A Novel Rotation-Structure Based Stick-Slip Piezoelectric Actuator with High Consistency in Forward and Reverse Motions
Abstract
:1. Introduction
2. Structure and Motion Processes of the Designed Actuator
2.1. Structure of the Designed Actuator
2.2. Motion Principle
3. Theoretical Calculation
4. Experiments and Analysis
4.1. Experimental System
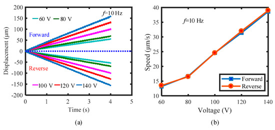
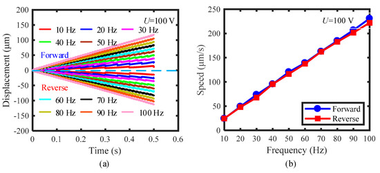
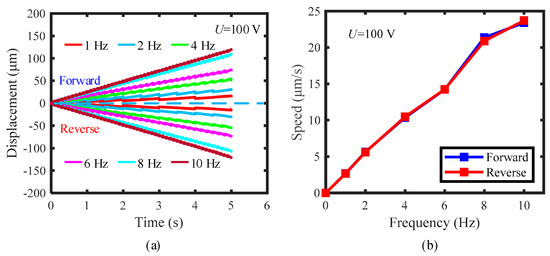
4.2. Output Performances under Various Driving Voltages and Frequencies
4.3. The Actuator with One Driving Foot
4.3.1. Output Performances under Different Voltages and Frequencies
4.3.2. Comparison
5. Conclusions
Author Contributions
Funding
Institutional Review Board Statement
Informed Consent Statement
Data Availability Statement
Conflicts of Interest
References
- Sun, L.; Wang, J.; Rong, W.; Li, X.; Bao, H. A silicon integrated micro nano-positioning XY-stage for nano-manipulation. J. Micromech. Microeng. 2008, 18, 125004. [Google Scholar] [CrossRef]
- Xu, D.; Liu, Y.; Shi, S.; Liu, J.; Chen, W.; Wang, L. Development of a Nonresonant Piezoelectric Motor With Nanometer Resolution Driving Ability. IEEE/ASME Trans. Mechatron. 2018, 23, 444–451. [Google Scholar] [CrossRef]
- Zhang, L.; Xiong, Z.; Lai, J.; Liu, J. Optical flow-aided navigation for UAV: A novel information fusion of integrated MEMS navigation system. Optik 2016, 127, 447–451. [Google Scholar] [CrossRef]
- Verma, S.; Kim, W.; Shakir, H. Multi-Axis Maglev Nanopositioner for Precision Manufacturing and Manipulation Applications. IEEE Trans. Ind. Appl. 2005, 41, 1159–1167. [Google Scholar] [CrossRef]
- Huang, H.; Zhao, H.; Shi, C.; Wu, B.; Fan, Z.; Wan, S.; Geng, C. Effect of residual chips on the material removal process of the bulk metallic glass studied by in situ scratch testing inside the scanning electron microscope. AIP Adv. 2012, 2, 042193. [Google Scholar] [CrossRef]
- Li, J.; Zhao, H.; Qu, H.; Cui, T.; Fu, L.; Huang, H.; Ren, L.; Fan, Z. A piezoelectric-driven rotary actuator by means of inchworm motion. Sens. Actuators A Phys. 2013, 194, 269–276. [Google Scholar] [CrossRef]
- Song, S.; Shao, S.; Xu, M.; Shao, Y.; Tian, Z.; Feng, B. Piezoelectric inchworm rotary actuator with high driving torque and self-locking ability. Sens. Actuators A Phys. 2018, 282, 174–182. [Google Scholar] [CrossRef]
- Huang, H.; Li, J.; Zhao, H.; Shi, C. On the correlation between the structure and one stepping characteristic of a piezo-driven rotary actuator. Microsyst. Technol. 2015, 22, 2821–2827. [Google Scholar] [CrossRef]
- Zhang, S.; Liu, J.; Deng, J.; Liu, Y. Development of a Novel Two-DOF Pointing Mechanism Using a Bending–Bending Hybrid Piezoelectric Actuator. IEEE Trans. Ind. Electron. 2019, 66, 7861–7872. [Google Scholar] [CrossRef]
