Large-Scale Screening of 239 Traditional Chinese Medicinal Plant Extracts for Their Antibacterial Activities against Multidrug-Resistant Staphylococcus aureus and Cytotoxic Activities
Abstract
1. Introduction
2. Results and Discussion
2.1. Screening of Antibacterial TCMP Extracts against Antibiotic-Resistant S. aureus
2.2. Selected TCMP Extracts with a Wide Range of Antibacterial Activities against Multidrug-Resistant Bacteria
2.3. Minimum Inhibitory Concentration (MIC) and Minimum Bactericide Concentration (MBC) of TCMP Extracts against Multidrug-Resistant S. aureus
2.4. Total Phenolic Content (TPC) and Total Flavonoid Content (TFC) of TCMP Extracts
2.5. Cytotoxicity and Safety of the TCMP Extracts
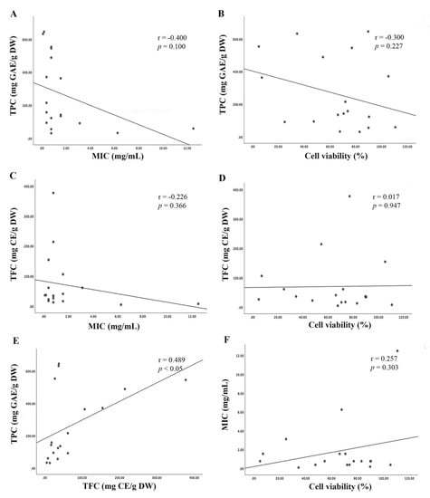
2.6. Correlations Analysis among Polyphenolic Content, Antibacterial Effect, and Cytotoxicity of TCMP Extracts Cytotoxicity and Safety of the TCMP Extracts
3. Materials and Methods
3.1. Chemicals and Reagents
3.2. Collection of Plant Samples
3.3. Preparation of Plant Extracts
3.4. Microorganisms and Culture Samples
3.5. Determination of Antibacterial Activity
3.5.1. Measurement of Diameter of Inhibition Zone (DIZ)
3.5.2. Determination of Minimum Inhibitory Concentration (MIC) and Minimum Bactericide Concentration (MBC)
3.6. Determination of the Total Phenolic and Flavonoid Content
3.7. In vitro Cytotoxicity Assay
3.8. Statistical Analysis
4. Conclusions
Supplementary Materials
Author Contributions
Funding
Conflicts of Interest
References
- Akarca, G. Composition and antibacterial effect on food borne pathogens of Hibiscus surrattensis L. calyces essential oil. Ind. Crops Prod. 2019, 137, 285–289. [Google Scholar] [CrossRef]
- Kirk, M.D.; Pires, S.M.; Black, R.E.; Caipo, M.; Crump, J.A.; Devleesschauwer, B.; Dopfer, D.; Fazil, A.; Fischer-Wallker, C.L.; Hald, T.; et al. World Health Organization estimates of the global and regional disease burden of 22 foodborne bacterial, protozoal, and viral diseases, 2010: A data synthesis. PLoS Med. 2015, 12, e1001921. [Google Scholar] [CrossRef]
- Wang, X.; Tao, X.; Xia, X.; Yang, B.; Xi, M.; Meng, J.; Zhang, J.; Xu, B. Staphylococcus aureus and methicillin-resistant Staphylococcus aureus in retail raw chicken in China. Food Control 2013, 29, 103–106. [Google Scholar] [CrossRef]
- Miao, J.; Liang, Y.; Chen, L.; Wang, W.; Wang, J.; Li, B.; Li, L.; Chen, D.; Xu, Z. Formation and development of Staphylococcus biofilm: With focus on food safety. J. Food Saf. 2017, 37, e12358. [Google Scholar] [CrossRef]
- Fratianni, F.; Nazzaro, F.; Marandino, A.; Fusco, M.D.R.; Coppola, R.; De Feo, V.; De Martino, L. Biochemical composition, antimicrobial activities, and anti–quorum-sensing activities of ethanol and ethyl acetate extracts from Hypericum connatum Lam. (Guttiferae). J. Med. Food 2013, 16, 454–459. [Google Scholar] [CrossRef] [PubMed]
- Noumi, E.; Snoussi, M.; Merghni, A.; Nazzaro, F.; Quindós, G.; Akdamar, G.; Mastouri, M.; Al-Sieni, A.; Ceylan, O. Phytochemical composition, anti-biofilm and anti-quorum sensing potential of fruit, stem and leaves of Salvadora persica L. methanolic extracts. Microb. Pathogen 2017, 109, 169–176. [Google Scholar] [CrossRef]
- Foster, T.J. Antibiotic resistance in Staphylococcus aureus. Current status and future prospects. FEMS Microbiol. Rev. 2017, 41, 430–449. [Google Scholar] [CrossRef]
- Yadav, A.K.; Sirohi, P.; Saraswat, S.; Rani, M.; Singh, M.P.; Srivastava, S.; Singh, N.K. Inhibitory mechanism on combination of phytic acid with methanolic seed extract of Syzygium cumini and sodium chloride over Bacillus subtilis. Curr. Microbiol. 2018, 75, 849–856. [Google Scholar] [CrossRef]
- Frieri, M.; Kumar, K.; Boutin, A. Antibiotic resistance. J. Infect. Public Health 2017, 10, 369–378. [Google Scholar] [CrossRef]
- Ferri, M.; Ranucci, E.; Romagnoli, P.; Giaccone, V. Antimicrobial resistance: A global emerging threat to public health systems. Crit. Rev. Food Sci. Nutr. 2017, 57, 2857–2876. [Google Scholar] [CrossRef]
- Packiavathy, I.A.S.V.; Agilandeswari, P.; Musthafa, K.S.; Pandian, S.K.; Ravi, A.V. Antibiofilm and quorum sensing inhibitory potential of Cuminum cyminum and its secondary metabolite methyl eugenol against Gram negative bacterial pathogens. Food Res. Int. 2012, 45, 85–92. [Google Scholar] [CrossRef]
- Ahmed, S.; Liu, H.; Ahmad, A.; Akram, W.; Abdelrahman, E.K.; Ran, F.; Ou, W.; Dong, S.; Cai, Q.; Zhang, Q.; et al. Characterization of anti-bacterial compounds from the seed coat of Chinese windmill palm tree (Trachycarpus fortunei). Front. Microbiol. 2017, 8, 1894. [Google Scholar] [CrossRef] [PubMed]
- Elisha, I.L.; Botha, F.S.; McGaw, L.J.; Eloff, J.N. The antibacterial activity of extracts of nine plant species with good activity against Escherichia coli against five other bacteria and cytotoxicity of extracts. BMC Complement. Altern. Med. 2017, 17, 133. [Google Scholar] [CrossRef] [PubMed]
