Abstract
Upper-limb motor disabilities and amputation pose a significant burden on individuals, hindering their ability to perform daily activities independently. While various research studies aim to enhance the performance of current upper-limb prosthetic devices, electrically activated prostheses still face challenges in achieving optimal functionality. This paper explores the potential of utilizing electromyogram (EMG) and electroencephalogram (EEG) signals to not only decipher movement across multiple degrees of freedom (DOFs) but also offer a more intuitive means of control. In this study, six distinct control schemes for upper-limb prosthetic devices are proposed, each with different combinations of EEG and EMG signals. These schemes were designed to control multiple degrees-of-freedom movements, encompassing five different hand and forearm actions (hand-open, hand-close, wrist pronation, wrist supination, and rest-state). Using Linear Discriminant Analysis as a model results in classification accuracies of over 85% for combined EEG-EMG control schemes. The results suggest promising advancements in the field and show the potential for a more effective and user-friendly control interface for upper-limb prosthetic devices.
1. Introduction
With approximately 30 degrees of freedom (DOFs), human upper limbs are vital tools for interacting with the environment. For this reason, the absence of all or part of the upper limb significantly impacts daily living []. Prosthetic solutions, including passive and active prostheses, have evolved over time. Ease of use is a critical factor for users to feel more comfortable using their prosthetic devices. Multiple DOF prostheses provide higher functionality and versatility but are usually harder to control, and the learning curve is steeper [,].
To address these challenges, research has increasingly focused on brain–computer interfaces (BCIs) for prosthetic devices [,]. The main objective is to improve the usability of prosthetic devices by providing a more intuitive way of controlling them and thus simplifying user training [,]. BCI techniques provide new options to control prosthetic devices directly using the biosignals generated within the human body. Among these techniques, using signals coming directly from the user’s brain and muscles has attracted a lot of attention due to the highly intuitive control they can provide to the prosthetic device [,]. By thinking about the movement or naturally contracting specific muscles, the prosthetic device can react and execute specific motions that would require more training and effort in a more traditional, non-BCI-based device. Both signals from the brain, or electroencephalogram (EEG), and signals from the muscles, or electromyogram (EMG), can be gathered from surface electrodes, which in turn provides a non-invasive way of connecting humans with the device. By leveraging artificial-intelligence-based classification algorithms, these signals, or different combinations of them, can provide more efficient ways of recognizing the user’s movement intent [,,].
However, while the potential of hybrid BCI systems is recognized, a clear research gap exists regarding the evaluation of how different control architectures leverage the combined signals. Many studies focus on either a single type of hybrid model or do not directly compare the performance of parallel versus sequential processing hierarchies for controlling multiple degrees of freedom []. For example, it is not well established whether it is more effective to use EEG to select a movement category (e.g., hand vs. forearm) and EMG to define the specific action, or vice versa. Furthermore, the practical challenges of signal fusion, such as the trade-off between set-up cost and classification accuracy for different schemes, are often underexplored. This study aims to address this gap by designing, implementing, and comparing six distinct single-signal, parallel, and sequential control schemes to determine the optimal fusion strategy for enhancing multi-DOF upper-limb prosthetic control. The goal is to evaluate the performance of those control schemes using a Linear Discriminant Analysis (LDA) classification algorithm in decoding movements based on specific EMG and EEG signals.
2. Materials and Methods
2.1. Proposed Schemes
For the upper-arm model used, two sets of movements are defined: one set corresponding to hand movements and one set corresponding to forearm movements. For these two sets of movements—“hand” and “forearm”—we have four different individual movements. The “hand” movement set consists of the hand-open and hand-close movements, while the “forearm” movement set consists of the forearm pronation and the forearm supination movements. This yields nine different possible combinations of movements, including the possibility of no movement at all in either set (Table 1). A visual representation of all possible movements is shown in Figure 1.

Table 1.
Nine different possible combinations of the movements of interest: hand-open (HO), hand-close (HC), no-movement hand (NMH), forearm pronation (FP) and forearm supination (FS), and no-movement forearm (NMF).

Figure 1.
All possible 9 target movement combinations.
For the classification of the subject’s intended movement, the proposed control schemes are as follows:
- A
- Single-signal control: It is used mainly as a baseline for comparison. These control schemes rely on just one type of signal to classify the movement. One scheme uses EEG, while the other uses EMG. All the information gathered from the selected signal is processed as input, yielding one specific movement as the output (Figure 2a).
