Next Article in Journal
Efficient and High-Precision Method of Calculating Maximum Singularity-Free Space in Stewart Platform Based on K-Means Clustering and CNN-LSTM-Attention Model
Previous Article in Journal
Implementation of an Active Ankle-Foot Orthosis Prototype with a Cam-Driven Actuator
 
 
Font Type:
Arial Georgia Verdana
Font Size:
Aa Aa Aa
Line Spacing:
Column Width:
Background:
Article

Research on Dynamic Modeling and Control of Magnetorheological Hydro-Pneumatic Suspension

National Key Laboratory of Complex Multibody System Dynamics, Institute of Launch Dynamics, Nanjing University of Science and Technology, Nanjing 210094, China
*
Author to whom correspondence should be addressed.
Actuators 2025, 14(2), 73; https://doi.org/10.3390/act14020073
Submission received: 30 December 2024 / Revised: 26 January 2025 / Accepted: 27 January 2025 / Published: 5 February 2025
(This article belongs to the Section Actuators for Surface Vehicles)

Abstract

A novel magnetorheological semi-active hydro-pneumatic suspension system was proposed to overcome the shortcoming of the traditional hydro-pneumatic suspension without adaptive vibration damping function. It is based on the magnetorheological semi-active vibration reduction technology to effectively improve the ride performance of the vehicle. Firstly, a nonlinear model was established with the Bouc–Wen model based on the mechanical property test results of magnetorheological hydro-pneumatic spring. Secondly, the dynamic model of the single-wheel magnetorheological hydro-pneumatic suspension system was established. Subsequently, the ON-OFF and PID-Fuzzy semi-active control strategies of the single-wheel magnetorheological hydro-pneumatic suspension were proposed based on the ON-OFF and PID-Fuzzy control methods. The simulation results demonstrate that the magnetorheological hydro-pneumatic suspension under PID-Fuzzy control has the best vibration reduction effect in comparison with the passive hydro-pneumatic suspension. The sprung mass acceleration, suspension working space, and dynamic tire deformation are reduced by 24.50%, 21.62%, and 21.01%, respectively. The bench test results verify that magnetorheological hydro-pneumatic suspension and its control methods can effectively improve the ride performance of the system.

1. Introduction

Hydro-pneumatic suspension is a type of suspension that uses hydro-pneumatic springs and uses liquid (often hydraulic oil) as the force transmission medium and inert gas (typically nitrogen) as the elastic media [1]. Hydro-pneumatic suspension has a series of significant advantages such as superior nonlinear elastic properties and good vibration damping performance, and it is widely used on heavy vehicles of large loads in harsh working environment [2], military vehicles [3], heavy construction machinery [4], and so on. Hydro-pneumatic suspensions are classified as passive, semi-active, and active based on the various driving controls. Karnopp [5] devised the passive hydro-pneumatic suspension system in the late 1960s. It differs from traditional suspension in that it has nonlinear stiffness and nonlinear damping. However, passive suspensions often take a compromise solution when designing the stiffness and damping coefficients. When there is a large change in the road or working conditions, it will greatly reduce the ride performance of the vehicle. Shen et al. [6] combined the dual-chamber hydro-pneumatic spring with the fluid inerter and designed a new type of hydro-pneumatic suspension. The results showed that the nonlinear characteristics of the suspension can effectively improve the overall performance. The semi-active suspension was first proposed by Davis in 1973 [7], and its more popular uses are primarily of the damping adjustment variety. Sun et al. [8] carried out a new semi-active hydro-pneumatic suspension system based on back propagation-active disturbance rejection control algorithm. The data illustrated that the semi-active suspension can significantly improve the ride comfort of the mining dump truck. Yang et al. [9] investigated a new kind of semi-active hydro-pneumatic suspension system and established an accurate analytical model and then proposed a two-stage hierarchical control scheme based on the model predictive control strategy to reduce the number of system calculation. The concepts related to active hydro-pneumatic suspension technology for cars were first proposed abroad in the 1950s [10]. Serifoglu et al. [11] utilized a fuzzy control method to control the active components of the hydro-pneumatic suspension system and verified that it provides higher comfort and better vehicle handling quality compared to passive hydro-pneumatic suspension system. The setting of semi-active hydro-pneumatic suspension is between passive and active, with simple structure and low cost, and it obtains better vehicle handling quality [12]. As a new type of intelligent semi-active control device, a magnetorheological damper (MRD) is currently an ideal component for semi-active vibration control. Compared with other active actuators, it has the advantages of simple structure, easy manufacturing, continuously adjustable damping force, low energy consumption, stable and reliable performance, convenient improvement, and good functional scalability [13]. Magnetorheological hydro-pneumatic suspension is a relatively new area of study, with few studies to date. Jiang et al. [14] have studied this in depth. They introduced the magnetorheological damping technology into the traditional hydro-pneumatic spring with single gas chamber to solve the problem that the damping coefficient of the traditional hydro-pneumatic spring cannot be adjusted in real-time. Effective and reasonable control algorithms are the key factors for vibration damping in suspension systems. Wang et al. [15] proposed a new hybrid control strategy based on classical ON-OFF and acceleration control, which effectively improved the steadiness of magnetorheological semi-active train. Chen et al. [16] simulated and analyzed the passive, PID and Fuzzy-PID control of a three-degrees-of-freedom magnetorheological seat suspension. The results showed that the semi-active seat suspension controlled by PID and Fuzzy-PID can significantly improve ride comfort and operation safety. Currently, available software for dynamic modeling of suspensions includes Adams, Carsim, Simpack, and SimMechanics. Grazioso et al. [17], using the multibody software Adams in conjunction with the Adams Tracked Vehicle toolkit, developed the model of vehicle. The simulation results of the model were consistent with the experimental results. Ma et al. [18] constructed the random road input model and the whole vehicle model with Carsim. The simulation results showed that the active suspension system can effectively improve the overall performance of the vehicle. Huang et al. [19] established the vehicle dynamic model of wheel eccentric out-of-roundness based on the multi-body dynamic software SIMPACK and optimized the suspension parameters. The real application result showed the proposed model greatly improves vehicle dynamic performance. Wei et al. [20] established the novel semi-active seat suspension system with a cam-roller-spring mechanism using SimMechanics R2016. The results showed that the system can obviously enhance the attenuation effect of seat suspension on the road excitation. Compared with several other software, SimMechanics is convenient to communicate with Simulink and Matlab R2016, and it has good compatibility with other modeling software. It can easily build a control simulation platform and use the mechanical analysis of the model to obtain the kinematics simulation model of the mechanical system, without the need for complex mathematical formula derivation.
This study introduces an MRD and semi-active control technologies to address the current hydro-pneumatic suspension, which is a primarily passive and adjustable damping valve suspension and cannot achieve continuous damping adjustment. The magnetorheological hydro-pneumatic suspension system combines hydro-pneumatic suspension with magnetorheological damping technology. Different from traditional hydro-pneumatic suspension, it adjusts the damping in real time according to vehicle driving conditions and road excitation to achieve continuously adjustable damping. It can enhance the suspension system’s adaptive adjustment ability under different driving conditions. The system reduces vehicle vibration during driving and improves the vehicle’s smoothness and stability in various environments. Consequently, compared with the traditional suspension system, the proposed system can improve the smoothness of vehicle driving more quickly and efficiently. A magnetorheological hydro-pneumatic spring nonlinear model and magnetorheological hydro-pneumatic suspension systems with ON-OFF and PID-Fuzzy semi-active control are established and numerical simulation is performed. The system uses SimMechanics for dynamic modeling, which can automatically build the dynamic model based on the 3D model of the system. Engineers do not need to derive the dynamic equations of the system. It makes modeling faster and more convenient. A fuzzy controller is chosen for the control strategy in order to create the inverse model. As a result, the challenge of solving the magnetorheological hydro-pneumatic spring’s inverse model is avoided. The effectiveness of the magnetorheological hydro-pneumatic suspension system and its control strategies are verified by the bench test.
The main contents of this article are as follows: Section 2 establishes the magnetorheological hydro-pneumatic spring model. Section 3 establishes the dynamic model of the single-wheel magnetorheological hydro-pneumatic suspension and proposes the ON-OFF and PID-Fuzzy control strategies. Section 4 carries out the numerical simulation and analysis of the different semi-active control methods. Finally, a single-degree-of-freedom bench is constructed to validate the effectiveness of the magnetorheological hydro-pneumatic suspension system and its control strategies.

