Development of Closed Symmetrical Robotic Arms Driven by Pneumatic Muscle Actuators
Abstract
1. Introduction
2. Test Rig Layout
3. System Mechanism Analysis
3.1. Forward Kinematic Analysis
3.2. Inverse Kinematic Analysis
3.3. Control Strategy
3.4. Controller Design
4. Experiments
4.1. Experiment for Single-Axial PMAs System with Path Tracking Control
4.2. Experiment for Single-Axial PMAs System with Sinusoidal Path Tracking Control
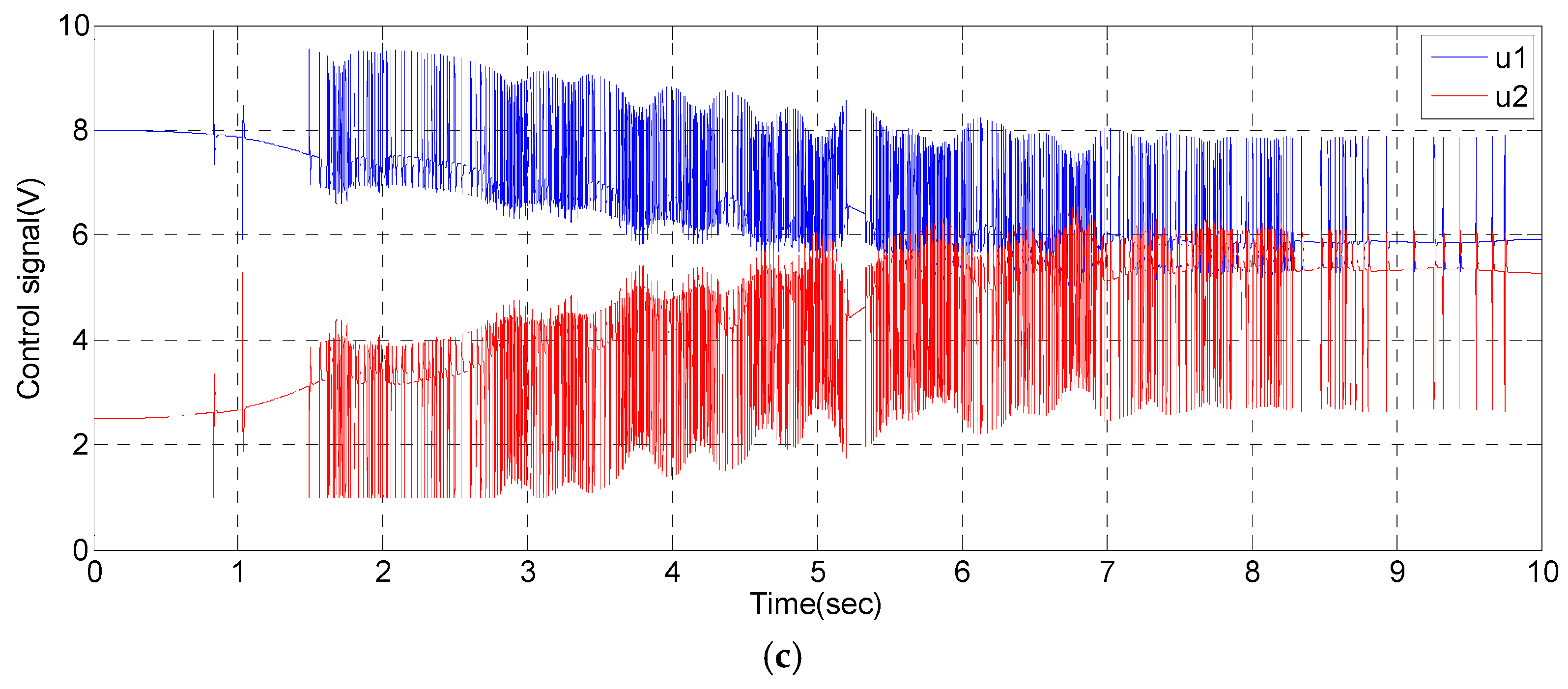
4.3. Experiment for Dual-Axial PMAs System with Specific Path Tracking Control
5. Conclusions
Author Contributions
Funding
Data Availability Statement
Conflicts of Interest
Abbreviations
| PMA | Pneumatic muscle actuator |
| FSB-ASMC + | Fourier series-based adaptive sliding mode controller with |
References
- Lilly, J.H. Adaptive tracking for pneumatic muscle actuators in bicep and tricep configurations. IEEE Trans. Neural Syst. Rehabil. Eng. 2003, 11, 333–339. [Google Scholar] [CrossRef] [PubMed]
- Kobayashi, H.; Suzuki, H. Development of a new shoulder mechanism for a muscle suit. In Proceedings of the IEEE International Conference on Mechatronics and Automation, Niagara Falls, ON, Canada, 29 July–1 August 2005; Volume 2, pp. 1051–1056. [Google Scholar]
- Tsai, T.-C.; Chiang, M.-H. Design and control of a 1-DOF robotic lower-limb system driven by novel single pneumatic artificial muscle. Appl. Sci. 2019, 10, 43. [Google Scholar] [CrossRef]
- Tsai, T.-C.; Chiang, M.-H. A lower limb rehabilitation assistance training robot system driven by an innovative pneumatic artificial muscle system. Soft Robot. 2023, 10, 1–16. [Google Scholar] [CrossRef] [PubMed]
- Chou, C.P.; Hannaford, B. Measurement and modeling of Mckibben pneumatic artificial muscles. In Proceedings of the IEEE International Conference on Robotics and Automation, Minneapolis, MN, USA, 22–28 April 1996; Volume 12, pp. 90–102. [Google Scholar]
- Reynolds, D.B.; Repperger, D.W.; Phillips, C.A.; Bandry, G. Modeling the dynamic characterisitcs of pneumatic muscle. Ann. Biomed. Eng. 2003, 31, 310–317. [Google Scholar] [CrossRef]
- Davis, S.; Tsagarakis, N.; Canderle, J.; Caldwell, D.G. Enhanced modelling and performance in braided pneumatic muscle actuators. Int. J. Robot. Res. 2003, 22, 213–227. [Google Scholar] [CrossRef]
- Saga, N.; Nakamura, T.; Yaegashi, K. Mathematical model of pneumatic artificial muscle reinforced by straight fibers. J. Intell. Mater. Syst. Struct. 2007, 18, 175–179. [Google Scholar] [CrossRef]
- Medrano-Cerda, G.A.; Bowler, C.J.; Caldwell, D.G. Adaptive position control of antagonistic pneumatic muscle actuators. Intell. Robot. Syst. 1995, 1, 378–383. [Google Scholar]
- Caldwell, D.G.; Medrano-Cerda, G.A.; Goodwin, M. Control of pneumatic muscle actuators. IEEE Control Syst. Mag. 1995, 15, 40–48. [Google Scholar]
- Ahn, K.K.; Thanh, T.D.C.; Ahn, Y.K. Intelligent switching control of pneumatic artificial muscle manipulator. JSME Int. J. Ser. C 2005, 48, 4. [Google Scholar] [CrossRef]
- Tondu, B.; Lopez, Y. Modeling and control of Mckibben artificial muscle robot actuators. IEEE Control Syst. Mag. 2005, 20, 15–38. [Google Scholar]
