Feed Intake and Weight Changes in Bos indicus-Bos taurus Crossbred Steers Following Bovine Viral Diarrhea Virus Type 1b Challenge Under Production Conditions
Abstract
:1. Introduction
2. Materials and Methods
2.1. Animal Procedures
2.2. Vaccination and Challenge Protocols
2.3. Sample and Data Collection
2.4. Statistical Analyses
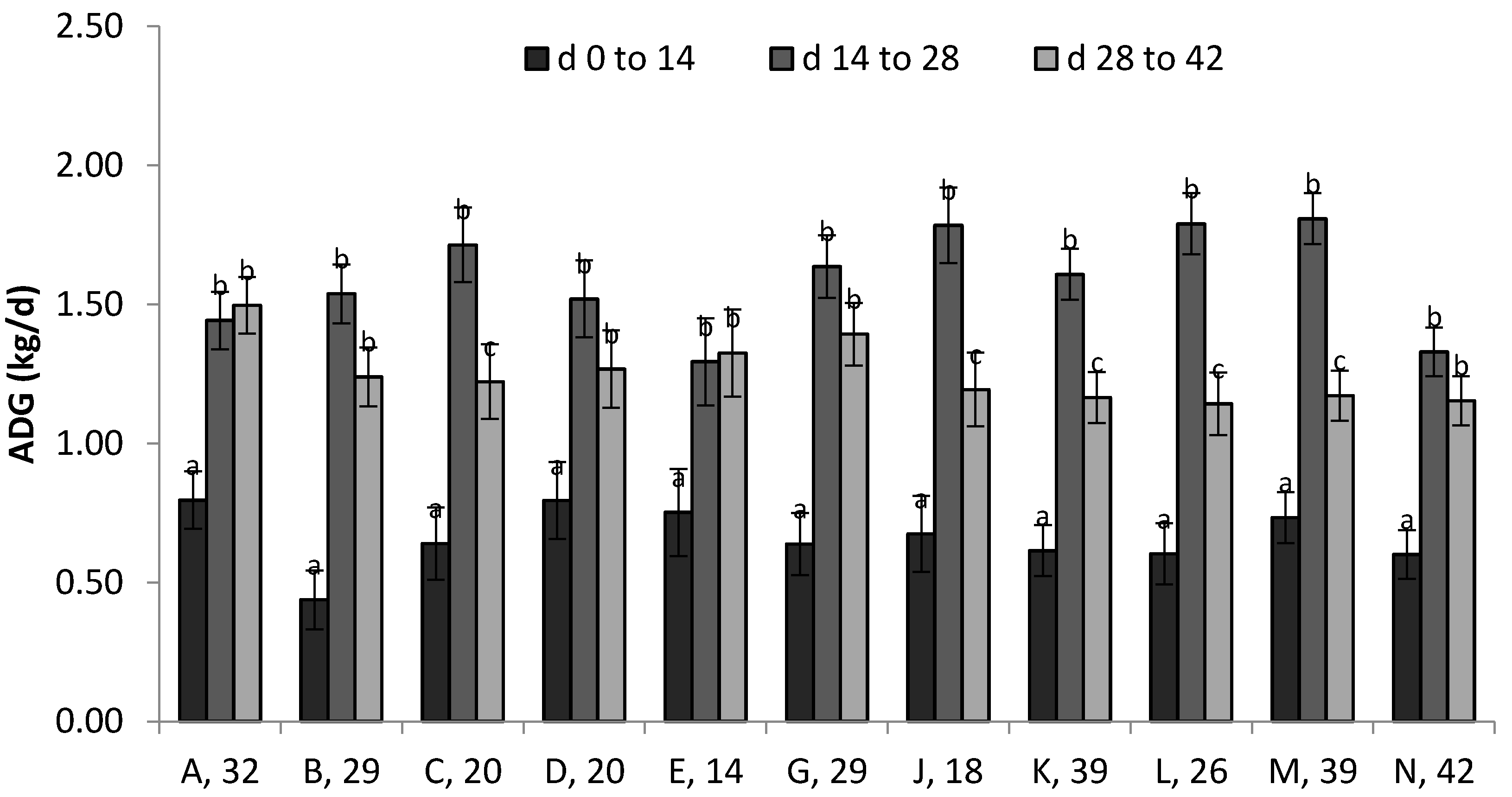
3. Results and Discussion
4. Conclusions
Acknowledgments
Author Contributions
Conflicts of Interest
References
- Griffin, D. Economic impact associated with respiratory disease in beef cattle. Vet. Clin. N. Am. Food Anim. Pract. 1997, 13, 367–377. [Google Scholar] [CrossRef]
- Chirase, N.K.; Greene, L.W. Dietary zinc and manganese sources administered from the fetal stage onwards affect immune response of transit stressed and virus infected offspring steer calves. Anim. Feed Sci. Technol. 2001, 93, 217–228. [Google Scholar] [CrossRef]
- National Animal Health Monitoring System (NAHMS). Part I: Types and Costs of Respiratory Disease Treatments in U.S. Feedlots. 2013. Available online: https://www.aphis.usda.gov/animal_health/nahms/feedlot/downloads/feedlot2011/Feed11_dr_PartI.pdf (accessed on 16 August 2014).
- Duff, G.C.; Galyean, M.L. Board-Invited Review: Recent advances in management of highly stressed, newly received feedlot cattle. J. Anim. Sci. 2007, 85, 823–840. [Google Scholar] [CrossRef] [PubMed]
- Gardner, B.A.; Dolezal, H.G.; Bryant, L.K.; Owens, F.N.; Smith, R.A. Health of finishing steers: Effects on performance, carcass traits, and meat tenderness. J. Anim. Sci. 1999, 77, 3168–3175. [Google Scholar] [CrossRef] [PubMed]
- Roeber, D.L.; Speer, N.C.; Gentry, J.G.; Tatum, J.D.; Smith, C.D.; Whittier, J.C.; Jones, G.F.; Belk, K.E.; Smith, G.C. Feeder cattle health management: Effects on morbidity rates, feedlot performance, carcass characteristics, and beef palatability. Prof. Anim. Sci. 2001, 17, 39–44. [Google Scholar] [CrossRef]
- McNeill, J.W.; Paschal, J.C.; McNeill, M.S.; Morgan, W.W. Effect of morbidity on performance and profitability of feedlot steers. J. Anim. Sci. 1996, 74 (Suppl. 1), 135. [Google Scholar]
- Garcia, M.D.; Thallman, R.M.; Wheeler, T.L.; Shackelford, S.D.; Casas, E. Effect of bovine respiratory disease and overall pathogenic disease incidence on carcass traits. J. Anim. Sci. 2010, 88, 491–496. [Google Scholar] [CrossRef] [PubMed]