- Lewis, K.; Ausubel, F.M. Prospects for plant-derived antibacterials. Nat. Biotechnol. 2006, 24, 1504. [Google Scholar] [CrossRef]
- Gyawali, R.; Ibrahim, S.A. Natural products as antimicrobial agents. Food Control 2014, 46, 412–429. [Google Scholar] [CrossRef]
- Silva, L.N.; Zimmer, K.R.; Macedo, A.J.; Trentin, D.S. Plant natural products targeting bacterial virulence factors. ACS Chem. Rev. 2016, 116, 9162–9236. [Google Scholar] [CrossRef]
- Carranza, M.G.; Sevigny, M.B.; Banerjee, D.; Fox-Cubley, L. Antibacterial activity of native California medicinal plant extracts isolated from Rhamnus californica and Umbellularia californica. Ann. Clin. Microbiol. Antimicrob. 2015, 14, 29. [Google Scholar] [CrossRef]
- Ma, D.S.; Tan, L.T.H.; Chan, K.G.; Yap, W.H.; Pusparajah, P.; Chuah, L.H.; Ming, L.C.; Khan, T.M.; Lee, L.H.; Goh, B.H. Resveratrol—Potential antibacterial agent against foodborne pathogens. Front. Pharmacol. 2018, 9, 102. [Google Scholar] [CrossRef]
- Xu, R.S. Some Bioactive Natural Products from Chinese Medicinal Plants: Studies in Natural Products Chemistry, 1st ed.; Atta-ur-Rahman, Ed.; Elsevier: Amsterdam, The Netherland, 2000; Volume 21, pp. 729–772. [Google Scholar] [CrossRef]
- Yang, L.; Yang, C.; Li, C.; Zhao, Q.; Liu, L.; Fang, X.; Chen, X.Y. Recent advances in biosynthesis of bioactive compounds in traditional Chinese medicinal plants. Sci. Bull. 2016, 61, 3–17. [Google Scholar] [CrossRef]
- Jaiswal, Y.; Liang, Z.; Zhao, Z. Botanical drugs in Ayurveda and traditional Chinese medicine. J. Ethnopharmacol. 2016, 194, 245–259. [Google Scholar] [CrossRef]
- Chan, C.L.; Gan, R.Y.; Shah, N.P.; Corke, H. Polyphenols from selected dietary spices and medicinal herbs differentially affect common food-borne pathogenic bacteria and lactic acid bacteria. Food Control 2018, 92, 437–443. [Google Scholar] [CrossRef]
- Dessen, A.; Di Guilmi, A.M.; Vernet, T.; Dideberg, O. Molecular mechanisms of antibiotic resistance in Gram-positive pathogens. Curr. Drug Targets Infect. Disord. 2001, 1, 63–77. [Google Scholar] [CrossRef] [PubMed]
- Hancock, R.E. Mechanisms of action of newer antibiotics for Gram-positive pathogens. Lancet Infect. Dis. 2005, 5, 209–218. [Google Scholar] [CrossRef]
- Seow, Y.X.; Yeo, C.R.; Chung, H.L.; Yuk, H.G. Plant essential oils as active antimicrobial agents. Crit. Rev. Food Sci. Nutr. 2014, 54, 625–644. [Google Scholar] [CrossRef] [PubMed]
- Oliveira, D.M.; Melo, F.G.; Balogun, S.O.; Flach, A.; de Souza, E.C.A.; de Souza, G.P.; Ascêncio, S.D. Antibacterial mode of action of the hydroethanolic extract of Leonotis nepetifolia (L.) R. Br. involves bacterial membrane perturbations. J. Ethnopharmacol. 2015, 172, 356–363. [Google Scholar] [CrossRef]
- Abreu, A.C.; McBain, A.J.; Simoes, M. Plants as sources of new antimicrobials and resistance-modifying agents. Nat. Prod. Rep. 2012, 29, 1007–1021. [Google Scholar] [CrossRef]
- Borges, A.; Ferreira, C.; Saavedra, M.J.; Simões, M. Antibacterial activity and mode of action of ferulic and gallic acids against pathogenic bacteria. Microb. Drug Resist. 2013, 19, 256–265. [Google Scholar] [CrossRef]
- Ebelle Etame, R.; Mouokeu, R.S.; Pouaha, C.; Laurel, C.; Voukeng Kenfack, I.; Tchientcheu, R.; Assam Assam, J.E.; Monthe Poundeu, F.S.; Tiabou, A.T.; Etoa, F.X.; et al. Effect of fractioning on antibacterial activity of Enantia chlorantha Oliver (Annonaceae) methanol extract and mode of action. Evid. Based Complement. Alternat. Med. 2018, 2018. [Google Scholar] [CrossRef]
- Oliphant, C.M.; Eroschenko, K. Antibiotic resistance, part 1: Gram-positive pathogens. J. Nurse Pract. 2015, 11, 70–78. [Google Scholar] [CrossRef]
- Munita, J.M.; Arias, C.A. Mechanisms of antibiotic resistance. Microbiol. Spectr. 2016, 4. [Google Scholar] [CrossRef]
- Hall, C.W.; Mah, T.F. Molecular mechanisms of biofilm-based antibiotic resistance and tolerance in pathogenic bacteria. FEMS Microbiol. Rev. 2017, 41, 276–301. [Google Scholar] [CrossRef] [PubMed]
- Negi, B.S.; Dave, B.P. In vitro antimicrobial activity of Acacia catechu and its phytochemical analysis. Indian J. Microbiol. 2010, 50, 369–374. [Google Scholar] [CrossRef] [PubMed]
- Feng, S.S.; Xu, J.G. Profile of antioxidant and antibacterial activities of different solvent extracts from Rabdosia rubescens. Int. J. Food Sci. Technol. 2014, 49, 2506–2513. [Google Scholar] [CrossRef]
- Wan, W.N.A.; Masrah, M.; Hasmah, A.; Noor, N.I. In vitro antibacterial activity of Quercus infectoria gall extracts against multidrug resistant bacteria. Trop. Biomed. 2014, 31, 680–688. [Google Scholar]
