Clinical and Laboratory Findings in Cats with Confirmed Avian Influenza A/H5N1 Virus Infection During the 2023 Outbreak in Poland: A Retrospective Case Series of 22 Cats
Abstract
1. Introduction
2. Materials and Methods
2.1. Hematology
2.2. Serum Biochemistry
2.3. FIV/FeLV Rapid Tests
2.4. Clinical Findings and Ancillary Examinations
2.5. RNA Isolation and Real-Time PCR
3. Results
3.1. RT-qPCR Confirmation of A/H5N1 Infection
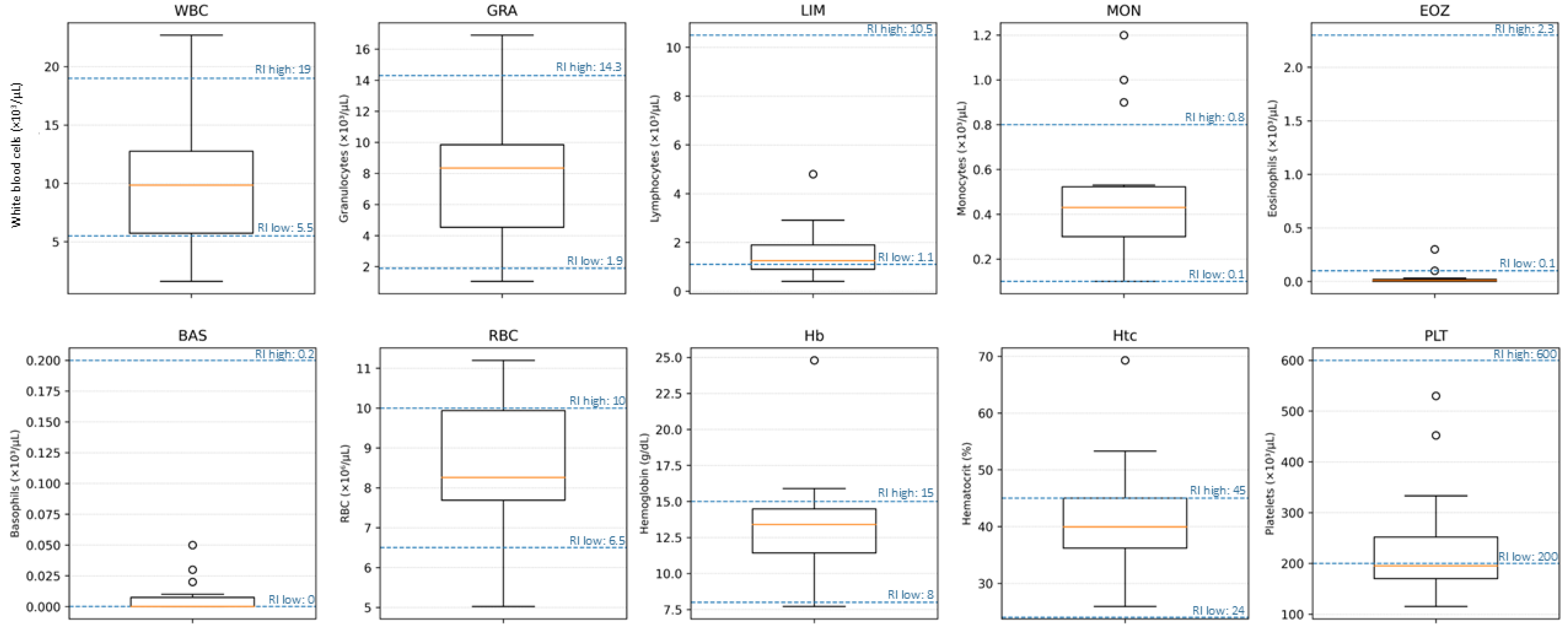
3.2. Hematological Findings
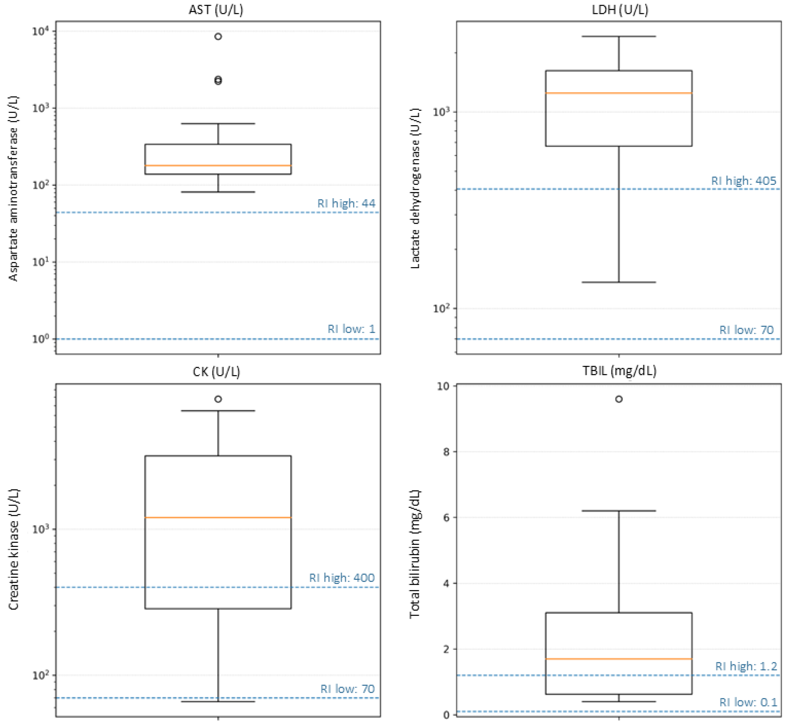
3.3. Serum Biochemical Findings—Liver-Associated Analytes
3.4. Serum Biochemical Findings—Muscle and Tissue Injury
3.5. Serum Biochemical Findings—Renal Parameters
3.6. FIV/FeLV Rapid Tests Results
3.7. Clinical Course
4. Discussion
5. Conclusions
Author Contributions
Funding
Institutional Review Board Statement
Informed Consent Statement
Data Availability Statement
Conflicts of Interest
References
- Centers for Disease Control and Prevention. Bird Flu: Current Situation Summary. Available online: https://www.cdc.gov/bird-flu/about/avian-influenza-type-a.html (accessed on 2 October 2025).
