Surface Carrier Testing of Hospital Antiseptics Against Candida parapsilosis from Healthcare Workers’ Hands
Abstract
1. Introduction
2. Materials and Methods
2.1. The Antiseptics
2.2. Yeasts
2.3. Determination of the Fungicidal Activity of Antiseptics Using the Disk-Based Quantitative Carrier Test
2.4. Determination of MIC and the Combinatory Effect Between Antiseptics and Phytochemicals
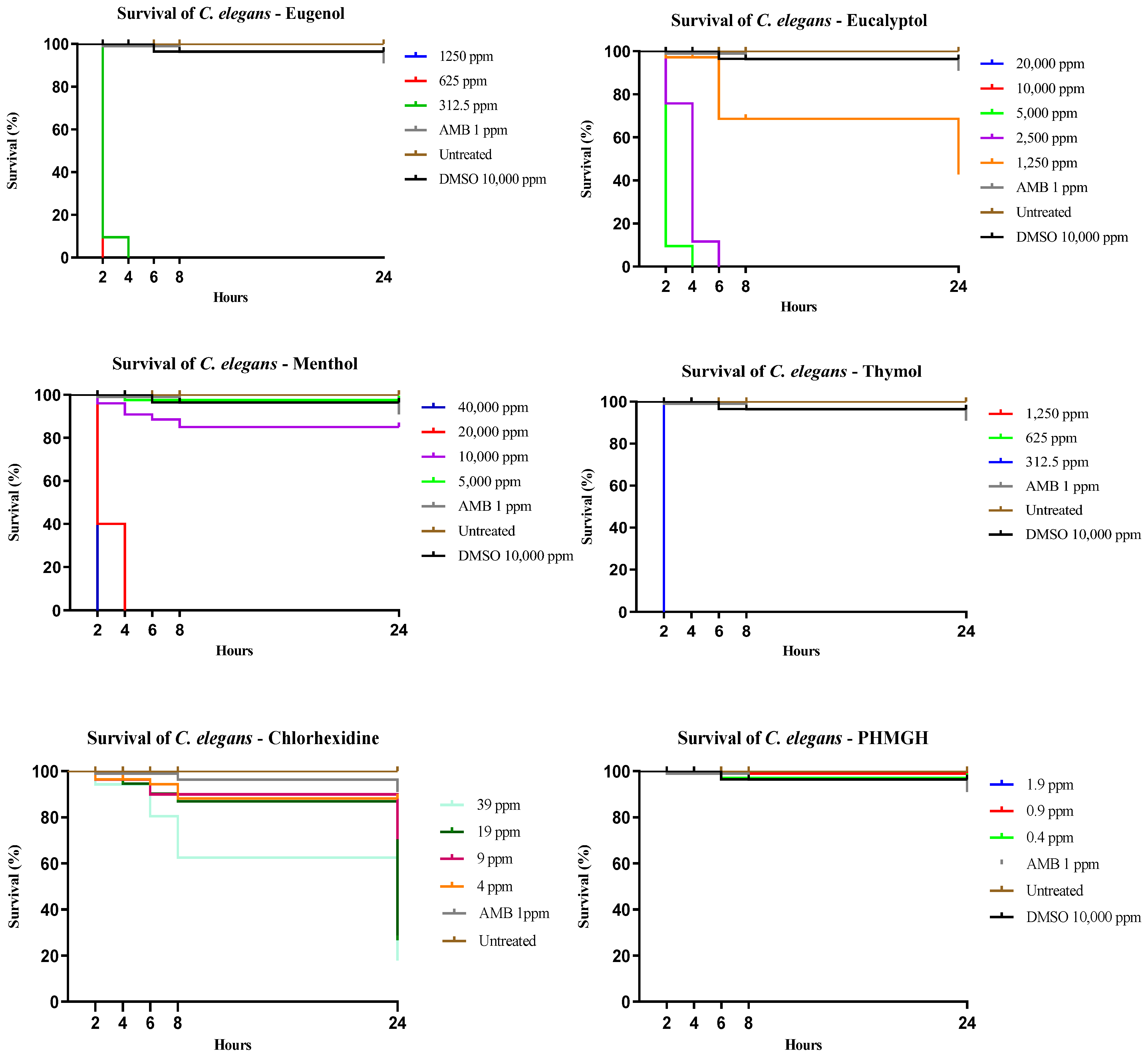
2.5. Toxicity Assessment in Caenorhabditis elegans
2.6. Statistical Methods
3. Results
3.1. Logarithmic (log10) Reduction in C. parapsilosis Cells After Exposure to Different Antiseptics Using a Disk-Based Carrier Model
3.2. Antifungal Activity and Interaction Profiles of CHG and PHMGH Combined with Phytochemicals
3.3. Survival and Concentration-Dependent Toxicity of Tested Compounds in Caenorhabditis elegans
4. Discussion
5. Conclusions
Author Contributions
Funding
Institutional Review Board Statement
Informed Consent Statement
Data Availability Statement
Acknowledgments
Conflicts of Interest
Abbreviations
| MIC | Minimum inhibitory concentration |
| CHG | Alcoholic chlorhexidine 0.5% |
| PHMGH | Polyhexamethylene guanidine hydrochloride |
| EtOH | Ethanol 70% |
| H2O2 | Hydrogen peroxide 3% |
| IPA | Isopropyl alcohol 70% |
| PCMX | Chloroxylenol |
| PVP-I | Povidone–iodine |
| TCS | Triclosan 0.5% |
| RAPD | Random Amplified Polymorphic DNA |
| SADH | Secondary alcohol dehydrogenase |
| MALDI | Matrix-assisted laser desorption/ionization |
| TOF | Time-of-flight |
| ATCC | American type culture collection |
| YPD | Yeast peptone dextrose |
| CFU | Colony-forming units |
| RF | Logarithmic reduction factor |
| FICI | Fractional inhibitory concentration index |
| NGM | Nematode growth medium |
| DMSO | Dimethylsulfoxide |
| ANOVA | Analysis of variance |
| ppm | Parts per million |
References
- Thomaz, D.Y.; de Almeida, J.N., Jr.; Lima, G.M.E.; Nunes, M.O.; Camargo, C.H.; Grenfell, R.C.; Benard, G.; Del Negro, G.M. An azole-resistant Candida parapsilosis outbreak: Clonal persistence in the intensive care unit of a Brazilian teaching hospital. Front. Microbiol. 2018, 9, 2997. [Google Scholar] [CrossRef] [PubMed]
- Riera, F.O.; Caeiro, J.P.; Angiolini, S.C.; Vigezzi, C.; Rodriguez, E.; Icely, P.A.; Sotomayor, C.E. Invasive candidiasis: Update and current challenges in the management of this mycosis in South America. Antibiotics 2022, 11, 877. [Google Scholar] [CrossRef] [PubMed]