- Mazeika, D.; Vasiljev, P.; Borodinas, S.; Bareikis, R.; Yang, Y. Small size piezoelectric impact drive actuator with rectangular bimorphs. Sens. Actuators A Phys. 2018, 280, 76–84. [Google Scholar] [CrossRef]
- Shao, Y.; Shao, S.; Xu, M.; Song, S.; Tian, Z. An inertial piezoelectric actuator with miniaturized structure and improved load capacity. Smart Mater. Struct. 2019, 28, 055023. [Google Scholar] [CrossRef]
- Liu, Y.; Yan, J.; Wang, L.; Chen, W. A Two-DOF Ultrasonic Motor Using a Longitudinal–Bending Hybrid Sandwich Transducer. IEEE Trans. Ind. Electron. 2019, 66, 3041–3050. [Google Scholar] [CrossRef]
- Watson, B.; Friend, J.; Yeo, L. Piezoelectric ultrasonic micro/milli-scale actuators. Sens. Actuators A Phys. 2009, 152, 219–233. [Google Scholar] [CrossRef]
- Chu, X.; Gao, S.; Zhong, Z.; Zhao, Y.; Li, L. Design and experiments of a miniature piezoelectric actuator using a multilayer PZT bimorph. Ferroelectrics 2017, 514, 114–122. [Google Scholar] [CrossRef]
- Cheng, T.; Li, H.; He, M.; Zhao, H.; Lu, X.; Gao, H. Investigation on driving characteristics of a piezoelectric stick–slip actuator based on resonant/off-resonant hybrid excitation. Smart Mater. Struct. 2017, 26, 035042. [Google Scholar] [CrossRef]
- Gao, Q.; He, M.; Lu, X.; Zhang, C.; Cheng, T. Simple and high-performance stick-slip piezoelectric actuator based on an asymmetrical flexure hinge driving mechanism. J. Intell. Mater. Syst. Struct. 2019, 30, 2125–2134. [Google Scholar] [CrossRef]
- Zhang, Y.; Peng, Y.; Sun, Z.; Yu, H. A Novel Stick–Slip Piezoelectric Actuator Based on a Triangular Compliant Driving Mechanism. IEEE Trans. Ind. Electron. 2019, 66, 5374–5382. [Google Scholar] [CrossRef]
- Guo, Z.; Tian, Y.; Zhang, D.; Wang, T.; Wu, M. A novel stick-slip based linear actuator using bi-directional motion of micropositioner. Mech. Syst. Signal Process. 2019, 128, 37–49. [Google Scholar] [CrossRef] [Green Version]
- Zhou, M.; Fan, Z.; Ma, Z.; Zhao, H.; Guo, Y.; Hong, K.; Li, Y.; Liu, H.; Wu, D. Design and Experimental Research of a Novel Stick-Slip Type Piezoelectric Actuator. Micromachines 2017, 8, 150. [Google Scholar] [CrossRef] [Green Version]
- Oubellil, R.; Voda, A.; Boudaoud, M.; Régnier, S. A 2-DOF H∞ control strategy for a 3 axes robotic system operating at the nanometer scale. In Proceedings of the 2016 20th International Conference on System Theory, Control and Computing (ICSTCC), Sinaia, Romania, 13–15 October 2016. [Google Scholar]
- Cheng, L.; Liu, W.; Yang, C.; Huang, T.; Hou, Z.-G.; Tan, M. A Neural-Network-Based Controller for Piezoelectric-Actuated Stick–Slip Devices. IEEE Trans. Ind. Electron. 2018, 65, 2598–2607. [Google Scholar] [CrossRef] [Green Version]