- Webby, R.J.; Webster, R.G. Are we ready for pandemic influenza? Science 2003, 302, 1519–1522. [Google Scholar] [CrossRef]
- Keawcharoen, J.; van den Broek, J.; Bouma, A.; Tiensin, T.; Osterhaus, A.D.; Heesterbeek, H. Wild birds and increased transmission of highly pathogenic avian influenza (H5N1) among poultry, Thailand. Emerg. Infect. Dis. 2011, 17, 1016–1022. [Google Scholar] [CrossRef] [PubMed]
- Alexander, D.J. An overview of the epidemiology of avian influenza. Vaccine 2007, 25, 5637–5644. [Google Scholar] [CrossRef] [PubMed]
- Geraci, J.R.; St Aubin, D.J.; Barker, I.K.; Webster, R.G.; Hinshaw, V.S.; Bean, W.J.; Ruhnke, H.L.; Prescott, J.H.; Early, G.; Baker, A.S.; et al. Mass mortality of harbor seals: Pneumonia associated with influenza A virus. Science 1982, 215, 1129–1131. [Google Scholar] [CrossRef] [PubMed]
- Berg, M.; Englund, L.; Abusugra, I.A.; Klingeborn, B.; Linne, T. Close relationship between mink influenza (H10N4) and concomitantly circulating avian influenza viruses. Arch. Virol. 1990, 113, 61–71. [Google Scholar] [CrossRef]
- Keawcharoen, J.; Oraveerakul, K.; Kuiken, T.; Fouchier, R.A.; Amonsin, A.; Payungporn, S.; Noppornpanth, S.; Wattanodorn, S.; Theamboonlers, A.; Tantilertcharoen, R.; et al. Avian influenza H5N1 in tigers and leopards. Emerg. Infect. Dis. 2004, 10, 2189–2191. [Google Scholar] [CrossRef]
- Thanawongnuwech, R.; Amonsin, A.; Tantilertcharoen, R.; Damrongwatanapokin, S.; Theamboonlers, A.; Payungporn, S.; Nanthapornphiphat, K.; Ratanamungklanon, S.; Tunak, E.; Songserm, T.; et al. Probable tiger-to-tiger transmission of avian influenza H5N1. Emerg. Infect. Dis. 2005, 11, 699–701. [Google Scholar] [CrossRef]
- Songserm, T.; Amonsin, A.; Jam-on, R.; Sae-Heng, N.; Pariyothorn, N.; Payungporn, S.; Theamboonlers, A.; Chutinimitkul, S.; Thanawongnuwech, R.; Poovorawan, Y. Fatal avian influenza A H5N1 in a dog. Emerg. Infect. Dis. 2006, 12, 1744–1747. [Google Scholar] [CrossRef]
- Klopfleisch, R.; Wolf, P.U.; Uhl, W.; Gerst, S.; Harder, T.; Starick, E.; Vahlenkamp, T.W.; Mettenleiter, T.C.; Teifke, J.P. Distribution of lesions and antigen of highly pathogenic avian influenza virus A/whooper swan/Germany/R65/06 (H5N1) in domestic cats after presumptive infection by wild birds. Vet. Pathol. 2007, 44, 261–268. [Google Scholar] [CrossRef]
- Szaluś-Jordanow, O.; Golke, A.; Dzieciątkowski, T.; Chrobak-Chmiel, D.; Rzewuska, M.; Czopowicz, M.; Sapierzyński, R.; Kardas, M.; Biernacka, K.; Mickiewicz, M.; et al. A fatal A/H5N1 avian influenza virus infection in a cat in Poland. Microorganisms 2023, 11, 2263. [Google Scholar] [CrossRef]
- Stefańska, I.; Dzieciątkowski, T.; Brydak, L.B.; Romanowska, M. Application of three duplex real-time PCR assays for simultaneous detection of human seasonal and avian influenza viruses. Arch. Virol. 2013, 158, 1743–1753. [Google Scholar] [CrossRef]
- Domańska-Blicharz, K.; Świętoń, E.; Świątalska, A.; Monne, I.; Fusaro, A.; Tarasiuk, K.; Wyrostek, K.; Styś-Fijoł, N.; Giza, A.; Pietruk, M.; et al. Outbreak of Highly Pathogenic Avian Influenza A(H5N1) Clade 2.3.4.4b Virus in Cats, Poland, June to July 2023. Eurosurveillance 2023, 28, 2300366. [Google Scholar] [CrossRef]
- World Organisation for Animal Health (WOAH). Self-Declaration for the Recovery of Country Freedom from Infection with High Pathogenicity Avian Influenza Viruses (HPAI) in Poultry by Poland; Declaration Sent to WOAH on 2 August 2023. Available online: https://www.woah.org/app/uploads/2023/08/poland-hpai-selfd.pdf (accessed on 27 January 2026).