- Daneshnia, F.; de Almeida, J.N., Jr.; Ilkit, M.; Lombardi, L.; Perry, A.M.; Gao, M.; Nobile, C.J.; Egger, M.; Perlin, D.S.; Zhai, B.; et al. Worldwide emergence of fluconazole-resistant Candida parapsilosis: Current framework and future research roadmap. Lancet Microbe 2023, 4, e470–e480. [Google Scholar] [CrossRef] [PubMed]
- Tavanti, A.; Davidson, A.D.; Gow, N.A.R.; Maiden, M.C.J.; Odds, F.C. Candida orthopsilosis and Candida metapsilosis spp. nov. to replace Candida parapsilosis groups II and III. J. Clin. Microbiol. 2005, 43, 284–292. [Google Scholar] [CrossRef]
- Pinhati, H.M.; Casulari, L.A.; Souza, A.C.; Siqueira, R.A.; Damasceno, C.M.; Colombo, A.L. Outbreak of candidemia caused by fluconazole-resistant Candida parapsilosis strains in an intensive care unit. BMC Infect. Dis. 2016, 16, 433. [Google Scholar] [CrossRef]
- Thomaz, D.Y.; de Almeida, J.N., Jr.; Sejas, O.N.E.; Del Negro, G.M.B.; Carvalho, G.O.M.H.; Gimenes, V.M.; de Souza, M.E.; Arastehfar, A.; Camargo, C.H.; Motta, A.L.; et al. Environmental clonal spread of azole-resistant Candida parapsilosis with Erg11-Y132F mutation causing a large candidemia outbreak in a Brazilian cancer referral center. J. Fungi 2021, 7, 259. [Google Scholar] [CrossRef]
- Protano, C.; Cammalleri, V.; Romano Spica, V.; Valeriani, F.; Vitali, M. Hospital environment as a reservoir for cross transmission: Cleaning and disinfection procedures. Ann. Ig. Med. Prev. Comunita 2019, 31, 436–448. [Google Scholar]
- Suleyman, G.; Alangaden, G.; Bardossy, A.C. The role of environmental contamination in the transmission of nosocomial pathogens and healthcare-associated infections. Curr. Infect. Dis. Rep. 2018, 20, 12. [Google Scholar] [CrossRef]
- Maillard, J.-Y.; Pascoe, M. Disinfectants and antiseptics: Mechanisms of action and resistance. Nat. Rev. Microbiol. 2024, 22, 4–17. [Google Scholar] [CrossRef]
- Hernández-Navarrete, M.J.; Celorrio-Pascual, J.M.; Lapresta Moros, C.; Solano Bernad, V.M. Fundamentos de antisepsia, desinfección y esterilización (Principles of antisepsis, disinfection and sterilization). Enferm. Infecc. Microbiol. Clin. 2014, 32, 681–688. [Google Scholar] [CrossRef]
- Rutala, W.A.; Boyce, J.M.; Weber, D.J. Disinfection, sterilization and antisepsis: An overview. Am. J. Infect. Control 2023, 51, A3–A12. [Google Scholar] [CrossRef] [PubMed]
- Brzezińska, M.S.; Walczak, M.; Jankiewicz, U.; Pejchalová, M. Antimicrobial activity of polyhexamethylene guanidine derivatives introduced into polycaprolactone. J. Polym. Environ. 2018, 26, 589–595. [Google Scholar] [CrossRef]
- Park, D.U.; Park, J.; Yang, K.W.; Park, J.H.; Kwon, J.H.; Oh, H.B. Properties of polyhexamethylene guanidine associated with fatal lung injury in Korea. Molecules 2020, 25, 3301. [Google Scholar] [CrossRef] [PubMed]