2. Magnetorheological Hydro-Pneumatic Spring Modeling

2.1. Mechanical Property Test of Magnetorheological Hydro-Pneumatic Spring

To improve the reasonableness of the established magnetorheological hydro-pneumatic spring model, it is necessary to analyze the relationship and the changes between the output damping force and displacement and velocity of the magnetorheological hydro-pneumatic spring in the actual working process. Therefore, a mechanical performance test must be conducted to establish the dynamic model of the magnetorheological hydro-pneumatic spring.
The schematic diagram of the magnetorheological hydro-pneumatic spring is shown in Figure 1. The magnetorheological hydro-pneumatic spring is mainly composed of a piston, hydraulic cylinder, MR fluid, electromagnetic coil, floating piston, hydraulic oil, and accumulator. The hydraulic cylinder stores the liquid for force transmission, so as to adjust the height of the vehicle through the magnetorheological hydro-pneumatic suspension system, and the accumulator provides elastic force. The damping channel or the working gap of the MR fluid is made up of the outer surface of the piston and the inner surface of the hydraulic cylinder. The floating piston divides the working cylinder into two chambers, namely the hydraulic oil chamber and the MR fluid chamber. The electromagnetic coil is set in the installation groove of the piston, and its power line is connected to the external driving power supply through the center hole of the piston and piston rod. The hydraulic oil in the hydraulic oil chamber is forced to enter the accumulator and compress the gas in the accumulator when the magnetorheological hydro-pneumatic suspension is in the compression stroke. The magnetorheological fluid enters the lower chamber through the damping channel and makes the floating piston move upward. The piston descends when the suspension is in the extension stroke, causing the magnetorheological fluid in the lower chamber to pass through the damping channel and into the upper chamber. At the same time, the expansion of the gas in the accumulator forces the hydraulic oil to enter the hydraulic oil chamber, which pushes the floating piston to move downward. Continuously adjustable damping is achieved by adjusting the working current of the electromagnetic coil, which in turn modifies the damping force of the hydro-pneumatic suspension and the magnetic field intensity in the damping channel during the compression and extension stroke.
Figure 2 shows the object picture of the magnetorheological hydro-pneumatic spring analyzed in this performance test. It is mounted on a fatigue machine. The experimental system is shown in Figure 3. The main dimensional parameters of the proposed magnetorheological hydro-pneumatic spring are shown as follows.
Stoke260 mmOuter diameter of the cylinder158 mm
Diameter of the piston137 mmMaximum working current1 A
Diameter of the piston rod90 mmVolume of accumulator4 L
The mechanical properties of the magnetorheological hydro-pneumatic spring were tested. Under the sine excitation with an amplitude of 10 mm and a frequency of 1 Hz, the magnetorheological hydro-pneumatic spring was input with currents of 0 A, 0.2 A, 0.4 A, 0.6 A, 0.8 A, and 1.0 A. The curves of the output damping force with the displacement and velocity are shown in Figure 4, which show that the output force of the magnetorheological hydro-pneumatic spring increases with the increase in the current and decreases with the decrease in the current. In the mechanical performance test, the minimum output force of the magnetorheological hydro-pneumatic spring is 2.6 KN, and the maximum output force is 16.5 KN. When the friction existing inside the system is removed, the adjustable multiple of the magnetorheological hydro-pneumatic spring can reach 5.5 times. At the same time, it can be observed that the shape of the force-displacement curve is relatively full, and the force–velocity curve has an obvious hysteresis phenomenon.

