Renal Injury in DENV-4 Fatal Cases: Viremia, Immune Response and Cytokine Profile
Abstract
1. Introduction
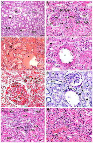
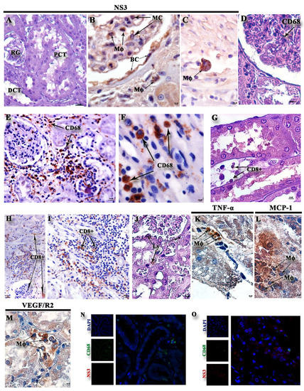
2. Results
3. Discussion
4. Materials and Methods
4.1. Ethical Considerations
4.2. Dengue Fatal Cases
4.3. Dengue Molecular Diagnosis, Histopathological Analysis, and Immunohistochemistry
Author Contributions
Funding
Acknowledgments
Conflicts of Interest
References
- Kuhn, R.J.; Zhang, W.; Rossmann, M.G.; Pletnev, S.V.; Corver, J.; Lenches, E.; Jones, C.T.; Mukhopadhyay, S.; Chipman, P.R.; Strauss, E.G.; et al. Structure of dengue virus: Implications for flavivirus organization, maturation, and fusion. Cell 2002, 108, 717–725. [Google Scholar] [CrossRef]
- Vasilakis, N.; Cardosa, J.; Hanley, K.A.; Holmes, E.C.; Weaver, S.C. Fever from the forest: Prospects for the continued emergence of sylvatic dengue virus and its impact on public health. Nat. Rev. Microbiol. 2011, 9, 532–541. [Google Scholar] [CrossRef]
- Modis, Y.; Ogata, S.; Clements, D.; Harrison, S.C. Structure of the dengue virus envelope protein after membrane fusion. Nature 2004, 427, 313–319. [Google Scholar] [CrossRef]
- Acosta, E.G.; Kumar, A.; Bartenschlager, R. Revisiting dengue virus-host cell interaction: New insights into molecular and cellular virology. Adv. Virus Res. 2014, 88, 1–109. [Google Scholar]
- Cruz-Oliveira, C.; Freire, J.M.; Conceição, T.M.; Higa, L.M.; Castanho, M.A.R.B.; Da Poian, A.T. Receptors and routes of dengue virus entry into the host cells. FEMS Microbiol. Rev. 2015, 39, 155–170. [Google Scholar] [CrossRef] [PubMed]
- Temporão, J.G.; Penna, G.O.; Carmo, E.H.; Coelho, G.E.; Azevedo, R.d.S.S.; Nunes, M.R.T.; Vasconcelos, P.F.d.C. Dengue Virus Serotype 4, Roraima State, Brazil. Emerg. Infect. Dis. 2011, 17, 938–940. [Google Scholar] [CrossRef] [PubMed]
- PAHO. OPAS/OMS Brasil—Ministério da Saúde anuncia redução dos casos de dengue em 2012|OPAS/OMS. Available online: https://www.paho.org/bra.../index.php?option=com_content&view=article&id=3088:ministerio-da-saude-anuncia-reducao-dos-casos-de-dengue-em-2012&Itemid=463 (accessed on 16 July 2018).
- SVS/MS Monitoramento dos casos de dengue e febre de chikungunya até a Semana Epidemiológica (SE) 53 de 2014. Minist. SAÚDE Secr. Vigilância Em Saúde. 2015. Available online: https://portalarquivos2.saude.gov.br/images/pdf/2015/janeiro/19/2015-002---BE-at---SE-53.pdf (accessed on 23 January 2019).