- Mao, Y.; Wang, J.; Li, S.; Han, Z. Energy- efficient control of pneumatic muscle actuated biped robot joints. In Proceedings of the 6th World Congress on Intelligent Control and Automatic, Dalian, China, 21–23 June 2006; Volume 2, pp. 8881–8885. [Google Scholar]
- Jutras, D.; Bigras, P. Control of an actuator made of two antagonist Mckibben muscles via LMI optimization. IEEE Int. Symp. Ind. Electron. 2006, 4, 3072–3077. [Google Scholar]
- Chang, M.K.; Yen, P.L.; Yuan, T.H. Angle control of a one-dimension pneumatic muscle arm using self-organizing fuzzy control. In Proceedings of the IEEE International Conference on Systems, Man and Cybernetics, Taipei, Taiwan, 8–11 October 2006; Volume 5, pp. 3834–3838. [Google Scholar]
- Lilly, J.H.; Quesada, P.M. A two-input sliding-mode controller for a planar arm actuated by four pneumatic muscle groups. IEEE Trans. Neural Syst. Rehabil. Eng. 2004, 12, 349–359. [Google Scholar] [CrossRef]
- Cullinan, M.F.; Bourke, E.; Kelly, K.; McGinn, C. A McKibben type sleeve pneumatic muscle and integrated mechanism for improved stroke length. J. Mech. Robot. 2017, 9, 011013. [Google Scholar] [CrossRef]
- Kalita, B.; Leonessa, A.; Dwivedy, S.K. A Review on the Development of Pneumatic Artificial Muscle Actuators: Force Model and Application. Actuators 2022, 11, 288. [Google Scholar] [CrossRef]
- Chang, M.K. An adaptive self-organizing fuzzy sliding mode controller for a 2-DOF rehabilitation robot actuated by pneumatic muscle actuators. Control Eng. Pract. 2010, 18, 13–22. [Google Scholar] [CrossRef]
- Anh, H.P.H. Online tuning gain scheduling MIMO neural PID control of the 2-axes pneumatic artificial muscle (PAM) robot arm. Expert Syst. Appl. 2010, 37, 6547–6560. [Google Scholar] [CrossRef]
- Jahanabadi, H.; Mailah, M.; Md-Zain, M.Z.; Hooi, H.M. Active force with fuzzy logic control of a two-link arm driven by pneumatic artificial muscles. J. Bionic Eng. 2011, 8, 474–484. [Google Scholar] [CrossRef]
- Kato, T.; Higashi, T.; Shimizu, K. Teleoperation of a Robot Arm System Using Pneumatic Artificial Rubber Muscles: Teleoperation over the Internet Using UDP and a Web Camera. In Proceedings of the International Conference on Broadband, Wireless Computing, Communication and Applications, Fukuoka, Japan, 4–6 November 2010; pp. 714–718. [Google Scholar]
- Muramatsu, Y.; Kobayashi, H.; Sato, Y.; Jiaou, H.; Hashimoto, T.; Kobayashi, H. Quantitative performance analysis of muscle suit—Estimation by Oxyhemoglobin and deoxyhemoglobin. In Proceedings of the IEEE International Conference on Robotics and Biomimetics, Karon Beach, Thailand, 7–11 December 2011; pp. 293–298. [Google Scholar]
- Utkin, V.I. Survey Paper Variable Structure Systems with Sliding Modes. IEEE Trans. Autom. Control 1977, 22, 212–222. [Google Scholar] [CrossRef]
- Hung, J.Y.; Gao, W.; Hung, J.C. Variable structure control: A survey. Industrial Electronics. IEEE Trans. Mechatron. 1993, 40, 2–22. [Google Scholar]
- Slotine, J.J.E. Sliding controller design for non-linear systems. Int. J. Control 1984, 40, 421–434. [Google Scholar] [CrossRef]
- Chen, P.C.; Huang, A.C. Adaptive Sliding Control of Active Suspension Systems with Uncertain Hydraulic Actuator Dynamics. Veh. Syst. Dyn. 2006, 44, 357–368. [Google Scholar] [CrossRef]