- Schneider, M.J.; Tait, R.G., Jr.; Ruble, M.V.; Busby, W.D.; Reecy, J.M. Evaluation of fixed sources of variation and estimation of genetic parameters for incidence of bovine respiratory disease in preweaned calves and feedlot cattle. J. Anim. Sci. 2010, 88, 1220–1228. [Google Scholar] [CrossRef] [PubMed]
- Fulton, R.W.; Ridpath, J.F.; Confer, A.W.; Saliki, J.T.; Burge, L.J.; Payton, M.E. Bovine viral diarrhea virus antigenic diversity: Impact on disease and vaccination programmes. Biologicals 2003, 31, 89–95. [Google Scholar] [CrossRef]
- Peterhans, E.; Jungi, T.W.; Schweizer, M. BVD and innate immunity. Biologicals 2003, 31, 107–111. [Google Scholar] [CrossRef]
- Ridpath, J.F. Practical significance of heterogeneity among BVDV strains: Impact of biotype and genotype on U.S. control programs. Prev. Vet. Med. 2005, 72, 17–30. [Google Scholar] [CrossRef] [PubMed]
- Brodersen, B.W. Bovine viral diarrhea virus infections: Manifestations of infection and recent advances in understanding pathogenesis and control. Vet. Pathol. 2014, 51, 453–464. [Google Scholar] [CrossRef] [PubMed]
- Baker, J.C. The clinical manifestations of bovine viral diarrhea infection. Vet. Clin. N. Am. Food Anim. Pract. 1995, 11, 425–445. [Google Scholar] [CrossRef]
- Fulton, R.W.; Ridpath, J.F.; Saliki, J.T.; Briggs, R.E.; Confer, A.W.; Burge, L.J.; Purdy, C.W.; Loan, R.W.; Duff, F.C.; Payton, M.E. Bovine viral diarrhea virus (BVDV) 1b: Predominant BVDV subtype in calves with respiratory disease. Can. J. Vet. Res. 2002, 66, 181–190. [Google Scholar] [PubMed]
- Muggli-Cockett, N.E.; Cundiff, L.V.; Gregory, K.E. Genetic analyses of bovine respiratory disease in beef calves during the first year of life. J. Anim. Sci. 1992, 70, 2013–2019. [Google Scholar] [CrossRef] [PubMed]
- Snowder, G.D.; Van Vleck, L.D.; Cundiff, L.V.; Bennett, G.L. Bovine respiratory disease in feedlot cattle: Environmental, genetic, and economic factors. J. Anim. Sci. 2006, 84, 1999–2008. [Google Scholar] [CrossRef] [PubMed]
- Neibergs, H.; Zanella, R.; Casas, E.; Snowder, G.D.; Wenz, J.; Neibergs, J.S.; Moore, D. Loci on Bos taurus chromosome 2 and Bos taurus chromosome 26 are linked with bovine respiratory disease and associated with persistent infection of bovine viral diarrhea virus. J. Anim. Sci. 2011, 89, 907–915. [Google Scholar] [CrossRef] [PubMed]