- Vitt, A.; Sofrata, A.; Slizen, V.; Sugars, R.V.; Gustafsson, A.; Gudkova, E.I.; Kazeko, L.A.; Ramberg, P.; Buhlin, K. Antimicrobial activity of polyhexamethylene guanidine phosphate in comparison to chlorhexidine using the quantitative suspension method. Ann. Clin. Microbiol. Antimicrob. 2015, 14, 36. [Google Scholar] [CrossRef]
- Fernandes, Â.R.; Rodrigues, A.G.; Cobrado, L. Effect of prolonged exposure to disinfectants in the antimicrobial resistance profile of relevant microorganisms: A systematic review. J. Hosp. Infect. 2024, 151, 45–59. [Google Scholar] [CrossRef]
- Boyce, J.M. Best products for skin antisepsis. Am. J. Infect. Control 2023, 51, A58–A63. [Google Scholar] [CrossRef]
- Wang, E.W.; Layon, A.J. Chlorhexidine gluconate use to prevent hospital acquired infections—A useful tool, not a panacea. Ann. Transl. Med. 2017, 5, 14. [Google Scholar] [CrossRef]
- Van den Poel, B.; Saegeman, V.; Schuermans, A. Increasing usage of chlorhexidine in health care settings: Blessing or curse? A narrative review of the risk of chlorhexidine resistance and the implications for infection prevention and control. Eur. J. Clin. Microbiol. Infect. Dis. 2022, 41, 349–362. [Google Scholar] [CrossRef]
- Grytsai, O.; Myrgorodska, I.; Rocchi, S.; Ronco, C.; Benhida, R. Biguanides drugs: Past success stories and promising future for drug discovery. Eur. J. Med. Chem. 2021, 224, 113726. [Google Scholar] [CrossRef]
- Zhang, Z.; Peng, P.; Wu, Q.; Zhang, J.; Wu, M.; Liu, J.; Yang, J. Preparation and antibacterial properties of poly(hexamethylene guanidine hydrochloride) modified ionic waterborne polyurethane. Prog. Org. Coat. 2021, 156, 106246. [Google Scholar] [CrossRef]
- Moshynets, O.V.; Baranovskyi, T.P.; Iungin, O.S.; Kysil, N.P.; Metelytsia, L.O.; Pokholenko, I.; Potochilova, V.V.; Potters, G.; Rudnieva, K.L.; Rymar, S.Y.; et al. eDNA inactivation and biofilm inhibition by the polymeric biocide polyhexamethylene guanidine hydrochloride (PHMG-Cl). Int. J. Mol. Sci. 2022, 23, 731. [Google Scholar] [CrossRef]
- Araújo, D.B.; Gonçalves, B.E.M.; Martins, G.B.; Lima, M.J.P.; Araújo, M.T.B. Saúde bucal: A importância dos enxaguatórios com antissépticos. Rev. Ciênc. Méd. Biol. 2015, 14, 88–93. [Google Scholar] [CrossRef]
- Michalak, M. Plant extracts as skin care and therapeutic agents. Int. J. Mol. Sci. 2023, 24, 15444. [Google Scholar] [CrossRef] [PubMed]
- National Health Surveillance Agency (ANVISA). Patient Safety in Health Services: Cleaning and Disinfection of Surfaces; ANVISA: Brasília, Brazil, 2010.
