] |
| Stator resistance | 0.814 [Ω] |
| D-axis inductance | 10.7 [mH] |
| Q-axis inductance | 26.3 [mH] |
| Back-EMF constant | 0.14693 [V·s/rad] |
| Rotor inertia | 0.001641 [kg-m2] |
| Item | Step Torque Max. ∆ωr [min−1] | Rampwise Speed Max. ∆ωr [min−1] |
|---|---|---|
| PLL-type estimator | 26.8 | 213.4 |
| Double integral PLL-type estimator | 81.4 | −130.6 |
| Luenberger Observer estimator | 144 | 76.5 |
| Proposed current feedback control | 22.5 | 213 |
Disclaimer/Publisher’s Note: The statements, opinions and data contained in all publications are solely those of the individual author(s) and contributor(s) and not of MDPI and/or the editor(s). MDPI and/or the editor(s) disclaim responsibility for any injury to people or property resulting from any ideas, methods, instructions or products referred to in the content. |
© 2025 by the author. Licensee MDPI, Basel, Switzerland. This article is an open access article distributed under the terms and conditions of the Creative Commons Attribution (CC BY) license (https://creativecommons.org/licenses/by/4.0/).
Share and Cite
Lee, D. A Study on the Transient Performance of Compensated PLL-Type Estimators for Sensorless IPMSMs. Actuators 2025, 14, 429. https://doi.org/10.3390/act14090429
Lee D. A Study on the Transient Performance of Compensated PLL-Type Estimators for Sensorless IPMSMs. Actuators. 2025; 14(9):429. https://doi.org/10.3390/act14090429
Chicago/Turabian StyleLee, Dongwoo. 2025. "A Study on the Transient Performance of Compensated PLL-Type Estimators for Sensorless IPMSMs" Actuators 14, no. 9: 429. https://doi.org/10.3390/act14090429
APA StyleLee, D. (2025). A Study on the Transient Performance of Compensated PLL-Type Estimators for Sensorless IPMSMs. Actuators, 14(9), 429. https://doi.org/10.3390/act14090429