- Neibergs, H.L.; Seabury, C.M.; Wojtowicz, A.J.; Wang, Z.; Scraggs, E.; Kiser, J.N.; Neupane, M.; Womack, J.E.; Van Eenennaam, A.; Hagevoort, G.R.; et al. Susceptibility loci revealed for bovine respiratory disease complex in pre-weaned Holstein calves. BMC Genom. 2014, 15, 1164. [Google Scholar] [CrossRef] [PubMed]
- Tizioto, P.C.; Kim, J.W.; Seabury, C.M.; Schnabel, R.D.; Gershwin, L.J.; Van Eenennaam, A.L.; Toaff-Rosenstein, R.; Neibergs, H.L.; Taylor, J.F.; The Bovine Respiratory Disease Complex Coordinated Agricultural Project Research Team. Immunological response to single pathogen challenge with agents of the bovine respiratory disease complex: An RNA-sequence analysis of the bronchial lymph node transcriptome. PLoS ONE 2015, 10, e0131459. [Google Scholar] [CrossRef]
- Lipkin, E.; Strillacci, M.G.; Eitam, H.; Yishay, M.; Schiavini, F.; Soller, M.; Bagnato, A.; Shabtay, A. The use of Kosher phenotyping for mapping QTL affecting susceptibility to Bovine Respiratory Disease. PLoS ONE 2016, 11, e0153423. [Google Scholar] [CrossRef] [PubMed]
- Riley, D.G.; Gill, C.A.; Herring, A.D.; Riggs, P.K.; Sawyer, J.E.; Lunt, D.K.; Sanders, J.O. Genetic evaluation of aspects of temperament in Nellore-Angus calves. J. Anim. Sci. 2014, 92, 3223–3230. [Google Scholar] [CrossRef] [PubMed]
- Ridpath, J.F.; Neil, J.D.; Peterhans, E. Impact of variation in acute virulence of BVD1 strains on design of better vaccine efficacy challenge models. Vaccine 2007, 47, 8058–8066. [Google Scholar] [CrossRef] [PubMed]
- Blanchard, P.C.; Ridpath, J.F.; Walker, J.B.; Hietala, S.K. An outbreak of late-term abortions, premature births, and congenital deformities associated with a bovine viral diarrhea virus 1 subtype b that induces thrombocytopenia. J. Vet. Diagn. Investig. 2010, 22, 128–131. [Google Scholar] [CrossRef] [PubMed]
- Downey-Slinker, E.D.; Ridpath, J.F.; Sawyer, J.E.; Skow, L.C.; Herring, A.D. Antibody titers to vaccination are not predictive of level of protection against a BVDV type 1b challenge in Bos indicus-Bos taurus steers. Vaccine 2016, 34, 5053–5059. [Google Scholar] [CrossRef] [PubMed]
- Hutcheson, D.P.; Cole, N.A. Management of transit-stress syndrome in cattle: Nutritional and environmental effects. J. Anim. Sci. 1986, 62, 555–560. [Google Scholar] [CrossRef]
- Wittum, T.E.; Woollen, N.E.; Perino, L.J.; Littledike, E.T. Relationships among treatment for respiratory tract disease, pulmonary lesions evident at slaughter, and rate of weight gain in feedlot cattle. J. Am. Vet. Med. Assoc. 1996, 209, 814–818. [Google Scholar] [PubMed]