- Rabalski, L.; Milewska, A.; Pohlmann, A.; Gackowska, K.; Lepionka, T.; Szczepaniak, K.; Swiatalska, A.; Sieminska, I.; Arent, Z.; Beer, M.; et al. Emergence and Potential Transmission Route of Avian Influenza A(H5N1) Virus in Domestic Cats in Poland, June 2023. Eurosurveillance 2023, 28, 2300390. [Google Scholar] [CrossRef]
- Marschall, J.; Hartmann, K. Avian influenza A H5N1 infections in cats. J. Feline Med. Surg. 2008, 10, 359–365. [Google Scholar] [CrossRef]
- Löhr, C.V.; DeBess, E.E.; Baker, R.J.; Hiett, S.L.; Hoffman, K.A.; Murdoch, V.J.; Fischer, K.A.; Mulrooney, D.M.; Selman, R.L.; Hammill-Black, W.M. Pathology and viral antigen distribution of lethal pneumonia in domestic cats due to pandemic (H1N1) 2009 influenza A virus. Vet. Pathol. 2010, 47, 378–386. [Google Scholar] [CrossRef]
- Sillman, S.J.; Drozd, M.; Loy, D.; Harris, S.P. Naturally occurring highly pathogenic avian influenza virus H5N1 clade 2.3.4.4b infection in three domestic cats in North America during 2023. J. Comp. Pathol. 2023, 205, 17–23. [Google Scholar] [CrossRef]
- Bonilla-Aldana, D.K.; Bonilla-Aldana, J.L.; Acosta-España, J.D.; Rodriguez-Morales, A.J. Highly pathogenic avian influenza H5N1 in cats (Felis catus): A systematic review and meta-analysis. Animals 2025, 15, 1441. [Google Scholar] [CrossRef]
- van Riel, D.; Rimmelzwaan, G.F.; van Amerongen, G.; Osterhaus, A.D.; Kuiken, T. Highly pathogenic avian influenza virus H7N7 isolated from a fatal human case causes respiratory disease in cats but does not spread systemically. Am. J. Pathol. 2010, 177, 2185–2190. [Google Scholar] [CrossRef]
- Frymus, T.; Belák, S.; Egberink, H.; Hofmann-Lehmann, R.; Marsilio, F.; Addie, D.D.; Boucraut-Baralon, C.; Hartmann, K.; Lloret, A.; Lutz, H.; et al. Influenza virus infections in cats. Viruses 2021, 13, 1435. [Google Scholar] [CrossRef]
- Lee, C.T.; Slavinski, S.; Schiff, C.; Merlino, M.; Daskalakis, D.; Liu, D.; Rakeman, J.L.; Misener, M.; Thompson, C.; Leung, Y.L.; et al. Outbreak of influenza A(H7N2) among cats in an animal shelter with cat-to-human transmission—New York City, 2016. Clin. Infect. Dis. 2017, 65, 1927–1929. [Google Scholar] [CrossRef]
- Hatta, M.; Zhong, G.; Gao, Y.; Nakajima, N.; Fan, S.; Chiba, S.; Deering, K.M.; Ito, M.; Imai, M.; Kiso, M.; et al. Characterization of a feline influenza A(H7N2) virus. Emerg. Infect. Dis. 2018, 24, 75–86. [Google Scholar] [CrossRef] [PubMed]
- Thiry, E.; Zicola, A.; Addie, D.; Egberink, H.; Hartmann, K.; Lutz, H.; Poulet, H.; Horzinek, M. Highly pathogenic avian influenza H5N1 virus in cats and other carnivores. Vet. Microbiol. 2007, 122, 25–31. [Google Scholar] [CrossRef]
- Maboni, G.; Che, S.; Tallmadge, R.; De Luca, E.; Goodman, L.B.; Weese, J.S.; Sanchez, S. Feline respiratory disease complex: Insights into the role of viral and bacterial co-infections. Front. Microbiol. 2024, 15, 1455453. [Google Scholar] [CrossRef]
- Adaszek, Ł.; Domańska-Blicharz, K.; Jańczak, D.; Kalinowski, M.; Rypuła, K.; Płoneczka-Janeczko, K.; Skrzypczak, M.; Winiarczyk, S. Cats infected with H5N1 avian influenza—A new infectious disease in Poland. Polish J. Vet. Sci. 2025, 28, 683–689. [Google Scholar] [CrossRef] [PubMed]