- da Costa Faria, N.R.; Solorzano, V.E.F.; de Souza, L.J.; Nogueira, R.M.R.; de Bruycker-Nogueira, F.; Chouin-Carneiro, T.; Santos Simões, J.B.; da Rocha Queiroz Lima, M.; de Oliveira Pinto, L.M.; Kubelka, C.F.; et al. Analysis of Clinical and Laboratory Alterations Related to Dengue Case Severity: Comparison between Serotypes 2 and 4 in Brazil. Am. J. Trop. Med. Hyg. 2017, 97, 137–145. [Google Scholar] [CrossRef] [PubMed]
- Heringer, M.; Souza, T.M.A.; Lima, M.d.R.Q.; Nunes, P.C.G.; Faria, N.R.d.C.; de Bruycker-Nogueira, F.; Chouin-Carneiro, T.; Nogueira, R.M.R.; Dos Santos, F.B. Dengue type 4 in Rio de Janeiro, Brazil: Case characterization following its introduction in an endemic region. BMC Infect. Dis. 2017, 17, 410. [Google Scholar] [CrossRef] [PubMed]
- Nunes, P.C.G.; de Filippis, A.M.B.; Lima, M.Q.d.R.; Faria, N.R.d.C.; de Bruycker-Nogueira, F.; Santos, J.B.; Heringer, M.; Chouin-Carneiro, T.; Couto-Lima, D.; de Santis Gonçalves, B.; et al. 30 years of dengue fatal cases in Brazil: A laboratorial-based investigation of 1047 cases. BMC Infect. Dis. 2018, 18, 346. [Google Scholar] [CrossRef]
- WHO (World Health Organization). Dengue Guidelines for Diagnosis, Treatment, Prevention and Control; WHO: Geneva, Switzerland, 2009. [Google Scholar]
- Seneviratne, S.L.; Malavige, G.N.; de Silva, H.J. Pathogenesis of liver involvement during dengue viral infections. Trans. R. Soc. Trop. Med. Hyg. 2006, 100, 608–614. [Google Scholar] [CrossRef] [PubMed]
- Kabra, S.K.; Juneja, R.; Jain, Y.; Singhal, T.; Dar, L.; Kothari, S.S.; Broor, S. Myocardial dysfunction in children with dengue haemorrhagic fever. Natl. Med. J. India 1998, 11, 59–61. [Google Scholar] [PubMed]
- Pancharoen, C.; Rungsarannont, A.; Thisyakorn, U. Hepatic dysfunction in dengue patients with various severity. J. Med. Assoc. Thail. Chotmaihet Thangphaet 2002, 85 (Suppl. 1), S298–S301. [Google Scholar]
- Malavige, G.N.; Ranatunga, P.K.; Jayaratne, S.D.; Wijesiriwardana, B.; Seneviratne, S.L.; Karunatilaka, D.H. Dengue viral infections as a cause of encephalopathy. Indian J. Med. Microbiol. 2007, 25, 143–145. [Google Scholar] [CrossRef] [PubMed]
- Vasanwala, F.F.; Puvanendran, R.; Ng, J.M.; Suhail, S.M. Two cases of self-limiting nephropathies secondary to dengue haemorrhagic fever. Singap. Med. J. 2009, 50, e253–e255. [Google Scholar]
- Laoprasopwattana, K.; Pruekprasert, P.; Dissaneewate, P.; Geater, A.; Vachvanichsanong, P. Outcome of dengue hemorrhagic fever-caused acute kidney injury in Thai children. J. Pediatr. 2010, 157, 303–309. [Google Scholar] [CrossRef]
- Póvoa, T.F.; Oliveira, E.R.A.; Basílio-de-Oliveira, C.A.; Nuovo, G.J.; Chagas, V.L.A.; Salomão, N.G.; Mota, E.M.; Paes, M.V. Peripheral Organs of Dengue Fatal Cases Present Strong Pro-Inflammatory Response with Participation of IFN-Gamma-, TNF-Alpha- and RANTES-Producing Cells. PLoS ONE 2016, 11, e0168973. [Google Scholar] [CrossRef]
- Póvoa, T.F.; Alves, A.M.B.; Oliveira, C.A.B.; Nuovo, G.J.; Chagas, V.L.A.; Paes, M.V. The pathology of severe dengue in multiple organs of human fatal cases: Histopathology, ultrastructure and virus replication. PLoS ONE 2014, 9, e83386. [Google Scholar] [CrossRef]
- Jessie, K.; Fong, M.Y.; Devi, S.; Lam, S.K.; Wong, K.T. Localization of dengue virus in naturally infected human tissues, by immunohistochemistry and in situ hybridization. J. Infect. Dis. 2004, 189, 1411–1418. [Google Scholar] [CrossRef]