- Bryant, L.K.; Perino, L.J.; Griffin, D.; Doster, A.R.; Wittum, T.E. A method for recording pulmonary lesions of beef calves at slaughter and the association of lesions with average daily gain. Bov. Pract. 1999, 33, 163–173. [Google Scholar]
- Thompson, P.N.; Stone, A.; Schultheiss, W.A. Use of treatment records and lung lesion scoring to estimate the effect of respiratory disease on growth during early and late finishing periods in South African feedlot cattle. J. Anim. Sci. 2006, 84, 488–498. [Google Scholar] [CrossRef] [PubMed]
- Schunicht, O.C.; Booker, C.W.; Jim, G.K.; Guichon, P.T.; Wildman, B.K.; Hill, B.W. Comparison of a multivalent viral vaccine program versus a univalent viral vaccine program on animal health, feedlot performance, and carcass characteristics of feedlot calves. Can. Vet. J. 2003, 44, 43–50. [Google Scholar] [PubMed]
- Booker, C.W.; Abutarbush, S.M.; Morley, P.S.; Guichon, P.T.; Wildman, B.K.; Jim, G.K.; Schunicht, O.C.; Pittman, T.J.; Perrett, T.; Ellis, J.A.; et al. The effect of bovine viral diarrhea virus infections on health and performance of feedlot cattle. Can. Vet. J. 2008, 49, 253–260. [Google Scholar] [PubMed]
- Snowder, G.D.; Van Vleck, L.D.; Cundiff, L.V.; Bennett, G.L. Influence of breed, heterozygosity, and disease incidence on estimates of variance components of respiratory disease in preweaned beef calves. J. Anim. Sci. 2005, 83, 1247–1261. [Google Scholar] [CrossRef] [PubMed]
- Wilson, S.H. Why are meaningful field trials difficult to achieve for bovine respiratory disease vaccines? Can. Vet. J. 1989, 30, 299–302. [Google Scholar] [PubMed]
- Noffsinger, T.; Locatelli, L. Low-stress cattle handling: An overlooked dimension of management. Proc. Meet. Acad. Vet. Consult. 2004, 32, 65–78. [Google Scholar]
- Neibergs, H.L.; Neibergs, J.S.; Wojtowicz, A.J.; Taylor, J.F.; Seabury, C.M.; Womack, J.E. Economic benefits of using genetic selection to reduce the prevalence of Bovine Respiratory Disease Complex in beef feedlot cattle. In Proceedings of the Beef Improvement Federation Annual Meeting and Convention, Lincoln, NE, USA, 18–21 June 2014; pp. 82–86. Available online: https://beefimprovement.org/wp-content/uploads/2015/08/2014-BIF-Proceedings.pdf (accessed on 17 August 2016).