2.2. Nonlinear Modeling of the Magnetorheological Hydro-Pneumatic Spring

The Bouc–Wen model is one of the most classical models for the MRD, and its model sketch is shown in Figure 5 [21,22]. This model is easy to deal with and better describes the nonlinear hysteresis characteristics and energy consumption of the MRD in the low-speed region. Consequently, the damping force of the MRD can be described by the model.
The Bouc–Wen model can be described by the following equations:
F = c 0 x ˙ + k 0 x + α z + f 0
z ˙ = γ x ˙ z z n 1 β x ˙ z n + A x ˙
where k 0 is the spring stiffness coefficient, c 0 is the damping coefficient, z is the hysteresis displacement, and n is the rounding coefficient. n denotes the smooth coefficient of the curve. According to the relevant literature on MRDs, the value of n is usually 2 when the Bouc–Wen model is used for nonlinear modeling.
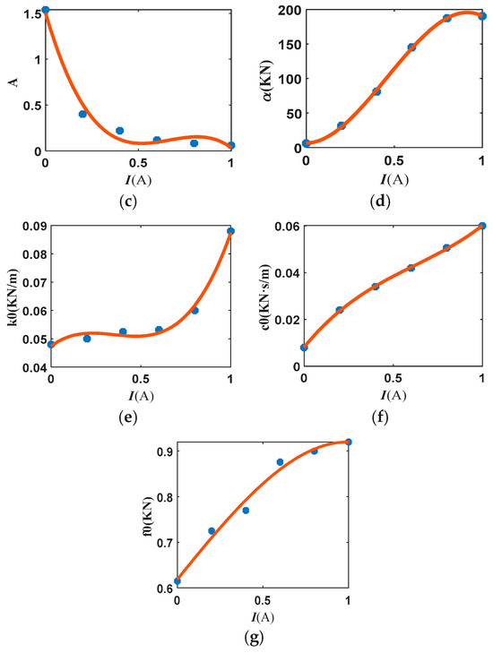
The genetic algorithm [23] is used to identify the remaining seven unknown parameters and to obtain the relationship between them and the current. The results obtained from the identification are shown in Table 1.
From Table 2 there are some certain correlations between the parameters and the current values. According to the identification results under different currents, the least squares method is used to identify the parameters and to obtain the relationship between them and the current. The relationship equations between the parameters and the currents are represented as Equations (3)–(9). The fitting curves are shown in Figure 6.
γ = 131.6 I 3 242.7 I 2 + 126 I + 5.406
β = 0.03935 I 3 0.507 I 2 + 1.285 I + 0.2524
A = 5.037 I 3 + 10.21 I 2 6.64 I + 1.505
α = 175 I 3 + 322 I 2 + 91.48 I + 4.752
k 0 = 0.1472 I 3 0.1551 I 2 + 0.04792 I + 0.04737
c 0 = 0.04838 I 3 0.0898 I 2 + 0.09343 I + 0.0081
f 0 = 0.2361 I 3 + 0.1515 I 2 + 0.3841 I + 0.6209
The simulation results are obtained by substituting the values under various currents that the genetic algorithm identified into the Bouc–Wen model. Figure 4 displays the findings of the comparison between simulation and experimental data. The developed model is essentially consistent with experimental results and sufficient to simulate the working characteristics of magnetorheological hydro-pneumatic spring.

3. Research on Magnetorheological Hydro-Pneumatic Semi-Active Suspension Control Strategies

3.1. Dynamic Modeling of Magnetorheological Hydro-Pneumatic Suspension

3.1.1. Dynamic Model of Magnetorheological Hydro-Pneumatic Suspension

The dynamic model of the single-wheel magnetorheological hydro-pneumatic system is established according to the three-dimensional image of the system as shown in Figure 7.
The typical dynamic modeling approach requires intricate mathematical derivations. The procedure is challenging and complex. To avoid the above difficulties, engineers can focus more on follow-up research. Many researchers currently perform dynamic analysis of the complicated results using dynamic software. SimMechanics, a collection of dynamic system modules in the Simulink environment, is one of the dynamic simulation programs in use. It can be seamlessly connected with MATLAB and co-simulated with 3D software to automatically establish its dynamics model according to the 3D model of the dynamic system. There is no need to deduce the dynamic equations of the system, so it is favored by a large number of scholars [24,25]. According to the system studied, the dynamic model of the single-wheel magnetorheological hydro-pneumatic suspension is established by combining 3D software and SimMechanics, as shown in Figure 8.

3.1.2. Road Model

Now the main methods for road time domain modeling at home and abroad are the harmonic superposition method, filter white noise method, inverse Fourier transform method, and time series analysis model method [26]. Among them, the filter white noise method is a commonly used method for modeling road roughness. The simulation research of road roughness is developed in this work using this methodology. Specifically, the pavement power spectral density (PSD) is used to define the statistical features of road roughness, which is the input of vehicle disturbance. The pavement PSD G q n is fitted using Equation (10) following the international standard [26]. n is the spatial frequency, n 0 is the reference spatial frequency, and n 0 = 0.1   m 1 is usually taken; W is the frequency index, and W = 2 is usually taken; G q ( n ) is the value of pavement PSD under n 0 , which is also known as the coefficient of pavement unevenness, and the size of which depends on the level of pavement unevenness. The range of values of G q n and their root mean square values, σ q , under eight pavement grades in the spatial frequency range of 0.011   m 1 to 2.83   m 1 are shown in the Table 2 [26].
G q n = G q n 0 n n 0 W
The time–domain expression of road roughness obtained is as follows [27]:
Z ˙ r t = 2 π n q s ˙ t Z r t + 2 π n 0 G q n 0 s ˙ t w s t
n q is the lower cut-off frequency. s t and s ˙ t are the distance and speed of the vehicle, respectively.

3.2. ON-OFF Semi-Active Control Strategy

The ON-OFF control method determines the output current based on the magnetorheological hydro-pneumatic suspension’s absolute velocity of the sprung mass and the relative velocity of the sprung mass and unsprung mass. The skyhook damping force should be in the opposite direction of the sprung mass velocity. When the velocity is positive, the damper provides a negative damping force. Contrarily, the damper provides a positive damping force. The control strategy can be expressed as follows:
F d = F I m a x       Z ˙ s Z ˙ s Z ˙ t 0 F I m i n     Z ˙ s Z ˙ s Z ˙ t < 0
where Z ˙ s and   Z ˙ t denote the velocity of the sprung mass and unsprung mass. F d denotes the output force of the magnetorheological hydro-pneumatic spring. F I m a x , and F I m i n denote the force of the magnetorheological hydro-pneumatic spring with the maximum and minimum currents.
The magnetorheological hydro-pneumatic suspension ON-OFF semi-active control system is depicted in Figure 9.
The random road-surface excitation is applied to the single-wheel magnetorheological hydro-pneumatic suspension system. The system outputs the velocity, v s , of the sprung mass and the relative velocity, d v , between the sprung mass and the unsprung mass to the ON-OFF controller. Then, the working current, I , of the magnetorheological hydro-pneumatic spring is obtained. Subsequently, the magnetorheological hydro-pneumatic spring outputs a damping force, F d , based on the calculated current, I , and the relative velocity, d v . Finally, the system adjusts itself according to the input damping force, F d , to achieve the damping effect.