- Balsitis, S.J.; Coloma, J.; Castro, G.; Alava, A.; Flores, D.; McKerrow, J.H.; Beatty, P.R.; Harris, E. Tropism of dengue virus in mice and humans defined by viral nonstructural protein 3-specific immunostaining. Am. J. Trop. Med. Hyg. 2009, 80, 416–424. [Google Scholar] [CrossRef]
- Basílio-de-Oliveira, C.A.; Aguiar, G.R.; Baldanza, M.S.; Barth, O.M.; Eyer-Silva, W.A.; Paes, M.V. Pathologic study of a fatal case of dengue-3 virus infection in Rio de Janeiro, Brazil. Braz. J. Infect. Dis. Off. Publ. Braz. Soc. Infect. Dis. 2005, 9, 341–347. [Google Scholar] [CrossRef] [PubMed]
- Pagliari, C.; Simões Quaresma, J.A.; Kanashiro-Galo, L.; de Carvalho, L.V.; Vitoria, W.O.; da Silva, W.L.F.; Penny, R.; Vasconcelos, B.C.B.; da Costa Vasconcelos, P.F.; Duarte, M.I.S. Human kidney damage in fatal dengue hemorrhagic fever results of glomeruli injury mainly induced by IL17. J. Clin. Virol. Off. Publ. Pan Am. Soc. Clin. Virol. 2016, 75, 16–20. [Google Scholar] [CrossRef] [PubMed]
- Oliveira, J.F.P.; Burdmann, E.A. Dengue-associated acute kidney injury. Clin. Kidney J. 2015, 8, 681–685. [Google Scholar] [CrossRef] [PubMed]
- Nejat, M.; Pickering, J.W.; Devarajan, P.; Bonventre, J.V.; Edelstein, C.L.; Walker, R.J.; Endre, Z.H. Some biomarkers of acute kidney injury are increased in pre-renal acute injury. Kidney Int. 2012, 81, 1254–1262. [Google Scholar] [CrossRef]
- Kularatne, S.A.M.; Gawarammana, I.B.; Kumarasiri, P.R.V. Epidemiology, clinical features, laboratory investigations and early diagnosis of dengue fever in adults: A descriptive study in Sri Lanka. Southeast Asian J. Trop. Med. Public Health 2005, 36, 686–692. [Google Scholar]
- Kuo, M.-C.; Lu, P.-L.; Chang, J.-M.; Lin, M.-Y.; Tsai, J.-J.; Chen, Y.-H.; Chang, K.; Chen, H.-C.; Hwang, S.-J. Impact of renal failure on the outcome of dengue viral infection. Clin. J. Am. Soc. Nephrol. CJASN 2008, 3, 1350–1356. [Google Scholar] [CrossRef]
- Basu, G.; Chrispal, A.; Boorugu, H.; Gopinath, K.G.; Chandy, S.; Prakash, J.A.J.; Thomas, K.; Abraham, A.M.; John, G.T. Acute kidney injury in tropical acute febrile illness in a tertiary care centre—RIFLE criteria validation. Nephrol. Dial. Transplant. 2011, 26, 524–531. [Google Scholar] [CrossRef]
- Khalil, M.A.M.; Sarwar, S.; Chaudry, M.A.; Maqbool, B.; Khalil, Z.; Tan, J.; Yaqub, S.; Hussain, S.A. Acute kidney injury in dengue virus infection. Clin. Kidney J. 2012, 5, 390–394. [Google Scholar] [CrossRef]
- Mehra, N.; Patel, A.; Abraham, G.; Reddy, Y.N.V.; Reddy, Y.N.V. Acute kidney injury in dengue fever using Acute Kidney Injury Network criteria: Incidence and risk factors. Trop. Doct. 2012, 42, 160–162. [Google Scholar] [CrossRef]
- Mallhi, T.H.; Khan, A.H.; Adnan, A.S.; Sarriff, A.; Khan, Y.H.; Jummaat, F. Incidence, Characteristics and Risk Factors of Acute Kidney Injury among Dengue Patients: A Retrospective Analysis. PLoS ONE 2015, 10, e0138465. [Google Scholar]
- Glassock, R.J. Immune complex-induced glomerular injury in viral diseases: An overview. Kidney Int. Suppl. 1991, 35, S5–S7. [Google Scholar] [PubMed]
- Boonpucknavig, V.; Bhamarapravati, N.; Boonpucknavig, S.; Futrakul, P.; Tanpaichitr, P. Glomerular changes in dengue hemorrhagic fever. Arch. Pathol. Lab. Med. 1976, 100, 206–212. [Google Scholar] [PubMed]
- Wiersinga, W.J.; Scheepstra, C.G.; Kasanardjo, J.S.; de Vries, P.J.; Zaaijer, H.; Geerlings, S.E. Dengue fever-induced hemolytic uremic syndrome. Clin. Infect. Dis. 2006, 43, 800–801. [Google Scholar] [CrossRef] [PubMed]