- Healthcare Infection Control Practices Advisory Committee (HICPAC). Guideline for Disinfection and Sterilization in Healthcare Facilities. Centers for Disease Control and Prevention (CDC). 2008 (Updated 2019). Available online: https://www.cdc.gov/infection-control/hcp/disinfection-and-sterilization/index.html (accessed on 23 November 2025).
- Choi, H.; Kim, K.J.; Lee, D.G. Antifungal activity of the cationic antimicrobial polymer-polyhexamethylene guanidine hydrochloride and its mode of action. Fungal Biol. 2017, 121, 53–60. [Google Scholar] [CrossRef] [PubMed]
- Ribeiro, G.L.; Ambrósio, S.R.; Parreira, R.L.; Pereira, L.F.; Ambrósio, M.A.L.V.; Sabino, I.P.; Dias, F.G.; Veneziani, R.C. In vitro antimicrobial activity of polyhexamethylene guanidine hydrochloride and polyhexamethylene biguanide against microorganisms causing bovine mastitis. Braz. J. Microbiol. 2025, 56, 2027–2036. [Google Scholar] [CrossRef] [PubMed]
- Oulé, M.K.; Azinwi, R.; Bernier, A.M.; Kablan, T.; Maupertuis, A.M.; Mauler, S.; Nevry, R.K.; Dembele, K.; Forbes, L.; Diop, L. Polyhexamethylene guanidine hydrochloride-based disinfectant: A novel tool to fight meticillin-resistant Staphylococcus aureus and nosocomial infections. J. Med. Microbiol. 2008, 57, 1523–1530. [Google Scholar] [CrossRef]
- Alves, P.G.V.; Menezes, R.P.; Silva, N.B.S.; Faria, G.O.; Bessa, M.A.S.; de Araújo, L.B.; Aguiar, P.A.; Penatti, M.P.; dos Santos Pedroso, R.; de Brito Röder, D.V. Virulence factors, antifungal susceptibility and molecular profile in Candida species isolated from the hands of health professionals before and after cleaning with 70% ethyl alcohol-based gel. J. Med. Mycol. 2024, 34, 101482. [Google Scholar] [CrossRef]
- Sandle, T. A global disinfectant standard for cleanrooms: Presenting a harmonised approach. Eur. J. Parenter. Pharm. Sci. 2021, 26. [Google Scholar] [CrossRef]
- EN 17387:2021; Chemical Disinfectants and Antiseptics—Quantitative Test Method for the Evaluation of Bactericidal and Yeasticidal Activity on Non-Porous Surfaces Without Mechanical Action—Test Method and Requirements. European Committee for Standardization (CEN): Brussels, Belgium, 2021.
