A Simple Deterministic Model of Protection and Cost Benefits from Vaccinating Indian Cattle Against Infectious Bovine Rhinotracheitis
Abstract
1. Introduction
2. Methods
Economic Loss per Case per Year; where
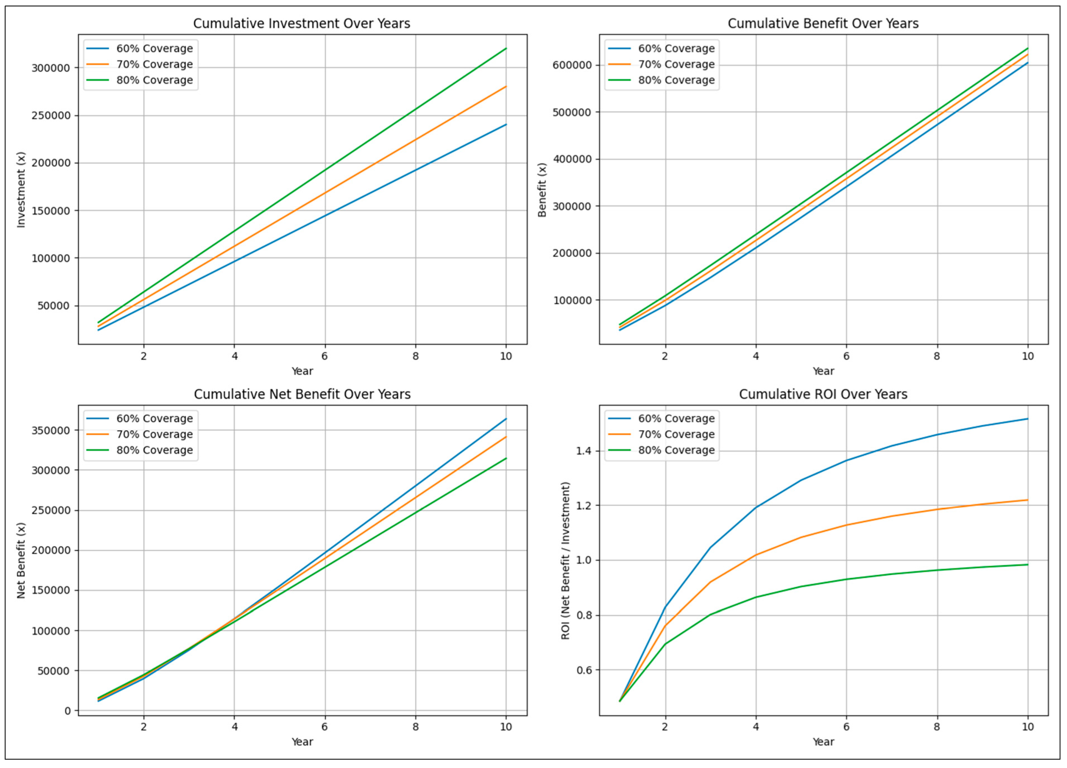
3. Results and Discussion
Supplementary Materials
Author Contributions
Funding
Institutional Review Board Statement
Informed Consent Statement
Data Availability Statement
Acknowledgments
Conflicts of Interest
References
- Rasmussen, P.; Barkema, H.W.; Osei, P.P.; Taylor, J.; Shaw, A.P.; Conrady, B.; Chaters, G.; Muñoz, V.; Hall, D.C.; Apenteng, O.O.; et al. Global losses due to dairy cattle diseases: A comorbidity-adjusted economic analysis. J. Dairy Sci. 2024, 107, 6945–6970. [Google Scholar] [CrossRef]
- Deka, R.P.; Magnusson, U.; Grace, D.; Randolph, T.F.; Shome, R.; Lindahl, J.F. Estimates of the economic cost caused by five major reproductive problems in dairy animals in Assam and Bihar, India. Animals 2021, 11, 3116. [Google Scholar] [CrossRef]
- Farooq, S.; Kumar, A.; Chaudhary, S.; Patil, C.S.; Banger, Y.; Khasa, V.; Dahiya, S.; Maan, S. Sero-prevalence and risk factor analysis of BoHV-1 in bovines in Haryana state of India. Indian J. Anim. Res. 2021, 55, 582–587. [Google Scholar]
- Patil, S.S.; Prajapati, A.; Krishnamoorthy, P.; Desai, G.S.; Reddy, G.B.M.; Suresh, K.P.; Rahman, H. Seroprevalence of infectious bovine rhinotracheitis in organized dairy farms of India. Indian J. Anim. Res. 2017, 51, 151–154. [Google Scholar] [CrossRef]
- Can, M.F.; Ataseven, V.S.; Yalçın, C. Estimation of production and reproductive performance losses in dairy cattle due to bovine herpesvirus 1 (BoHV-1) infection. Vet. Arh. 2016, 86, 499–513. [Google Scholar]
- Sayers, R.G. Associations between exposure to bovine herpesvirus 1 (BoHV-1) and milk production, reproductive performance, and mortality in Irish dairy herds. J. Dairy Sci. 2017, 100, 1340–1352. [Google Scholar] [CrossRef]
- Raaperi, K.; Orro, T.; Viltrop, A. Effect of vaccination against bovine herpesvirus 1 with inactivated gE-negative marker vaccines on the health of dairy cattle herds. Prev. Vet. Med. 2015, 118, 467–476. [Google Scholar] [CrossRef]
- Newcomer, B.W.; Cofield, L.G.; Walz, P.H.; Givens, M.D. Prevention of abortion in cattle following vaccination against bovine herpesvirus 1: A meta-analysis. Prev. Vet. Med. 2017, 138, 1–8. [Google Scholar] [CrossRef]
- Engdawork, A.; Aklilu, H. Infectious bovine rhinotracheitis: Epidemiology, control, and impacts on livestock production and genetic resources. Vet. Res. Notes 2024, 4, 1–9. [Google Scholar] [CrossRef]