- B
- Parallel-signal control: Parallel control utilizes both types of signals simultaneously. One type of signal is responsible for classifying the movement of the hand, while the other classifies the movement of the forearm. One scheme uses the EMG signals for identifying the movement of the hand and EEG signals for the forearm. The other scheme reverses this, using EMG for the forearm and EEG for the hand (Figure 2b).
- C
- Sequential-signal control: A sequential control scheme first uses one signal to determine which degree of freedom is activated and then uses the second signal to determine the exact movement. In one scheme, EEG determines whether the forearm or the hand is being activated (or both, or none), while EMG determines the movement. The other scheme follows the reverse process, with EMG determining the activated limb and EEG identifying the specific movement (Figure 2c).


Figure 2.
Six control schemes evaluated, grouped by architecture. (a) Single-signal schemes, which use either only EMG (A.1) or only EEG (A.2). (b) Parallel-signal schemes, where signals are processed simultaneously to classify hand and forearm movements. (c) Sequential-signal schemes, where one signal first identifies the active degree-of-freedom and the second signal classifies the specific movement.
For a two-movement type model, where each movement type has two possible distinctive movements along with a non-movement case, there is a fixed number of nine possible movement combinations, then we have the following:
- For the single-signal control, the selection matrix has 9 possible combinations of movements in a 3 by 3 matrix (Figure 3a).
- For the parallel signal control, each signal has a selection matrix of 3 by 1 (Figure 3b), meaning 6 possible options.
- For the sequential control, since the first signal has already ruled out some of the movements, the second signal operates within a selection matrix that varies from 2 × 2 to 1 × 1 (Figure 3c), which implicates three different scenarios with, 4, 2, and 1 possible options.

Figure 3.
Single-signal control deals with a selection of one out of nine (9) possible movements (a). For the parallel signal control schemes, each signal selects one out of three (3) possible movements, which are then combined into the final movement (b). For the sequential signal control, the signal used to determine which type of movement is being activated rules out either 5, 7, or 8 possibilities, so the remaining matrix is either a 2 × 2, 2 × 1 or 1 × 1 matrix (c).
This suggests that the combined signals should perform better than the single signals based on selection reduction only.
2.2. Linear Discriminant Analysis
Linear Discriminant Analysis (LDA) is a supervised learning model that can be used in classification problems []. LDA works by classifying an observation based on a set of features while focusing on maximizing the class distance and minimizing the variance between said set of features []. For a set of labeled data points, LDA classifies a new, unlabeled data point by assigning it to the cluster of data to which it has the highest possibility to belong.
2.3. Feature Extraction
Finding an optimal set of features for biosignals is usually performed by trial and error, and often involves balancing performance with computational cost. For real-time prosthetic control, time-domain features are commonly selected due to their low computational load and proven effectiveness []. Previous studies have analyzed various EMG features, demonstrating that simple metrics like Mean Absolute Value (MAV) and Variance (Var) provide a robust foundation for classifying motor intent, especially when low latency is critical. Therefore, prioritizing simplicity, only time-domain features were selected for this study. For EEG signals, Mean Absolute Value and Zero Crossings were chosen. For EMG signals, Mean Absolute Value and Variance were chosen, as these have proved to give good results in single-signal control [].
2.3.1. Mean Absolute Value
The Mean Absolute Value (MAV) corresponds to the average value of the signal. For EEG and EMG signals, it gives an indication of the level of electrical activity, i.e., the level of muscular or neuronal activation []. It is given by the following equation:
where N is the number of samples within the epoch. is the amplitude of the sample at point i.
2.3.2. Variance
The variance is a statistical feature that gives an indication of the variability of the signal, or how much the signal changes with respect to the mean []. It is given by the following equation:
where N is the number of samples within the epoch. is the amplitude of the sample at point i. is the mean of the signal.
2.3.3. Zero Crossings
Zero Crossings (ZC) is a feature that indicates how many times the signal has changed from positive values on its amplitude to negative values, i.e., the times it has crossed the horizontal-axis []. ZC is given by
where
2.4. Equipment
For gathering the EMG data, four (4) Delsys Trigno (TM) Wireless EMG sensors were used. This system includes an integrated reference electrode to enable differential amplification and reduce common-mode n oise []. The sampling frequency was set to 2000 Hz and monitored using the DAQ Utilities Matlab software by Saetia (2019) []. The data was synchronized with the EEG data and the visual triggers indicating each movement using Lab Streaming Layer (LSL) and Lab Recorder. For gathering the EEG data, the Biosemi ActiveTwo (TM) equipment was utilized []. A 64-channel electrode cap with electrode placement following the 10–20 system was used. Mastoid electrodes served as the ground electrode, and electrode impedance was kept below 5 k throughout the recordings.
