Performance of Commercially Available Rapid Serological Assays for the Detection of SARS-CoV-2 Antibodies
Abstract
1. Introduction
2. Material and Methods
2.1. Samples and Testing Protocols
2.2. ELISA for Detection of SARS-CoV-2 Specific IgG and IgM Antibodies
2.3. Pseudovirus Neutralization Assay
2.4. SARS-CoV-2 IgG and IgM Antibodies by LFIA
2.5. Statistical Analysis
3. Results
3.1. SARS-coV-2 IgM and IgG Antibodies Detection by ELISA
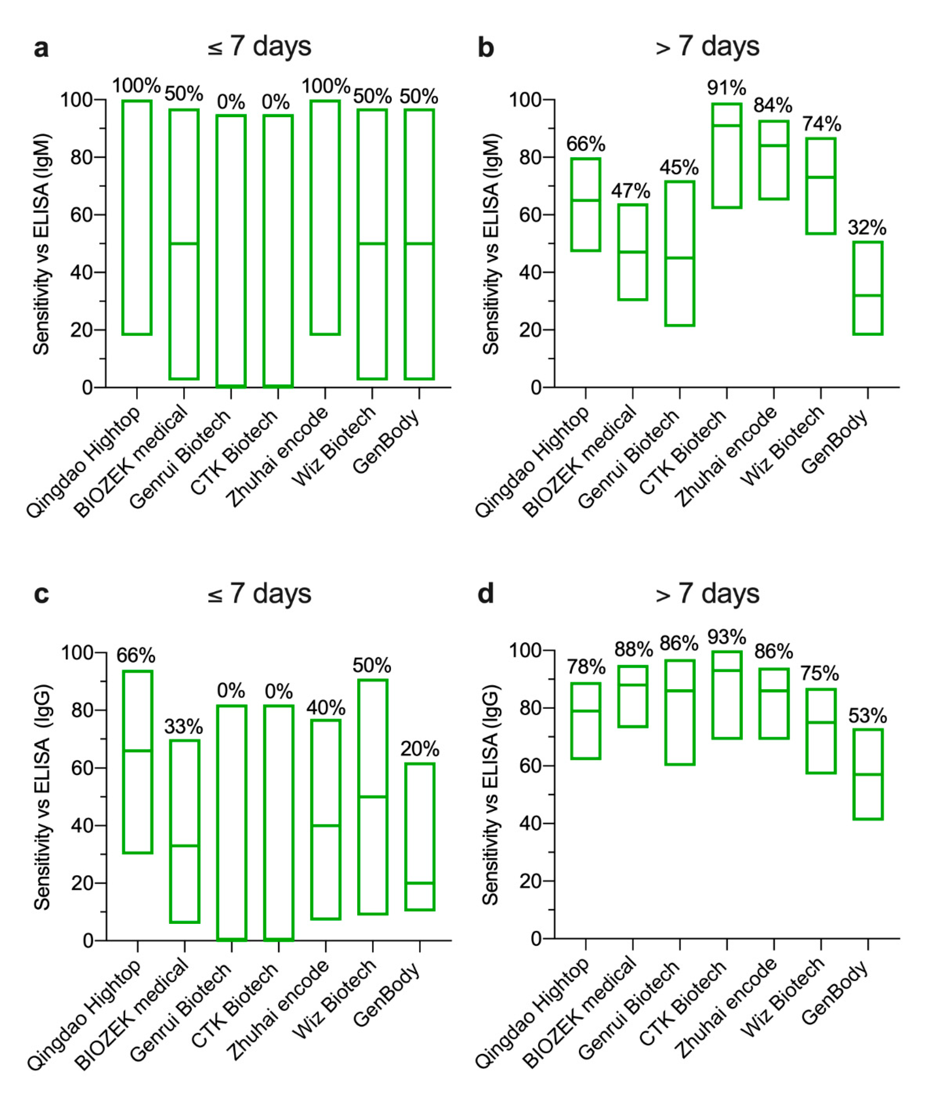
3.2. Detection of SARS-CoV-2-Specific Antibodies by ELISA and LFIA vs. RT-PCR
3.3. Detection of SARS-coV-2 Antibodies by ELISA vs. LFIA
4. Discussion
Author Contributions
Funding
Acknowledgments
Conflicts of Interest
References
- Niud, Y.; Xu, F. Deciphering the power of isolation in controlling COVID-19 outbreaks. Lancet Glob. Health 2020, 8, e452–e453. [Google Scholar] [CrossRef]
- Li, R.; Pei, S.; Chen, B.; Song, Y.; Zhang, T.; Yang, W.; Shaman, J. Substantial undocumented infection facilitates the rapid dissemination of novel coronavirus (SARS-CoV-2). Science 2020, 368, 489–493. [Google Scholar] [CrossRef] [PubMed]
- Jacofsky, D.; Jacofsky, E.M.; Jacofsky, M. Understanding Antibody Testing for COVID-19. J. Arthroplast. 2020, 35, S74–S81. [Google Scholar] [CrossRef] [PubMed]
- Wölfel, R.; Corman, V.M.; Guggemos, W.; Seilmaier, M.; Zange, S.; Müller, M.A.; Niemeyer, D.; Jones, T.C.; Vollmar, P.; Rothe, C.; et al. Virological assessment of hospitalized patients with COVID-2019. Nat. Cell Biol. 2020, 581, 465–469. [Google Scholar] [CrossRef] [PubMed]
- Algaissi, A.; AlFaleh, M.A.; Hala, S.; Abujamel, T.S.; Alamri, S.S.; Almahboub, S.A.; Alluhaybi, K.A.; Hobani, H.I.; Alsulaiman, R.M.; Alharbi, R.H.; et al. SARS-CoV-2 S1 and N-based serological assays reveal rapid seroconversion and induction of specific antibody response in COVID-19 patients. Sci. Rep. 2020, 10, 1–10. [Google Scholar] [CrossRef] [PubMed]
- Almahboub, S.A.; Algaissi, A.; AlFaleh, M.A.; ElAssouli, M.-Z.; Hashem, A.M. Evaluation of Neutralizing Antibodies Against Highly Pathogenic Coronaviruses: A Detailed Protocol for a Rapid Evaluation of Neutralizing Antibodies Using Vesicular Stomatitis Virus Pseudovirus-Based Assay. Front. Microbiol. 2020, 11. [Google Scholar] [CrossRef] [PubMed]