- Schedler, K.; Assadian, O.; Brautferger, U.; Müller, G.; Koburger, T.; Classen, S.; Kramer, A. Proposed phase 2/step 2 in-vitro test on basis of EN 14561 for standardised testing of the wound antiseptics PVP-iodine, chlorhexidine digluconate, polihexanide and octenidine dihydrochloride. BMC Infect. Dis. 2017, 17, 143. [Google Scholar] [CrossRef]
- Rutala, W.A.; Kanamori, H.; Gergen, M.F.; Sickbert-Bennett, E.E.; Weber, D.J. Susceptibility of Candida auris and Candida albicans to 21 germicides used in healthcare facilities. Infect. Control Hosp. Epidemiol. 2019, 40, 380–382. [Google Scholar] [CrossRef]
- American Public Health Association (APHA). Compendium of Methods for the Microbiological Examination of Foods; APHA: Washington, DC, USA, 1984. [Google Scholar]
- Kampf, G. Antiseptic Stewardship: Biocide Resistance and Clinical Implications, 2nd ed.; Springer: Cham, Switzerland, 2024; 1028p. [Google Scholar]
- de Paiva Macedo, J.; Watanabe, A.A.S.; Machado, A.B.F.; Diniz, C.G.; da Silva, V.L.; Dias, V.C. Unveiling antifungal resistance and biocide tolerance in clinical isolates of Candida spp. Future Microbiol. 2025, 20, 457–468. [Google Scholar] [CrossRef]
- Ntow-Boahene, W.; Cook, D.; Good, L. Antifungal polymeric materials and nanocomposites. Front. Bioeng. Biotechnol. 2021, 9, 780328. [Google Scholar] [CrossRef] [PubMed]
- Arendrup, M.C.; Cuenca-Estrella, M.; Lass-Flörl, C.; Hope, W.; EUCAST-AFST. EUCAST technical note on the EUCAST defini-tive document EDef 7.2: Method for the determination of broth dilution minimum inhibitory concentrations of antifun-gal agents for yeasts EDef 7.2 (EUCAST-AFST). Clin. Microbiol. Infect. 2012, 18, E246–E247. [Google Scholar] [CrossRef] [PubMed]
- Odds, F.C. Synergy, antagonism, and what the chequerboard puts between them. J. Antimicrob. Chemother. 2003, 52, 1. [Google Scholar] [CrossRef] [PubMed]
- Bidaud, A.-L.; Botterel, F.; Chowdhary, A.; Dannaoui, E. Techniques for the assessment of in vitro and in vivo antifungal combinations. J. Fungi 2021, 7, 113. [Google Scholar] [CrossRef]
- Breger, J.; Fuchs, B.B.; Aperis, G.; Moy, T.I.; Ausubel, F.M.; Mylonakis, E. Antifungal chemical compounds identified using a C. elegans pathogenicity assay. PLoS Pathog. 2007, 3, e18. [Google Scholar] [CrossRef]
- Brenner, S. The genetics of Caenorhabditis elegans. Genetics 1974, 77, 71–94. [Google Scholar] [CrossRef]
- Kampf, G.; Löffler, H. Hand disinfection in hospitals: Benefits and risks. J. Dtsch. Dermatol. Ges. 2010, 8, 978–983. [Google Scholar] [CrossRef]
- Willmott, T.; Jadaan, L.; Humphreys, G.J.; Lu, J.R.; McBain, A.J.; Chapman, J. Sustainable application of biocides to promote hygiene and minimize antimicrobial resistance. Sustain. Microbiol. 2024, 1, qvae015. [Google Scholar] [CrossRef]
- Abbood, H.M.; Hijazi, K.; Gould, I.M. Chlorhexidine resistance or cross-resistance, That is the question. Antibiotics 2023, 12, 798. [Google Scholar] [CrossRef]
