The Global Prevalence of Strongyloides stercoralis Infection
Abstract
1. Introduction
2. Results
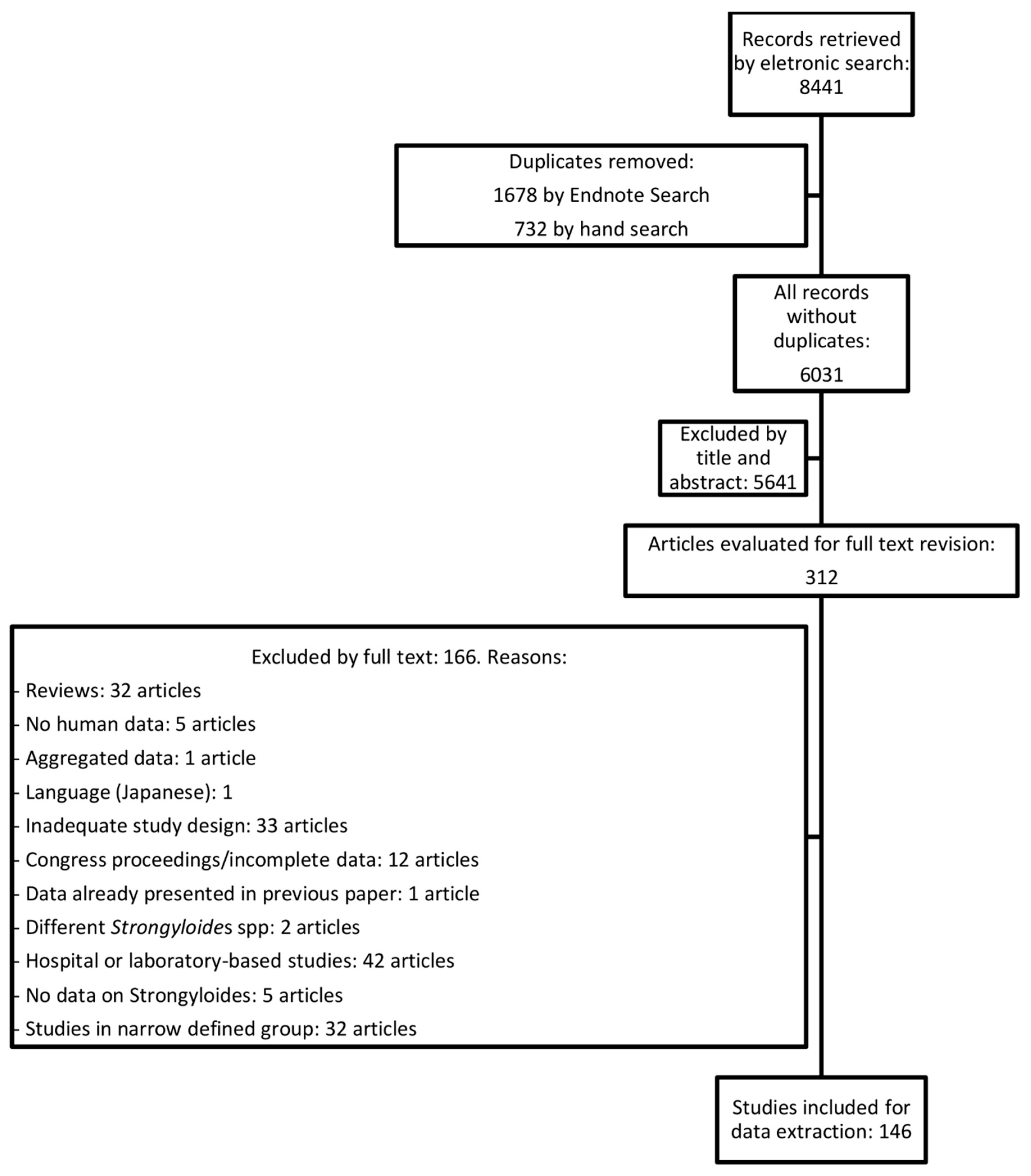
2.1. Review of the Literature
2.2. Global and Regional (WHO) Prevalence According to the Model
3. Discussion
4. Materials and Methods
4.1. Estimation of Country Prevalence
4.2. Statistical Methods
5. Conclusions
Supplementary Materials
Author Contributions
Funding
Conflicts of Interest
References
- Bethony, J.; Brooker, S.; Albonico, M.; Geiger, S.M.; Loukas, A.; Diemert, D.J.; Hotez, P.J. Soil-transmitted helminth infections: Ascariasis, trichuriasis, and hookworm. Lancet 2006, 367, 1521–1532. [Google Scholar] [CrossRef]
- Bisoffi, Z.; Buonfrate, D.; Montresor, A.; Requena-Méndez, A.; Muñoz, J.; Krolewiecki, A.J.; Gotuzzo, E.; Mena, M.A.; Chiodini, P.; Anselmi, M.; et al. Strongyloides stercoralis: A plea for action. PLoS Negl. Trop. Dis. 2013, 7, e2214. [Google Scholar] [CrossRef] [PubMed]
- Buonfrate, D.; Formenti, F.; Perandin, F.; Bisoffi, Z. Novel approaches to the diagnosis of Strongyloides stercoralis infection. Clin. Microbiol. Infect. 2015, 21, 543–552. [Google Scholar] [CrossRef] [PubMed]
- Buonfrate, D.; Requena-Méndez, A.; Angheben, A.; Cinquini, M.; Cruciani, M.; Fittipaldo, A.V.; Giorli, G.; Gobbi, F.; Piubelli, C.; Bisoffi, Z. Accuracy of molecular biology techniques for the diagnosis of Strongyloides stercoralis infection—A systematic review and meta-analysis. PLoS Negl. Trop. Dis. 2018, 12, e0006229. [Google Scholar] [CrossRef] [PubMed]
- Fleitas, P.; Travacio, M.; Martí-Soler, H.; Socías, M.E.; Lopez, W.R.; Krolewiecki, A.J. The Strongyloides stercoralis-hookworms association as a path to the estimation of the global burden of strongyloidiasis: A systematic review. PLoS Negl. Trop. Dis. 2020, 14, e0008184. [Google Scholar] [CrossRef] [PubMed]
- Tamarozzi, F.; Martello, E.; Giorli, G.; Fittipaldo, A.V.; Staffolani, S.; Montresor, A.; Bisoffi, Z.; Buonfrate, D. Morbidity associated with Strongyloides stercoralis infection: A systematic review and meta-analysis. Am. J. Trop. Med. Hyg. 2019, 100, 1305–1311. [Google Scholar] [CrossRef] [PubMed]
- Nutman, T.B. Human infection with Strongyloides stercoralis and other related Strongyloides species. Parasitology 2017, 144, 263–273. [Google Scholar] [CrossRef]
