An Improved Analytical Model of a Thrust Stand with a Flexure Hinge Structure Considering Stiffness Drift and Rotation Center Offset
Abstract
1. Introduction
2. Conceptual Illustration
3. Conventional Analytical Model of the Thrust Stand
4. The Improved Analytical Model of the Thrust Stand
4.1. Hinge Bending Deflection Modeling
4.2. Gravity-Induced Extension Effect
4.3. Rotational Center Offset Effect
4.4. The Improved and Corrected Analytical Model
5. Case Study and Discussion
5.1. The Improved and Corrected Analytical Model
- (1)
- Region A is the thinnest region of the hinge, has a length about 1/3 of the entire one, and has the characteristics of a large aspect ratio. The stresses and strains in both bending and tensile deformation are large. It is a key concern in force analysis. Therefore, a controlled structured hexahedral mesh is used instead of an unstructured one for the meshing (see Figure 9b). A three-level hexahedral mesh is established in the thickness direction, and 30 and 100 elements are divided in the axial and width directions, respectively, using “mapped” and “swept” techniques to accomplish the above operations. Accordingly, region A is equivalent to a large number of healthy micro-cantilevers.
- (2)
- Region B contains the part of the hinge root with larger curvature, the hexahedral element is no longer applicable, and the physical field-controlled tetrahedral element is used to build the mesh. Furthermore, in order to avoid a poor-quality mesh in the narrow region of the hinge root, a virtual mesh technique is applied to its root to supplement a circular arc-shaped region (see Figure 9a); this region is only used to distinguish the difference between the meshes, and does not have an actual physical partitioning function (i.e., the machining of the hinge shown in Figure 9a is shaped in one piece).
- (3)
- Region C is the part outside the hinge, which is not the focus of attention, so it is subjected to a coarser free-division tetrahedral mesh.
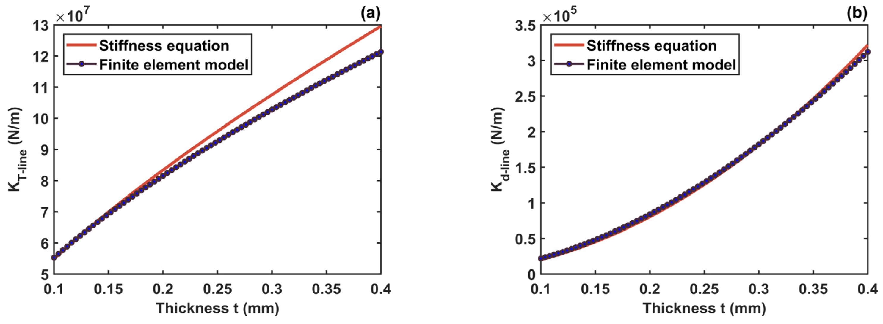
5.2. Results and Discussion
5.3. Discussion for Thrust Measurement
6. Conclusions
Author Contributions
Funding
Data Availability Statement
Acknowledgments
Conflicts of Interest
References
- Li, H.; Wu, Z.; Sun, G. A model for macro-performances applied to low power coaxial pulsed plasma thrusters. Acta Astronaut. 2020, 170, 154–162. [Google Scholar] [CrossRef]
- Xia, Q.; Wang, N.; Wu, X. The influence of external magnetic field on the plume of vacuum arc thruster. Acta Astronaut. 2019, 164, 69–76. [Google Scholar] [CrossRef]
- Anderson, G.; Anderson, J.; Anderson, M. Experimental results from the ST7 mission on LISA Pathfinder. Phys. Rev. D 2018, 98, 102005. [Google Scholar] [CrossRef]
- Armano, M.; Audley, H.; Auger, G. The LISA pathfinder mission. In Journal of Physics: Conference Series, Proceedings of the 10th International LISA Symposium, Gainesville, FL, USA, 18–23 May 2014; IOP Publishing: Bristol, UK, 2015; Volume 610, p. 610. [Google Scholar] [CrossRef]
- Armano, M.; Audley, H.; Baird, J. LISA Pathfinder platform stability and drag-free performance. Phys. Rev. D 2019, 99, 082001. [Google Scholar] [CrossRef]