- Loneragan, G.H.; Dargatz, D.A.; Morley, P.S.; Smith, M.A. Trends in mortality ratios among cattle in US feedlots. J. Am. Vet. Med. Assoc. 2001, 219, 1122–1127. [Google Scholar] [CrossRef] [PubMed]
- Babcock, A.; Jones, R.; Langemeier, M. Examining Death Loss in Kansas Feedlots. Beef Cattle Research—2006; Report of Prog. 959; Kansas State University: Manhattan, KS, USA, 2006; pp. 46–52. Available online: http://www.oznet.ksu.edu/library/lvstk2/srp959.pdf (accessed on 23 June 2010).
- Larson, B.L. A new look at reducing infectious disease in feedlot cattle. In Proceedings of the 2005 Plains Nutrition Council Spring Conference, San Antonio, TX, USA, 14–15 April 2005; pp. 9–18. Available online: http://agrilife.org/amarillo/files/2010/11/2005PNC-Proceedings1.pdf (accessed on 17 August 2016).
- Keele, J.W.; Kuehn, L.A.; McDaneld, T.G.; Tait, R.G., Jr.; Jones, S.A.; Smith, T.P.L.; Shackelford, S.D.; King, D.A.; Wheeler, T.L.; Lindholm-Perry, A.K.; et al. Genome wide association study of lung lesions in cattle using sample pooling. J. Anim. Sci. 2015, 93, 956–964. [Google Scholar] [CrossRef] [PubMed]
- Buhman, M.J.; Perino, L.J.; Gaylean, M.L.; Wittum, T.E.; Montgomery, T.H.; Swingle, R.S. Association between changes in eating and drinking behaviors and respiratory tract disease in newly arrived calves at a feedlot. Am. J. Vet. Res. 2000, 61, 1163–1168. [Google Scholar] [CrossRef] [PubMed]
- Sowell, B.F.; Branine, M.E.; Bowman, J.G.P.; Hubbert, M.E.; Sherwood, H.E.; Quimby, W. Feeding and watering behavior of healthy and morbid steers in a commercial feedlot. J. Anim. Sci. 1999, 77, 1105–1112. [Google Scholar] [CrossRef] [PubMed]
- Wolfger, B.; Schwartzkopf-Genswein, K.S.; Barkema, H.W.; Pajor, E.A.; Levy, M.; Orsel, K. Feeding behavior as an early predictor of bovine respiratory disease in North American feedlot systems. J. Anim. Sci. 2015, 93, 377–385. [Google Scholar] [CrossRef] [PubMed]







| Vaccine Strategy 1 | Year | ||||
|---|---|---|---|---|---|
| 2010 | 2011 | 2012 | 2013 | Totals | |
| Killed | 28 | 34 | 30 | 28 | 120 |
| Modified live | 25 | 35 | 33 | 32 | 125 |
| Non-vaccinated | 25 | 35 | 33 | 28 | 121 |
| Totals | 78 | 104 | 96 | 88 | 366 |
| Vaccine | Trial Day | ||||||
|---|---|---|---|---|---|---|---|
| 0 | 3 | 7 | 10 | 14 | 28 | 42 | |
| Killed | 39.8 | 39.9 | 39.9 | 39.6 | 39.7 | 39.7 | 39.8 |
| Modified live | 39.8 | 39.6 | 39.7 | 39.6 | 39.6 | 39.8 | 39.8 |
| Non-vaccinated | 39.8 | 40.1 | 39.9 | 39.6 | 39.7 | 39.8 | 39.8 |
| Variable 1 | Mean | SD | CV | Minimum | Maximum |