2.5. Experimental Protocol
2.5.1. Participants
EMG signals and EEG signals were gathered from ten (10) healthy adults, ages 22 to 30. The subjects presented no upper-limb movement impairment and used their dominant hand for the experiment. All subjects were right-handed.
2.5.2. Setup
The experiment was conducted in a sound-proof, electrically shielded room to minimize environmental noise and electrical interference. Participants were seated comfortably in a chair facing a computer monitor that displayed visual cues. To ensure consistency and minimize muscle fatigue or artifacts related to postural maintenance, the participant’s dominant (right) arm was rested on the armrest with the elbow in a flexed position (90 degrees) and the forearm and wrist supported by the chair.
A visual representation of the experimental setup, including the participant’s seated posture and electrode placement, is provided in Figure 4.

Figure 4.
Schematic of the setup. The subject sat on a chair supporting the forearm on the armrest, with the arm and the forearm forming a 90 degree angle.
EEG electrodes were positioned according to the international 10–20 system, with a focus on electrodes located over the motor cortex (Figure 5). The total number of EEG channels used was 32. Mastoid electrodes served as the ground electrode. EMG electrodes were placed over the extensor digitorium, flexor carpi ulnaris, pronator quadratus, and brachioradialis muscles of the dominant arm, for a total of 4 EMG channels (Figure 6).

Figure 5.
The 10–20 system is a standardized system to place the EEG electrodes on the scalp, based on the relative position of specific distances from region to region of the brain. For this experiment, the electrodes were placed over the motor cortex.

Figure 6.
The EMG electrodes were placed over the extensor digitorium, flexor carpi radialis, pronator quadratus, and brachioradialis muscles.
2.5.3. Procedures
Subjects were seated in front of a monitor in an isolated room. They were instructed to mimic specific hand and wrist movements as prompted by visual cues displayed on the screen. Each movement was cued for 2.5 s, followed by a 2.5 s resting period. A total of 30 trials were conducted for each movement, except for the resting position (NMH+NMF), which was interspersed between movements. A schematic of the procedure can be seen in Figure 7. Movements were explained to subjects before the experiment to minimize confusion.

Figure 7.
Schematic of the experiment. The subject was shown an image of the target position, then held that target until the visual cue to move back to the rest position was shown again.
2.5.4. Preprocessing
Using Matlab EEGLAB toolbox (v2023.1) and Python MNE library (v1.6), the signals were processed.
Bandpass Filtering: Both EEG and EMG data underwent bandpass filtering using an 8th order Butterworth filter with cutoff frequencies of 0.1 Hz to 30 Hz for EEG and 10 Hz to 400 Hz for EMG.
Baseline Offset Removal (EMG): For the EMG signals, the baseline offset was removed by subtracting the average value of each epoch. This ensures that the signal’s activity is measured relative to a zero baseline, improving consistency across trials. No additional filtering was applied to the EMG signals.
Artifact Removal (EEG): Components corresponding to common EEG artifacts, such as eye blinks, eye movements, and jaw muscle activation, were identified and carefully removed from the EEG data. Non-intentional movements of the EEG electrodes, which can introduce noise, were also identified and mitigated. No special filter was applied for head movement artifacts; instead, trials with significant motion artifacts were identified via visual inspection and rejected. Less than 8% of trials were removed per subject due to contamination. No additional filtering was conducted.
After these preprocessing steps, the selected time-domain features (Mean Absolute Value and Zero Crossings for EEG; Mean Absolute Value and Variance for EMG) were extracted from the cleaned and processed signals. The resulting feature vectors were then used as inputs for the LDA classifier for both training and testing, according to the different control schemes.
2.5.5. Validation
A 10-fold cross-validation approach was used to evaluate classifier performance. The dataset was partitioned into 10 subsets; the model was trained on 9 subsets and tested on the remaining one. To ensure the generalizability of our results and avoid dependence on a single data split, this entire 10-fold process was repeated multiple times with different random seeds. The final accuracy reported is the average across all folds and repetitions. The performance results of the different hybrid schemes were compared by calculating the relative accuracy improvement over the single-signal EMG scheme (A.1), which served as the baseline.
3. Results
Using the aforementioned 10-fold cross-validation allowed for the final calculation of the average classification accuracy for each control scheme. Additionally, to assess the predictive performance of the different control schemes, the improvement in accuracy was calculated using single-signal EMG control as a baseline. The results are presented in Table 2.