- Patil, S.S.; Suresh, K.P.; Velankar, A.; Shivaranjini, C.; Hemadri, D.; Hiremath, J.; Jacob, S.S. Seroprevalence of infectious bovine rhinotracheitis (IBR) in India: A 5-year study. Vet. Ital. 2022, 58, 339–345. [Google Scholar]
- NAAS. Veterinary Vaccines and Diagnostics; Policy Paper No. 46; National Academy of Agricultural Sciences: New Delhi, India, 2010; p. 8. [Google Scholar]
- Ganguly, B.; Tayshete, S.; Melepat, D.P.; Awandkar, S.; Karnati, S.; Pattnaik, P.; Kanakasapapathy, A.K. An Open-Label, Randomized Field Trial Demonstrates Safety and Immunogenicity of Inactivated gE-Deleted Marker Vaccine Against Infectious Bovine Rhinotracheitis in Cattle. Vaccines 2025, 13, 579. [Google Scholar] [CrossRef]
- Penta, N.; Ponsekaran, S.; Yerragunta, V.; Kommoju, N.; Rachapudi, K.; Sarangi, L.N.; Muthappa, P.N.; Pamidikondala, K.; Karnati, S.; Pattnaik, P.; et al. Abstracts of the papers presented in the international conference of Indian Virological Society, VIROCON 2024 on “Emerging viruses: Pandemic and biosecurity perspectives” held during 11–13 November, 2024 at Defence Research and Development Establishment (DRDE), DRDO, Ministry of Defence, Gwalior, India. VirusDisease 2025, 36, 195. [Google Scholar] [CrossRef]
- van Drunen Littel-van den Hurk, S. Rationale and perspectives on the success of vaccination against bovine herpesvirus-1. Vet. Microbiol. 2006, 113, 275–282. [Google Scholar] [CrossRef]
- Iscaro, C.; Cambiotti, V.; Petrini, S.; Feliziani, F. Control programs for infectious bovine rhinotracheitis (IBR) in European countries: An overview. Anim. Health Res. Rev. 2021, 22, 136–146. [Google Scholar] [CrossRef]
- McLeod, A.; Rushton, J. Economics of animal vaccination. Rev. Sci. Tech. (Int. Off. Epizoot.) 2007, 26, 313–326. [Google Scholar] [CrossRef]
- Sievert, C. Interactive Web-Based Data Visualization with R, Plotly, and Shiny; Chapman and Hall/CRC: Boca Raton, FL, USA, 2020. [Google Scholar]
- Brock, J. Decision Support Using Advanced Modelling Concepts in Epidemiology: Enhancing Future Bovine Herpesvirus Type 1 Eradication in Ireland. Doctoral Dissertation, Friedrich-Schiller-Universität Jena, Jena, Germany, 2021. [Google Scholar]
- Code of Federal Regulations. Section 113.310 Bovine Rhinotracheitis Vaccine. 2023. Available online: https://www.govinfo.gov/content/pkg/CFR-2024-title9-vol1/pdf/CFR-2024-title9-vol1-sec113-310.pdf (accessed on 13 July 2025).