- Tajmar, M. Overview of indium LMIS for the NASA-MMS mission and its suitability for an In-FEEP thruster on LISA. In Proceeding of the International Electric Propulsion Conference, IEPC-2011, Wiesbaden, Germany, 11–15 September 2011. [Google Scholar]
- Danzmann, K.; Prince, T.A.; Binetruy, P. LISA: Unveiling a hidden Universe. Assess. Study Rep. ESA/SRE 2011, 3. [Google Scholar] [CrossRef]
- Anselmo, M.R.; Marques, R.I. Torsional thrust balance for electric propulsion application with electrostatic calibration device. Meas. Sci. Technol. 2019, 30, 055903. [Google Scholar] [CrossRef]
- Lun, J.; Law, C. Direct thrust measurement stand with improved operation and force calibration technique for performance testing of pulsed micro-thrusters. Meas. Sci. Technol. 2014, 25, 095009. [Google Scholar] [CrossRef]
- Frollani, D.; Coletti, M.; Gabriel, S.B. A thrust balance for low power hollow cathode thrusters. Meas. Sci. Technol. 2014, 25, 065902. [Google Scholar] [CrossRef]
- Orieux, S.; Rossi, C.; Esteve, D. Thrust stand for ground tests of solid propellant microthrusters. Rev. Sci. Instrum. 2002, 73, 2694–2698. [Google Scholar] [CrossRef]
- Grubišić, A.N.; Gabriel, S.B. Development of an indirect counterbalanced pendulum optical-lever thrust balance for micro-to millinewton thrust measurement. Meas. Sci. Technol. 2010, 21, 105101. [Google Scholar] [CrossRef]
- Acosta-Zamora, A.; Flores, J.R.; Choudhuri, A. Torsional thrust balance measurement system development for testing reaction control thrusters. Measurement 2013, 46, 3414–3428. [Google Scholar] [CrossRef]
- Lam, J.K.; Koay, S.C.; Lim, C.H. A voice coil based electromagnetic system for calibration of a sub-micronewton torsional thrust stand. Measurement 2019, 131, 597–604. [Google Scholar] [CrossRef]
- Xu, K.G.; Walker, M.L.R. High-power, null-type, inverted pendulum thrust stand. Rev. Sci. Instrum. 2009, 80, 055103. [Google Scholar] [CrossRef] [PubMed]
- Knoll, A.; Lamprou, D.; Lappas, V. Thrust balance characterization of a 200 W quad confinement thruster for high thrust regimes. IEEE Trans. Plasma Sci. 2014, 43, 185–189. [Google Scholar] [CrossRef]
- Hey, F.G.; Keller, A.; Braxmaier, C. Development of a highly precise micronewton thrust balance. IEEE Trans. Plasma Sci. 2014, 43, 234–239. [Google Scholar] [CrossRef]
- Zhang, H.; Duan, B.; Wu, L. Development of a steady-state microthrust measurement stand for microspacecrafts. Measurement 2021, 178, 109357. [Google Scholar] [CrossRef]
- Trezzolani, F.; Magarotto, M.; Manente, M. Development of a counterbalanced pendulum thrust stand for electric propulsion. Measurement 2018, 122, 494–501. [Google Scholar] [CrossRef]
- Wachs, B.N.; Jorns, B.A. Sub-millinewton thrust stand and wireless power coupler for microwave-powered small satellite thrusters. Rev. Sci. Instrum. 2022, 93, 083507. [Google Scholar] [CrossRef]
- Wang, A.; Wu, H.; Tang, H. Development and testing of a new thrust stand for micro-thrust measurement in vacuum conditions. Vacuum 2013, 91, 35–40. [Google Scholar] [CrossRef]
- Polk, J.E.; Pancotti, A.; Haag, T. Recommended practice for thrust measurement in electric propulsion testing. J. Propul. Power 2017, 33, 539–555. [Google Scholar] [CrossRef]
- Wei, H.; Tian, Y.; Zhao, Y. Two-axis flexure hinges with variable elliptical transverse cross-sections. Mech. Mach. Theory 2023, 181, 105183. [Google Scholar] [CrossRef]