3.3. PID-Fuzzy Semi-Active Control Strategy

In practical engineering applications, the PID control is frequently employed. Its primary function is to achieve control by estimating the information of the controlled item. It is to adjust the input variables of the system according to the deviation between the actual output value of the system and the target value to accomplish the real-time control of the system. The main purpose of this semi-active control strategy is to effectively reduce the driving vibration and improve the smoothness of the system, so the deviation between the real-time vertical acceleration and the target vertical acceleration is selected as the input variable. The PID controller can achieve the required control force according to the output variable of the magnetorheological hydro-pneumatic suspension system. However, due to the semi-active characteristics of the magnetorheological hydro-pneumatic spring, the required damping force can be generated by adjusting the operating current only when the control force is within the range of the controlled damping force, as shown in Figure 10. Therefore, a force limiter is required, as shown in Equation (13) [28].
f d = F I m a x Z ˙ s Z ˙ s Z ˙ t > 0 & F c F I m a x F c Z ˙ s Z ˙ s Z ˙ t > 0 & F I m i n < F c < F I m a x F I m i n Z ˙ s Z ˙ s Z ˙ t > 0 & F c F I m i n
where f d denotes the output damping force of the force limiter. F I m a x and F I m i n are the output damping force from the magnetorheological hydro-pneumatic spring at the maximum and minimum current, respectively. F c denotes the output force of the PID controller. Z ˙ s and Z ˙ t are the speed of sprung mass and unsprung mass, respectively.
To obtain control current, it is necessary to build the inverse model of magnetorheological hydro-pneumatic spring. Fuzzy control can construct the inverse model of the controlled object without the precise mathematical model. Thus, the inverse model of a magnetorheological hydro-pneumatic spring is constructed using fuzzy control in this control method. The construction of the PID-Fuzzy semi-active controller of magnetorheological hydro-pneumatic suspension primarily consists of the PID controller, the force limiter, and the fuzzy controller. The fuzzy controller uses the operating current of the magnetorheological hydro-pneumatic spring as the output and the ideal damping force output from the force limiter as the input variable. The input signal is first fuzzified, and its domain is taken as [−1, 1], which is divided into 7 parts, defined as [NB, NM, NS, ZE, PS, PM, PB]. The output variable domain is taken as [0, 1]. It is divided into 4 parts, which correspond to the different values of inputs of the magnetorheological hydro-pneumatic spring from 0 A to 1 A working current, defined as [ZE, S, M, B]. For the input variable, its affiliation function is chosen as a trapezoidal function as shown in Figure 11. For the output variables the trigonometric function is chosen as its affiliation function as shown in Figure 12.
Under the same excitation conditions, the higher the operating current of the magnetorheological hydro-pneumatic spring, the higher the output damping force. Based on the above principle, the corresponding fuzzy control rule table is formulated, as shown in the following.
FdNBNMNSZEPSPMPB
IBMSZESMB
The single-wheel magnetorheological hydro-pneumatic suspension PID-Fuzzy semi-active control system is shown in Figure 13: The random road surface excitation is input to the magnetorheological hydro-pneumatic suspension system. The system outputs the deviation value e a of real-time vertical acceleration and ideal vertical acceleration of the system to the PID controller. The control force, F c , is input to the force limiter to output the ideal damping force, f d . Then, the fuzzy controller obtains the operating current of the magnetorheological hydro-pneumatic spring, I . Subsequently, magnetorheological hydro-pneumatic spring outputs the corresponding damping force, F d , according to the corresponding control current, I , and the relative velocity, d v , of the sprung mass and unsprung mass. Finally, the single-wheel magnetorheological hydro-pneumatic suspension system controls the system according to the input damping force, so as to achieve the purpose of vibration reduction.

4. Numerical Simulation Analysis

The control methods studied are used to simulate the semi-active control of the single-wheel magnetorheological hydro-pneumatic suspension system. Sprung mass acceleration (SMA), dynamic deflection of suspension (DDS), and dynamic tire deformation (DTD) are selected as performance indexes for comparative analysis.
The parameters of the single-wheel magnetorheological hydro-pneumatic semi-active suspension model are shown in Table 3. M c and M t represent the sprung mass and unsprung mass, respectively. K t represents the tire stiffness.
On the C-level road surface, at a speed of 40 km/h, the curves of the performance indexes obtained from the three control methods are compared as shown in Figure 14, Figure 15 and Figure 16. The results are shown in Table 4.
Figure 14, Figure 15 and Figure 16 and Table 4 show numerical simulation comparisons of the main performance indexes of the single-wheel suspension system with different semi-active control methods. Among them, compared with the passive control system, the graphs of the three performance indexes of the magnetorheological hydro-pneumatic suspension system based on ON-OFF and PID-Fuzzy control have smaller curve oscillation ranges. Similarly, it can be seen that in the comparison graphs of the three types of performance indexes, the blue curves have the smallest amplitude of oscillation. Comparing the RMS values of the performance indexes of different semi-active control methods, the system with PID-Fuzzy control method is the lowest, and the vibration damping effect is the most obvious. Numerical results show that the proposed semi-active control methods can control the damping force of magnetorheological hydro-pneumatic suspension in real time according to the actual system situation, and then they reduce the vibration of the system.
To analyze the simulation results more accurately, we calculated the improvement percentage of performance indexes of the magnetorheological hydro-pneumatic semi-active system. The results are shown in Table 5.
It can be concluded from Figure 14, Figure 15 and Figure 16 and Table 4 and Table 5 that compared with the passive suspension, using ON-OFF control of the magnetorheological hydro-pneumatic suspension system’s SMA, DTD, and DDS are reduced by 18.41%, 19.64%, and 14.17%, respectively. Using PID-Fuzzy control of the magnetorheological hydro-pneumatic suspension system’s SMA, DTD, and DDS are reduced by 24.50%, 21.62%, and 21.01%, respectively. Therefore, it is fully proved that the magnetorheological hydro-pneumatic suspension semi-active control system can effectively reduce the SMA, DTD, and DDS of the passive suspension. It optimizes the system’s performance indexes, reduces the vibration, and, thus, enhances ride smoothness. From these values, in the magnetorheological hydro-pneumatic semi-active suspension system, the PID-Fuzzy control strategy has the greatest effect to optimize the performance indexes compared with the other control strategies. The performance of the magnetorheological hydro-pneumatic PID-Fuzzy semi-active suspension system is obviously better compared with the passive system, which effectively improves the performance indexes of passive hydro-pneumatic suspension system. It can be analyzed that the single-wheel magnetorheological hydro-pneumatic semi-active suspension system can effectively improve the ride performance of the suspension.
Under a vehicle speed of 10 m/s, with a 100 mm high triangular convex pavement used as the pulse input, the simulation analysis of another road surface is carried out. The figures and the peak-to-peak (PTP) response values of different performance indexes are as follows.
It can be seen from Figure 17, Figure 18 and Figure 19 and Table 6 that under the pulse road surface, the PTP values of the performance indexes of the magnetorheological hydro-pneumatic suspension semi-active control system are reduced compared with the passive suspension. It shows that the semi-active control system of magnetorheological hydro-pneumatic suspension based on ON-OFF control and PID-Fuzzy control can effectively reduce the vibration and improve the ride comfort of the system.
Similarly, we calculated the improvement percentage of performance indexes of magnetorheological hydro-pneumatic semi-active system. The results are shown in Table 7.
From the above pictures and tables, it can be seen that the PTP values of SMA, DTD, and DDS of the magnetorheological hydro-pneumatic suspension semi-active control system based on the ON-OFF control method are reduced by 24.76%, 24.92%, and 21.68%, respectively, compared with the passive control system. The PTP values of SMA, DTD, and DDS in the semi-active control system of magnetorheological hydro-pneumatic suspension based on the PID-Fuzzy control method are reduced by 33.53%, 31.36%, and 32.96%, respectively. The numerical simulation results show that the magnetorheological hydro-pneumatic semi-active control system can effectively reduce the PTP values of the passive suspension system performance indexes and suppress the vibration of the system. This shows the effectiveness of the magnetorheological hydro-pneumatic suspension system and its control methods.
Through the simulation analysis of two groups of different road surfaces, it is fully verified that the magnetorheological hydro-pneumatic suspension semi-active control system can reduce the vibration of the passive suspension system and improve the effectiveness of the system.