- Schoeffel, A.C.; Morikava, F.S.; Urban, A.M.; Novatski, A.; Moraes, G.S.; Matioli, G.; Ferrari, P.C.; Neppelenbroek, K.H.; Farago, P.V.; Urban, V.M. Characterization and antifungal activity of chlorhexidine: β-cyclodextrin inclusion complexes. Ther. Deliv. 2023, 14, 295–309. [Google Scholar] [CrossRef]
- Şahiner, A.; Halat, E.; Alğın Yapar, E. Comparison of bactericidal and fungicidal efficacy of antiseptic formulations according to EN 13727 and EN 13624 standards. Turk. J. Med. Sci. 2019, 49, 1564–1567. [Google Scholar] [CrossRef]
- Bigliardi, P.L.; Alsagoff, S.A.L.; El-Kafrawi, H.Y.; Pyon, J.K.; Wa, C.T.C.; Villa, M.A. Povidone iodine in wound healing: A review of current concepts and practices. Int. J. Surg. 2017, 44, 260–268. [Google Scholar] [CrossRef]
- Kaur, J.; Nobile, C.J. Antifungal drug-resistance mechanisms in Candida biofilms. Curr. Opin. Microbiol. 2023, 71, 102237. [Google Scholar] [CrossRef] [PubMed]
- Carey, D.E.; McNamara, P.J. The impact of triclosan on the spread of antibiotic resistance in the environment. Front. Microbiol. 2015, 5, 780. [Google Scholar] [CrossRef] [PubMed]
- Marchese, A.; Barbieri, R.; Coppo, E.; Orhan, I.E.; Daglia, M.; Nabavi, S.F.; Izadi, M.; Abdollahi, M.; Nabavi, S.M.; Ajami, M. Antimicrobial activity of eugenol and essential oils containing eugenol: A mechanistic viewpoint. Crit. Rev. Microbiol. 2017, 43, 668–689. [Google Scholar] [CrossRef] [PubMed]
- Nazzaro, F.; Fratianni, F.; Coppola, R.; Feo, V.D. Essential oils and antifungal activity. Pharmaceuticals 2017, 10, 86. [Google Scholar] [CrossRef]
- Biernasiuk, A.; Baj, T.; Malm, A. Clove essential oil and its main constituent, eugenol, as potential natural antifungals against Candida spp. alone or in combination with other antimycotics due to synergistic interactions. Molecules 2022, 28, 215. [Google Scholar] [CrossRef]
- Bassolé, I.H.; Juliani, H.R. Essential oils in combination and their antimicrobial properties. Molecules 2012, 17, 3989–4006. [Google Scholar] [CrossRef]
- Hunt, P.R. The C. elegans model in toxicity testing. J. Appl. Toxicol. 2017, 37, 50–59. [Google Scholar] [CrossRef]
- Ivanov, I.; Kirillova, D.; Erimbetov, K.; Shatalov, D. Toxicity and safety analysis of polyhexamethylene guanidine: A comprehensive systematic review. Sci. Pharm. 2024, 3, 153–166. [Google Scholar] [CrossRef]



| Isolate/Control (ATCC) | MIC (ppm) | ||||||||||||||||
|---|---|---|---|---|---|---|---|---|---|---|---|---|---|---|---|---|---|
| ALONE | IN COMBINATION | ||||||||||||||||
| CHG | EUC | EUG | MEN | THY | CHG EUC | FR CHG | FICI (Int.) | CHG EUG | FR CHG | FICI (Int.) | CHG MEN | FR CHG | FICI (Int.) | CHG THY | FR CHG | FICI (Int.) | |
| A013 | 310 | 40,000 | 620 | 20,000 | 1250 | 9 10,000 | 34 | 1.61 (I) | 9 39 | 34 | 0.09 (S) | 0.6 312 | 64 | 0.02 (S) | 4.8 2500 | 65 | 0.07 (S) |
| D011 | 310 | 40,000 | 1250 | 10,000 | 310 | 9 10,000 | 34 | 0.80 (I) | 9 39 | 34 | 0.06 (S) | 0.6 312 | 32 | 0.03 (S) | 9.7 1250 | 32 | 0.13 (S) |
| A003 | 310 | 40,000 | 620 | 10,000 | 620 | 5 1250 | 62 | 0.20 (S) | 5 78 | 62 | 0.14 (S) | 155 312 | 32 | 0.05 (S) | 39 620 | 8 | 0.14 (S) |
| D004 | 620 | 40,000 | 620 | 20,000 | 1250 | 9 1250 | 69 | 0.20 (S) | 9 39 | 69 | 0.08 (S) | 1.2 312 | 64 | 0.02 (S) | 39 620 | 16 | 0.08 (S) |