- Schlachter, A.D.; Bruno-McClung, E.; Díaz-Delgado, J.; Odom, M.; Banyard, A.C.; Núñez, A. Feline high pathogenicity avian influenza H5N1 infection: Past and present. J. Feline Med. Surg. 2025, 27, 1098612X251370695. [Google Scholar] [CrossRef] [PubMed]
- Coleman, K.K.; Bemis, I.G. Avian influenza virus infections in felines: A systematic review of two decades of literature. Open Forum Infect. Dis. 2025, 12, ofaf261. [Google Scholar] [CrossRef]
- Golke, A.; Dzieciątkowski, T.; Szaluś-Jordanow, O.; Czopowicz, M.; Witkowski, L.; Żychska, M.; Domańska, E.; Jańczak, D.; Nalbert, T.; Lesceu, S.; et al. The Seroprevalence of Influenza A Virus Infections in Polish Cats During a Feline H5N1 Influenza Outbreak in 2023. Viruses 2025, 17, 855. [Google Scholar] [CrossRef]





| Lab. Code | Voivodeship | Age | Sex | Outdoor Access | Raw Meat in the Diet |
|---|---|---|---|---|---|
| 31/3/7 | Pomeranian | 11 Y 1 M | M | no | poultry, chicken |
| 407/21/6 | Kuyavian-Pomeranian | 6 Y | F | yes | poultry, chicken |
| 409/22/6 | Lower Silesia | 5 Y | M | yes | poultry, chicken, pork |
| 410/22/6 | Pomeranian | n/a | M | yes | n/a |
| 411/22/6 | Pomeranian | n/a | M | yes | n/a |
| 412/22/6 | Pomeranian | n/a | M | yes | n/a |
| 413/22/6 | Pomeranian | n/a | F | yes | n/a |
| 414/22/6 | Pomeranian | n/a | M | yes | n/a |
| 415/22/6 | Podlaskie | 2 Y | F | yes | n/a |
| 417/22/6 | Mazovian | 2 M | M | no | poultry, chicken |
| 419/22/6 | Mazovian | 1 Y 6 M | M | no | poultry, chicken breast |
| 104/23/6 | Kuyavian-Pomeranian | 2 Y 6 M | F | yes | poultry, chicken liver |
| 146/24/6 | Kuyavian-Pomeranian | 3 Y | M | yes | n/a |
| 22/26/6 | Opole | 4 Y | F | no | pork |
| 153/27/6 | Greater Poland | 2 Y | M | no | poultry, chicken |
| 219/27/6 | Greater Poland | 5 Y 6 M | F | no | poultry, chicken liver |
| 220/27/6 | Kuyavian-Pomeranian | 3 Y | M | no | poultry, chicken, turkey |
| 73/28/6 | Silesian | 4 Y 6 M | M | yes | poultry, chicken breast |
| 98/28/6 | Lower Silesia | 12 Y | M | yes | poultry, chicken |
| 165/28/6 | Warmian-Masurian | 6 Y 3 M | M | yes | poultry, chicken liver |
| 219/28/6 | Łódź | 3 Y | M | yes | poultry, chicken, beef |
| 273/28/6 | Mazovian | 10 Y | M | yes | n/a |
| Lab. Code | 16 June 2023 | 17 June 2023 | 18 June 2023 | 19 June 2023 | 20 June 2023 | 21 June 2023 | 22 June 2023 | 23 June 2023 | 24 June 2023 |
|---|---|---|---|---|---|---|---|---|---|
| 31/3/7 | - | - | Clinical signs observed by the owner: loss of appetite and lethargy. | → | Clinical findings: apathy, dehydration, BT 40.6 °C | dementia, ataxia | thoracic X-ray: diffuse interstitial pattern, peribronchial opacities; abdominal US: dilated bile ducts, thickened bile duct/gallbladder wall; dyspnea; death | - | |
| 407/21/6 | - | Clinical findings: apathy, lethargy, BT 40 °C | → | miosis, anisocoria, ataxia | dyspnea, death | - | - | - | - |
| 409/22/6 | Clinical signs observed by the owner: apathy, loss of appetite, vomiting | → | Clinical findings: BT 40.6 °C, initially miosis, binocular anisocoria, right torticollis, tachycardia (HR 150/min), dyspnea, death | - | - | - | |||
| 410/22/6 | Clinical findings: BT 41 °C, apathy, lethargy, dyspnea | binocular anisocoria, ataxia, paraplegia | severe dyspnea, death | - | - | - | - | - | - |
| 411/22/6 | Clinical findings: apathy, loos of appetite, BT 40 °C, anisocoria | severe dyspnea, death | - | - | - | - | - | - | - |