5. Experimental Verification

To confirm that the damping effect of the magnetorheological hydro-pneumatic semi-active suspension system is superior to that of the passive hydro-pneumatic suspension system, the system is evaluated on a road excitation simulation test bench. The test system consists of road simulation and excitation test system and real-time simulation and control system. The road excitation is sent into the bench via the road simulation and excitation test system, causing the magnetorheological hydro-pneumatic spring test prototype to vibrate. The real-time simulation and control system is used to control the magnetorheological hydro-pneumatic suspension bench system. According to the signal from the acceleration sensor, the data are processed and analyzed to test the effectiveness of the magnetorheological hydro-pneumatic suspension control strategy. The experimental site is as shown in Figure 20.
The acceleration values of the upper surface (load surface) of the passive hydro-pneumatic suspension and the magnetorheological hydro-pneumatic suspension system based on ON-OFF and PID-Fuzzy control under the 1000 kg load and C-grade road are obtained through the sensor, as shown in Figure 21 and Figure 22. The RMS values of the acceleration are obtained, as shown in Table 8.
It can be seen from Figure 21 and Figure 22 and Table 8 that the curve oscillation of the vertical acceleration of the magnetorheological hydro-pneumatic semi-active suspension is smaller than that of the passive suspension, and the peak value of the resonance region is reduced in the time–domain diagram. It can be calculated that the RMS value of acceleration on the upper surface of the magnetorheological hydro-pneumatic suspension system with ON-OFF control is reduced by 21.14% compared with the passive hydro-pneumatic suspension system. Similarly, the magnetorheological hydro-pneumatic suspension system with PID-Fuzzy control is reduced by 24.57%. The magnetorheological hydro-pneumatic suspension PID-Fuzzy semi-active control system has the best damping effect.
Under the same C-level pavement, in the simulation, the SMA of the single-wheel magnetorheological hydro-pneumatic suspension ON-OFF and PID-Fuzzy semi-active control system is reduced by 18.41% and 24.50%, respectively, compared with the passive suspension. Similarly, in the bench test, the SMA of the magnetorheological hydro-pneumatic suspension ON-OFF and PID-Fuzzy semi-active control systems is reduced by 21.14% and 24.57%, respectively. The simulation model is constructed in an ideal situation. During the test, due to a series of effects, such as environmental noise and sensor accuracy, there are differences between the test results and the simulation results. The test results show the same trend as the simulation results. The semi-active control system of magnetorheological hydro-pneumatic suspension can effectively reduce the vibration of the suspension and improve the dynamic performance of the system. Among them, the magnetorheological hydro-pneumatic suspension based on PID-Fuzzy control has the best vibration reduction effect.
The results verify that the magnetorheological hydro-pneumatic suspension and its control methods can effectively improve the ride performance.

6. Conclusions

The traditional hydro-pneumatic suspension cannot realize the continuous adjustment of damping and has poor adaptive vibration. The magnetorheological hydro-pneumatic suspension semi-active system is built, and magnetorheological semi-active damping technology is implemented to successfully improve this situation. Numerical simulations and experimental results show that the proposed new magnetorheological hydro-pneumatic semi-active suspension can effectively reduce the driving vibration of the vehicle and significantly improve the ride performance. The proposed magnetorheological hydro-pneumatic suspension modeling method and control strategies provide research ideas for the research in the field of magnetorheological vibration reduction. The main work and conclusions of this article are as follows:
(1)
According to the performance test of magnetorheological hydro-pneumatic spring, a nonlinear model of magnetorheological hydro-pneumatic spring is constructed based on the Bouc–Wen model;
(2)
The dynamic model and road model of single-wheel magnetorheological hydro-pneumatic suspension system are established. Based on the ON-OFF and PID-Fuzzy control methods, the magnetorheological hydro-pneumatic suspension semi-active control system is established;
(3)
Through the comparison and analysis of passive control, ON-OFF control, and PID-Fuzzy control of magnetorheological hydro-pneumatic suspension, it can be seen that SMA, DTD, and DDS of the single-wheel magnetorheological hydro-pneumatic semi-active suspension system based on the PID-Fuzzy control have been reduced by 24.50%, 21.62%, and 21.01%, respectively. PID-Fuzzy control makes the best control effect and effectively improves the ride performance;
(4)
Through the magnetorheological hydro-pneumatic suspension bench test, the RMS values of the upper surface acceleration of the magnetorheological hydro-pneumatic suspension system with ON-OFF and PID-Fuzzy control are reduced by 21.14% and 24.57% compared with the passive hydro-pneumatic suspension system. The test further verifies the effectiveness of magnetorheological hydro-pneumatic suspension and its semi-active control strategies.

