Next Article in Journal
Diversity of Hard Ticks (Acari: Ixodidae) Fauna on Green Habitats of Urban Areas in Eastern Croatia
Next Article in Special Issue
Interlaboratory Concordance of a Multiplex ELISA for Lyme and Lyme-like Illness Using Australian Samples and Commercial Reference Panels: A Proof-of-Concept Study
Previous Article in Journal
Patients with Newly Diagnosed Cervical Cancer Should Be Screened for Anal Human Papillomavirus (HPV) and Anal Dysplasia: Results of Cost and Quality Analysis
Previous Article in Special Issue
Tick Species Identification and Zoonotic Bacteria Detection from Healthcare-Extracted Specimens from Humans in the Basque Country, Northern Iberian Peninsula
 
 
Font Type:
Arial Georgia Verdana
Font Size:
Aa Aa Aa
Line Spacing:
Column Width:
Background:
Article

Metagenomic Profile of Bacterial Communities of Hyalomma scupense and Hyalomma asiaticum Ticks in Kazakhstan

by
Kulyaisan T. Sultankulova
1,*,
Nurlan S. Kozhabergenov
1,
Gaukhar O. Shynybekova
1,
Meirim D. Almezhanova
1,
Samat B. Zhaksylyk
1,
Madina R. Abayeva
1,
Olga V. Chervyakova
1,
Takhmina O. Argimbayeva
1 and
Mukhit B. Orynbayev
1,2,3,*
1
Research Institute for Biological Safety Problems, National Holding QazBioPharm, The Ministry of Healthcare of the Republic of Kazakhstan, Kordai District, Zhambyl Region, Gvardeiskiy 080409, Kazakhstan
2
Research and Production Center MVA Group, Koksay Village, Karasai District, Almaty 040921, Kazakhstan
3
National Academy of Sciences of Kazakhstan under the President of the Republic of Kazakhstan, Almaty 050010, Kazakhstan
*
Authors to whom correspondence should be addressed.
Pathogens 2025, 14(10), 1008; https://doi.org/10.3390/pathogens14101008
Submission received: 30 August 2025 / Revised: 30 September 2025 / Accepted: 3 October 2025 / Published: 6 October 2025
(This article belongs to the Special Issue Ticks and Tick-Borne Pathogens in a Changing World)

Abstract

Ticks are important vectors of pathogens affecting humans and animals, posing a serious threat to health. For the first time, we studied the metagenomic profile of the microbial composition of Hyalomma scupense and Hyalomma asiaticum ticks in Kazakhstan. A total of 94 adult H. asiaticum and H. scupense ticks collected from randomly selected cattle in Kazakhstan in 2023 were analyzed. 16S rRNA gene sequencing was performed using the Ion Torrent NGS platform. Taxonomic classification was carried out in the BV-BRC platform with the Kraken2 database. Metagenomic analysis revealed 26 bacterial genera, including both pathogenic and symbiotic taxa. In H. scupense, the dominant groups were Francisella (89.0%), Staphylococcus (76.0%) and Candidatus Midichloria (61.0%), while in H. asiaticum, they were Francisella (99.0% and 95.0%) and Helcococcus (65.0%). In male H. scupense, the proportion of Francisella reached 89%, whereas in females, it varied from 2% to 28%. In H. asiaticum, Helcococcus accounted for 65% in males compared to 11% in females. This is the first report on the metagenomic profile of the microbiota of H. scupense and H. asiaticum in Kazakhstan. The detection of pathogens indicates a risk of their transmission to humans and animals and highlights the need to develop new tick control strategies.