|---|---|---|---|---|---|
| Weight, kg | 343.2 | 51.03 | 14.9 | 188.7 | 526.1 |
| ADG d 0 to 14, kg | 0.67 | 0.692 | 103.7 | −1.88 | 3.04 |
| ADG d 14 to 28, kg | 1.57 | 0.603 | 38.4 | −1.62 | 3.24 |
| ADG d 28 to 42, kg | 1.25 | 0.491 | 39.2 | −0.65 | 3.04 |
| ADG d 0 to 42, kg | 1.17 | 0.326 | 28.0 | −0.43 | 1.90 |
| Daily feed intake, kg | 10.1 | 2.70 | 26.7 | 0.0 | 21.0 |
| Intake d 0 to 14, kg | 127.8 | 28.10 | 22.0 | 30.3 | 215.0 |
| Intake d 14 to 28, kg | 140.5 | 28.46 | 20.3 | 23.0 | 230.9 |
| Intake d 28 to 42, kg | 149.3 | 28.48 | 19.1 | 71.3 | 243.7 |
| Intake d 0 to 42, kg | 418.0 | 79.59 | 19.0 | 154.9 | 689.6 |
| G:F d 0 to 14 | 0.070 | 0.0826 | 118.2 | −0.321 | 0.377 |
| G:F d 14 to 28 | 0.157 | 0.0880 | 56.0 | −0.986 | 0.495 |
| G:F d 28 to 42 | 0.119 | 0.0498 | 41.7 | −0.121 | 0.359 |
| G:F d 0 to 42 | 0.118 | 0.0351 | 29.7 | −0.071 | 0.296 |
| Rectal temperature (°C) | 39.8 | 0.52 | 1.3 | 37.8 | 42.3 |
© 2017 by the authors. Licensee MDPI, Basel, Switzerland. This article is an open access article distributed under the terms and conditions of the Creative Commons Attribution (CC BY) license (http://creativecommons.org/licenses/by/4.0/).
Share and Cite
Runyan, C.A.; Downey-Slinker, E.D.; Ridpath, J.F.; Hairgrove, T.B.; Sawyer, J.E.; Herring, A.D. Feed Intake and Weight Changes in Bos indicus-Bos taurus Crossbred Steers Following Bovine Viral Diarrhea Virus Type 1b Challenge Under Production Conditions. Pathogens 2017, 6, 66. https://doi.org/10.3390/pathogens6040066
Runyan CA, Downey-Slinker ED, Ridpath JF, Hairgrove TB, Sawyer JE, Herring AD. Feed Intake and Weight Changes in Bos indicus-Bos taurus Crossbred Steers Following Bovine Viral Diarrhea Virus Type 1b Challenge Under Production Conditions. Pathogens. 2017; 6(4):66. https://doi.org/10.3390/pathogens6040066
Chicago/Turabian StyleRunyan, Chase A., Erika D. Downey-Slinker, Julia F. Ridpath, Thomas B. Hairgrove, Jason E. Sawyer, and Andy D. Herring. 2017. "Feed Intake and Weight Changes in Bos indicus-Bos taurus Crossbred Steers Following Bovine Viral Diarrhea Virus Type 1b Challenge Under Production Conditions" Pathogens 6, no. 4: 66. https://doi.org/10.3390/pathogens6040066
APA StyleRunyan, C. A., Downey-Slinker, E. D., Ridpath, J. F., Hairgrove, T. B., Sawyer, J. E., & Herring, A. D. (2017). Feed Intake and Weight Changes in Bos indicus-Bos taurus Crossbred Steers Following Bovine Viral Diarrhea Virus Type 1b Challenge Under Production Conditions. Pathogens, 6(4), 66. https://doi.org/10.3390/pathogens6040066