| 412/22/6 | - | Clinical findings: salivation, anisocoria, ataxia, BT 40.2 °C | limb muscle stiffness, dyspnea, death | - | - | - | - | - | - |
| 413/22/6 | Clinical signs observed by the owner: loss of appetite | → | Clinical findings: BT 39.7 °C, dyspnea, binocular anisocoria | severe dyspnea, death | - | - | - | - | - |
| 414/22/6 | - | Clinical signs observed by the owner: lethargy, apathy, salivation | → | Clinical findings: BT 41 °C, seizures, paraplegia, death | - | - | - | - | - |
| 415/22/6 | - | - | - | - | - | - | Clinical findings: apathy, loss of appetite, BT 40.5 °C | paresis, ataxia, paraplegia, salivation, dyspnea, miosis | severe dyspnea, death |
| 417/22/6 | - | Clinical signs observed by the owner: apathy, loss of appetite, salivation | → | Clinical findings: BT 41 °C, lethargy, binocular anisocoria, ataxia, dyspnea | severe dyspnea, death | ||||
| 419/22/6 | - | - | - | - | - | Clinical findings: BT 40.5 °C, apathy, ataxia, binocular anisocoria | dyspnea, tachycardia (HR 210/min), salivation | → | severe dyspnea, death |
| 104/23/6 | Clinical signs observed by the owner: apathy, loss of appetite, lethargy | → | Clinical findings: seizures, binocular anisocoria, BT 41 °C, ataxia, paraplegia | dyspnea, tachycardia, death | |||||
| 146/24/6 | - | - | - | - | Clinical findings: BT 38.6 °C, vomiting, diarrhea, salivation | miosis, anisocoria, ataxia | homogeneous liver parenchyma with rounded margins and altered contour; hyperechoic hepatic capsule; euthanasia due to poor prognosis | - | - |
| 22/26/6 | - | - | - | - | - | Clinical findings: BT 39.8 °C, apathy, lethargy, loss of appetite, paraplegia, binocular anisocoria, lack of corneal reflex | dyspnea, tachycardia (HR 190/min) | euthanasia due to poor prognosis | - |
| 153/27/6 | Clinical findings: BT 39.6, loss of appetite, apathy, tracheal and alveolar murmur, lethargy | → | ataxia, paraplegia, binocular anisocoria, dyspnoea, tachycardia, lung US: numerous B-lines | severe dyspnea, euthanasia due to poor prognosis | - | ||||
| 219/27/6 | Clinical findings: BT 39.1, apathy, lethargy, loss of appetite | → | seizures, lack of corneal reflex, ataxia, limb muscle stiffness, dyspnea, stupor | severe dyspnea, lung US: numerous B-lines, euthanasia due to poor prognosis | - | - | |||
| 220/27/6 | - | - | - | - | - | Clinical signs observed by the owner: apathy, lethargy | Clinical findings: BT 39.8 °C, limb muscle stiffness, dyspnea, binocular anisocoria, seizures, paraplegia | severe dyspnea, death | - |
| 73/28/6 | - | - | - | - | - | - | - | Clinical findings: lethargy, vomiting, BT 38.9 °C | BT 39.7 °C, seizures, dyspnea, miosis, 3 days later euthanasia due to poor prognosis |
| 19.98.28.6 | - | - | - | - | - | - | - | - | Clinical findings: BT 37.4 °C, seizures, paraplegia, ataxia, binocular anisocoria, limb muscle stiffness, severe dyspnea (RR 38/min), tachycardia (HR 154/min), failed resuscitation, death |
| 20.165.28.6 | - | - | - | - | - | Clinical findings: loos of appetite, lethargy, salivation, BT 39.6 °C | seizures, ataxia, binocular anisocoria, right torticollis, photophobia | tachycardia (HR 152/min), dyspnea (RR 36/min) | severe dyspnea, failed resuscitation, death |