- Wang, S.; Rong, W.; Wang, L.; Pei, Z.; Sun, L. Design, analysis and experimental performance of a piezoelectric rotary actuator based on compliant foot driving. Microsyst. Technol. 2017, 23, 3765–3773. [Google Scholar] [CrossRef]
- Xu, Z.; Huang, H.; Dong, J. A stick-slip piezoelectric actuator with measurable contact force. Mech. Syst. Signal Process. 2020, 144, 106881. [Google Scholar] [CrossRef]
- Wang, K.; Li, X.; Sun, W.; Yang, Z.; Liang, T.; Huang, H. A novel piezoelectric linear actuator designed by imitating skateboarding movement. Smart Mater. Struct. 2020, 29, 115038. [Google Scholar] [CrossRef]
- Qin, F.; Huang, H.; Wang, J.; Tian, L.; Liang, T.; Zhao, H. Design and stepping characteristics of novel stick–slip piezo-driven linear actuator. Smart Mater. Struct. 2019, 28, 075026. [Google Scholar] [CrossRef]
- Li, Y.; Li, H.; Cheng, T.; Lu, X.; Zhao, H.; Chen, P. Note: Lever-type bidirectional stick-slip piezoelectric actuator with flexible hinge. Rev. Sci. Instrum. 2018, 89, 086101. [Google Scholar] [CrossRef] [PubMed]
- Wang, J.; Qin, F.; Zhang, Y.; Liang, T.; Wang, Z.; Xu, B.; Sun, Y.; Liu, X.; Zhao, H. Design, analysis and experiments of a linear piezoelectric actuator adopting a flexible mechanism with wing skeletal structure. Smart Mater. Struct. 2019, 28, 085034. [Google Scholar] [CrossRef]
- Wang, S.; Rong, W.; Wang, L.; Sun, L. Design, analysis and experimental performance of a stepping type piezoelectric linear actuator based on compliant foot driving. Smart Mater. Struct. 2016, 25, 115003. [Google Scholar] [CrossRef]
- Wang, J.; Qin, F.; Li, L.; Liu, Z.; Zhao, H. A linear piezoelectric actuator with high flexibility flexible mechanism designed by the bidirectional parasitic motion principle. Rev. Sci. Instrum. 2020, 91, 045005. [Google Scholar] [CrossRef]












| Parameter | Value | Unit |
|---|---|---|
| L1 | 20.42 | mm |
| L2 | 18.42 | mm |
| Voltage (V) | Forward Displacement (μm) | Reverse Displacement (μm) | Deviation (μm) | Deviation Rate (%) |
|---|---|---|---|---|
| 60 | 54.11 | 53.52 | 0.59 | 1.1 |
| 80 | 66.88 | 66.74 | 0.14 | 0.21 |
| 100 | 98.35 | 97.97 | 0.38 | 0.39 |
| 120 | 129.28 | 126.93 | 2.35 | 1.8 |
| 140 | 153.99 | 152.95 | 1.04 | 0.68 |
| Actuator with Two Driving Feet | Actuator with One Driving Foot | |||||||
|---|---|---|---|---|---|---|---|---|
| Voltage or Frequency | One-Stepping Maximum Displacement | Backward Displacement | One-Stepping Maximum Displacement | Backward Displacement | ||||
| Forward | Reverse | Forward | Reverse | Forward | Reverse | Forward | Reverse | |
| 60 V | 3.82 | 2.09 | 5.22 | 2.85 | 3.31 | 1.96 | 3.26 | 1.91 |
| 100 V | 5.66 | 2.23 | 7.65 | 4.21 | 4.72 | 2.28 | 4.68 | 2.24 |
| 140 V | 7.43 | 2.09 | 10.49 | 5.22 | 6.62 | 3.05 | 6.50 | 2.96 |
| 1 Hz | 5.90 | 1.96 | 10.66 | 6.82 | 5.02 | 2.05 | 5.17 | 2.16 |