Author Contributions

Conceptualization, Y.C. and M.J.; methodology, Y.C. and M.J.; software, Y.C.; validation, Y.C., M.J., R.Q., R.Z., H.W. and S.X.; formal analysis, Y.C.; investigation, Y.C., M.J., R.Q. and R.Z.; resources, M.J. and F.Y.; data curation, Y.C.; writing—original draft preparation, Y.C.; writing—review and editing, M.J., F.Y., R.Q. and R.Z.; visualization, Y.C.; supervision, M.J., F.Y., H.W. and S.X.; project administration, M.J. and F.Y.; funding acquisition, M.J. and F.Y. All authors have read and agreed to the published version of the manuscript.

Funding

This work was supported by the National Natural Science Foundation of China (Grant No. 52305112) and the Natural Science Foundation of Jiangsu Province (No. BK20230906).

Data Availability Statement

The data presented in this study are available on request from the corresponding author.

Conflicts of Interest

The authors declare no conflicts of interest.

References

  1. Zhu, W.F.; Zhao, Z.L.; Zhou, X.T.; Cao, X.P.; Ye, M.; Cao, C.Q.; Alam, M.M. Research on Damping Hole Optimization of Hydro-Pneumatic Suspension for Mining Trucks under Variable Load Conditions. Actuators 2024, 13, 163. [Google Scholar] [CrossRef]
  2. Sun, J.; Liu, X.; Zhao, G.; Yao, D. Research on comfort improvement of heavy haul transport vehicle based on fuzzy dynamic output feedback. J. Zheijang Univ. Technol. 2022, 50, 136–142. [Google Scholar]
  3. Xu, X.; Zhao, T.; Chen, J.; Ding, M.; Kong, D.; Yu, J. Research on reliability of oil and gas spring damping valve for special vehicles. Ordnance Mater. Sci. Eng. 2024, 47, 94–100. [Google Scholar]
  4. Xu, W.; Pang, H. Parameter optimization of the dual-cavity hydro-pneumatic suspension damping system for construction vehicles based on road-surface excitation. J. Mach. Des. 2021, 38, 98–105. [Google Scholar]
  5. Crosby, M.; Karnopp, D.C. The active damper: A new concept for shock and vibration control. Shock. Vib. Bull. 1973, 43, 119–133. [Google Scholar]
  6. Shen, Y.J.; Qiu, D.D.; Yang, X.F.; Chen, J.J.; Guo, Y.; Zhang, T.Y. Vibration Isolation Performance Analysis of a Nonlinear Fluid Inerter-Based Hydro-Pneumatic Suspension. Int. J. Struct. Stab. Dyn. 2024, 22, 2650079. [Google Scholar] [CrossRef]
  7. Sun, L. Optimum design of “road-friendly” vehicle suspension systems subjected to rough pavement surfaces. Appl. Math. Model. 2002, 26, 635–652. [Google Scholar] [CrossRef]
  8. Sun, A.X.; Yu, C.C.; Xie, F.W.; Gao, Y.H.; Shi, X.W. Ride comfort improvement by back propagation-active disturbance rejection control in semi-active hydro-pneumatic suspension of mining dump truck. J. Vib. Control 2024, 17, 10775463241258269. [Google Scholar] [CrossRef]
  9. Yang, L.; Wang, R.C.; Ding, R.K.; Liu, W.; Zhu, Z.H. Investigation on the dynamic performance of a new semi-active hydro-pneumatic inerter-based suspension system with MPC control strategy. Mech. Syst. Signal Proc. 2021, 154, 21. [Google Scholar] [CrossRef]
  10. Moulton, A.; Best, A. Hydragas® Suspension; SAE International 1979 Automotive Engineering Congress and Exposition, 0148-7191; SAE Technical Paper 790374; SAE International: Warrendale, PA, USA, 1979. [Google Scholar] [CrossRef]
  11. Şerifoğlu, A.M.; Kasnakoğlu, C. Fuzzy Logic Controlled Active Hydro-Pneumatic Suspension Design Simulation and Comparison for Performance Analysis. In Proceedings of the 2021 3rd International Congress on Human-Computer Interaction, Optimization and Robotic Applications (HORA), Ankara, Turkey, 11–13 June 2021; pp. 1–5. [Google Scholar]
  12. Wang, D.; Guan, J.; Wang, W. Fuzzy Control System for Semi-active Hydro-pneumatic Suspension. Trans. Chin. Soc. Agric. Mach. 2009, 40, 23–26. [Google Scholar]
  13. Zainordin, A.Z.; Mohamed, Z. Performance Characteristics of a Compact Core Annular-Radial Magnetorheological Damper for Vehicle Suspension Systems. Int. J. Automot. Mech. Eng. 2024, 21, 11757–11769. [Google Scholar] [CrossRef]
  14. Jiang, M.; Rui, X.T.; Yang, F.F.; Zhu, W.; Zhu, H.T.; Han, W.J. Design and dynamic performance research of MR hydro-pneumatic spring based on multi-physics coupling model. Nonlinear Dyn. 2023, 111, 8191–8215. [Google Scholar] [CrossRef]
  15. Wang, P.; Yang, S.; Liu, Y.; Liu, P.; Zhao, Y. Research on control strategy of magnetorheological semi-active suspension for high-speed train. Chin. J. Theor. Appl. Mech. 2023, 55, 1004–1018. [Google Scholar]
  16. Chen, X.L.; Song, H.; Zhao, S.X.; Xu, L.Y. Ride comfort investigation of semi-active seat suspension integrated with quarter car model. Mech. Ind. 2022, 23, 17. [Google Scholar] [CrossRef]
  17. Grazioso, A.; Ugenti, A.; Galati, R.; Mantriota, G.; Reina, G. Modeling and validation of a novel tracked robot via multibody dynamics. Robotica 2023, 41, 3211–3232. [Google Scholar] [CrossRef]
  18. Ma, S.; Li, Y.M.; Tong, S.C. Research on control strategy of seven-DOF vehicle active suspension system based on co-simulation. Meas. Control 2023, 56, 1251–1260. [Google Scholar] [CrossRef]
  19. Huang, Z.; Liang, Z.; Zou, J. Optimization of Vehicle Suspension Parameters Based on SIMPACK/Isight Simulation of Wheel Eccentric Out-of-roundness. In Proceedings of the 2022 International Conference on Computer Engineering and Artificial Intelligence (ICCEAI), Shijiazhuang, China, 22–24 July 2022; pp. 270–274. [Google Scholar] [CrossRef]
  20. Wei, C.; Pang, X. Modeling and Simulation for a Novel Semi-Active Seat-suspension with a Cam-Roller-Spring Mechanism. In Proceedings of the 2023 6th International Conference on Intelligent Robotics and Control Engineering (IRCE), Jilin, China, 4–6 August 2023; pp. 108–112. [Google Scholar] [CrossRef]
  21. Bouc, R. Forced vibrations of mechanical systems with hysteresis. In Proceedings of the Proc. of the Fourth Conference on Nonlinear Oscillations, Prague, Czech Republic, 5–9 September 1967. [Google Scholar]
  22. Wen, Y.K. Approximate method for nonlinear random vibration. J. Eng. Mech. Div. 1975, 101, 389–401. [Google Scholar] [CrossRef]
  23. Kwok, N.M.; Ha, Q.P.; Nguyen, M.T.; Li, J.; Samali, B. Bouc-Wen model parameter identification for a MR fluid damper using computationally efficient GA. ISA Trans. 2007, 46, 167–179. [Google Scholar] [CrossRef]
  24. Le Tien, D.; Hee-Jun, K.; Young-Shick, R. Robot manipulator modeling in Matlab-Simmechanics with PD control and online gravity compensation. In Proceedings of the International Forum on Strategic Technology (IFOST 2010), Ulsan, Republic of Korea, 13–15 October 2010. [Google Scholar] [CrossRef]
  25. Bhawana, C.; Thota, V.; Bachu, S. Artificial Intelligence based Wheeled Fire Fighting Robot with A Fire Extinguishing, Ball-Shooting Turret for Forest Areas. In Proceedings of the 2024 International Conference on Social and Sustainable Innovations in Technology and Engineering (SASI-ITE), Tadepalligudem, India, 23–25 February 2024; pp. 198–203. [Google Scholar] [CrossRef]
  26. Chen, J.; Chen, W.; Zhu, H.; Zhu, M. Modeling and Simulation on Stochastic Road Surface Irregularity Based on Matlab/Simulink. Trans. Chin. Soc. Agric. Mach. 2010, 41, 11–15. [Google Scholar]