- Mohsin, N.; Mohamed, E.; Gaber, M.; Obaidani, I.; Budruddin, M.; Al Busaidy, S. Acute tubular necrosis associated with non-hemorrhagic Dengue fever: A case report. Ren. Fail. 2009, 31, 736–739. [Google Scholar] [CrossRef]
- Upadhaya, B.K.; Sharma, A.; Khaira, A.; Dinda, A.K.; Agarwal, S.K.; Tiwari, S.C. Transient IgA nephropathy with acute kidney injury in a patient with dengue fever. Saudi J. Kidney Dis. Transpl. 2010, 21, 521–525. [Google Scholar]
- Repizo, L.P.; Malheiros, D.M.; Yu, L.; Barros, R.T.; Burdmann, E.A. Biopsy proven acute tubular necrosis due to rhabdomyolysis in a dengue fever patient: A case report and review of literature. Rev. Inst. Med. Trop. Sao Paulo 2014, 56, 85–88. [Google Scholar] [CrossRef]
- Lizarraga, K.J.; Florindez, J.A.; Daftarian, P.; Andrews, D.M.; Ortega, L.M.; Mendoza, J.M.; Contreras, G.N.; Nayer, A. Anti-GBM disease and ANCA during dengue infection. Clin. Nephrol. 2015, 83, 104–110. [Google Scholar] [CrossRef]
- Huang, S.-Y.; Lee, I.-K.; Liu, J.-W.; Kung, C.-T.; Wang, L. Clinical features of and risk factors for rhabdomyolysis among adult patients with dengue virus infection. Am. J. Trop. Med. Hyg. 2015, 92, 75–81. [Google Scholar] [CrossRef]
- Hunley, T.E.; Ma, L.-J.; Kon, V. Scope and mechanisms of obesity-related renal disease. Curr. Opin. Nephrol. Hypertens. 2010, 19, 227–234. [Google Scholar] [CrossRef]
- Li, H.; Clum, S.; You, S.; Ebner, K.E.; Padmanabhan, R. The serine protease and RNA-stimulated nucleoside triphosphatase and RNA helicase functional domains of dengue virus type 2 NS3 converge within a region of 20 amino acids. J. Virol. 1999, 73, 3108–3116. [Google Scholar]
- Olson, J.L.; de Urdaneta, A.G.; Heptinstall, R.H. Glomerular hyalinosis and its relation to hyperfiltration. Lab. Investig. J. Tech. Methods Pathol. 1985, 52, 387–398. [Google Scholar]
- Chapman, J. Scoring arteriolar hyalinosis in renal allograft biopsies: So important and yet so tricky. Nat. Clin. Pract. Nephrol. 2006, 2, 622–623. [Google Scholar] [CrossRef] [PubMed]
- Fink, J.; Gu, F.; Vasudevan, S.G. Role of T cells, cytokines and antibody in dengue fever and dengue haemorrhagic fever. Rev. Med. Virol. 2006, 16, 263–275. [Google Scholar] [CrossRef] [PubMed]
- Guzmán, M.G.; Alvarez, M.; Rodríguez, R.; Rosario, D.; Vázquez, S.; Vald s, L.; Cabrera, M.V.; Kourí, G. Fatal dengue hemorrhagic fever in Cuba, 1997. Int. J. Infect. Dis. 1999, 3, 130–135. [Google Scholar] [CrossRef]
- Wiwanitkit, V. Acute renal failure in the fatal cases of dengue hemorrhagic fever, a summary in Thai death cases. Ren. Fail. 2005, 27, 647. [Google Scholar] [CrossRef]
- Hommel, D.; Talarmin, A.; Reynes, J.M.; Hulin, A. Acute renal failure associated with dengue fever in French Guiana. Nephron 1999, 83, 183. [Google Scholar] [CrossRef]
- Lanciotti, R.S.; Calisher, C.H.; Gubler, D.J.; Chang, G.J.; Vorndam, A.V. Rapid detection and typing of dengue viruses from clinical samples by using reverse transcriptase-polymerase chain reaction. J. Clin. Microbiol. 1992, 30, 545–551. [Google Scholar]
- Johnson, B.W.; Russell, B.J.; Lanciotti, R.S. Serotype-specific detection of dengue viruses in a fourplex real-time reverse transcriptase PCR assay. J. Clin. Microbiol. 2005, 43, 4977–4983. [Google Scholar] [CrossRef]
- R Core Team. R: A Language and Environment for Statistical Computing; R Foundation for Statistical Computing: Vienna, Austria, 2011; Available online: ftp://ftp.uvigo.es/CRAN/web/packages/dplR/vignettes/intro-dplR.pdf (accessed on 14 October 2019 ).