- Tian, F.; Li, B.; Ji, B.; Yang, J.; Zhang, G.; Chen, Y.; Luo, Y. Antioxidant and antimicrobial activities of consecutive extracts from Galla chinensis: The polarity affects the bioactivities. Food Chem. 2009, 113, 173. [Google Scholar] [CrossRef]
- Moirangthem, D.S.; Talukdar, N.C.; Bora, U.; Kasoju, N.; Das, R.K. Differential effects of Oroxylum indicum bark extracts: Antioxidant, antimicrobial, cytotoxic and apoptotic study. Cytotechnology 2013, 65, 83–95. [Google Scholar] [CrossRef]
- Tayel, A.A.; El-Sedfy, M.A.; Ibrahim, A.I.; Moussa, S.H. Application of Quercus infectoria extract as a natural antimicrobial agent for chicken egg decontamination. Rev. Argent. Microbiol. 2018, 50, 391–397. [Google Scholar] [CrossRef]
- Mishra, M.P.; Rath, S.; Swain, S.S.; Ghosh, G.; Das, D.; Padhy, R.N. In vitro antibacterial activity of crude extracts of 9 selected medicinal plants against UTI causing MDR bacteria. J. King Saud Uni-Sci. 2017, 29, 84–95. [Google Scholar] [CrossRef]
- Lou, J.; Mao, Z.; Shan, T.; Wang, Q.; Zhou, L. Chemical composition, antibacterial and antioxidant properties of the essential oils from the roots and cultures of Salvia miltiorrhiza. J. Essent. Oil Bear. Plants 2014, 17, 380–384. [Google Scholar] [CrossRef]
- Miyasaki, Y.; Rabenstein, J.D.; Rhea, J.; Crouch, M.L.; Mocek, U.M.; Kittell, P.E.; Morgan, M.A.; Nichols, W.S.; Van Benschoten, M.M.; Hardy, W.D.; et al. Isolation and characterization of antimicrobial compounds in plant extracts against multidrug-resistant Acinetobacter baumannii. PLoS ONE 2013, 8, e61594. [Google Scholar] [CrossRef]
- Shan, B.; Cai, Y.Z.; Brooks, J.D.; Corke, H. The in vitro antibacterial activity of dietary spice and medicinal herb extracts. Int. J. Food Microbiol. 2007, 117, 112–119. [Google Scholar] [CrossRef] [PubMed]
- Qu, H.; Zhang, Y.; Wang, Y.; Li, B.; Sun, W. Antioxidant and antibacterial activity of two compounds (forsythiaside and forsythin) isolated from Forsythia suspensa. J. Pharm. Pharmacol. 2008, 60, 261–266. [Google Scholar] [CrossRef] [PubMed]
- Tajkarimi, M.M.; Ibrahim, S.A.; Cliver, D.O. Antimicrobial herb and spice compounds in food. Food Control 2010, 21, 1199–1218. [Google Scholar] [CrossRef]
- Daglia, M. Polyphenols as antimicrobial agents. Curr. Opin. Biotechnol. 2012, 23, 174–181. [Google Scholar] [CrossRef]
- Wang, H.; Mei, W.L.; Zeng, Y.B.; Zuo, W.J.; Guo, Z.K.; Chen, L.L.; Zhong, H.M.; Dai, H.F. Phenolic compounds from Dalbergia odorifera. Phytochem. Lett. 2014, 9, 168–173. [Google Scholar] [CrossRef]
- Zhao, X.; Mei, W.; Gong, M.; Zuo, W.; Bai, H.; Dai, H. Antibacterial activity of the flavonoids from Dalbergia odorifera on Ralstonia solanacearum. Molecules 2011, 16, 9775–9782. [Google Scholar] [CrossRef]
- Sithisarn, P.; Rojsanga, P.; Sithisarn, P. Inhibitory effects on clinical isolated bacteria and simultaneous HPLC quantitative analysis of flavone contents in extracts from Oroxylum indicum. Molecules 2019, 24, 1937. [Google Scholar] [CrossRef]
- Cho, H.; Chung, B.; Kim, C.K.; Oh, D.C.; Oh, K.B.; Shin, J. Spatholobus suberectus Dunn. constituents inhibit sortase A and Staphylococcus aureus cell clumping to fibrinogen. Arch. Pharm. Res. 2017, 40, 518–523. [Google Scholar] [CrossRef]
- Arina, M.I.; Harisun, Y. Effect of extraction temperatures on tannin content and antioxidant activity of Quercus infectoria (Manjakani). Biocatal. Agric. Biotechnol. 2019, 19, 101104. [Google Scholar] [CrossRef]
- Mailoa, M.N.; Mahendradatta, M.; Djide, N. Test of antimicrobial activity of tannins extract from guava leaves to pathogens microbial. Int. Asian Res. J. 2014, 2, 43–50. [Google Scholar]
- Pavić, V.; Flaćer, D.; Jakovljević, M.; Molnar, M.; Jokić, S. Assessment of total phenolic content, in vitro antioxidant and antibacterial activity of Ruta graveolens L. extracts obtained by choline chloride based natural deep eutectic solvents. Plants 2019, 8, 69. [Google Scholar] [CrossRef] [PubMed]
- Paz, M.; Gúllon, P.; Barroso, M.F.; Carvalho, A.P.; Domingues, V.F.; Gomes, A.M.; Becker, H.; Longhinotti, E.; Delerue-Matos, C. Brazilian fruit pulps as functional foods and additives: Evaluation of bioactive compounds. Food Chem. 2015, 172, 462–468. [Google Scholar] [CrossRef] [PubMed]
- Zhang, D.; Gan, R.Y.; Farha, A.K.; Kim, G.; Yang, Q.Q.; Shi, X.M.; Shi, C.L.; Luo, Q.X.; Xu, X.B.; Li, H.B.; et al. Discovery of antibacterial dietary spices that target antibiotic-resistant bacteria. Microorganisms 2019, 7, 157. [Google Scholar] [CrossRef] [PubMed]
- Figueiras Abdala, A.; Mendoza, N.; Valadez Bustos, N.; Escamillia Silva, E.M. Antioxidant capacity analysis of blackberry extracts with different phytochemical compositions and optimization of their ultrasound assisted extraction. Plant Foods Hum. Nutr. 2017, 72, 258–265. [Google Scholar] [CrossRef]