1. Introduction

Ticks are widely distributed across the globe, and tick infestations pose a significant threat to livestock due to their capacity to transmit tick-borne pathogens (TBPs) and cause various diseases. Ticks are considered the second most important vectors of human diseases worldwide after mosquitoes, yet they are the primary vectors of pathogenic diseases in both domestic and wild animals [1,2]. In addition to pathogens, ticks also harbor a diverse array of symbiotic and commensal microorganisms [3,4].
Currently, 896 tick species have been recorded worldwide, of which 27 species belong to the genus Hyalomma [5,6]. The tick fauna of Kazakhstan comprises over 30 ixodid tick species, including 8 species of the genus Hyalomma. The natural conditions of Kazakhstan are favorable for the habitation of various tick species, among which H. scupense and H. asiaticum are prominent. In the desert landscapes of Kazakhstan, H. asiaticum predominates, whereas H. scupense is more common in semi-desert and low-mountain steppe regions. Ticks from the southern region of Kazakhstan are recognized as vectors and reservoirs of multiple pathogens, causing Q fever, tick-borne spotted fevers, arboviruses, and piroplasmoses [7,8,9,10,11,12].
Recent studies have shown that Hyalomma ticks serve as reservoirs and vectors for a wide range of pathogens, including bacteria and novel RNA viruses found in ticks [13,14,15]. These ticks pose a dual threat to both human health and agriculture, highlighting the need for ongoing epidemiological monitoring. Current data analysis reveals that the metagenomic profile of bacterial communities in H. scupense and H. asiaticum ticks inhabiting the southern and southeastern regions of Kazakhstan remains insufficiently studied.
Furthermore, the potential applications and prospects of metagenomic approaches in the diagnosis and epidemiological surveillance of infectious diseases have not yet been considered. Until recently, most studies focused primarily on the identification of tick-borne pathogens and their epidemiology using traditional methods [9,10,11,12]. Advancements in metagenomics have fundamentally transformed the ability to characterize the taxonomic composition of microbial ecosystems [16]. Recent metagenomic projects have revealed that the diversity of life is far greater and more complex than previously imagined through classical methods that rely on visually observable biodiversity [17,18,19,20].
To date, there are no available data on the microbiome of the most widespread and significant Hyalomma tick species in Kazakhstan. In this research, 16S rRNA metagenomics was employed to investigate bacterial communities in ticks collected from cattle in the southern and southeastern regions of Kazakhstan.
The use of the 16S rRNA metagenomic sequencing method was chosen because of its versatility, high sensitivity, and ability to detect bacteria that cannot be identified through traditional culture methods [21]. It is especially useful for identifying both dominant and rare taxa, including potential symbionts and pathogens [22]. Due to its high sensitivity, reproducibility, and relative accessibility, 16S rRNA metagenomics is an ideal tool for comprehensive analysis of tick microbiota [3]. In Kazakhstan, H. asiaticum and H. scupense are of significant epidemiological and veterinary importance [23]. They are primary vectors of particularly dangerous pathogens and reservoirs for various bacterial and viral agents. These tick species are widespread in the southern region of the country, making them key targets for epidemiological surveillance and control [24]. Therefore, this study aimed to investigate and compare the bacterial microbiome of H. asiaticum and H. scupense collected from cattle in southern Kazakhstan using 16S rRNA gene sequencing. The findings of this work may contribute to disease risk assessment for livestock and human populations in these areas and serve as a foundation for developing targeted control strategies.