| 21.219.28.6 | - | - | Clinical findings: BT 40.5 °C, loos of appetite, painful abdominal cavity | → | vomiting, salivation, tracheal murmur | lethargy, BT 41 °C, icterus | thoracic X-ray: pulmonary oedema; lungs only partially aerated | severe dyspnea, death | |
| 22.273.28.6 | - | - | - | - | - | - | - | Clinical findings: BT 38.6, apathy, lethargy, loss of appetite | stupor, seizures, lack of corneal reflex, binocular anisocoria, dyspnea, death on the next day |
| Lab. Code | Specimen for RT-qPCR | H5 Ct | N1 Ct | Interpretation * |
|---|---|---|---|---|
| 31/3/7 | nasopharyngeal swab | 34.42 | 32.97 | Positive (H5+/N1+) |
| 407/21/6 | nasopharyngeal swab | 29.87 | 31.65 | Positive (H5+/N1+) |
| 409/22/6 | pharyngeal swab | 30.43 | 31.78 | Positive (H5+/N1+) |
| 410/22/6 | nasopharyngeal swab | 33.67 | 32.20 | Positive (H5+/N1+) |
| 411/22/6 | nasopharyngeal swab | 30.40 | 31.58 | Positive (H5+/N1+) |
| 412/22/6 | nasopharyngeal swab | 33.21 | 31.53 | Positive (H5+/N1+) |
| 413/22/6 | nasopharyngeal swab | 29.11 | 30.52 | Positive (H5+/N1+) |
| 414/22/6 | nasopharyngeal swab | 28.22 | 30.55 | Positive (H5+/N1+) |
| 415/22/6 | nasopharyngeal swab | 31.08 | 32.80 | Positive (H5+/N1+) |
| 417/22/6 | nasopharyngeal swab | 28.98 | 28.78 | Positive (H5+/N1+) |
| 419/22/6 | nasopharyngeal swab | 33.30 | 32.99 | Positive (H5+/N1+) |
| 104/23/6 | nasopharyngeal swab | 27.17 | 29.80 | Positive (H5+/N1+) |
| 146/24/6 | tissue sections (lungs) | 27.91 | 28.33 | Positive (H5+/N1+) |
| 22/26/6 | nasal swab | 30.40 | 32.29 | Positive (H5+/N1+) |
| 153/27/6 | pharyngeal swab | 30.72 | 31.30 | Positive (H5+/N1+) |
| 219/27/6 | nasal swab | 29.97 | 29.53 | Positive (H5+/N1+) |
| 220/27/6 | pharyngeal swab | 33.41 | 34.29 | Positive (H5+/N1+) |
| 73/28/6 | nasopharyngeal swab | 34.11 | 33.10 | Positive (H5+/N1+) |
| 98/28/6 | pharyngeal swab | 25.40 | 27.89 | Positive (H5+/N1+) |
| 165/28/6 | nasopharyngeal swab | 32.78 | 32.50 | Positive (H5+/N1+) |
| 219/28/6 | pharyngeal swab | 25.92 | 27.53 | Positive (H5+/N1+) |
| 273/28/6 | nasopharyngeal swab | 31.75 | 30.96 | Positive (H5+/N1+) |
| WBC | GRA | LIM | MON | EOZ | BAS | RBC | Hb | Htc | PLT | |
|---|---|---|---|---|---|---|---|---|---|---|
| Lab. Code | 5.5–19 × 103/µL | 1.9–14.3 × 103/µL | 1.1–10.5 × 103/µL | 0.1–0.8 × 103/µL | 0.1–2.3 × 103/µL | 0–0.2 × 103/µL | 6.5–10 × 106/µL | 8–15 g/dL | 24–45% | 200–600 × 103/µL |
| 31/3/7 | 5.7 | 4.61 | 0.82 | 0.23 | 0 | 0 | 9.06 | 14.5 | 46.3 | 168 |
| 407/21/6 | n/t | n/t | n/t | n/t | n/t | n/t | n/t | n/t | n/t | n/t |
| 409/22/6 | 16.3 | 14.9 | 0.9 | 0.5 | 0.01 | 0 | 8.27 | 13.5 | 35.42 | 452 |
| 410/22/6 | n/t | n/t | n/t | n/t | n/t | n/t | n/t | n/t | n/t | n/t |
| 411/22/6 | n/t | n/t | n/t | n/t | n/t | n/t | n/t | n/t | n/t | n/t |
| 412/22/6 | n/t | n/t | n/t | n/t | n/t | n/t | n/t | n/t | n/t | n/t |
| 413/22/6 | n/t | n/t | n/t | n/t | n/t | n/t | n/t | n/t | n/t | n/t |
| 414/22/6 | n/t | n/t | n/t | n/t | n/t | n/t | n/t | n/t | n/t | n/t |
| 415/22/6 | 9.9 | 8.3 | 1.1 | 0.5 | 0 | 0.01 | 7.45 | 11.2 | 38.5 | 333 |
| 417/22/6 | 5.8 | 4.5 | 1.2 | 0.1 | 0.01 | 0 | 8.16 | 7.7 | 39 | 261 |
| 419/22/6 | 11.3 | 8.7 | 1.3 | 1.2 | 0.02 | 0.03 | 5.02 | 7.8 | 25.9 | 225 |
| 104/23/6 | 5.4 | 2.07 | 2.91 | 0.36 | 0.02 | 0.05 | 10.23 | 14.2 | 43.4 | 115 |
| 146/24/6 | 22.7 | 16.9 | 4.8 | 0.9 | 0.1 | 0 | 10.5 | 15.1 | 45.5 | 530 |