- Rebaya, A.; Belghith, S.I.; Baghdikian, B.; Leddet, V.M.; Mabrouki, F.; Olivier, E.; Cherif, J.K.; Ayadi, M.T. Total phenolic, total flavonoid, tannin content, and antioxidant capacity of Halimium halimifolium (Cistaceae). J. Appl. Pharm. Sci. 2014, 5, 52–57. [Google Scholar] [CrossRef]
- Sarker, U.; Oba, S. Antioxidant constituents of three selected red and green color Amaranthus leafy vegitable. Sci. Rep. 2019, 9, 18233. [Google Scholar] [CrossRef]
- Del Hierro, J.N.; Herrera, T.; Garcia-Risco, M.R.; Fornari, T.; Reglero, G.; Martin, D. Ultrasound-assisted extraction and bioaccesibility of saponins from edible seeds: Quinoa, lentil, fenugreek, soybean and lupin. Food Res. Int. 2018, 109, 440–447. [Google Scholar] [CrossRef]
- Medina-Medrano, J.R.; Mares-Quinones, M.D.; Valiente-Banuet, J.I.; Vazquez-Sanchez, M.; Alvarez-Bernal, D.; Villar-Luna, E. Determination and quantification of phenolic compounds in methanolic extracts of Solanum ferrugineum (Solanaceae) fruits by HPLC-DAD and HPLC/ESI-MS/TOF. J. Liq. Chromatogr. Relat. Technol. 2017, 40, 900–906. [Google Scholar] [CrossRef]
- Castro-Alves, V.C.; Cordenunsl, B.R. Total soluble phenolic compounds quantification is not as simple as it seems. Food Anal. Methods 2015, 8, 873–884. [Google Scholar] [CrossRef]
- Medina, M.B. Simple and rapid method for the analysis of phenolic compounds in beverages and grains. J. Agric. Food Chem. 2011, 59, 1565–1571. [Google Scholar] [CrossRef]
- Pekal, A.; Pyrzynska, K. Evaluation of aluminum complexation reaction for flavonoid content assay. Food Anal. Methods 2014, 7, 1766–1782. [Google Scholar] [CrossRef]
- Famuyide, I.M.; Aro, A.O.; Fasina, F.O.; Eloff, J.N.; McGaw, L.J. Antibacterial and antibiofilm activity of acetone leaf extracts of nine under-investigated south African Eugenia and Syzygium (Myrtaceae) species and their selectivity indices. BMC Complement. Altern. Med. 2019, 19, 141. [Google Scholar] [CrossRef] [PubMed]
- Soumya, K.; Jesna, J.; Sudheesh, S. Screening study of three medicinal plants for their antioxidant and cytotoxic activity. Int. J. Pharm. Sci. Res. 2018, 9, 3781–3787. [Google Scholar] [CrossRef]
- Zia-Ul-Haq, M.; Raza Shah, M.; Qayum, M.; Ercisli, S. Biological screening of selected flora of Pakistan. Biol. Res. 2012, 45, 375–379. [Google Scholar] [CrossRef] [PubMed]
- Guo, J.P.; Pang, J.; Wang, X.W.; Shen, Z.Q.; Jin, M.; Li, J.W. In vitro screening of traditionally used medicinal plants in China against enteroviruses. World J. Gastroenterol. 2006, 12, 4078. [Google Scholar] [CrossRef] [PubMed]
- Özbílgín, A.; Durmuşkahya, C.; Kílímcíoğlu, A.A.; Kayalar, H.; Kurt, Ö.; Ermíş, V.Ö.; Tabak, T.; Östan, I. In vitro efficacy of Quercus infectoria Oliv. and Achillea millefolium L. extracts against Blastocystis spp. isolates. Kafkas Univ Vet Fak Derg. 2013, 19, 511–516. [Google Scholar] [CrossRef]
- Kheirandish, F.; Delfan, B.; Mahmoudvand, H.; Moradi, N.; Ezatpour, B.; Ebrahimzadeh, F.; Rashidipour, M. Antileishmanial, antioxidant, and cytotoxic activities of Quercus infectoria Olivier extract. Biomed. Pharmacother. 2016, 82, 208–215. [Google Scholar] [CrossRef] [PubMed]
- Papuc, C.; Goran, G.V.; Predescu, C.N.; Nicorescu, V.; Stefan, G. Plant polyphenols as antioxidant and antibacterial agents for shelf-life extension of meat and meat products: Classification, structures, sources, and action mechanisms. Compr. Rev. Food Sci. Food Saf. 2017, 16, 1243–1268. [Google Scholar] [CrossRef]
- Pires, T.C.; Dias, M.I.; Barros, L.; Calhelha, R.C.; Alves, M.J.; Santos-Buelga, C.; Ferreira, I.C. Phenolic compounds profile, nutritional compounds and bioactive properties of Lycium barbarum L.: A comparative study with stems and fruits. Ind. Crops Prod. 2018, 122, 574–581. [Google Scholar] [CrossRef]
- Kim, H.Y. Statistical notes for clinical researchers: Effect size. Restor. Dent. Endod. 2015, 40, 328. [Google Scholar] [CrossRef]
- Sullivan, G.M.; Feinn, R. Using effect size- or why the p value is not enough. J. Grad. Med. Educ. 2012, 4, 279–282. [Google Scholar] [CrossRef] [PubMed]
- Goodwin, L.D.; Leech, N.L. Understanding correlation: Factors that affect the size of r. J. Exp. Educ. 2006, 74, 251–266. [Google Scholar] [CrossRef]
- Lee, D.S.; Lee, S.H.; Noh, J.G.; Hong, S.D. Antibacterial activities of cryptotanshinone and dihydrotanshinone I from a medicinal herb, Salvia miltiorrhiza Bunge. Biosci. Biotechnol. Biochem. 1999, 63, 2236–2239. [Google Scholar] [CrossRef] [PubMed]
- Dzoyem, J.P.; Melong, R.; Tsamo, A.T.; Tchinda, A.T.; Kapche, D.G.; Ngadjui, B.T.; McGaw, L.J.; Eloff, J.N. Cytotoxicity, antimicrobial and antioxidant activity of eight compounds isolated from Entada abyssinica (Fabaceae). BMC Res. Notes. 2017, 10, 118. [Google Scholar] [CrossRef] [PubMed]
- Pendota, S.C.; Aderogba, M.A.; Moyo, M.; McGaw, L.J.; Mulaudzi, R.B.; Van Staden, J. Antimicrobial, antioxidant and cytotoxicity of isolated compounds from leaves of Pappea capensis. S. Afr. J. Bot. 2017, 108, 272–277. [Google Scholar] [CrossRef]