Table 2.
Classification accuracy and relative performance of the control schemes.
For the single-signal control schemes, the EMG-based scheme (A.1) achieved a classification accuracy of 85%, whereas the EEG-based scheme (A.2) showed suboptimal performance with a classification accuracy of 74%. The lower performance of EEG was expected, as EEG signals are more numerous due to the higher number of sensors and channels involved, making them harder to interpret based solely on raw data.
Among the parallel control schemes, the EEG-EMG scheme (B.2) outperformed the EMG-EEG scheme (B.1), achieving a classification accuracy of 78% vs 76%. The results suggest that using EEG for classifying forearm movements and EMG for classifying hand movements (B.2) yields better results than the reverse configuration (B.1). This may be due to the difficulty of detecting deep forearm muscles with surface EMG electrodes; whereas hand movements, which involve more superficial muscles, provide clearer EMG signals.
The best-performing control scheme was the sequential EEG-EMG scheme (C.2), achieving a classification accuracy of 88%. This outcome aligns with the research hypothesis, indicating that sequential processing effectively enhances movement classification. Since EEG signals appear to be more consistent in distinguishing between movement and no-movement states, and EMG signals are more reliable for intra-movement differentiation, the sequential approach optimally leverages the strengths of both modalities. The sequential EMG-EEG scheme (C.1), where EMG determines the active degree of freedom before EEG classifies the movement, also showed competitive performance but did not exceed C.2.
To provide a clearer visualization of these performance differences, the relative accuracy of each control scheme compared to the baseline EMG-only model (A.1) is presented in Figure 8.

Figure 8.
Performance of each scheme relative to the single-signal EMG scheme (A.1).
4. Discussion
4.1. Classification Performance
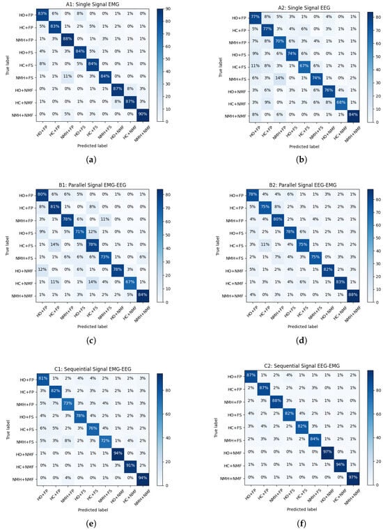
To further investigate the classification performance of each control scheme, confusion matrices (Figure 9) were analyzed to identify specific trends in classification errors.

Figure 9.
Confusion matrices for the classification results over the 9 classes. The vertical axis corresponds to the true labels of the movements, while the horizontal axis corresponds to the predicted labels from the classification algorithm. Each subfigure shows the performance of a specific control scheme: (a) A.1: Single-Signal EMG; (b) A.2: Single-Signal EEG; (c) B.1: Parallel EMG-EEG; (d) B.2: Parallel EEG-EMG; (e) C.1: Sequential EMG-EEG; and (f) C.2: Sequential EEG-EMG.
Single-Signal EMG vs EEG (A.2, A.1): The EEG-based control scheme (A.2) exhibited a higher number of misclassifications within the same movement group. Specifically, forearm movements (pronation and supination) were often confused with each other, and similarly, hand movements (open and close) had notable misclassification rates. This suggests that EEG signals lack the specificity needed to distinguish between similar muscle activations, likely due to overlapping cortical representations. EMG-based control (A.1) had fewer within-group misclassifications but showed minor confusion between forearm pronation and hand-close movements. This could be due to cross-talk in EMG signals from adjacent muscles.
Parallel Control Schemes (B.1, B.2): In B.1 (EMG-forearm, EEG-hand), the confusion matrix revealed several errors in hand movement classification, reinforcing the challenge of using EEG for fine motor control []. In B.2 (EEG-forearm, EMG-hand), errors in classification were notably reduced, particularly for hand movements, confirming that EMG provides better differentiation of hand gestures than EEG. However, forearm movements were still misclassified a considerable number of times, likely due to the deep muscle activation required for pronation and supination, which EMG signals alone struggled to distinguish reliably.