- World Health Organization. WHO Model List of Essential Medicines. 2019. Available online: https://apps.who.int/iris/bitstream/handle/10665/325771/WHO-MVP-EMP-IAU-2019.06-eng.pdf?ua=1 (accessed on 12 June 2020).
- Schär, F.; Trostdorf, U.; Giardina, F.; Khieu, V.; Muth, S.; Marti, H.; Vounatsou, P.; Odermatt, P. Strongyloides stercoralis: Global Distribution and Risk Factors. PLoS Negl. Trop. Dis. 2013, 7, e2288. [Google Scholar] [CrossRef]
- World Health Organization. Soil-Transmitted Helminth Infections. Available online: https://www.who.int/news-room/fact-sheets/detail/soil-transmitted-helminth-infections (accessed on 27 May 2020).
- Genta, R.M. Global prevalence of strongyloidiasis: Critical review with epidemiologic insights into the prevention of disseminated disease. Rev. Infect. Dis. 1989, 11, 755–767. [Google Scholar] [CrossRef]
- Asundi, A.; Beliavsky, A.; Liu, X.J.; Akaberi, A.; Schwarzer, G.; Bisoffi, Z.; Requena-Méndez, A.; Shrier, I.; Greenaway, C. Prevalence of strongyloidiasis and schistosomiasis among migrants: A systematic review and meta-analysis. Lancet Glob. Health 2019, 7, e236–e248. [Google Scholar] [CrossRef]
- Buonfrate, D.; Requena-Méndez, A.; Angheben, A.; Muñoz, J.; Gobbi, F.; Ende, J.V.D.; Bisoffi, Z. Severe strongyloidiasis: A systematic review of case reports. BMC Infect. Dis. 2013, 13, 78. [Google Scholar] [CrossRef] [PubMed]
- Forrer, A.; Khieu, V.; Schaer, F.; Hattendorf, J.; Marti, H.; Neumayr, A.; Char, M.C.; Hatz, C.; Muth, S.; Odermatt, P. Strongyloides stercoralis is associated with significant morbidity in rural Cambodia, including stunting in children. PLoS Negl. Trop. Dis. 2017, 11, e0005685. [Google Scholar] [CrossRef] [PubMed]
- Brasitus, T.A. Parasites ana malabsorption. Am. J. Med. 1979, 67, 1058–1065. [Google Scholar] [CrossRef]
- Khieu, V.; Schaer, F.; Marti, H.; Sayasone, S.; Duong, S.; Muth, S.; Odermatt, P. Diagnosis, treatment and risk factors of Strongyloides stercoralis in schoolchildren in Cambodia. PLoS Negl. Trop. Dis. 2013, 7, e2035. [Google Scholar] [CrossRef]
- UNICEF. UNICEF Data. Available online: https://data.unicef.org/ (accessed on 11 July 2019).