| 2A002 | 620 | 40,000 | 620 | 10,000 | 1250 | 2 5000 | 310 | 0.81 (I) | 2 150 | 310 | 0.25 (S) | 0.6 312 | 32 | 0.03 (S) | 19 1250 | 33 | 0.06 (S) |
| 2A010 | 310 | 40,000 | 1250 | 10,000 | 1250 | 2 20,000 | 155 | 1.60 (I) | 2 150 | 155 | 0.13 (S) | 0.6 312 | 32 | 0.03 (S) | 19 1250 | 16 | 0.07 (S) |
| 2D028 | 620 | 40,000 | 1250 | 20,000 | 1250 | 2 5000 | 310 | 0.40 (S) | 2 150 | 310 | 0.12 (S) | 0.6 312 | 64 | 0.02 (S) | 19 1250 | 33 | 0.06 (S) |
| 2D008 | 150 | 40,000 | 620 | 20,000 | 1250 | 1 5000 | 150 | 0.81 (I) | 1 310 | 150 | 0.51 (S) | 0.6 312 | 64 | 0.02 (S) | 19 1250 | 8 | 0.13 (S) |
| 3D021 | 310 | 40,000 | 2500 | 20,000 | 1250 | 2 1250 | 155 | 0.05 (S) | 2 150 | 155 | 0.07 (S) | 155 312 | 64 | 0.02 (S) | 78 310 | 4 | 0.25 (S) |
| 3A033 | 310 | 40,000 | 1250 | 10,000 | 2500 | 19 1250 | 16 | 0.10 (S) | 19 19 | 16 | 0.08 (S) | 1.2 312 | 32 | 0.03 (S) | 78 310 | 4 | 0.25 (S) |
| 3D033 | 6250 | 40,000 | 2500 | 10,000 | 2500 | 19 1250 | 329 | 0.05 (S) | 19 19 | 329 | 0.01 (S) | 1.2 312 | 32 | 0.03 (S) | 39 620 | 160 | 0.07 (S) |
| 3A086 | 310 | 40,000 | 2500 | 20,000 | 1250 | 5 10,000 | 62 | 0.40 (S) | 5 78 | 62 | 0.05 (S) | 0.6 312 | 64 | 0.02 (S) | 19 1250 | 16 | 0.07 (S) |
| C. albicans ATCC 10231 | 620 | 80,000 | 1250 | 20,000 | 150 | 5 10,000 | 62 | 0.40 (S) | 5 310 | 62 | 0.26 (S) | 9.7 1250 | 16 | 0.06 (S) | 4.8 150 | 129 | 0.87 (I) |
| C. parapsilosis ATCC 90018 | 310 | 40,000 | 625 | 20,000 | 78 | 5 10,000 | 62 | 0.40 (S) | 5 150 | 62 | 0.26 (S) | 9.7 1250 | 16 | 0.06 (S) | 2.4 78 | 129 | 1.66 (I) |
| Isolate/ Control (ATCC) | MIC (ppm) | ||||||||||||||||
|---|---|---|---|---|---|---|---|---|---|---|---|---|---|---|---|---|---|
| ALONE | IN COMBINATION | ||||||||||||||||
| PHMGH | EUC | EUG | MEN | THY | PHMGH EUC | FR PHMGH | FICI (Int.) | PHMGH EUG | FR PHMGH | FICI (Int.) | PHMGH MEN | FR PHMGH | FICI (Int.) | PHMGH THY | FR PHMGH | FICI (Int.) | |
| A013 | 0.9 | 80,000 | 625 | 20,000 | 312 | 0.9 80,000 | 1 | 2.0 (I) | 0.9 625 | 1 | 2.0 (I) | 0.9 20,000 | 1 | 1.0 (I) | 0.9 78.12 | 1 | 1.25 (I) |
| D011 | 0.9 | 80,000 | 625 | 10,000 | 312 | 0.9 80,000 | 1 | 2.0 (I) | 0.9 625 | 1 | 2.0 (I) | 0.9 10,000 | 1 | 1.0 (I) | 0.9 78.12 | 1 | 1.25 (I) |
| A003 | 0.9 | 80,000 | 625 | 10,000 | 312 | 0.9 40,000 | 1 | 1.5 (I) | 0.9 625 | 1 | 2.0 (I) | 0.9 10,000 | 1 | 1.0 (I) | 0.9 78.12 | 1 | 1.25 (I) |
| D004 | 0.9 | 80,000 | 625 | 20,000 | 312 | 0.9 80,000 | 1 | 2.0 (I) | 0.9 625 | 1 | 2.0 (I) | 0.9 20,000 | 1 | 1.0 (I) | 0.9 78.12 | 1 | 1.25 (I) |
| 2A002 | 0.4 | 80,000 | 625 | 10,000 | 312 | 0.9 40,000 | 0.4 | 2.7 (I) | 0.9 625 | 0.4 | 3.2 (I) | 0.9 10,000 | 0.4 | 1.0 (I) | 0.9 156.2 | 0.4 | 2.75 (I) |
| 2A010 | 0.9 | 80,000 | 312 | 10,000 | 625 | 0.9 40,000 | 1 | 1.5 (I) | 0.9 312 | 1 | 2.0 (I) | 0.9 1250 | 1 | 0.12 (S) | 0.002 39.06 | 500 | 0.06 (S) |
| 2D028 | 0.9 | 40,000 | 625 | 20,000 | 312 | 0.9 40,000 | 1 | 2.0 (I) | 0.9 625 | 1 | 2.0 (I) | 0.9 20,000 | 1 | 1.0 (I) | 0.9 78.12 | 1 | 1.25 (I) |
| 2D008 | 0.9 | 80,000 | 625 | 20,000 | 625 | 0.9 80,000 | 1 | 2.0 (I) | 0.9 625 | 1 | 2.0 (I) | 0.9 20,000 | 1 | 1.0 (I) | 0.9 156.2 | 1 | 1.25 (I) |