  27. Li, G.; Xie, M.; Hu, G.; Yang, C.; Ruan, Z. Study on GSA-LQG control of semi-active vehicle suspension with magnetorheological damper. Mod. Manuf. Eng. 2022, 48–54. [Google Scholar]
  28. Jiang, M.; Rui, X.T.; Zhu, W.; Yang, F.F.; Zhang, J.S. Modeling and control of magnetorheological 6-DOF stewart platform based on multibody systems transfer matrix method. Smart Mater. Struct. 2020, 29, 20. [Google Scholar] [CrossRef]
Figure 1. The schematic diagram of the magnetorheological hydro-pneumatic spring.
Figure 1. The schematic diagram of the magnetorheological hydro-pneumatic spring.
Actuators 14 00073 g001
Figure 2. The object picture of magnetorheological hydro-pneumatic spring.
Figure 2. The object picture of magnetorheological hydro-pneumatic spring.
Actuators 14 00073 g002
Figure 3. Magnetorheological hydro-pneumatic spring mechanical properties test system.
Figure 3. Magnetorheological hydro-pneumatic spring mechanical properties test system.
Actuators 14 00073 g003
Figure 4. The experimental results (solid line) and the simulation results (dotted line) of the Bouc–Wen model: (a) The force−displacement curve; (b) the force−velocity curve.
Figure 4. The experimental results (solid line) and the simulation results (dotted line) of the Bouc–Wen model: (a) The force−displacement curve; (b) the force−velocity curve.
Actuators 14 00073 g004
Figure 5. Bouc–Wen model.
Figure 5. Bouc–Wen model.
Actuators 14 00073 g005
Figure 6. Bouc–Wen model parameters and current fitting curve: (a) the γ I curve; (b) the β I curve; (c) the A I curve; (d) the α I curve; (e) the k 0 I curve; (f) the c 0 I curve; (g) the f 0 I curve.
Figure 6. Bouc–Wen model parameters and current fitting curve: (a) the γ I curve; (b) the β I curve; (c) the A I curve; (d) the α I curve; (e) the k 0 I curve; (f) the c 0 I curve; (g) the f 0 I curve.
Actuators 14 00073 g006aActuators 14 00073 g006b
Figure 7. The three-dimensional image of the magnetorheological hydro-pneumatic system.
Figure 7. The three-dimensional image of the magnetorheological hydro-pneumatic system.
Actuators 14 00073 g007
Figure 8. The dynamic model of single-wheel magnetorheological hydro-pneumatic system.
Figure 8. The dynamic model of single-wheel magnetorheological hydro-pneumatic system.
Actuators 14 00073 g008
Figure 9. Magnetorheological hydro-pneumatic suspension ON-OFF semi-active control system.
Figure 9. Magnetorheological hydro-pneumatic suspension ON-OFF semi-active control system.
Actuators 14 00073 g009
Figure 10. Output damping force range of magnetorheological hydro-pneumatic spring.
Figure 10. Output damping force range of magnetorheological hydro-pneumatic spring.
Actuators 14 00073 g010
Figure 11. Input variable membership curve.
Figure 11. Input variable membership curve.
Actuators 14 00073 g011
Figure 12. Output variable membership curve.
Figure 12. Output variable membership curve.
Actuators 14 00073 g012
Figure 13. Magnetorheological hydro-pneumatic suspension PID-Fuzzy semi-active control system.
Figure 13. Magnetorheological hydro-pneumatic suspension PID-Fuzzy semi-active control system.
Actuators 14 00073 g013
Figure 14. The comparison diagrams of SMA in random road surface.
Figure 14. The comparison diagrams of SMA in random road surface.
Actuators 14 00073 g014
Figure 15. The comparison diagrams of DTD in random road surface.
Figure 15. The comparison diagrams of DTD in random road surface.
Actuators 14 00073 g015
Figure 16. The comparison diagrams of DDS in random road surface.
Figure 16. The comparison diagrams of DDS in random road surface.
Actuators 14 00073 g016
Figure 17. The comparison diagrams of SMA in the pulse road surface.
Figure 17. The comparison diagrams of SMA in the pulse road surface.
Actuators 14 00073 g017
Figure 18. The comparison diagrams of DTD in the pulse road surface.
Figure 18. The comparison diagrams of DTD in the pulse road surface.
Actuators 14 00073 g018
Figure 19. The comparison diagrams of DDS in the pulse road surface.
Figure 19. The comparison diagrams of DDS in the pulse road surface.
Actuators 14 00073 g019
Figure 20. The site map of magnetorheological hydro-pneumatic suspension system bench.
Figure 20. The site map of magnetorheological hydro-pneumatic suspension system bench.
Actuators 14 00073 g020
Figure 21. Time–domain comparison of upper surface acceleration.
Figure 21. Time–domain comparison of upper surface acceleration.
Actuators 14 00073 g021
Figure 22. Frequency–domain comparison of upper surface acceleration.
Figure 22. Frequency–domain comparison of upper surface acceleration.
Actuators 14 00073 g022
Table 1. Identification results of Bouc–Wen model parameters.
Table 1. Identification results of Bouc–Wen model parameters.
I/A γ β A α /KN k 0 /KN/m c 0 /KN s/m f 0 /KN
0.05.80.2611.546.0250.0480.0080.615
0.220.2750.4630.4331.5140.050.0240.725
0.428.1720.70.27810.05250.0340.75
0.619.880.850.117145.1310.05320.0420.876
0.819.070.910.082187.40.060.05060.9
1.020.21710.06190.330.0880.060.92
Table 2. Classification standard of road roughness.
Table 2. Classification standard of road roughness.
Road Grade G q ( n 0 )/ m 3 σ q / m
A 8 ~ 32 × 10 6 3.69 ~ 5.38 × 10 3
B 32 ~ 128 × 10 6 5.38 ~ 10.77 × 10 3
C 128 ~ 512 × 10 6 10.77 ~ 21.53 × 10 3
D 512 ~ 2048 × 10 6 21.53 ~ 43.06 × 10 3
E 2048 ~ 8192 × 10 6 43.06 ~ 86.13 × 10 3
F 8192 ~ 32,768 × 10 6 86.13 ~ 172.26 × 10 3
G 32,768 ~ 131,072 × 10 6 172.26 ~ 344.52 × 10 3
H 131,072 ~ 524,288 × 10 6 344.52 ~ 689.04 × 10 3
Table 3. Related parameters of the system.
Table 3. Related parameters of the system.
ParameterValue
M c 3000 kg
M t 300 kg
K t 1,143,000 N/m
Table 4. Performance index results.
Table 4. Performance index results.
Performance IndexPassiveON-OFFPID-Fuzzy
SMA ( m / s 2 ) 1.4941.2191.128
DTD ( m m ) 8.8297.0956.920
DDS ( m m ) 7.3966.3485.842
Table 5. The RMS improvement percentage of the performance indexes.
Table 5. The RMS improvement percentage of the performance indexes.
Performance Index Improvement Percentage Compared with Passive Control (%)ON-OFFPID-Fuzzy
SMA18.4124.50
DTD19.6421.62
DDS14.1721.01
Table 6. The PTP values of performance indexes.
Table 6. The PTP values of performance indexes.
Performance IndexPassiveON-OFFPID-Fuzzy
SMA ( m / s 2 ) 0.6500.4890.432
DTD ( m m ) 3.2912.4712.259
DDS ( m m ) 2.5602.0051.716
Table 7. The PTP improvement percentage of the performance indexes.
Table 7. The PTP improvement percentage of the performance indexes.
Performance Index Improvement Percentage Compared with Passive Control (%)ON-OFFPID-Fuzzy
SMA24.7633.53
DTD24.9231.36
DDS21.6832.96
Table 8. The RMS value of acceleration of the experiment and the simulation.
Table 8. The RMS value of acceleration of the experiment and the simulation.
The RMS Value of AccelerationExperiment (g)The Improvement Rate (%)
Passive0.3500.00
ON-OFF0.27621.14
PID-Fuzzy0.26424.57
Disclaimer/Publisher’s Note: The statements, opinions and data contained in all publications are solely those of the individual author(s) and contributor(s) and not of MDPI and/or the editor(s). MDPI and/or the editor(s) disclaim responsibility for any injury to people or property resulting from any ideas, methods, instructions or products referred to in the content.