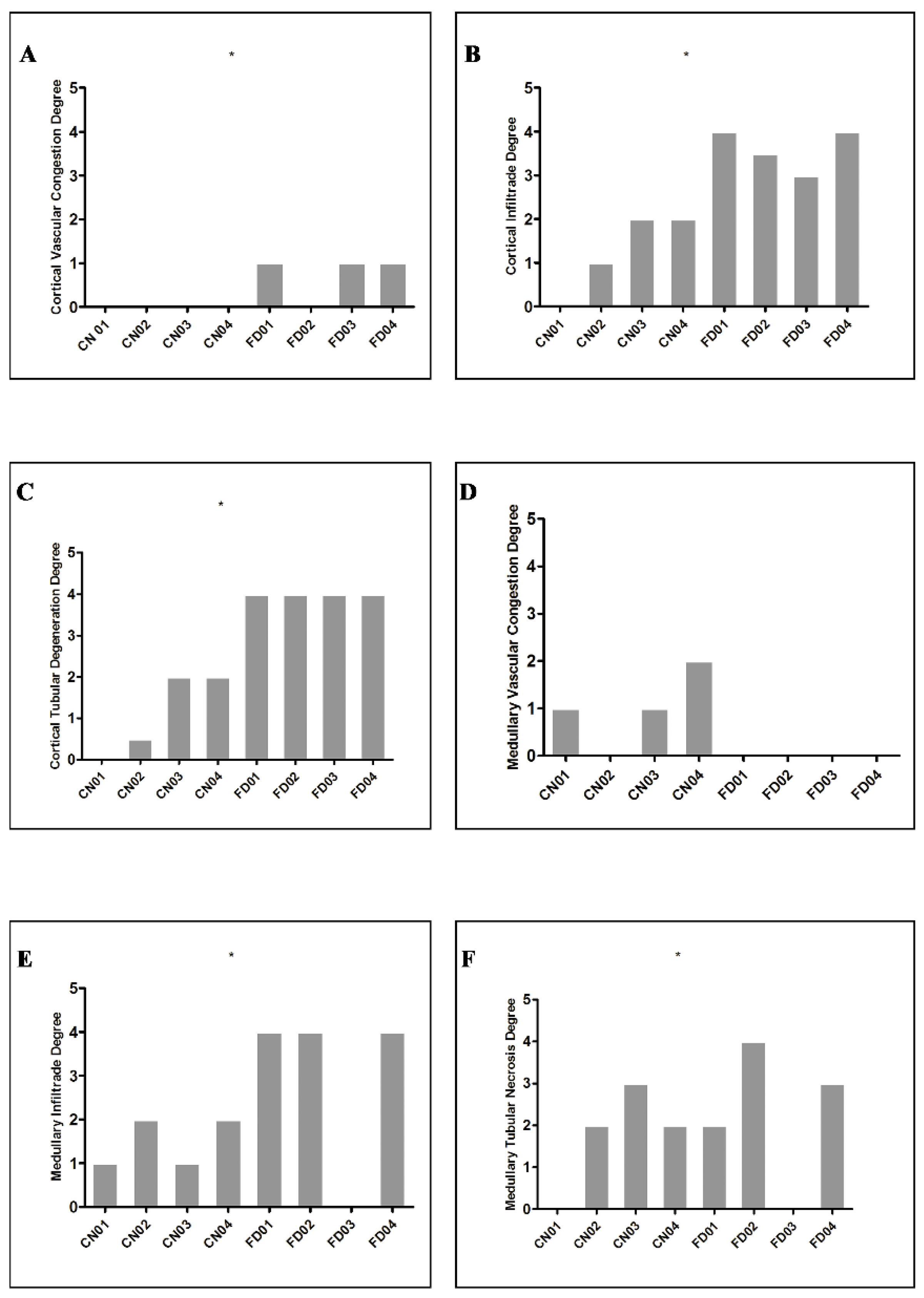
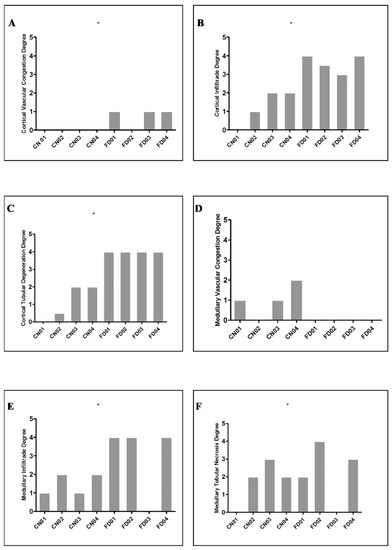
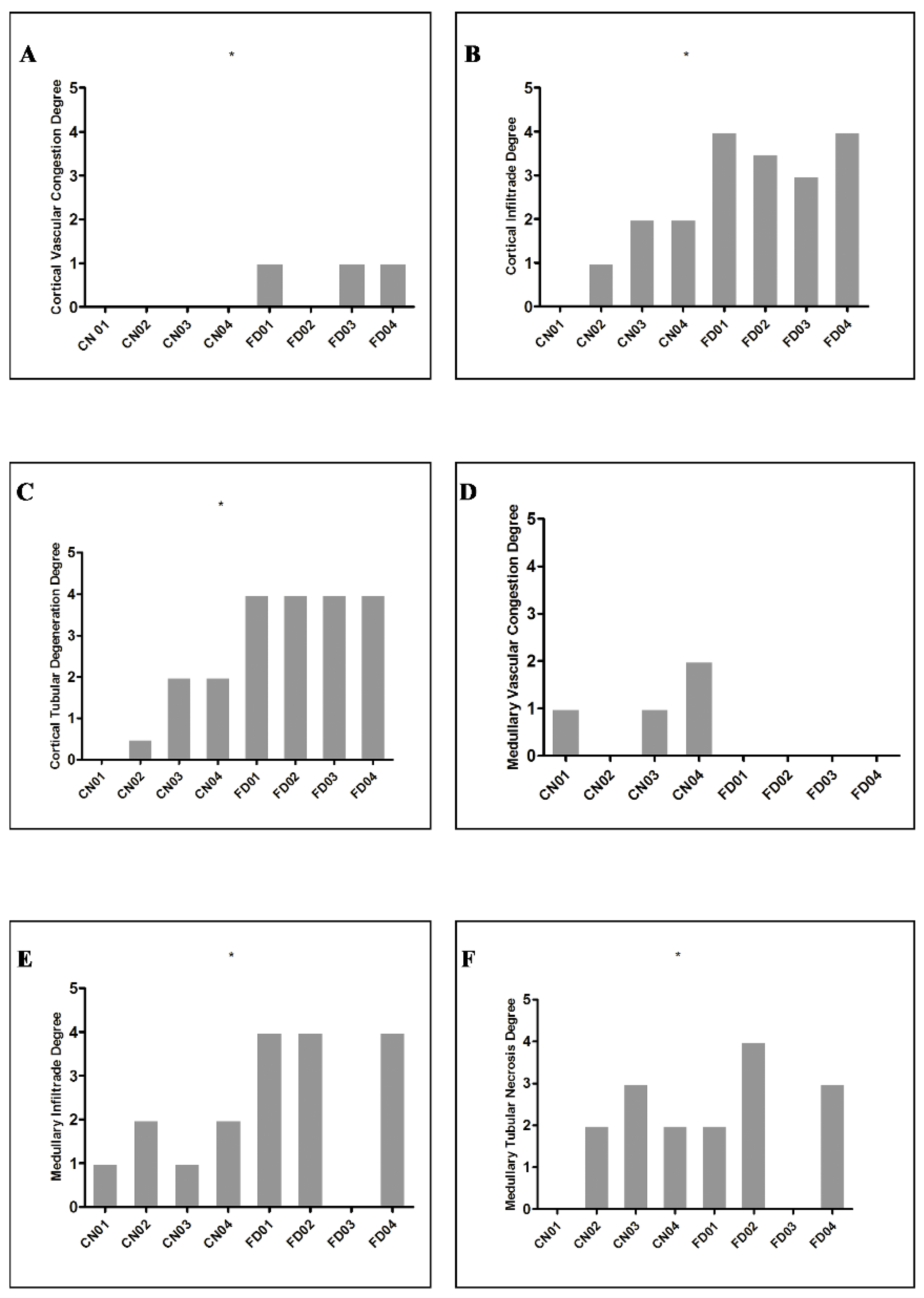
| Region | Injury | Control | Cases | p-Value |
|---|---|---|---|---|
| Cortical | Vascular congestion | 0(0–0) | 1(0–1) | 0.0040 |
| Degeneration | 1(0–2) | 4(4–4) | <0.0001 | |
| Infiltrates | 2(0–2) | 3(2.75–4) | <0.0001 | |
| Medullary | Vascular congestion | 1(0–2) | 0(0–1) | 0.1280 |
| Infiltrates | 2(1–2) | 4(3–4) | <0.0001 | |
| Necrosis | 2(0–3) | 4(2–4) | 0.0008 |
© 2019 by the authors. Licensee MDPI, Basel, Switzerland. This article is an open access article distributed under the terms and conditions of the Creative Commons Attribution (CC BY) license (http://creativecommons.org/licenses/by/4.0/).
Share and Cite