- Capello, C.; Fischer, U.; Hungerbühler, K. What is a green solvent? A comprehensive framework for the environmental assessment of solvents. Green Chem. 2007, 9, 927–934. [Google Scholar] [CrossRef]
- Backes, E.; Pereira, C.; Barros, L.; Prieto, M.A.; Genena, A.K.; Barreiro, M.F.; Ferreira, I. Recovery of bioactive anthocyanin pigments from Ficus carica L. peel by heat, microwave, and ultrasound-based extraction techniques. Food Res. Int. 2018, 113, 197–209. [Google Scholar] [CrossRef]
- Le, A.V.; Parks, S.E.; Nguyen, M.H.; Roach, P.D. Effect of solvents and extraction methods on recovery of bioactive compounds from defatted gac (Momordica cochinchinensis Spreng.) seeds. Separations 2018, 5, 39. [Google Scholar] [CrossRef]
- Elshikh, M.; Ahmed, S.; Funston, S.; Dunlop, P.; McGaw, M.; Marchant, R.; Banat, I.M. Resazurin-based 96-well plate microdilution method for the determination of minimum inhibitory concentration of biosurfactants. Biotech. Lett. 2016, 38, 1015–1019. [Google Scholar] [CrossRef]
- Blainski, A.; Lopes, G.; de Mello, J. Application and analysis of the folin ciocalteu method for the determination of the total phenolic content from Limonium brasiliense L. Molecules 2013, 18, 6852–6865. [Google Scholar] [CrossRef]
- Senthilraja, P.; Kathiresan, K. In vitro cytotoxicity MTT assay in Vero, HepG2 and MCF-7 cell lines study of marine yeast. J. Appl. Pharm. Sci. 2015, 5, 80–84. [Google Scholar] [CrossRef]




| No. 1 | Family | Scientific Name | Common Name | Extracted Plant Part | DIZ (mm) against S. aureus | ||||
|---|---|---|---|---|---|---|---|---|---|
| SJTUF 20745 | SJTUF 20746 | SJTUF 20758 | SJTUF 20978 | SJTUF 20991 | |||||
| 3 | Anacardiaceae | Rhus chinensis Mill. | Nutgall tree | gall | 21 ± 1 | 21.5 ± 0.1 | 21.8 ± 0.4 | 25 ± 0.6 | 20.5 ± 0.3 |
| 8 | Apiaceae | Cnidium monnieri Cusson | Monnier’s snowparsley | fruit | 9 | 12.6 | NIZ | 17.6 ± 0.1 | 10.5 ± 0.2 |
| 22 | Aquifoliaceae | Ilex rotunda Thunb. | Kurogane holly | bark | 17.2 ± 0.5 | 17.6 ± 0.6 | 19.9 ± 0.8 | 17.4 ± 0.2 | 18.3 |
| 26 | Araceae | Spirodela polyrrhiza (L.) Schleid. | Common duckweed | aerial part | 9.1 | 10.4 ± 0.1 | 10.3 ± 0.1 | 17.5 ± 0.1 | 11.9 |
| 31 | Aristolochiaceae | Asarum heterotropoides F. Schmidt | Manchurian wildginge | rhizome & root | 14.3 ± 0.2 | 18 | 15.2 ± 0.2 | 29.8 ± 0.2 | 14.1 ± 0.1 |
| 36 | Asphodelaceae | Aloe ferox Mill. | Cape aloe | dried gel | 8.3 | 11.6 ± 0.4 | 8.7 | 14.6 ± 0.5 | 10.2 ± 0.3 |
| 46 | Asteraceae | Elephantopus scaber L. | Cucha cara | aerial part | 12.3 ± 0.5 | 13.2 ± 0.1 | 13.2 ± 0.2 | 15.1 | 13.8 ± 0.6 |
| 49 | Hemistepta lyrata Bunge | Lyre-shape hemistepta | aerial part | 12.4 | 12.3 ± 0.3 | 12.1 ± 0.4 | 16 | 14.3 | |
| 51 | Inula japonica Thunb. | Inula flower | flower | 16.4 ± 0.4 | 17 ± 1 | 15.7 | 20 ± 0.5 | 20.3 ± 0.1 | |
| 58 | Berberidaceae | Leontice kiangnanensis P. L. Chiu | Rhizoma corydalis | tuberous root | 19.1 ± 0.7 | 23.7 ± 0.3 | 22 ± 1 | 25.6 ± 0.1 | 22.4 ± 0.4 |
| 61 | Bignoniaceae | Oroxylum indicum Vent. | Indian trumpet flower | seed | 18.5 ± 0.3 | 25 ± 1 | 24.2 ± 0.2 | 30 ± 1 | 22.4 ± 0.2 |
| 62 | Boraginaceae | Lithospermum erythrorhizon Siebold & Zucc. | Purple gromwell | leaf | 11.8 ± 0.2 | 16.3 ± 0.2 | 13.5 ± 0.1 | 15.3 ± 0.1 | 13.4 |
| 65 | Brassicaceae | Isatis tinctoria L. | Dyer’s woad | leaf | 21 ± 1 | 22 ± 1 | 23 ± 1 | 24.8 ± 0.7 | 16.9 ± 0.3 |
| 81 | Combretaceae | Terminalia chebula Retz. | Myrobalan | fruit | 16.8 ± 0.3 | 18.1 | 20 ± 0.2 | 24.5 ± 0.1 | 20.2 ± 0.1 |
| 87 | Dioscoreaceae | Dioscorea bulbifera L. | aerial yam | tuberous root | 21 ± 1 | 21 ± 1 | 19.2 | 24.6 ± 0.5 | 20.8 ± 0.1 |
| 90 | Ebenaceae | Diospyros kaki Thunb. | Chinese persimmon | calyx | 16.7 ± 0.4 | 16.2 ± 0.3 | 16.7 | 19.5 ± 0.1 | 17.2 ± 0.2 |
| 92 | Ericaceae | Pyrola calliantha Andres | Chinese pyrola | aerial part | 13.7 ± 0.1 | 21.3 ± 0.5 | 13.3 | 18.2 ± 0.2 | 15.4 ± 0.1 |
| 95 | Euphorbiaceae | Euphorbia humifusa Willd. | Herba euphorbiae humifusae | aerial part | 13.8 ± 0.2 | 13 | 16.2 ± 0.6 | 18.1 ± 0.4 | 17.7 ± 0.2 |
| 96 | Speranskia tuberculata Baill. | Herba speranskiae tuberculatae | aerial part | 24.1 ± 0.4 | 25 ± 2 | 22.8 ± 0.3 | 27.7 ± 0.4 | 27.1 ± 0.5 | |
| 97 | Fabaceae | Acacia catechu (L.f.) Willd. | Catechu | branch | 23 ± 0.8 | 25 ± 2 | 27 ± 1 | 32 ± 2 | 25.1 ± 0.3 |
| 101 | Cassia occidentalis L. | Coffee senna | seed | 14.9 ± 0.1 | 14.1 ± 0.1 | 13.8 ± 0.4 | 14.8 ± 0.2 | 10.3 ± 0.1 | |
| 102 | Cassia tora L. | Sickle Senna | seed | 14 ± 0.4 | 14.2 ± 0.4 | 13.2 ± 0.8 | 16.6 ± 0.5 | 15.9 ± 0.1 | |
| 103 | Dalbergia odorifera T. C. Chen | Fragrant rosewood | trunk | 18.2 ± 0.5 | 20 ± 1 | 20 ± 1 | 28 ± 1 | 21.4 ± 0.5 | |