Sequential Control Schemes (C.1, C.2): The confusion matrix for C.2 (EEG determines DOF, EMG determines movement) exhibited the fewest classification errors overall. This highlights that using EEG as a pre-selector for movement categories significantly enhances classification accuracy. In C.1 (EMG determines DOF, EEG determines movement), minor confusion remained in forearm movements, reinforcing that EEG struggles with precise differentiation of individual movement types but performs slightly better in determining active vs. inactive states [].
4.2. Movement-Specific Misclassifications
Hand Movements: EMG signals were highly effective at classifying hand-open and hand-close movements, especially in B.2 and C.2. EEG signals (A.2, B.1) often confused these movements, likely due to shared cortical activity in grasp-related tasks.
Forearm Movements: Pronation and supination were frequently misclassified in EEG-based control schemes (A.2, B.1, C.1). This is likely due to deep muscle activation patterns that are harder to pick up with surface EMG and the diffuse nature of EEG signals. Sequential control (C.2) helped mitigate these errors by first selecting the correct movement category before fine-tuning classification using EMG.
No-Movement Classification: In EEG-based schemes (A.2, B.1), occasional false positives (classifying no-movement as movement) were observed. This could be due to spontaneous EEG fluctuations that resemble motor-related potentials. EMG-based approaches (A.1, C.2) showed better separation between movement and no-movement states, likely due to the absence of detectable muscle contractions in the no-movement case.
4.3. Study Limitations
Despite the promising results, this study had numerous limitations. The number of classification features used was smaller compared to related research, and Linear Discriminant Analysis (LDA) was the sole classifier tested. While LDA is widely used due to its simplicity and low computational cost, exploring alternative machine learning models could further enhance performance. Similarly, a comparative analysis against more advanced, non-linear classifiers like Support Vector Machines (SVMs) or deep learning models, which have shown promising results in biosignal classification [,], could further enhance classification performance and should be a priority for future work. Furthermore, exploring alternative feature extraction techniques, such as those derived from principal component analysis (PCA) or other dimensionality reduction methods [], could provide more robust and discriminative features, potentially overcoming some of the limitations observed with time-domain features alone.
Additionally, the limited number of targeted movements may have contributed to the high classification accuracy, as EMG signals were clearly associated with specific muscle activations. Future research should investigate a larger set of upper-limb movements, where the added complexity may further highlight the benefits of integrating EEG signals for movement classification [].
Additionally, this study exclusively used time-domain features, which were chosen for their computational efficiency and suitability for eventual real-time application. However, this methodological choice has limitations. The selected time-domain features, while fast to compute, can be more susceptible to signal artifacts than metrics in other domains. For instance, frequency-domain metrics like cortico-muscular coherence, which quantifies the coupling between brain and muscle activity, have been shown to be robust even in the presence of noise and may provide deeper insight into the user’s motor intent. Future research should investigate the trade-offs of incorporating such computationally intensive but potentially more robust features. Similarly, a comparative analysis against more advanced, non-linear classifiers like Support Vector Machines (SVMs) or deep learning models could further enhance classification performance and should be a priority for future work [].
On a third note, the analysis was performed entirely offline. The reported accuracies do not account for the computational delays and constraints of a real-time implementation, which is a critical next step for assessing practical viability. Second, the experiment was conducted exclusively on healthy volunteers. The results may not be directly transferable to amputee individuals, who often present with weakened EMG signals and may exhibit cortical reorganization [,]. Future studies must involve the target population to validate these control schemes. Finally, the high classification accuracy may be partially attributable to the limited number of motion classes. Increasing the number of target gestures would significantly raise the classification complexity and likely reduce performance, highlighting the need for the advanced classification and feature extraction methods discussed previously.
The results presented were obtained under a standardized, supported arm posture. It is critical to acknowledge that this approach is likely posture-dependent. Performing the same gestures with different shoulder or elbow positions would alter muscle activation patterns and associated cortical signals, likely degrading classification accuracy. Future work should therefore focus on developing posture-invariant classification models []. Furthermore, the use of only four EMG electrodes limits the system’s ability to discriminate a larger set of complex hand postures. To expand the functionality of the prosthesis, future iterations should incorporate a higher density of EMG electrodes to better capture the rich detail of muscle synergies as demonstrated in studies exploring hand kinematics []. A quantitative evaluation of EMG cross-talk was not performed in this study, but it is a likely source of error, potentially contributing to the confusion between forearm pronation and hand-close movements. To mitigate cross-talk during data collection, the experiment was designed and explained so participants performed isolated movements as much as possible, and electrode placement was chosen to minimize signal bleed from adjacent muscles. Future work should explore advanced signal processing techniques, such as blind source separation or independent component analysis, to further reduce the impact of cross-talk on classification accuracy [].