Nunes, P.C.G.; Rioja, L.d.S.; Coelho, J.M.C.d.O.; Salomão, N.G.; Rabelo, K.; José, C.C.; Rodrigues, F.d.C.d.C.; de Azeredo, E.L.; Basílio-de-Oliveira, C.A.; Basílio-de-Oliveira, R.; et al. Renal Injury in DENV-4 Fatal Cases: Viremia, Immune Response and Cytokine Profile. Pathogens 2019, 8, 223. https://doi.org/10.3390/pathogens8040223
Nunes PCG, Rioja LdS, Coelho JMCdO, Salomão NG, Rabelo K, José CC, Rodrigues FdCdC, de Azeredo EL, Basílio-de-Oliveira CA, Basílio-de-Oliveira R, et al. Renal Injury in DENV-4 Fatal Cases: Viremia, Immune Response and Cytokine Profile. Pathogens. 2019; 8(4):223. https://doi.org/10.3390/pathogens8040223
Chicago/Turabian StyleNunes, Priscila Conrado Guerra, Lilimar da Silveira Rioja, Janice Mery Chicarino de Oliveira Coelho, Natália Gedeão Salomão, Kíssila Rabelo, Carollina Ceia José, Francisco das Chagas de Carvalho Rodrigues, Elzinandes Leal de Azeredo, Carlos Alberto Basílio-de-Oliveira, Rodrigo Basílio-de-Oliveira, and et al. 2019. "Renal Injury in DENV-4 Fatal Cases: Viremia, Immune Response and Cytokine Profile" Pathogens 8, no. 4: 223. https://doi.org/10.3390/pathogens8040223
APA StyleNunes, P. C. G., Rioja, L. d. S., Coelho, J. M. C. d. O., Salomão, N. G., Rabelo, K., José, C. C., Rodrigues, F. d. C. d. C., de Azeredo, E. L., Basílio-de-Oliveira, C. A., Basílio-de-Oliveira, R., Nogueira, R. M. R., Sánchez-Arcila, J. C., dos Santos, F. B., & Paes, M. V. (2019). Renal Injury in DENV-4 Fatal Cases: Viremia, Immune Response and Cytokine Profile. Pathogens, 8(4), 223. https://doi.org/10.3390/pathogens8040223