2. Materials and Methods

2.1. Tick Sampling

Tick collection was conducted in April–September 2023 in the Kyzylorda, Zhambyl, Turkestan, and Zhetysu regions of Kazakhstan. All ticks were collected from cattle. The collection was performed in accordance with the permit issued by the Committee for Veterinary Control and Supervision of the Ministry of Agriculture of the Republic of Kazakhstan and with the consent of the animal owners. During tick collection, personnel adhered to strict safety measures, including wearing protective suits with sealed collars and cuffs, and regularly performing self- and mutual inspections to detect any crawling or attached ticks.
Ticks were removed using blunt forceps from the inner thigh, udder, scrotum, neck, and axillary regions of the animals. Live ticks were placed into plastic tubes with screw caps. To maintain humidity, a leaf of a cereal plant was usually added to each tube. Prior to analysis, ticks were kept alive in a cool place or refrigerated in standard tubes with plant material. Detailed labels were attached to all collected samples. Each arthropod was identified using an Altami PC0745 stereomicroscope (RS0745, Altami, Saint Petersburg, Russia). A total of 1260 ticks were collected. For subsequent microbiome analysis, 94 adult H. asiaticum and H. scupense ticks were randomly selected from cattle across various locations in the southern and southeastern regions of Kazakhstan (Table 1). Female tick samples were pooled in groups of 10 based on location, species, and sex. Two separate pools of male ticks were created, consisting of 6 and 8 individuals, respectively. Additional information, including collection sites and tick counts, is provided in Table 1.
Geographic distribution of H. scupense and H. asiaticum ticks visualized using cartographic analysis performed in QGIS software version 3.34. (Figure 1).

2.2. Molecular-Genetic Identification of Ticks

Tick specimens were initially identified using morphological methods [25], using an Altami stereomicroscope (RS0745, Altami, Saint Petersburg, Russia). The morphological identifications were subsequently confirmed by molecular genetic analysis targeting the mitochondrial cytochrome c oxidase subunit 1 gene (COX1) [26].
A fragment of the COX1 gene (820 bp) was amplified by polymerase chain reaction (PCR) for molecular identification using the following primers: Cox1F: 5′-GGAACAATATATTTAATTTTTGG-3′ and Cox1R: 5′-ATCTATCCCTACTGTAAATATATG-3′. The amplification conditions were as follows: initial denaturation at 94 °C for 2 min; followed by 35 cycles of denaturation at 94 °C for 30 s, annealing at 54 °C for 45 s, and extension at 72 °C for 1 min; with a final extension step at 72 °C for 10 min [27].
PCR products of the COX1 gene were subjected to nucleotide sequencing on an Applied Biosystems 3130 automated DNA sequencer (ABI, 3130, Foster City, CA, USA) using the Bigdye Terminator V3.1 loop sequencing kit (ABI, Vilnius, Lithuania). The obtained nucleotide sequences were analyzed using the Sequencher v. 4.5 program (Gene Codes Corporation, Ann Arbor, MI, USA). The nucleotide sequence was aligned using the Mega 7.0 computer program complex. A set of nucleotide sequences from the international GenBank database of the National Center for Biotechnology Information (NCBI) was used to construct a phylogenetic tree. Phylogenetic analysis of the sequences was performed using the Mega 11.0 program.
For the analysis, COX1 gene sequences of ticks obtained from GenBank were used (accession numbers: MW498400, JQ737073, OR533789, NC053941, MN907845, MN821375, MN964348, MN907831, OM743222.

2.3. DNA Extraction

Ticks, previously sterilized with 70% ethanol, were homogenized using a mechanical homogenizer in centrifuge tubes containing 500 µL of chilled sterile phosphate-buffered saline (PBS, 1×). The homogenized samples were then centrifuged at 12,000× g for 10 min at 4 °C, and the supernatant was collected. Total DNA was extracted from the supernatant using the QIAamp DNA Mini Kit (Qiagen, Hilden, Germany) following the manufacturer’s protocol. The purity of the extracted DNA was assessed by agarose gel electrophoresis, and DNA samples were stored at −80 °C until further use.