A promising direction for future work is the analysis of muscle co-contraction patterns. For a given posture, limb stiffness can be modulated by varying the level of co-contraction between antagonist muscles, which results in distinct EMG signatures []. By analyzing these patterns, a control system could be developed to not only decode movement intent but also estimate and command limb stiffness. This would allow a user to perform more sophisticated interactions, such as stabilizing the wrist or modulating grip force, leading to a more intuitive and functional human–machine interfaces.
5. Conclusions
This research aimed to design and compare six (6) EEG/EMG-based control schemes for classifying upper-limb movements involving multiple degrees of freedom. The results demonstrate that combining surface electromyogram (EMG) and electroencephalogram (EEG) signals enhances classification accuracy, particularly when each modality’s strengths are leveraged effectively. Among the six control schemes, the sequential EEG-EMG control (C.2) achieved the highest classification accuracy (88%), reinforcing the hypothesis that EEG is effective for movement intent detection, while EMG excels in fine movement differentiation.
Analysis of the confusion matrices further revealed that classification errors primarily occurred within movement groups, particularly for opposing forearm movements (pronation and supination) and hand movements (open and close). This suggests that EEG struggles with fine motor differentiation, while the effectiveness of EMG is influenced by muscle depth and sensor placement. The parallel EEG-EMG scheme (B.2) improved performance over single-signal control, but sequential classification (C.2) outperformed all other approaches, demonstrating the advantages of first determining movement categories before refining classification with EMG.
It is important, however, to contextualize these findings within the study’s limitations. The results were obtained from healthy subjects, not the target amputee population, and the classification was performed offline on a limited set of movements using a single model (LDA). These factors highlight crucial directions for future work, which should focus on real-world validation with amputees, exploring more advanced classification algorithms, and expanding the number of degrees of freedom to enhance clinical viability.
Although the improvement in classification accuracy may not seem immediately compelling given the additional setup and computational overhead of using both EEG and EMG signals, the findings suggest that signal fusion offers a meaningful advantage over single-signal control schemes, particularly enhancing EEG signal classifications. Future work exploring adaptive algorithms, feature extraction techniques, and real-time implementations could provide valuable contributions to the field of BCI-based movement classification for prosthetics and human–machine interfaces.
Author Contributions
Conceptualization, S.I.B.R.; methodology, S.I.B.R.; software, S.I.B.R.; validation, Y.K.; formal analysis, S.I.B.R.; investigation, S.I.B.R.; resources, S.I.B.R.; data curation, S.I.B.R. and Y.K.; writing—original draft preparation, S.I.B.R.; writing—review and editing, Y.K.; supervision, Y.K.; project administration, Y.K.; funding acquisition, Y.K. All authors have read and agreed to the published version of the manuscript.
Funding
This research received no external funding.
Institutional Review Board Statement
The study was conducted in accordance with the Declaration of Helsinki, and approved by the Institutional Review Board of Tokyo Institute of Technology.
Informed Consent Statement
Informed consent was obtained from all subjects involved in the study. Written informed consent has been obtained from the patient(s) to publish this paper.
Data Availability Statement
The data presented in this study is available on request from the authors. The data is not publicly available due to privacy reasons.
Conflicts of Interest
The authors declare no conflicts of interest.