| 107 | Gleditsia sinensis Lam. | Chinese honey locust | branch | 14.6 ± 0.4 | 15.8 ± 0.2 | 17.4 | 20 ± 1 | 15.2 ± 0.4 | |
| 109 | Glycyrrhiza uralensis Fisch. | Licorice | rhizome & root | 12.8 ± 0.1 | 13.7 ± 0.4 | 16.1 ± 0.2 | 17.4 | 14.8 ± 0.1 | |
| 110 | Lablab purpureus (L.) Sweet | Lablab Bean | seed | 14.6 | 16.8 ± 0.3 | 19.2 | 22 ± 1 | 17.5 | |
| 112 | Quercus infectoria Oliv. | Aleppo oak | gall | 22.4 ± 0.5 | 22.3 ± 0.4 | 24.8 ± 0.5 | 26.6 ± 0.1 | 22.8 | |
| 114 | Sophora tonkinensis Gagnepain | Vietnamese sophora | rhizome & root | 14.3 ± 0.4 | 15.3 ± 0.2 | 13.5 | 20.2 ± 0.1 | 15.8 | |
| 115 | Spatholobus suberectus Dunn | Caulis spatholobi | stem | 17 ± 0.1 | 17.2 ± 0.2 | 19 ± 1 | 20.8 ± 0.2 | 19.4 ± 0.2 | |
| 122 | Hypericaceae | Hypericum japonicum Thunb. | Matted St. John’s-wort | aerial part | 17.8 ± 0.4 | 17.1 ± 0.1 | 14.7 | 22 ± 1 | 18.9 ± 0.2 |
| 126 | Lamiaceae | Isodon serra Kudo | Herba rabdosiae | aerial part | 15.8 ± 0.2 | 15.4 ± 0.2 | 18.7 ± 0.1 | 21.7 ± 0.1 | 17.3 ± 0.3 |
| 132 | Rabdosia rubescens (Hemsl.) H. Hara | Blushred rabdosia | aerial part | 18.8 ± 0.3 | 23 ± 1 | 19 ± 1 | 23.5 ± 0.1 | 22 ± 1 | |
| 133 | Salvia miltiorrhiza Bunge | Chinese salvia | rhizome & root | 17.3 ± 0.5 | 18.9 ± 0.5 | 22.3 ± 0.3 | 19.1 ± 0.4 | 19 ± 0.3 | |
| 139 | Lardizabalaceae | Sargentodoxa cuneata Rehder & E. H. Wilson | Sargentgloryvine | stem | 14.5 ± 0.1 | 13.8 ± 0.4 | 15.1 | 19.6 | 17.8 ± 0.3 |
| 140 | Lauraceae | Cinnamomum cassia (L.) Presl | Grey bollywood | branch | 15.2 | 14.6 ± 0.1 | 20 ± 0.2 | 18.1 ± 0.2 | 18.5 ± 0.6 |
| 148 | Lycopodiaceae | Diphasiastrum complanatum (L.) Holub | Groundcedar | aerial part | 20.8 ± 0.2 | 19.6 ± 0.1 | 21.7 ± 0.3 | 24.3 ± 0.3 | 22.6 |
| 151 | Magnoliaceae | Magnolia denudata Desr. | Lilytree | bud of flower | 15.2 | 16.1 ± 0.2 | 15.4 ± 0.2 | 17.2 ± 0.2 | 12.9 |
| 153 | Malvaceae | Bombax malabaricum DC. | Bombax | root bark | 10.3 ± 0.2 | 10.8 ± 0.2 | 10.4 ± 0.2 | 16.3 | 12.6 |
| 154 | Helicteres angustifolia L. | Narrowleaf screwtree | root | 17.7 ± 0.1 | 19.8 | 19.7 ± 0.5 | 26 ± 1 | 16.9 ± 0.1 | |
| 155 | Pterospermum heterophyllum Hance | Heterophyllous wingseedtree | root | 15.7 ± 0.2 | 18.2 ± 0.1 | 19.3 ± 0.2 | 21.4 ± 0.4 | 18.2 ± 0.1 | |
| 159 | Meliaceae | Melia azedarach L. | Chinaberry tree | bark & root bark | 18.4 ± 0.3 | 16.8 ± 0.3 | 22.2 ± 0.3 | 23.3 ± 0.6 | 19.8 |
| 168 | Oleaceae | Fraxinus fallax Lingelsh. | Largeleaf Chinese ash | bark | 13.4 ± 0.5 | 15.8 ± 0.3 | 20 ± 1 | 19.3 ± 0.7 | 19.5 |
| 169 | Jasminum nudiflorum Lindl. | Winter jasmine | bud of flower | 11.3 | 13.9 | 12.5 ± 0.1 | 15.9 ± 0.2 | 21.2 ± 0.8 | |
| 172 | Orchidaceae | Nervilia fordii Schltr. | Ford nervilla | rhizome & leaf | NIZ | 8.3 | NIZ | 17.3 | 9.9 ± 0.1 |
| 173 | Pholidota chinensis Lindl. | Chinese photinia herb | stem | 14.9 ± 0.3 | 17 ± 0.4 | 17.3 ± 0.2 | 22.4 ± 0.8 | 17.2 ± 0.3 | |
| 177 | Orobanchaceae | Striga asiatica (L.) Kuntze | Asiatic witchweed | aerial part | 11.9 | 11.1 | 8.8 | 19.4 ± 0.5 | 13.2 |
| 178 | Paeoniaceae | Paeonia lactiflora Pall. | Chinese peony | root | 15.6 ± 0.4 | 14.2 ± 0.1 | 17.4 | 16 ± 0.3 | 17.2 ± 0.2 |
| 179 | Paeonia suffruticosa Andrews | Moutan peony | root bark | 14.1 ± 0.1 | 18 ± 0.7 | 17 ± 0.3 | 18.2 ± 0.1 | 18.1 ± 0.2 | |
| 180 | Paeonia veitchii Lynch | Red Peony | root | 14.5 ± 0.1 | 15.7 ± 0.1 | 15.8 ± 0.3 | 16.7 | 15.5 ± 0.7 | |
| 182 | Phyllanthaceae | Phyllanthus emblica L. | Emblic | fruit | 16.6 ± 0.5 | 13.4 ± 0.3 | 19 ± 0.3 | 23.5 ± 0.2 | 18.6 ± 0.2 |
| 183 | Pinaceae | Pseudolarix amabilis Rehder | Chinese golden larch | root bark | 17.4 ± 0.5 | 17 ± 0.6 | 19.4 ± 0.4 | 17.4 | 19.7 |
| 185 | Poaceae | Bambusa tuldoides Munro | Puntingpole bamboo | stem | 9.4 | 9.3 | 8.1 ± 0.1 | 18.2 ± 0.3 | 9.7 ± 0.1 |
| 186 | Chrysopogon aciculatus Trin. | Mackie’s pest | aerial part | 11.4 ± 0.2 | 12.6 ± 0.4 | 12.3 ± 0.3 | 25 ± 1 | 14.2 | |
| 192 | Polygonaceae | Polygonum bistorta L. | Meadow bistort | rhizome | 15.3 ± 0.2 | 15.7 ± 0.2 | 14.4 ± 0.4 | 19.2 ± 0.4 | 15.1 ± 0.1 |
| 193 | Polygonum chinense L. | Chinese knotweed | aerial part | 14.2 ± 0.1 | 13.6 | 14.2 ± 0.1 | 19 ± 0.5 | 17.2 ± 0.1 | |
| 194 | Polygonum multiflorum Thunb. | Tuber fleeceflower | stem | 16.6 ± 0.3 | 15.2 ± 0.4 | 16.6 ± 0.3 | 21 ± 1 | 16.4 ± 0.1 | |
| 195 | Polygonum multiflorum Thunb. | Tuber fleeceflower | tuberous root | 14 ± 1 | 17.7 ± 0.4 | 14.7 ± 0.5 | 19.5 ± 0.3 | 14.9 | |
| 196 | Rumex obtusifolius L. | Bitter dock | root | 12.8 | 13 ± 0.2 | 18 | 22.9 ± 0.3 | 13.9 | |
| 197 | Primulaceae | Ardisia japonica Blume | Marlberry | aerial part | 16.5 ± 0.6 | 12.4 | 13.2 | 19.2 ± 0.1 | 19 ± 1 |
| 198 | Lysimachia christinae Hance | Herba lysimachiae | aerial part | 14.3 ± 0.3 | 14.3 ± 0.2 | 16.4 | 27 ± 2 | 16.2 ± 0.1 | |