- Xu, N.; Dai, M.; Zhou, X. Analysis and design of symmetric notch flexure hinges. Adv. Mech. Eng. 2017, 9, 1687814017734513. [Google Scholar] [CrossRef]
- Ma, W.; Wang, R.; Zhou, X. The performance comparison of typical notched flexure hinges. Proc. Inst. Mech. Eng. Part C J. Mech. Eng. 2020, 234, 1859–1867. [Google Scholar] [CrossRef]
- Liu, M.; Zhang, X.; Fatikow, S. Design and analysis of a multi-notched flexure hinge for compliant mechanisms. Precis. Eng. 2017, 48, 292–304. [Google Scholar] [CrossRef]
- Cesare, S.; Musso, F.; D’Angelo, F. Nanobalance: The European balance for micro-propulsion. In Proceedings of the 31st International Electric Propulsion Conference, Ann Arbor, MI, USA, 20–24 September 2009; p. 2009-0182. [Google Scholar]
- Xu, H.; Gao, Y.; Mao, Q.B. A compound pendulum for thrust measurement of micro-Newton thruster. Rev. Sci. Instrum. 2022, 93, 064501. [Google Scholar] [CrossRef]
- Rocca, S.; Menon, C.; Nicolini, D. FEEP micro-thrust balance characterization and testing. Meas. Sci. Technol. 2006, 17, 711. [Google Scholar] [CrossRef]
- Luna, J.P.; Edwards, C.H.; Del Amo, J.G. Development status of the ESA micro-Newton thrust balance. In Proceedings of the 32nd International Electric Propulsion Conference, Wiesbaden, Germany, 11–15 September 2011. [Google Scholar]
- Paros, J.M. How to design flexure hinges. Mach. Des. 1965, 37, 151–156. [Google Scholar]
- Liu, M.; Zhang, X.; Fatikow, S. Design and analysis of a high-accuracy flexure hinge. Rev. Sci. Instrum. 2016, 87, 055106. [Google Scholar] [CrossRef]
- Linß, S.; Gräser, P.; Räder, T. Influence of geometric scaling on the elasto-kinematic properties of flexure hinges and compliant mechanisms. Mech. Mach. Theory 2018, 125, 220–239. [Google Scholar] [CrossRef]
- Zhu, Z.W.; Zhou, X.Q.; Wang, R.Q. A simple compliance modeling method for flexure hinges. Sci. China Technol. Sci. 2015, 58, 56–63. [Google Scholar] [CrossRef]
- Li, T.M.; Zhang, J.L.; Jiang, Y. Derivation of empirical compliance equations for circular flexure hinge considering the effect of stress concentration. Int. J. Precis. 2015, 16, 1735–1743. [Google Scholar] [CrossRef]
- Chen, G.; Liu, X.; Du, Y. Elliptical-arc-fillet flexure hinges: Toward a generalized model for commonly used flexure hinges. J. Mech. Des. 2011, 133, 081002. [Google Scholar] [CrossRef]
















| Parameter | Symbol | Unit |
|---|---|---|
| Applied thrust | F | N |
| Distance from thrust point to torsion center | m | |
| Distance from pendulum arm centroid to torsion center | m | |
| Distance from counterweight to torsion center | m | |
| Distance from measurement point to torsion center | m | |
| Thruster mass | kg | |
| Pendulum arm mass | kg | |
| Counterweight mass | kg | |
| The gravitational acceleration | g | ms−2 |
| Gravity of the whole pendulum | G | N |
| Tangential component of the gravity of the whole pendulum | N | |
| Deflection angle of the pendulum | rad | |
| Horizontal displacement at measuring point | m |
| Parameter | Symbol | Value |
|---|---|---|
| Length | L | 12 mm |
| Width | W | 20 mm |
| Height | H | 3 mm |
| Minimum thickness | t | 0.1 mm |
| Elliptic long axis | a | 6 mm |
| Elliptic short axis | b | 1.45 mm |
