Periodic Disturbance Compensation Control of a Rope-Driven Lower Limb Rehabilitation Robot
Abstract
1. Introduction
2. Structural Design of the Lower Limb Rehabilitation Robot Driven by Rope
3. External Periodic Disturbance Control Design
3.1. Tracking Control Problem Description
3.2. Trajectory Planning and Dynamics Model of the Lower Limb Rehabilitation Robot
3.3. Design of Repetitive Learning Control
- The identity element can be expressed as a linear combination containing the finite term
- The span of is dense over , that is, for any and , there are positive integers N and such that:
- Formula (12) was used to learn the accurate value of the impedance dynamic parameters of the lower extremity, and was estimated according to Theorem 1.
- Based on the periodic external disturbance characteristics of rehabilitation training and the Stone–Weirstrass theorem, formulas (13) and (18) are established to solve the external periodic disturbance and the external disturbance feedforward compensation is carried out.
- Use to achieve the expected position error feedback and to achieve the reference speed error feedback.
4. System Stability Proof
- (1)
- is positive definite;
- (2)
- The derivative of with respect to time is negative definite; then, the system is asymptotically stable everywhere at the origin.
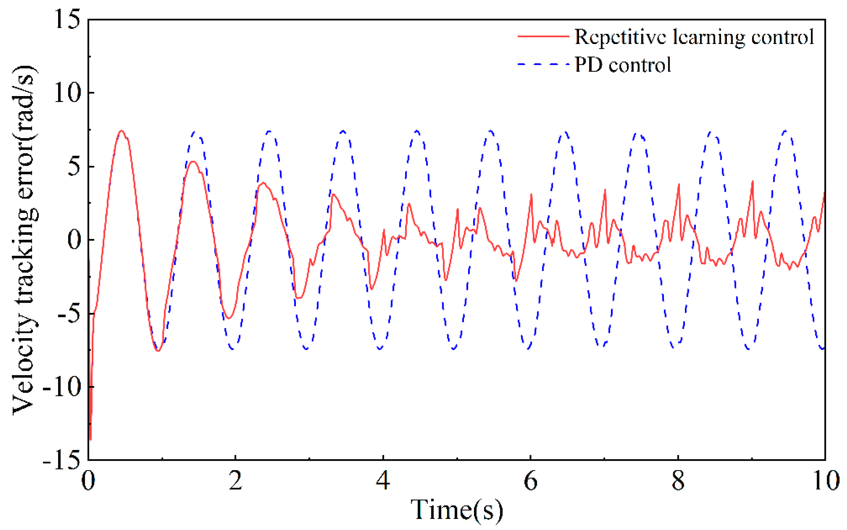
5. Simulation Verification and Analysis
6. Conclusions
Author Contributions
Funding
Data Availability Statement
Conflicts of Interest
References
- Feng, Z.; Huang, Q.; Wei, F.; Chen, Z.; Wang, Q.; Chen, T.; Cao, S.Q. A study on the current situation and fairness of human resources allocation in rehabilitation institutions for people with disabilities in China. Chin. J. Soc. Med. 2022, 39, 222–225. [Google Scholar]
- Li, G. Research on the Design and Collaborative Control Technology of Upper Limb Wearing Robot System for Human-Machine Hybrid Intelligence. Ph.D Thesis, University of Science and Technology of China, Hefei, China, 2022. [Google Scholar]
- Patton, J.; Brown, D.A.; Peshkin, M.; Santos-Munné, J.J.; Makhlin, A.; Lewis, E.; Colgate, E.J.; Schwandt, D. KineAssist: Design and Development of a Robotic Overground Gait and Balance Therapy Device. Top. Stroke Rehabil. 2008, 15, 131–139. [Google Scholar] [CrossRef] [PubMed]
- Surdilovic, D.; Bernhardt, R.; Schmidt, T.; Zhang, J. 26 STRING-MAN: A Novel Wire Robot for Gait Rehabilitation. In Advances in Rehabilitation Robotics; Lecture Notes in Control and Information Science; Springer: Berlin/Heidelberg, Germany, 2006; pp. 413–424. [Google Scholar] [CrossRef]
- Zhang, J.; Wang, D. The impact of virtual environment rehabilitation training combined with exercise psycholog-ical sleep nursing intervention on lower limb function, sleep quality, and rehabilitation motivation in patients with lower limb dysfunction after stroke. Clin. Med. Res. Pract. 2023, 8, 156–158. [Google Scholar] [CrossRef]