| 4 Hz | 5.53 | 2.36 | 11.07 | 7.48 | 4.96 | 2.36 | 5.01 | 2.42 |
| 8 Hz | 5.62 | 2.37 | 11.52 | 8.54 | 5.16 | 2.65 | 5.15 | 2.73 |
| Frequency (Hz) | Forward Displacement (μm) | Reverse Displacement (μm) | Deviation (μm) | Deviation Rate (%) |
|---|---|---|---|---|
| 1 | 13.23 | 12.98 | 0.25 | 1.9 |
| 2 | 28.06 | 27.56 | 0.5 | 1.8 |
| 4 | 52.25 | 51.86 | 0.39 | 0.75 |
| 6 | 71.15 | 70.94 | 0.21 | 0.3 |
| 8 | 106.9 | 104.5 | 2.4 | 2.3 |
| 10 | 118.7 | 116.8 | 1.9 | 1.6 |
| Frequency (Hz) | Forward Displacement (μm) | Reverse Displacement (μm) | Deviation (μm) | Deviation Rate (%) |
|---|---|---|---|---|
| 20 | 24.04 | 23.61 | 0.43 | 1.8 |
| 30 | 36.62 | 35.53 | 1.09 | 3.0 |
| 40 | 47.55 | 47.01 | 0.54 | 1.1 |
| 50 | 59.99 | 58.16 | 1.83 | 3.1 |
| 60 | 69.43 | 68.55 | 0.88 | 1.3 |
| 70 | 91.18 | 90.92 | 0.26 | 0.29 |
| 80 | 92.04 | 91.42 | 0.62 | 0.67 |
| 90 | 103.2 | 101.1 | 2.1 | 2.1 |
| 100 | 115.9 | 111.1 | 4.8 | 4.2 |
| Reference | Driving Voltage (V) and Frequency (Hz) | Travel Distance (μm) | Deviation (μm) | Deviation Rate (%) |
|---|---|---|---|---|
| [27] | 100 V, 1 Hz | 25 | 4.5 | 18 |
| [28] | 120 V, 1 Hz | 40 | 6.82 | 17 |
| [29] | 150 V, 1 Hz | 108.5 | 1.5 | 1.4 |
| This paper (Actuator with two driving feet) | 100 V, 10 Hz | 33.4 | 0.69 | 2.1 |
| This paper (Actuator with one driving foot) | 100 V, 10 Hz | 118.7 | 1.9 | 1.6 |
| 100 V, 100 Hz | 115.9 | 4.8 | 4.2 |
Publisher’s Note: MDPI stays neutral with regard to jurisdictional claims in published maps and institutional affiliations. |
© 2021 by the authors. Licensee MDPI, Basel, Switzerland. This article is an open access article distributed under the terms and conditions of the Creative Commons Attribution (CC BY) license (https://creativecommons.org/licenses/by/4.0/).
Share and Cite
Tang, J.; Wei, J.; Wang, Y.; Xu, Z.; Huang, H. A Novel Rotation-Structure Based Stick-Slip Piezoelectric Actuator with High Consistency in Forward and Reverse Motions. Actuators 2021, 10, 189. https://doi.org/10.3390/act10080189
Tang J, Wei J, Wang Y, Xu Z, Huang H. A Novel Rotation-Structure Based Stick-Slip Piezoelectric Actuator with High Consistency in Forward and Reverse Motions. Actuators. 2021; 10(8):189. https://doi.org/10.3390/act10080189
Chicago/Turabian StyleTang, Jizhou, Jingsong Wei, Yuming Wang, Zhi Xu, and Hu Huang. 2021. "A Novel Rotation-Structure Based Stick-Slip Piezoelectric Actuator with High Consistency in Forward and Reverse Motions" Actuators 10, no. 8: 189. https://doi.org/10.3390/act10080189
APA StyleTang, J., Wei, J., Wang, Y., Xu, Z., & Huang, H. (2021). A Novel Rotation-Structure Based Stick-Slip Piezoelectric Actuator with High Consistency in Forward and Reverse Motions. Actuators, 10(8), 189. https://doi.org/10.3390/act10080189