| 22/26/6 | 5.3 | 4.1 | 0.9 | 0.3 | 0 | 0 | 6.3 | 14.4 | 39.5 | 128 |
| 153/27/6 | 13.3 | 11.6 | 1.4 | 0.3 | 0 | 0 | 10.4 | 15.9 | 53.3 | 177 |
| 219/27/6 | 9.8 | 7.32 | 1.88 | 0.53 | 0.03 | 0.02 | 7.62 | 12.1 | 29.9 | 196 |
| 220/27/6 | 12.6 | 9.7 | 2.6 | 0.3 | 0 | 0 | 11.2 | 24.8 | 69.3 | 190 |
| 73/28/6 | n/t | n/t | n/t | n/t | n/t | n/t | n/t | n/t | n/t | n/t |
| 98/28/6 | n/t | n/t | n/t | n/t | n/t | n/t | n/t | n/t | n/t | n/t |
| 165/28/6 | 12.8 | 9.9 | 1.9 | 1 | 0.02 | 0 | 8.75 | 12.1 | 40.4 | 194 |
| 219/28/6 | 1.6 | 1.05 | 0.40 | 0.1 | 0.01 | 0 | 8.25 | 13.3 | 43.5 | 196 |
| 273/28/6 | 9.8 | 8.4 | 0.6 | 0.5 | 0.3 | 0 | 7.9 | 10 | 33 | 124 |
| Median | 9.8 | 8.35 | 1.25 | 1.25 | 0.01 | 0 | 8.26 | 13.4 | 40 | 195 |
| IQR | 5.7–12.8 | 4.53–9.85 | 0.9–1.9 | 0.9–1.9 | 0–0.02 | 0–0.01 | 7.69–9.94 | 11.2–14.5 | 37–44.5 | 170–252 |
| min–max | 1.6–22.7 | 1.05–16.9 | 0.4–4.8 | 0.4–4.8 | 0–0.3 | 0–0.05 | 5.02–11.2 | 7.7–24.8 | 25.9–69.3 | 115–530 |
| <RI | 3/14 | 1/14 | 5/14 | 5/14 | 12/14 | 0/14 | 2/14 | 2/14 | 0/14 | 9/14 |
| =RI | 10/14 | 11/14 | 9/14 | 9/14 | 2/14 | 14/14 | 8/14 | 9/14 | 10/14 | 5/14 |
| >RI | 1/14 | 2/14 | 0/14 | 0/14 | 0/14 | 0/14 | 4/14 | 3/14 | 4/14 | 0/14 |
| GLU | ALT | AST | AST/ALT | AP | LDH | GGTP | T. BILIR. | CK | KREA | UREA | T. PROT. | ALB | GLO | A/G | |
|---|---|---|---|---|---|---|---|---|---|---|---|---|---|---|---|
| Lab. Code | 100–130 mg/dL | 1–107 U/L | 1–44 U/L | 0–1.1 | 11–49 U/L | 70–405 U/L | 0–10 U/L | 0.1–1.2 mg/dL | 70–400 U/L | 0.8–1.8 mg/dL | 24–70 mg/dL | 6–7.9 g/dL | 2.5–3.9 g/dL | 2.6–5.1 g/dL | ≥0.6 |
| 31/3/7 | 147 | 2445 | 8546 | 3.5 | 21 | 1499 | 2.0 | 3.2 | 235 | 1.5 | 32 | 8.6 | 3.1 | 5.5 | 0.6 |
| 407/21/6 | 132 | 477 | 311 | 0.7 | 80 | 1539 | 9.0 | 9.6 | 1803 | 2.7 | 103 | 7.0 | 3.2 | 3.8 | 0.8 |
| 409/22/6 | 212 | 112 | 199 | 1.8 | 24 | 594 | 1.0 | 0.4 | 3052 | 1.8 | 47.8 | 7.8 | 3.3 | 4.5 | 0.7 |
| 410/22/6 | 123 | 84 | 146 | 1.7 | 34 | 963 | 7.0 | 1.5 | 1201 | 1 | 99 | 7.3 | 2.9 | 4.4 | 0.7 |
| 411/22/6 | 100 | 83 | 345 | 4.2 | 17 | 1656 | 4.0 | 0.6 | 3302 | 1.4 | 49 | 7.3 | 3.0 | 4.3 | 0.7 |
| 412/22/6 | 145 | 178 | 627 | 3.5 | 47 | 1550 | 19 | 2.8 | 5180 | 1.1 | 64 | 7.6 | 2.8 | 4.8 | 0.6 |
| 413/22/6 | 122 | 88 | 175 | 2.0 | 16 | 1405 | 2.0 | 1.0 | 2018 | 1.8 | 38 | 7.1 | 3.0 | 4.1 | 0.7 |
| 414/22/6 | 131 | 164 | 150 | 0.9 | 57 | 1682 | 18 | 2 | 491 | 1.1 | 43 | 7.4 | 3.2 | 4.2 | 0.8 |
| 415/22/6 | 133 | 70 | 181 | 2.6 | 31 | 671 | 1.0 | 0.6 | n/t | 1. | 42 | 8.6 | 3.5 | 5.1 | 0.7 |
| 417/22/6 | 189 | 131 | 136 | 1.0 | 24 | 2422 | 12 | 3.2 | 286 | 1.5 | 54 | 9.7 | 3.1 | 6.6 | 0.5 |
| 419/22/6 | 162 | 92 | 81 | 0.9 | 36 | 1645 | 0.0 | 0.5 | n/t | 1.7 | 47 | 7.5 | 3.4 | 4.1 | 0.8 |
| 104/23/6 | 218 | 51 | 119 | 2.3 | 26 | 421 | 2.0 | 3.5 | n/t | 1.6 | 25 | 7.4 | 2.9 | 4.5 | 0.6 |
| 146/24/6 | 137 | 88 | 106 | 1.2 | 32 | 1232 | 3.0 | 0.8 | n/t | 1.2 | 43 | 8.5 | 3.8 | 4.7 | 0.8 |
| 22/26/6 | 190 | 27 | 82 | 3.0 | 26 | 136 | 4.0 | 1.9 | 285 | 1.6 | 43 | 7.3 | 2.8 | 4.5 | 0.6 |
| 153/27/6 | 154 | 371 | 2229 | 6.0 | 21 | 1770 | 16 | 2 | 7781 | 1.8 | 48 | 6.7 | 2.2 | 4.5 | 0.5 |
| 219/27/6 | 360 | 70 | 101 | 1.4 | 11 | 190 | 1.0 | 0.4 | 336 | 1.4 | 70 | 8.0 | 3.4 | 4.6 | 0.7 |
| 220/27/6 | 367 | 96 | 171 | 1.8 | 16 | 1253 | 17 | 0.9 | 66 | 1.1 | 24 | 7.9 | 3.9 | 4.0 | 1.0 |