- Hoffman, T.; Nissen, K.; Krambrich, J.; Rönnberg, B.; Akaberi, D.; Esmaeilzadeh, M.; Salaneck, E.; Lindahl, J.F.; Lundkvist, Å. Evaluation of a COVID-19 IgM and IgG rapid test; an efficient tool for assessment of past exposure to SARS-CoV-2. Infect. Ecol. Epidemiol. 2020, 10, 1754538. [Google Scholar] [CrossRef] [PubMed]





Publisher’s Note: MDPI stays neutral with regard to jurisdictional claims in published maps and institutional affiliations. |
© 2020 by the authors. Licensee MDPI, Basel, Switzerland. This article is an open access article distributed under the terms and conditions of the Creative Commons Attribution (CC BY) license (http://creativecommons.org/licenses/by/4.0/).
Share and Cite
Hashem, A.M.; Alhabbab, R.Y.; Algaissi, A.; Alfaleh, M.A.; Hala, S.; Abujamel, T.S.; ElAssouli, M.-Z.; AL-Somali, A.A.; Alofi, F.S.; Khogeer, A.A.; et al. Performance of Commercially Available Rapid Serological Assays for the Detection of SARS-CoV-2 Antibodies. Pathogens 2020, 9, 1067. https://doi.org/10.3390/pathogens9121067
Hashem AM, Alhabbab RY, Algaissi A, Alfaleh MA, Hala S, Abujamel TS, ElAssouli M-Z, AL-Somali AA, Alofi FS, Khogeer AA, et al. Performance of Commercially Available Rapid Serological Assays for the Detection of SARS-CoV-2 Antibodies. Pathogens. 2020; 9(12):1067. https://doi.org/10.3390/pathogens9121067
Chicago/Turabian StyleHashem, Anwar M., Rowa Y. Alhabbab, Abdullah Algaissi, Mohamed A. Alfaleh, Sharif Hala, Turki S. Abujamel, M-Zaki ElAssouli, Afrah A. AL-Somali, Fadwa S. Alofi, Asim A. Khogeer, and et al. 2020. "Performance of Commercially Available Rapid Serological Assays for the Detection of SARS-CoV-2 Antibodies" Pathogens 9, no. 12: 1067. https://doi.org/10.3390/pathogens9121067
APA StyleHashem, A. M., Alhabbab, R. Y., Algaissi, A., Alfaleh, M. A., Hala, S., Abujamel, T. S., ElAssouli, M.-Z., AL-Somali, A. A., Alofi, F. S., Khogeer, A. A., Alkayyal, A. A., Mahmoud, A. B., Almontashiri, N. A. M., & Pain, A. (2020). Performance of Commercially Available Rapid Serological Assays for the Detection of SARS-CoV-2 Antibodies. Pathogens, 9(12), 1067. https://doi.org/10.3390/pathogens9121067