- Huang, A.C.; Kuo, Y.S. Sliding control of nonlinear systems containing time-varying uncertainties with unknown bounds. Int. J. Control 1999, 74, 252–264. [Google Scholar] [CrossRef]
- Tsai, Y.C.; Huang, A.C. Multiple-Surface Sliding Controller Design for Pneumatic Servo Systems. Mechatronics 2007, 18, 506–512. [Google Scholar] [CrossRef]
- Chiang, M.H.; Lee, L.W.; Kuo, C.F.; Chen, Y.N. A H∞ Tracking-Based Adaptive Sliding-Mode Controller for Nonlinear Pneumatic Path Tracking Systems via a Functional Approximation Approach. J. Chin. Soc. Mech. Eng. 2009, 24, 507–515. [Google Scholar]
- Chiang, M.H.; Lin, H.T. Development of a 3D Parallel Mechanism Robot Arm with Three Vertical-Axial Pneumatic Actuators, Large Stroke and Nanometer Accuracy. Sensors 2011, 11, 11476–11494. [Google Scholar] [CrossRef]
- Craig, J.J. Introduction to Robotics Mechanics and Control; Addison-Wesley Publishing Company: Boston, MA, USA, 1989; pp. 237–238. [Google Scholar]
















| Components | Company | Type | Specifications |
|---|---|---|---|
| Data acquisition card | Advantech Co., Ltd., Taipei, Taiwan | PCL-726 | 12-bit D/A converter 16-ch D/I, D/O |
| Encoder and counter card | Advantech | PCL-833 | 3-ch 24-bits counters 1.0 MHz input rate |
| Angular sensor | Kübler Group Fritz Kübler GmbH, Villingen-Schwenningen, Germany | 5802 | Precision: 5000 pulses 0.018 degree |
| Pneumatic muscle | Festo SE & Co. KG, Esslingen, Germany | DMSP-20-250N | Length: 250 mm Max. contraction ratio: 25% Maximum force output: 1500 N |
| Proportional pressure servo valve | Festo | MPPES-3-1/8-6-010 | 3/3 way, Input voltage: 0~10 V Output pressure: 0~6 bar |
| Variable | |||||
|---|---|---|---|---|---|
| The value of control Parameter | 20 | 100 | 0.006 | 0.03 | 10,000 |
Disclaimer/Publisher’s Note: The statements, opinions and data contained in all publications are solely those of the individual author(s) and contributor(s) and not of MDPI and/or the editor(s). MDPI and/or the editor(s) disclaim responsibility for any injury to people or property resulting from any ideas, methods, instructions or products referred to in the content. |
© 2025 by the authors. Licensee MDPI, Basel, Switzerland. This article is an open access article distributed under the terms and conditions of the Creative Commons Attribution (CC BY) license (https://creativecommons.org/licenses/by/4.0/).
Share and Cite
Chang, C.-W.; Chiang, M.-H. Development of Closed Symmetrical Robotic Arms Driven by Pneumatic Muscle Actuators. Actuators 2025, 14, 545. https://doi.org/10.3390/act14110545
Chang C-W, Chiang M-H. Development of Closed Symmetrical Robotic Arms Driven by Pneumatic Muscle Actuators. Actuators. 2025; 14(11):545. https://doi.org/10.3390/act14110545
Chicago/Turabian StyleChang, Che-Wei, and Mao-Hsiung Chiang. 2025. "Development of Closed Symmetrical Robotic Arms Driven by Pneumatic Muscle Actuators" Actuators 14, no. 11: 545. https://doi.org/10.3390/act14110545
APA StyleChang, C.-W., & Chiang, M.-H. (2025). Development of Closed Symmetrical Robotic Arms Driven by Pneumatic Muscle Actuators. Actuators, 14(11), 545. https://doi.org/10.3390/act14110545