- Barbosa, A.M.; Carvalho, J.C.M.; Gonçalves, R.S. Cable-driven lower limb rehabilitation robot. J. Braz. Soc. Mech. Sci. Eng. 2018, 40, 245. [Google Scholar] [CrossRef]
- Čelikovský, S.; Lynnyk, V. Lateral Dynamics of Walking-Like Mechanical Systems and Their Chaotic Behavior. Int. J. Bifurc. Chaos 2019, 29, 1930024. [Google Scholar] [CrossRef]
- Yu, S.; Yuan, P.; Xu, Y. The improvement effect of resistance training on lower limb muscle atrophy during head down bed rest: A systematic review and meta-analysis. Aerosp. Med. Med. Eng. 2021, 34, 272–282. [Google Scholar] [CrossRef]
- Xiao, D. Self balancing System of Rope Driven Parallel Robot Moving Platform. Master’s Thesis, Wuhan University of Engineering, Wuhan, China, 2022. [Google Scholar] [CrossRef]
- Li, P.; Wang, D. Development of Siemens PLC Ethernet Client Based on Snap7. Jiangsu Vocat. Educ. 2019, 19, 56–59. [Google Scholar]
- Lin, R. Research and Design of Industrial Field Monitoring Platform Based on Internet of Things Technology. Ph.D Thesis, Changjiang University, Jingzhou, China, 2021. [Google Scholar]
- Ling, W.; Yu, G.; Li, Z. Lower Limb Exercise Rehabilitation Assessment Based on Artificial Intelligence and Medical Big Data. IEEE Access 2019, 7, 126787–126798. [Google Scholar] [CrossRef]
- Guo, S. The role of passive stretching resistance training in health rehabilitation. J. Sport Prod. Technol. 2022, 500, 131–133. [Google Scholar]
- Sup, F.; Bohara, A.; Goldfarb, M. Design and Control of a Powered Transfemoral Prosthesis. Int. J. Robot. Res. 2008, 27, 263–273. [Google Scholar] [CrossRef] [PubMed]
- Au, S.K.; Weber, J.; Herr, H. Powered Ankle—Foot Prosthesis Improves Walking Metabolic Economy. IEEE Trans. Robot. 2009, 25, 51–66. [Google Scholar] [CrossRef]
- Fu, X.; Chen, L. Output feedback finite dimensional repetitive learning control and vibration suppression of fully flexi-ble space robots based on virtual forces. J. Space Sci. 2021, 41, 819–827. [Google Scholar]
- Wang, Y. Research on Iterative Learning Control Method for Non Strict Repetitive Systems. Ph.D Thesis, Shandong University, Jinan, China, 2021. [Google Scholar] [CrossRef]
- Cardona, M.; Cena, C.E.G.; Serrano, F.; Saltaren, R. ALICE: Conceptual Development of a Lower Limb Exoskeleton Robot Driven by an On-Board Musculoskeletal Simulator. Sensors 2020, 20, 789. [Google Scholar] [CrossRef] [PubMed]
- Sharma, N.; Stegath, K.; Gregory, C.M.; Dixon, W.E. Nonlinear Neuromuscular Electrical Stimulation Tracking Control of a Human Limb. IEEE Trans. Neural Syst. Rehabil. Eng. 2009, 17, 576–584. [Google Scholar] [CrossRef] [PubMed]
- Patre, P.M.; MacKunis, W.; Makkar, C.; Dixon, W.E. Asymptotic tracking for systems with structured and unstructured uncertainties. IEEE Trans. Control Syst. Tech. 2008, 16, 373–379. [Google Scholar] [CrossRef]
- Islam, S.; Liu, X.P. Robust Sliding Mode Control for Robot Manipulators. IEEE Trans. Ind. Electron. 2011, 58, 2444–2453. [Google Scholar] [CrossRef]