- Khieu, V.; Schaer, F.; Forrer, A.; Hattendorf, J.; Marti, H.; Duong, S.; Vounatsou, P.; Muth, S.; Odermatt, P. High prevalence and spatial distribution of Strongyloides stercoralis in rural Cambodia. PLoS Negl. Trop. Dis. 2014, 8, e2854. [Google Scholar] [CrossRef]
- Riley, S.J.; DeGloria, S.D.; Elliot, R. Index that quantifies topographic heterogeneity. Intermt. J. Sci. 1999, 5, 23–27. [Google Scholar]
- Nunn, N.; Puga, D. Ruggedness: The blessing of bad geography in Africa. Rev. Econ. Stat. 2012, 94, 20–36. [Google Scholar] [CrossRef]
- Schär, F.; Giardina, F.; Khieu, V.; Muth, S.; Vounatsou, P.; Marti, H.; Odermatt, P. Occurrence of and risk factors for Strongyloides stercoralis infection in South-East Asia. Acta Trop. 2016, 159, 227–238. [Google Scholar] [CrossRef]
- Consortium, S. SQLite. Available online: https://www.sqlite.org/consortium.html (accessed on 11 July 2019).
- Caraballo, L.; Coronado, S. Parasite allergens. Mol. Immunol. 2018, 100, 113–119. [Google Scholar] [CrossRef]
- R Team, R.D.C. The R Foundation. Available online: https://www.r-project.org/foundation/ (accessed on 11 July 2019).
- Bisoffi, Z.; Buonfrate, D.; Sequi, M.; Mejia, R.; Cimino, R.O.; Krolewiecki, A.J.; Albonico, M.; Gobbo, M.; Bonafini, S.; Angheben, A.; et al. Diagnostic accuracy of five serologic tests for Strongyloides stercoralis infection. PLoS Negl. Trop. Dis. 2014, 8, e2640. [Google Scholar] [CrossRef]
- Campo, L.P.; Gutiérrez, L.A.; Cardona, J.A. Diagnosis of Strongyloides stercoralis infection: Meta-analysis on evaluation of conventional parasitological methods (1980–2013). Rev. Esp. Salud Publica 2014, 88, 581–600. [Google Scholar] [CrossRef] [PubMed]
- Blaker, H. Confidence curves and improved exact confidence intervals for discrete distribution. Can. J. Stat. 2000, 29, 681. [Google Scholar] [CrossRef]
- Faraway, J. Extending the Linear Model with R: Generalized Linear, Mixed Effects and Nonparametric Regression Models; Chapman & Hall/CRC: Boca Raton, FL, USA, 2005. [Google Scholar]
- Burnham, K.; Anderson, D. Model Selection and Multi-Model Inference: A Practical Information-Theoretic Approach; Springer: Fort Collins, CO, USA, 2013. [Google Scholar]




| WHO Region | STG-PR (95% CI) | Population Infected (95% CI) [Million] |
|---|---|---|
| AFR | 10.3% (5.3–15.3) | 108.1 (55.1–160.9) |
| AMR | 6.9% (3.5–10.2) | 69.8 (35.5–103.9) |
| EMR | 5.8% (2.9–8.6) | 39.4 (20.1–58.8) |
| EUR | 2.8% (1.4–4.1) | 26.1 (13.3–38.8) |
| SEAR | 12.1% (6.1–17.9) | 237.3 (129.9–353.3) |
| WPR | 7.13% (3.6–10.6) | 133.2 (68.1–198.4) |
| World | 8.1% (4.2–12.4%) | 613.9 (313.1–910.1) |
© 2020 by the authors. Licensee MDPI, Basel, Switzerland. This article is an open access article distributed under the terms and conditions of the Creative Commons Attribution (CC BY) license (http://creativecommons.org/licenses/by/4.0/).
Share and Cite
Buonfrate, D.; Bisanzio, D.; Giorli, G.; Odermatt, P.; Fürst, T.; Greenaway, C.; French, M.; Reithinger, R.; Gobbi, F.; Montresor, A.; et al. The Global Prevalence of Strongyloides stercoralis Infection. Pathogens 2020, 9, 468. https://doi.org/10.3390/pathogens9060468
Buonfrate D, Bisanzio D, Giorli G, Odermatt P, Fürst T, Greenaway C, French M, Reithinger R, Gobbi F, Montresor A, et al. The Global Prevalence of Strongyloides stercoralis Infection. Pathogens. 2020; 9(6):468. https://doi.org/10.3390/pathogens9060468
Chicago/Turabian StyleBuonfrate, Dora, Donal Bisanzio, Giovanni Giorli, Peter Odermatt, Thomas Fürst, Christina Greenaway, Michael French, Richard Reithinger, Federico Gobbi, Antonio Montresor, and et al. 2020. "The Global Prevalence of Strongyloides stercoralis Infection" Pathogens 9, no. 6: 468. https://doi.org/10.3390/pathogens9060468
APA StyleBuonfrate, D., Bisanzio, D., Giorli, G., Odermatt, P., Fürst, T., Greenaway, C., French, M., Reithinger, R., Gobbi, F., Montresor, A., & Bisoffi, Z. (2020). The Global Prevalence of Strongyloides stercoralis Infection. Pathogens, 9(6), 468. https://doi.org/10.3390/pathogens9060468