- Endale, H.; Aliye, S.; Mathewos, M. Vaccine epidemiology, evaluation, and constraints of vaccine effectiveness-A review. Vet. Vaccine 2022, 1, 100004. [Google Scholar] [CrossRef]
- Sharma, G.K.; Mahajan, S.; Matura, R.; Biswal, J.K.; Ranjan, R.; Subramaniam, S.; Misri, J.; Bambal, R.G.; Pattnaik, B. Herd immunity against foot-and-mouth disease under different vaccination practices in India. Transbound. Emerg. Dis. 2017, 64, 1133–1147. [Google Scholar] [CrossRef]
- Hopker, A.; Pandey, N.; Bartholomew, R.; Blanton, A.; Hopker, S.; Dhamorikar, A.; Goswami, J.; Marsland, R.; Metha, P.; Sargison, N. Livestock vaccination programme participation among smallholder farmers on the outskirts of National Parks and Tiger Reserves in the Indian states of Madhya Pradesh and Assam. PLoS ONE 2021, 16, e0256684. [Google Scholar] [CrossRef]
- Heffernan, C.; Thomson, K.; Nielsen, L. Caste, livelihoods and livestock: An exploration of the uptake of livestock vaccination adoption among poor farmers in India. J. Int. Dev. 2011, 23, 103–118. [Google Scholar] [CrossRef]
- Donadeu, M.; Nwankpa, N.; Abela-Ridder, B.; Dungu, B. Strategies to increase adoption of animal vaccines by smallholder farmers with focus on neglected diseases and marginalized populations. PLoS Neglected Trop. Dis. 2019, 13, e0006989. [Google Scholar] [CrossRef]
- Ozawa, S.; Clark, S.; Portnoy, A.; Grewal, S.; Brenzel, L.; Walker, D.G. Return on investment from childhood immunization in low-and middle-income countries, 2011–20. Health Aff. 2016, 35, 199–207. [Google Scholar] [CrossRef]
- White, P.J.; Enright, M.C. Mathematical models in infectious disease epidemiology. Infect. Dis. 2012, 1, 70–75. [Google Scholar]



Disclaimer/Publisher’s Note: The statements, opinions and data contained in all publications are solely those of the individual author(s) and contributor(s) and not of MDPI and/or the editor(s). MDPI and/or the editor(s) disclaim responsibility for any injury to people or property resulting from any ideas, methods, instructions or products referred to in the content. |
© 2025 by the authors. Licensee MDPI, Basel, Switzerland. This article is an open access article distributed under the terms and conditions of the Creative Commons Attribution (CC BY) license (https://creativecommons.org/licenses/by/4.0/).
Share and Cite
Ganguly, B.; Tayshete, S.; Pattnaik, P.; Bhargav, N.S.N.; Kanakasapapathy, A.K. A Simple Deterministic Model of Protection and Cost Benefits from Vaccinating Indian Cattle Against Infectious Bovine Rhinotracheitis. Pathogens 2025, 14, 955. https://doi.org/10.3390/pathogens14090955
Ganguly B, Tayshete S, Pattnaik P, Bhargav NSN, Kanakasapapathy AK. A Simple Deterministic Model of Protection and Cost Benefits from Vaccinating Indian Cattle Against Infectious Bovine Rhinotracheitis. Pathogens. 2025; 14(9):955. https://doi.org/10.3390/pathogens14090955
Chicago/Turabian StyleGanguly, Bhaskar, Sarvesh Tayshete, Priyabrata Pattnaik, Nyayapati Sunil Narayana Bhargav, and Anand Kumar Kanakasapapathy. 2025. "A Simple Deterministic Model of Protection and Cost Benefits from Vaccinating Indian Cattle Against Infectious Bovine Rhinotracheitis" Pathogens 14, no. 9: 955. https://doi.org/10.3390/pathogens14090955
APA StyleGanguly, B., Tayshete, S., Pattnaik, P., Bhargav, N. S. N., & Kanakasapapathy, A. K. (2025). A Simple Deterministic Model of Protection and Cost Benefits from Vaccinating Indian Cattle Against Infectious Bovine Rhinotracheitis. Pathogens, 14(9), 955. https://doi.org/10.3390/pathogens14090955