| 200 | Ranunculaceae | Coptis chinensis Franch. | Chinese goldthread | rhizome | 23 ± 1 | 23.2 ± 0.4 | 22.5 ± 0.5 | 23 ± 1 | 22.3 ± 0.1 |
| 201 | Thalictrum aquilegifolium L. | French meadow-rue | rhizome & root | 14.4 | 15.4 ± 0.2 | 17.5 ± 0.6 | 17 ± 0.3 | 15.4 ± 0.4 | |
| 202 | Rosaceae | Agrimonia pilosa Ledeb. | Herba agrimoniae | aerial part | 16.5 ± 0.2 | 16 ± 0.4 | 16.9 ± 0.4 | 21.1 | 18.4 ± 0.4 |
| 203 | Duchesnea indica (Andr.) Focke | Indian strawberry | aerial part | 11.5 | 13.9 ± 0.4 | 13.8 ± 0.7 | 21.5 ± 0.2 | 15.4 ± 0.5 | |
| 205 | Geum aleppicum Jacq. | Aleppo avens | aerial part | 15.1 ± 0.5 | 14.7 ± 0.1 | 16.7 ± 0.3 | 22.7 ± 0.3 | 17.3 ± 0.3 | |
| 206 | Prunus mume Siebold & Zucc. | Japanese apricot | fruit | 12.1 ± 0.1 | 11.5 | 13.3 ± 0.1 | 16.3 ± 0.5 | 12.2 ± 0.9 | |
| 210 | Rubiaceae | Serissa serissoides (DC.) Druce | Snowrose | aerial part | 16.1 ± 0.3 | 18.9 | 21.5 ± 0.5 | 25.9 ± 0.1 | 15.9 ± 0.4 |
| 217 | Rutaceae | Phellodendron chinense C. K. Schneid. | Chinese corktree | bark | 20 ± 1 | 19.5 ± 0.3 | 18.8 ± 0.5 | 22.3 ± 0.3 | 21.8 |
| 218 | Zanthoxylum nitidum DC. | Shiny-leaf prickly-ash | root | 15.5 ± 0.4 | 17.7 ± 0.1 | 15.6 | 21 ± 1 | 14.5 ± 0.2 | |
| 223 | Saxifragaceae | Saxifraga stolonifera Meerb. | Creeping saxifrage | aerial part | 11.5 | 11.6 | 11.6 ± 0.4 | 14.6 ± 0.2 | 13.3 ± 0.2 |
| 227 | Solanaceae | Lycium chinense Mill. | Chinese boxthorn | root bark | 19 ± 0.2 | 19.6 ± 0.1 | 22.8 ± 0.1 | 24 ± 1 | 21.4 |
| 230 | Tamaricaceae | Tamarix chinensis Lour. | China tamarisk | branch & leaf | 13.6 ± 0.2 | 14.4 ± 0.1 | 13.7 ± 0.4 | 16.6 ± 0.2 | 19.2 |
| 231 | Thymelaeceae | Daphne genkwa Siebold & Zucc. | Chinese daphne | bud of flower | 22.1 ± 0.1 | 23 ± 1 | 11.4 ± 0.3 | 23.7 ± 0.1 | 25.8 ± 0.4 |
| 239 | Zingberaceae | Curcuma phaeocaulis Valeton | Rhizoma zedoariae | rhizome | 14.1 ± 0.4 | 17.8 ± 0.3 | 16.5 | 22.7 ± 0.4 | 16.8 ± 0.3 |
| Ampicillin | 21.7 ± 0.3 | 18.7 ± 0.5 | 18.5 | 20.2 ± 0.7 | 21.1 ± 0.5 | ||||
| Oxacillin | 15.5 ± 0.6 | 11.9 ± 0.7 | 13.3 ± 0.5 | 13.2 ± 0.4 | 18.2 ± 0.4 | ||||
| DMSO | NIZ | NIZ | NIZ | NIZ | NIZ | ||||
| No. | Scientific Name | S. aureus | |||||||||||||
|---|---|---|---|---|---|---|---|---|---|---|---|---|---|---|---|
| ATCC 25923 | SJTUF 20745 | SJTUF 20746 | SJTUF 20758 | SJTUF 20827 | SJTUF 20978 | SJTUF 20991 | |||||||||
| MIC | MBC | MIC | MBC | MIC | MBC | MIC | MBC | MIC | MBC | MIC | MBC | MIC | MBC | ||
| (mg/mL) | (mg/mL) | (mg/mL) | (mg/mL) | (mg/mL) | (mg/mL) | (mg/mL) | |||||||||
| 3 | Rhus chinensis Mill. | 0.1 | 3.125 | 0.1 | 3.125 | 0.195 | 3.125 | 0.1 | 0.78 | 0.1 | 0.39 | 0.195 | 3.125 | 0.195 | 1.56 |
| 22 | Ilex rotunda Thunb. | 0.78 | 3.125 | 1.56 | 25 | 1.56 | > 25 | 1.56 | 6.25 | 1.56 | 12.5 | 0.78 | 12.5 | 0.78 | 12.5 |
| 51 | Inula japonica Thunb. | 3.125 | 6.25 | 1.56 | > 25 | 3.125 | 25 | 3.125 | > 25 | 3.125 | 6.25 | 1.56 | 6.25 | 3.125 | 6.25 |
| 58 | Leontice kiangnanensis P.L.Chiu | 0.78 | 1.56 | 0.78 | 25 | 0.78 | > 25 | 0.78 | 3.125 | 6.25 | 25 | 0.78 | 12.5 | 0.78 | 3.125 |
| 61 | Oroxylum indicum Vent. | 0.39 | 1.56 | 0.39 | 6.25 | 0.78 | 25 | 0.78 | 1.56 | 0.39 | 0.78 | 1.56 | 3.125 | 1.56 | 3.125 |
| 65 | Isatis tinctoria L. | 3.125 | 25 | 3.125 | > 25 | 6.25 | > 25 | 6.25 | 12.5 | 12.5 | 12.5 | 6.25 | > 25 | 12.5 | > 25 |
| 81 | Terminalia chebula Retz. | 0.195 | > 25 | 0.78 | > 25 | 0.39 | > 25 | 0.78 | 25 | 0.78 | 25 | 0.78 | 25 | 0.39 | 25 |
| 96 | Speranskia tuberculata Baill. | 0.78 | 25 | 0.78 | > 25 | 0.78 | 12.5 | 0.78 | 12.5 | 0.78 | 12.5 | 1.56 | 12.5 | 0.78 | 12.5 |
| 97 | Acacia catechu (L.f.) Willd. | 0.195 | 3.125 | 0.39 | 6.25 | 0.195 | 6.25 | 0.78 | 0.78 | 0.78 | 1.56 | 0.195 | 0.78 | 0.195 | 1.56 |
| 103 | Dalbergia odorifera T.C.Chen | 0.39 | 3.125 | 0.39 | 12.5 | 0.39 | 6.25 | 0.39 | 3.125 | 0.39 | 6.25 | 0.39 | 0.78 | 0.39 | 6.25 |
| 112 | Quercus infectoria Oliv. | 0.1 | 12.5 | 0.195 | 25 | 0.195 | 6.25 | 0.195 | 12.5 | 0.19 | 1.56 | 0.195 | 1.56 | 0.195 | 12.5 |
| 115 | Spatholobus suberectus Dunn | 0.195 | 3.125 | 1.56 | > 25 | 0.78 | 6.25 | 0.39 | 6.25 | 0.78 | 3.125 | 0.78 | 0.78 | 0.78 | 12.5 |
| 132 | Rabdosia rubescens (Hemsl.) H.Hara | 1.56 | 12.5 | 1.56 | > 25 | 1.56 | 12.5 | 1.56 | 6.25 | 1.56 | 3.125 | 0.78 | 1.56 | 1.56 | 12.5 |
| 133 | Salvia miltiorrhiza Bunge | 0.39 | 3.125 | 1.56 | 25 | 3.125 | 12.5 | 1.56 | 6.25 | 0.78 | 3.125 | 3.125 | 6.25 | 3.125 | 6.25 |
| 168 | Fraxinus fallax Lingelsh. | 1.56 | > 25 | 1.56 | > 25 | 1.56 | 25 | 3.125 | 12.5 | 1.56 | 12.5 | 3.125 | 12.5 | 3.125 | 25 |
| 200 | Coptis chinensis Franch. | 0.39 | 1.56 | 0.195 | 25 | 0.39 | 12.5 | 0.39 | 1.25 | 0.39 | 0.78 | 0.195 | 1.56 | 0.195 | 0.78 |
| 202 | Agrimonia pilosa Ledeb. | 0.1 | 1.56 | 0.1 | 6.25 | 0.195 | 1.56 | 0.78 | 3.125 | 0.39 | 1.56 | 0.195 | 6.25 | 0.1 | 1.56 |