- Lu, R.; Li, Z.; Su, C.-Y.; Xue, A. Development and Learning Control of a Human Limb with a Rehabilitation Exoskeleton. IEEE Trans. Ind. Electron. 2014, 61, 3776–3785. [Google Scholar] [CrossRef]
- Li, Z.; Deng, C.; Zhao, K. Human-Cooperative Control of a Wearable Walking Exoskeleton for Enhancing Climbing Stair Activities. IEEE Trans. Ind. Electron. 2019, 67, 3086–3095. [Google Scholar] [CrossRef]
- Li, Q. Research on Key Technologies of Motion Control for Wearable Lower Extremity Walking Robot. Ph.D Thesis, University of Science and Technology of China, Hefei, China, 2022. [Google Scholar]
- Shui, Y.; Zhao, T.; Dian, S.; Hu, Y.; Guo, R.; Li, S. Data-driven generalized predictive control for car-like mobile robots using interval type-2 T-S fuzzy neural network. Asian J. Control Portico 2021, 24, 1391–1405. [Google Scholar] [CrossRef]
- Chen, S. Research on Control Strategy of Knee Joint Rehabilitation Robot. Ph.D. Thesis, Harbin Institute of Technology, Harbin, China, 2021. [Google Scholar] [CrossRef]












| No. | Item Parameter | Numerical Value |
|---|---|---|
| 1 | Frame size | 1600 mm × 1000 mm × 2350 mm |
| 2 | Activity space: | 1200 mm × 800 mm × 1900 mm |
| 3 | Maximum pulling force of the drive unit | 400 N |
| 4 | Suspension measures maximum load bearing | 480 kg |
| 5 | Applicable height range | 1.6~1.9 m |
| 6 | Applicable weight range | 35~80 kg |
| 7 | Material: alloy aluminum profile | 5050 L-8 |
| 8 | Total mass | 53.7 kg |
| Parameter | Numerical Value |
|---|---|
| 1 | |
| 10 | |
| 20 | |
| 20 | |
| 5 |
Disclaimer/Publisher’s Note: The statements, opinions and data contained in all publications are solely those of the individual author(s) and contributor(s) and not of MDPI and/or the editor(s). MDPI and/or the editor(s) disclaim responsibility for any injury to people or property resulting from any ideas, methods, instructions or products referred to in the content. |
© 2023 by the authors. Licensee MDPI, Basel, Switzerland. This article is an open access article distributed under the terms and conditions of the Creative Commons Attribution (CC BY) license (https://creativecommons.org/licenses/by/4.0/).
Share and Cite
Wang, Z.; Li, M.; Zhang, X. Periodic Disturbance Compensation Control of a Rope-Driven Lower Limb Rehabilitation Robot. Actuators 2023, 12, 284. https://doi.org/10.3390/act12070284
Wang Z, Li M, Zhang X. Periodic Disturbance Compensation Control of a Rope-Driven Lower Limb Rehabilitation Robot. Actuators. 2023; 12(7):284. https://doi.org/10.3390/act12070284
Chicago/Turabian StyleWang, Zhijun, Mengxiang Li, and Xiaotao Zhang. 2023. "Periodic Disturbance Compensation Control of a Rope-Driven Lower Limb Rehabilitation Robot" Actuators 12, no. 7: 284. https://doi.org/10.3390/act12070284
APA StyleWang, Z., Li, M., & Zhang, X. (2023). Periodic Disturbance Compensation Control of a Rope-Driven Lower Limb Rehabilitation Robot. Actuators, 12(7), 284. https://doi.org/10.3390/act12070284