Share and Cite

MDPI and ACS Style

Chen, Y.; Jiang, M.; Yang, F.; Qian, R.; Zhai, R.; Wang, H.; Xv, S. Research on Dynamic Modeling and Control of Magnetorheological Hydro-Pneumatic Suspension. Actuators 2025, 14, 73. https://doi.org/10.3390/act14020073

AMA Style

Chen Y, Jiang M, Yang F, Qian R, Zhai R, Wang H, Xv S. Research on Dynamic Modeling and Control of Magnetorheological Hydro-Pneumatic Suspension. Actuators. 2025; 14(2):73. https://doi.org/10.3390/act14020073

Chicago/Turabian Style

Chen, Yuansi, Min Jiang, Fufeng Yang, Ruijing Qian, Rongjie Zhai, Hongliang Wang, and Shaoqing Xv. 2025. "Research on Dynamic Modeling and Control of Magnetorheological Hydro-Pneumatic Suspension" Actuators 14, no. 2: 73. https://doi.org/10.3390/act14020073

APA Style

Chen, Y., Jiang, M., Yang, F., Qian, R., Zhai, R., Wang, H., & Xv, S. (2025). Research on Dynamic Modeling and Control of Magnetorheological Hydro-Pneumatic Suspension. Actuators, 14(2), 73. https://doi.org/10.3390/act14020073

Note that from the first issue of 2016, this journal uses article numbers instead of page numbers. See further details here.

Article Metrics

Back to TopTop