| 73/28/6 | 177 | 347 | 533 | 1.5 | 11 | 1244 | 12 | 0.4 | 216 | 1.3 | 28 | 8 | 2.7 | 5.3 | 0.5 |
| 98/28/6 | 135 | 144 | 322 | 2.2 | 67 | 516 | 15 | 0.7 | n/t | 1.4 | 33 | 8.8 | 3.8 | 5 | 0.8 |
| 165/28/6 | 179 | 161 | 276 | 1.7 | 17 | 936 | 13 | 3.9 | n/t | 1.3 | 35 | 7.3 | 2.9 | 4.4 | 0.7 |
| 219/28/6 | 190 | 49 | 2374 | 48.4 | 152 | 2003 | 2.0 | 6.2 | 6467 | 1.2 | 25 | 7.6 | 3.3 | 4.3 | 0.8 |
| 273/28/6 | 166 | 93 | 177 | 1.9 | 50 | 669 | 7.0 | 2.1 | n/t | 0.9 | 37 | 7.6 | 2.5 | 5.1 | 0.5 |
| Median | 158 | 94.5 | 179 | 1.85 | 26 | 1248.5 | 5.5 | 1.7 | 1201 | 1.4 | 43 | 7.6 | 3.1 | 4.5 | 0.7 |
| IQR | 133–190 | 83–163 | 138.5–339.3 | 1.4–3.0 | 18–44 | 669–1645 | 2–13 | 0.63–3.10 | 285.5–3177 | 1.1–1.6 | 34–48.5 | 7.3–8.0 | 2.9–3.4 | 4.3–5.0 | 0.6–0.8 |
| min–max | 100–367 | 27–2445 | 81–8546 | 0.7–48.4 | 11–152 | 136–2422 | 0–19 | 0.4–9.6 | 66–7781 | 0.9–2.7 | 24–103 | 6.7–9.7 | 2.2–3.9 | 3.8–6.6 | 0.5–1 |
| <RI | 0 | 0 | 0 | 0 | 0 | 0 | 0 | 0 | 1 | 0 | 0 | 0 | 1 | 0 | 4/22 |
| =RI | 3/22 | 12/22 | 0 | 4 | 17/22 | 2/22 | 14/22 | 10/22 | 5/15 | 21/22 | 20/22 | 15/22 | 21/22 | 19/22 | 18/22 |
| >RI | 19/22 | 10/22 | 22/22 | 18/22 | 5/22 | 20/22 | 8/22 | 12/22 | 9/15 | 1/22 | 2/22 | 7/22 | 0/22 | 3/22 | 0/22 |
Disclaimer/Publisher’s Note: The statements, opinions and data contained in all publications are solely those of the individual author(s) and contributor(s) and not of MDPI and/or the editor(s). MDPI and/or the editor(s) disclaim responsibility for any injury to people or property resulting from any ideas, methods, instructions or products referred to in the content. |
© 2026 by the authors. Licensee MDPI, Basel, Switzerland. This article is an open access article distributed under the terms and conditions of the Creative Commons Attribution (CC BY) license.
Share and Cite
Jańczak, D.; Golke, A.; Szymański, K.; Hallmann, E.; Pancer, K.; Masny, A.; Dzieciątkowski, T.; Szaluś-Jordanow, O. Clinical and Laboratory Findings in Cats with Confirmed Avian Influenza A/H5N1 Virus Infection During the 2023 Outbreak in Poland: A Retrospective Case Series of 22 Cats. Pathogens 2026, 15, 200. https://doi.org/10.3390/pathogens15020200
Jańczak D, Golke A, Szymański K, Hallmann E, Pancer K, Masny A, Dzieciątkowski T, Szaluś-Jordanow O. Clinical and Laboratory Findings in Cats with Confirmed Avian Influenza A/H5N1 Virus Infection During the 2023 Outbreak in Poland: A Retrospective Case Series of 22 Cats. Pathogens. 2026; 15(2):200. https://doi.org/10.3390/pathogens15020200
Chicago/Turabian StyleJańczak, Dawid, Anna Golke, Karol Szymański, Ewelina Hallmann, Katarzyna Pancer, Aleksander Masny, Tomasz Dzieciątkowski, and Olga Szaluś-Jordanow. 2026. "Clinical and Laboratory Findings in Cats with Confirmed Avian Influenza A/H5N1 Virus Infection During the 2023 Outbreak in Poland: A Retrospective Case Series of 22 Cats" Pathogens 15, no. 2: 200. https://doi.org/10.3390/pathogens15020200
APA StyleJańczak, D., Golke, A., Szymański, K., Hallmann, E., Pancer, K., Masny, A., Dzieciątkowski, T., & Szaluś-Jordanow, O. (2026). Clinical and Laboratory Findings in Cats with Confirmed Avian Influenza A/H5N1 Virus Infection During the 2023 Outbreak in Poland: A Retrospective Case Series of 22 Cats. Pathogens, 15(2), 200. https://doi.org/10.3390/pathogens15020200