References
- Cordella, F.; Ciancio, A.L.; Sacchetti, R.; Davalli, A.; Cutti, A.G.; Guglielmelli, E.; Zollo, L. Literature Review on Needs of Upper Limb Prosthesis Users. Front. Neurosci. 2016, 10, 209. [Google Scholar] [CrossRef]
- Fazel-Rezai, R. Brain-Computer Interface Systems: Recent Progress and Future Prospects; Intechopen: London, UK, 2013. [Google Scholar]
- Li, Y.; Li, Y.; Zhang, X.; Wang, Y.; Li, Z. A Multi-DOF Robot System Based on LightGBM-Driven EEG Decoding Model for BCI Human-Machine Interaction. Sensors 2023, 23, 8234. [Google Scholar]
- Lalitharatne, T.D.; Teramoto, K.; Hayashi, Y.; Kiguchi, K. Towards Hybrid EEG-EMG-Based Control Approaches to be Used in Bio-robotics Applications: Current Status, Challenges and Future Directions. Paladyn J. Behav. Robot. 2013, 4, 147–154. [Google Scholar] [CrossRef]
- Ribeiro, J.; Mota, F.; Cavalcante, T.; Nogueira, I.; Gondim, V.; Albuquerque, V.; Alexandria, A. Analysis of Man-Machine Interfaces in Upper-Limb Prosthesis: A Review. Robotics 2019, 8, 16. [Google Scholar] [CrossRef]
- de Seta, V.; Toppi, J.; Pichiorri, F.; Masciullo, M.; Colamarino, E.; Mattia, D.; Cincotti, F. Towards a hybrid EEG-EMG feature for the classification of upper limb movements: Comparison of different processing pipelines. In Proceedings of the 10th International IEEE/EMBS Conference on Neural Engineering (NER), Virtual, 4–6 May 2021; pp. 355–358. [Google Scholar]
- Chen, Y.; Wang, Y.; Li, S.; Zhang, Y. Hybrid Brain-Machine Interface: Integrating EEG and EMG for Reduced Physical Demand. Sensors 2025, 25, 1234. [Google Scholar]
- Kuo, C.C.; Lin, W.S.; Dressel, C.A.; Chiu, A.W.L. Classification of intended motor movement using surface EEG ensemble empirical mode decomposition. In Proceedings of the Annual International Conference of the IEEE Engineering in Medicine and Biology Society, Boston, MA, USA, 30 August–3 September 2011; pp. 6281–6284. [Google Scholar]
- Li, X.; Samuel, O.W.; Zhang, X.; Wang, H.; Fang, P.; Li, G. A motion classification strategy based on sEMG-EEG signal combination for upper-limb amputees. J. Neuro Eng. Rehabil. 2017, 14, 2. [Google Scholar] [CrossRef]
- Roy, J.; Ali, M.A.; Ahmed, M.R.; Sundaraj, K. Machine Learning Techniques for Predicting Surface EMG Activities on Upper Limb Muscle: A Systematic Review. In Cyber Security and Computer Science; Bhuiyan, T., Rahman, M.M., Ali, M.A., Eds.; Lecture Notes of the Institute for Computer Sciences, Social Informatics and Telecommunications Engineering; Springer International Publishing: Cham, Switzerland, 2020; pp. 330–339. [Google Scholar]
- Hooda, N.; Das, R.; Kumar, N. Fusion of EEG and EMG signals for classification of unilateral foot movements. Biomed. Signal Process. Control 2020, 60, 101990. [Google Scholar] [CrossRef]
- Liang, H.; Yu, Y.; Mochida, M.; Liu, C.; Ueda, N.; Li, P.; Zhu, C. EEG Based EMG Estimation of Shoulder Joint for the Power Augmentation System of Upper Limbs. Symmetry 2020, 12, 1851. [Google Scholar] [CrossRef]
- Hong, K.S.; Khan, M.J. Hybrid Brain-Computer Interface Techniques for Improved Classification Accuracy and Increased Number of Commands: A Review. Front. Neurorobot. 2017, 11, 35. [Google Scholar] [CrossRef] [PubMed]
- Li, T.; Zhu, S.; Ogihara, M. Using discriminant analysis for multi-class classification: An experimental investigation. Knowl. Inf. Syst. 2006, 10, 453–472. [Google Scholar] [CrossRef]
- Woo, J.-S.; Muller, K.L.S.W. Classifying directions in continuous arm movement from EEG signals. In Proceedings of the 3rd International Winter Conference on Brain-Computer Interface, Gangwon, Republic of Korea, 12–14 January 2015; Volume 3, pp. 1–2. [Google Scholar]
- Khan, S.M.; Khan, A.A.; Farooq, O. Selection of Features and Classifiers for EMG-EEG-Based Upper Limb Assistive Devices-A Review. IEEE Rev. Biomed. Eng. 2020, 13, 248–260. [Google Scholar] [CrossRef]
- Phinyomark, A.; Khushaba, R.N.; Scheme, E. Feature Extraction and Selection for Myoelectric Control Based on Wearable EMG Sensors. Sensors 2018, 18, 1615. [Google Scholar] [CrossRef] [PubMed]