| Young’s modulus | E | 110 Gpa |
| Poisson’s ratio | v | 0.3 |
| Density | ρ | 8750 kg/m3 |
| t | b | a | H | L | W | |
|---|---|---|---|---|---|---|
| [mm] | ||||||
| Case I | 0.1 | 1.45 | 1.45~6 | 3 | 20 | |
| Case II | 0.1 | 1.45 | 6 | 3 | 12 | 10~20 |
| [mm] | [kg] | [m] | [kg] | [m] | [kg] | [m] | |
|---|---|---|---|---|---|---|---|
| A1 | 0.1 | 3 | 0.5 | 0.4529 | 0.1377 | 7 | 0.2246 |
| A2 | 0.1 | 3 | 0.5 | 0.4500 | 0.1400 | 7 | 0.2200 |
| B1 | 0.1 | 2 | 0.5 | 0.4528 | 0.1378 | 4 | 0.2245 |
| B2 | 0.1 | 2 | 0.5 | 0.4519 | 0.1385 | 4 | 0.2230 |
| C1 | 0.3 | 3 | 0.5 | 0.4656 | 0.1275 | 7 | 0.2450 |
| C2 | 0.3 | 3 | 0.5 | 0.4438 | 0.1450 | 7 | 0.2100 |
| [N m rad−1] | [N] | |||||
|---|---|---|---|---|---|---|
| A1 | −4.8976 × 10−5 | 0.0996 | −0.0964 | 1.2511 × 10−6 | 1.9590 × 10−8 | 1.57% |
| A2 | −4.8976 × 10−5 | 0.0996 | 0.2254 | 1.2998 × 10−4 | 1.9590 × 10−8 | 0.015% |
| B1 | −2.9388 × 10−5 | 0.0996 | −0.0894 | 4.0579 × 10−6 | 1.1755 × 10−8 | 0.29% |
| B2 | −2.9388 × 10−5 | 0.0996 | 0.0155 | 4.6040 × 10−5 | 1.1755 × 10−8 | 0.026% |
| C1 | −2.9064 × 10−4 | 1.5292 | −1.5252 | 1.4831 × 10−6 | 1.1626 × 10−7 | 7.84% |
| C2 | −2.9064 × 10−4 | 1.5292 | 0.9246 | 9.8139 × 10−4 | 1.1626 × 10−7 | 0.022% |
| t | u | ||||
|---|---|---|---|---|---|
| [mm] | [um] | [N] | |||
| Case 1 | 0.1 | 1 | 1.2974 × 10−6 | 2.7602 × 10−9 | 0.21% |
| Case 2 | 0.1 | 20 | 2.5948 × 10−5 | 5.5203 × 10−8 | 0.21% |
| Case 3 | 0.1 | 100 | 1.2974 × 10−4 | 2.7602 × 10−7 | 0.21% |
| Case 4 | 0.2 | 100 | 3.1343 × 10−4 | 4.0241 × 10−7 | 0.13% |
| Case 5 | 0.3 | 100 | 7.0094 × 10−4 | 8.9445 × 10−7 | 0.13% |
| Case 6 | 0.4 | 100 | 0.0013 | 1.8243 × 10−6 | 0.14% |
Disclaimer/Publisher’s Note: The statements, opinions and data contained in all publications are solely those of the individual author(s) and contributor(s) and not of MDPI and/or the editor(s). MDPI and/or the editor(s) disclaim responsibility for any injury to people or property resulting from any ideas, methods, instructions or products referred to in the content. |
© 2024 by the authors. Licensee MDPI, Basel, Switzerland. This article is an open access article distributed under the terms and conditions of the Creative Commons Attribution (CC BY) license (https://creativecommons.org/licenses/by/4.0/).
Share and Cite
Chen, X.; Zhao, L.; Xu, J.; Liu, Z. An Improved Analytical Model of a Thrust Stand with a Flexure Hinge Structure Considering Stiffness Drift and Rotation Center Offset. Actuators 2024, 13, 21. https://doi.org/10.3390/act13010021
Chen X, Zhao L, Xu J, Liu Z. An Improved Analytical Model of a Thrust Stand with a Flexure Hinge Structure Considering Stiffness Drift and Rotation Center Offset. Actuators. 2024; 13(1):21. https://doi.org/10.3390/act13010021
Chicago/Turabian StyleChen, Xingyu, Liye Zhao, Jiawen Xu, and Zhikang Liu. 2024. "An Improved Analytical Model of a Thrust Stand with a Flexure Hinge Structure Considering Stiffness Drift and Rotation Center Offset" Actuators 13, no. 1: 21. https://doi.org/10.3390/act13010021
APA StyleChen, X., Zhao, L., Xu, J., & Liu, Z. (2024). An Improved Analytical Model of a Thrust Stand with a Flexure Hinge Structure Considering Stiffness Drift and Rotation Center Offset. Actuators, 13(1), 21. https://doi.org/10.3390/act13010021