| 3D021 | 0.4 | 80,000 | 625 | 20,000 | 312 | 0.9 80,000 | 0.4 | 3.2 (I) | 0.9 625 | 0.4 | 3.2 (I) | 0.9 20,000 | 0.4 | 1.0 (I) | 0.9 156.2 | 0.4 | 2.75 (I) |
| 3A033 | 0.9 | 80,000 | 625 | 10,000 | 625 | 0.9 80,000 | 1 | 2.0 (I) | 0.9 625 | 1 | 2.0 (I) | 0.9 10,000 | 1 | 1.0 (I) | 0.9 78.12 | 1 | 1.12 (I) |
| 3D033 | 0.9 | 40,000 | 625 | 10,000 | 625 | 0.9 40,000 | 1 | 2.0 (I) | 0.9 625 | 1 | 2.0 (I) | 0.9 5000 | 1 | 0.5 (S) | 0.9 312.4 | 1 | 1.50 (I) |
| 3A086 | 0.4 | 80,000 | 625 | 20,000 | 625 | 0.9 40,000 | 0.4 | 2.7 (I) | 0.9 625 | 0.4 | 3.2 (I) | 0.9 20,000 | 0.4 | 1.0 (I) | 0.9 78.12 | 0.4 | 2.37 (I) |
| C. albicans ATCC 10231 | 1.9 | 80,000 | 1250 | 20,000 | 156 | 0.9 4000 | 2.1 | 1.0 (I) | 0.9 625 | 2.1 | 1.0 (I) | 0.9 20,000 | 2.1 | 1.0 (I) | 0.9 156.2 | 2.1 | 1.47 (I) |
| C. parapsilosis ATCC 90018 | 0.9 | 40,000 | 625 | 20,000 | 1250 | 0.9 10,000 | 1 | 1.2 (I) | 0.9 312 | 1 | 1.5 (I) | 0.9 20,000 | 1 | 1.0 (I) | 0.002 39.06 | 500 | 0.03 (S) |
Disclaimer/Publisher’s Note: The statements, opinions and data contained in all publications are solely those of the individual author(s) and contributor(s) and not of MDPI and/or the editor(s). MDPI and/or the editor(s) disclaim responsibility for any injury to people or property resulting from any ideas, methods, instructions or products referred to in the content. |
© 2026 by the authors. Licensee MDPI, Basel, Switzerland. This article is an open access article distributed under the terms and conditions of the Creative Commons Attribution (CC BY) license.
Share and Cite
Belizário, J.A.; Jardine, M.E.B.; Pereira, G.L.; Stefani, M.M.; Menezes, R.d.P.; Röder, D.v.D.d.B.; Pedroso, R.d.S.; Ambrósio, S.R.; Benard, G.; Pires, R.H. Surface Carrier Testing of Hospital Antiseptics Against Candida parapsilosis from Healthcare Workers’ Hands. Pathogens 2026, 15, 410. https://doi.org/10.3390/pathogens15040410
Belizário JA, Jardine MEB, Pereira GL, Stefani MM, Menezes RdP, Röder DvDdB, Pedroso RdS, Ambrósio SR, Benard G, Pires RH. Surface Carrier Testing of Hospital Antiseptics Against Candida parapsilosis from Healthcare Workers’ Hands. Pathogens. 2026; 15(4):410. https://doi.org/10.3390/pathogens15040410
Chicago/Turabian StyleBelizário, Jenyffie Araújo, Maria Eduarda Brites Jardine, Gabrielle Lameado Pereira, Murilo Molina Stefani, Ralciane de Paula Menezes, Denise von Dolinger de Brito Röder, Reginaldo dos Santos Pedroso, Sérgio Ricardo Ambrósio, Gil Benard, and Regina Helena Pires. 2026. "Surface Carrier Testing of Hospital Antiseptics Against Candida parapsilosis from Healthcare Workers’ Hands" Pathogens 15, no. 4: 410. https://doi.org/10.3390/pathogens15040410
APA StyleBelizário, J. A., Jardine, M. E. B., Pereira, G. L., Stefani, M. M., Menezes, R. d. P., Röder, D. v. D. d. B., Pedroso, R. d. S., Ambrósio, S. R., Benard, G., & Pires, R. H. (2026). Surface Carrier Testing of Hospital Antiseptics Against Candida parapsilosis from Healthcare Workers’ Hands. Pathogens, 15(4), 410. https://doi.org/10.3390/pathogens15040410