- Raez, M.; Hussain, M.; Mohd-Yasin, F. Techniques of EMG Signal Analysis: Detection, Processing, Classification and Applications. Biol. Proced. Online 2006, 8, 11–35. [Google Scholar] [CrossRef]
- Zadry, H.R.; Md Dawal, S.Z.; Taha, Z. The Relation between Upper Limb Muscle and Brain Activity in Two Precision Levels of Repetitive Light Tasks. Int. J. Occup. Saf. Ergon. JOSE 2011, 17, 373–384. [Google Scholar] [CrossRef]
- Delsys, Inc. Trigno™ Wireless EMG System: User’s Guide; Delsys, Inc.: Natick, MA, USA, 2023. [Google Scholar]
- Saetia, S. DAQ Utilities; GitHub: San Francisco, CA, USA, 2019. [Google Scholar]
- BioSemi, B.V. ActiveTwo System User Manual; BioSemi B.V.: Amsterdam, The Netherlands, 2021. [Google Scholar]
- Park, S.; Lee, S. EMG pattern recognition based on artificial intelligence techniques. IEEE Trans. Rehabil. Eng. 1998, 6, 400–405. [Google Scholar] [CrossRef]
- Zhang, Y.; Wang, H.; Li, S.; Chen, Y. Deep Learning for EEG-EMG Signal Processing: A Review. Sensors 2024, 24, 1234. [Google Scholar] [CrossRef]
- Kim, H.C.; Kim, S.H.; Lee, S.Y.; Lee, J.W.; Kim, H.C. Enhanced Recognition of Amputated Wrist and Hand Movements by Deep Learning Method Using Multimodal Fusion of Electromyography and Electroencephalography. Sensors 2022, 22, 680. [Google Scholar] [CrossRef] [PubMed]
- Hellara, A.; Ben Abdessalem, S.; Kallel, I.; Ben Abdallah, A. PCA-based methods for EEG signal processing: A review. Biomed. Signal Process. Control 2024, 90, 105740. [Google Scholar]
- Al-Timemy, A.H.; Khushaba, R.; Al-Ani, A.; Al-Jumaily, A. Evaluation of surface EMG-based recognition algorithms for decoding hand movements. J. Neuroeng. Rehabil. 2016, 13, 10. [Google Scholar]
- Vu, P.P.; Chestek, C.A.; Nason, S.R.; Kung, T.A.; Kemp, S.W.P.; Cederna, P.S. The Future of Upper Extremity Rehabilitation Robotics: Research and Practice. Muscle Nerve 2020, 61, 708–718. [Google Scholar] [CrossRef]
- Bakshi, K.; Pramanik, R.; Manjunatha, M.; Kumar, C.S. Upper Limb Prosthesis Control: A Hybrid EEG-EMG Scheme for Motion Estimation in Transhumeral Subjects. In Proceedings of the 2018 40th Annual International Conference of the IEEE Engineering in Medicine and Biology Society (EMBC), Honolulu, HI, USA, 18–21 July 2018; pp. 2024–2027. [Google Scholar]
- Leerskov, K.; Rehman, M.; Niazi, I.; Cremoux, S.; Jochumsen, M. Investigating the feasibility of combining EEG and EMG for controlling a hybrid human computer interface in patients with spinal cord injury. In Proceedings of the IEEE 20th International Conference on Bioinformatics and Bioengineering (BIBE), Cincinnati, OH, USA, 26–28 October 2020; pp. 403–410. [Google Scholar]
- Jiang, N.; Wu, Y.; Sun, M.; Li, G.; Li, X.; Zhang, X.; Farina, D. Posture-invariant myoelectric control with self-calibrating random forests. Front. Neurorobot. 2024, 18, 1462023. [Google Scholar] [CrossRef] [PubMed]
- Santello, M.; Flanders, M.; Soechting, J.F. Neural bases of hand synergies. Front. Hum. Neurosci. 2013, 7, 773. [Google Scholar] [CrossRef] [PubMed]
- Howard, R.M.; Conway, R.; Harrison, A. An exploration of eliminating cross-talk in surface electromyography using independent component analysis. In Proceedings of the Irish Signals and Systems Conference (ISSC), Carlow, Ireland, 24–25 June 2015; pp. 1–6. [Google Scholar] [CrossRef]
- Borzelli, D.; D’Avella, A.; Lacquaniti, F. Model of the human arm stiffness exerted by two antagonist muscles. J. Neurophysiol. 2017, 118, 2689–2704. [Google Scholar]
Disclaimer/Publisher’s Note: The statements, opinions and data contained in all publications are solely those of the individual author(s) and contributor(s) and not of MDPI and/or the editor(s). MDPI and/or the editor(s) disclaim responsibility for any injury to people or property resulting from any ideas, methods, instructions or products referred to in the content. |
© 2025 by the authors. Licensee MDPI, Basel, Switzerland. This article is an open access article distributed under the terms and conditions of the Creative Commons Attribution (CC BY) license (https://creativecommons.org/licenses/by/4.0/).