| 217 | Phellodendron chinense C.K. Schneid. | 0.78 | 3.125 | 0.78 | 12.5 | 0.39 | 1.56 | 0.78 | 1.56 | 0.78 | 0.78 | 0.195 | 3.125 | 0.39 | 1.56 |
| Ampicillin (μg/mL) | 0.05 | >25 | 6.25 | > 25 | >25 | NA 1 | >25 | NA | >25 | NA | 3.125 | >25 | 0.1 | >25 | |
| Oxacillin (μg/mL) | 0.195 | > 25 | 0.39 | > 25 | 0.39 | > 25 | 0.39 | 25 | 0.195 | 12.5 | 0.195 | > 25 | 0.195 | 25 | |
| No. | Scientific Name | TPC (mg GAE/g DW) | TFC (mg CE/g DW) |
|---|---|---|---|
| 3 | Rhus chinensis Mill. | 632 ± 4 a | 36.8 ± 0.9 fg |
| 22 | Ilex rotunda Thunb. | 143 ± 3 fg | 16.9 ± 0.2 ijkl |
| 51 | Inula japonica Thunb. | 92 ± 6 i | 62 ± 3 e |
| 58 | Leontice kiangnanensis P. L. Chiu | 33 ± 1 k | 5.27 ± 0.08 l |
| 61 | Oroxylum indicum Vent. | 158 ± 3 f | 18.1 ± 0.6 ijk |
| 65 | Isatis tinctoria L. | 60 ± 3 j | 8.35 ± 0.2 kl |
| 81 | Terminalia chebula Retz. | 553 ± 4 b | 27 ± 0.8 ghi |
| 96 | Speranskia tuberculata Baill. | 31.4 ± 0.6 k | 13.4 ± 0.5 jkl |
| 97 | Acacia catechu (L.f.) Willd. | 545 ± 2 b | 377 ± 3 a |
| 103 | Dalbergia odorifera T. C. Chen | 215 ± 6 e | 62 ± 1 e |
| 112 | Quercus infectoria Oliv. | 646 ± 3 a | 38 ± 3 fg |
| 115 | Spatholobus suberectus Dunn | 489 ± 5 c | 214 ± 11 b |
| 132 | Rabdosia rubescens (Hemsl.) H. Hara | 135 ± 4 gh | 41 ± 1 f |
| 133 | Salvia miltiorrhiza Bunge | 56 ± 5 j | 34.5 ± 0.9 fgh |
| 168 | Fraxinus fallax Lingelsh. | 363 ± 15 d | 106 ± 5 d |
| 200 | Coptis chinensis Franch. | 95 ± 3 i | 23.1 ± 0.3 hij |
| 202 | Agrimonia pilosa Ledeb. | 371 ± 11 d | 154 ± 10 c |
| 217 | Phellodendron chinense C. K. Schneid. | 123 ± 2 h | 35 ± 2 fgh |
| Scientific Name | Cytotoxicity (LC50, µg/mL) | Selectivity Index (SI = LC50/MIC) | |
|---|---|---|---|
| 3 | Rhus chinensis Mill. | 77.6 | 0.77 |
| 22 | Ilex rotunda Thunb. | >100 | 554 |
| 51 | Inula japonica Thunb. | 54.1 | 0.02 |
| 58 | Leontice kiangnanensis P. L. Chiu | >100 | 2687 |
| 61 | Oroxylum indicum Vent. | >100 | NA |
| 65 | Isatis tinctoria L. | >100 | 76.0 |
| 81 | Terminalia chebula Retz. | >100 | 2.20 |
| 96 | Speranskia tuberculata Baill. | 25.9 | 0.03 |
| 97 | Acacia catechu (L.f.) Willd. | NA 1 | NA |
| 103 | Dalbergia odorifera T. C. Chen | 44.1 | 0.11 |
| 112 | Quercus infectoria Oliv. | 91.6 | 0.47 |
| 115 | Spatholobus suberectus Dunn | >100 | 138 |
| 132 | Rabdosia rubescens (Hemsl.) H. Hara | >100 | 158 |
| 133 | Salvia miltiorrhiza Bunge | NA | NA |
| 168 | Fraxinus fallax Lingelsh. | >100 | 5.55 |
| 200 | Coptis chinensis Franch. | >100 | 86.1 |
| 202 | Agrimonia pilosa Ledeb. | >100 | 204 |
| 217 | Phellodendron chinense C. K. Schneid. | >100 | 1.85 |
| S. aureus Strain Name | Antibiotic Resistance Profile |
|---|---|
| SJTUF 20745 | Streptomycin, ciprofloxacin, clindamycin, erythromycin |
| SJTUF 20746 | Gentamicin, ciprofloxacin, clindamycin, erythromycin |
| SJTUF 20758 | Penicillin, streptomycin, clindamycin, erythromycin |
| SJTUF 20827 | Erythromycin |
| SJTUF 20978 | Ciprofloxacin, erythromycin, sulfisoxazole |
| SJTUF 20991 | Ciprofloxacin, clindamycin, erythromycin, tetracycline |
© 2020 by the authors. Licensee MDPI, Basel, Switzerland. This article is an open access article distributed under the terms and conditions of the Creative Commons Attribution (CC BY) license (http://creativecommons.org/licenses/by/4.0/).
Share and Cite
Kim, G.; Gan, R.-Y.; Zhang, D.; Farha, A.K.; Habimana, O.; Mavumengwana, V.; Li, H.-B.; Wang, X.-H.; Corke, H. Large-Scale Screening of 239 Traditional Chinese Medicinal Plant Extracts for Their Antibacterial Activities against Multidrug-Resistant Staphylococcus aureus and Cytotoxic Activities. Pathogens 2020, 9, 185. https://doi.org/10.3390/pathogens9030185
Kim G, Gan R-Y, Zhang D, Farha AK, Habimana O, Mavumengwana V, Li H-B, Wang X-H, Corke H. Large-Scale Screening of 239 Traditional Chinese Medicinal Plant Extracts for Their Antibacterial Activities against Multidrug-Resistant Staphylococcus aureus and Cytotoxic Activities. Pathogens. 2020; 9(3):185. https://doi.org/10.3390/pathogens9030185
Chicago/Turabian StyleKim, Gowoon, Ren-You Gan, Dan Zhang, Arakkaveettil Kabeer Farha, Olivier Habimana, Vuyo Mavumengwana, Hua-Bin Li, Xiao-Hong Wang, and Harold Corke. 2020. "Large-Scale Screening of 239 Traditional Chinese Medicinal Plant Extracts for Their Antibacterial Activities against Multidrug-Resistant Staphylococcus aureus and Cytotoxic Activities" Pathogens 9, no. 3: 185. https://doi.org/10.3390/pathogens9030185
APA StyleKim, G., Gan, R.-Y., Zhang, D., Farha, A. K., Habimana, O., Mavumengwana, V., Li, H.-B., Wang, X.-H., & Corke, H. (2020). Large-Scale Screening of 239 Traditional Chinese Medicinal Plant Extracts for Their Antibacterial Activities against Multidrug-Resistant Staphylococcus aureus and Cytotoxic Activities. Pathogens, 9(3), 185. https://doi.org/10.3390/pathogens9030185