2.4. Library Preparation

DNA concentration from the microbial community was measured using the Qubit™ dsDNA HS (High Sensitivity) Assay Kit (Life Technologies, Carlsbad, CA, USA). Library preparation was carried out using the Ion 16S™ Metagenomics Kit (Thermo Fisher Scientific, Waltham, MA, USA). Briefly, 12 µL of DNA was mixed with 15 µL of Environmental Master Mix. Subsequently, 3 µL of each 10× 16S Primer Set was added: one tube with primers targeting regions V2–4–8 (Pool 1) and another with primers targeting V3–6, 7–9 (Pool 2). Samples were subjected to PCR under the following thermal cycling conditions: initial denaturation at 95 °C for 10 min; followed by 25 cycles of 95 °C for 30 s, 58 °C for 30 s, and 72 °C for 30 s; with a final extension at 72 °C for 7 min. Amplification products were purified using AMPure XP beads (Beckman Coulter, Brea, CA, USA) and eluted in nuclease-free water. The concentrations of PCR products from Pool 1 and Pool 2 were assessed by agarose gel electrophoresis and subsequently combined.
End repair was performed by adding 20 µL of 5× End Repair Buffer and 1 µL of End Repair Enzyme to each sample, followed by incubation at room temperature for 20 min. The pooled amplicons were purified again using AMPure XP beads and eluted in Low TE buffer. Ligation and nick repair were performed using 10× Ligase Buffer, Ion P1 Adaptor, Ion Xpress™ Barcodes, dNTP Mix, DNA Ligase, Nick Repair Polymerase, nuclease-free water, and sample DNA. The thermal protocol included incubation at 25 °C for 15 min followed by 72 °C for 5 min. Adapter-ligated and nick-repaired DNA was again purified using AMPure XP beads and eluted in Low TE buffer.
Library amplification was performed using the Ion Plus Fragment Library Kit (Thermo Fisher Scientific, Carlsbad, CA, USA) under the following PCR conditions: 95 °C for 5 min; followed by 7 cycles of 95 °C for 15 s, 58 °C for 15 s, and 70 °C for 1 min; and a final extension at 70 °C for 1 min. The amplified library was purified using AMPure XP beads and eluted in Low TE buffer. The optimal library concentration for template preparation was quantified by qPCR on a QuantStudio™ 5 Real-Time PCR System (Applied Biosystems, Foster City, CA, USA) using the Ion Universal Library Quantitation Kit (Thermo Fisher Scientific, Waltham, MA, USA). Each library was normalized to a concentration of 30 pM, and equal volumes of each library were pooled for downstream processing.

2.5. Sequencing

Libraries were prepared for sequencing using the Ion Chef Instrument and the Ion 510™ & 520™ & Ion 530™ Kit–Chef (Thermo Fisher Scientific, Waltham, MA, USA). Chips were then loaded onto the Ion GeneStudio S5 System (Ion Torrent platform) (Thermo Fisher Scientific, Marsiling Industrial Estate, Woodlands, Singapore) along with Ion S5 Sequencing Kit reagents (Thermo Fisher Scientific, Waltham, MA, USA) and sequenced at the laboratory. Samples in this study were sequenced on Ion 530 chips using 400 bp sequencing size.

2.6. Taxonomic Classification

Taxonomic analysis of the bacterial community was performed by high-throughput sequencing of the hypervariable region V2–4–8 and V3–6, 7–9 of the 16S rRNA gene on the Ion Torrent platform using next-generation sequencing technology. The obtained data were taxonomically classified on the platform of The Bacterial and Viral Bioinformatics Research Center (BV-BRC) using the standard Kraken2 database.

2.7. Statistical Data Analysis

Alpha diversity parameters of microbial communities were assessed by calculating the Shannon-Wiener diversity index [28], Simpson’s dominance index [29], and Margalef’s richness index [30].
Beta diversity analysis to compare the taxonomic composition of the microbiomes of H. scupense and H. asiaticum ticks was performed using the Bray–Curtis dissimilarity index [31]. To quantify the similarity of bacterial community species composition between H. scupense and H. asiaticum, the Jaccard index was applied [32]. Table 2 presents the formulas used for the quantitative estimation of alpha and beta diversity parameters.
All analyses were performed and processed using the R programming environment (https://www.r-project.org/). To analyze the geographical distribution of bacteria associated with H. scupense and H. asiaticum, Principal Coordinates Analysis (PCoA) was employed. Data visualization was carried out using the Python v3.13.5 programming language. Data visualization was also conducted in Python. Hierarchical clustering analysis was applied to identify natural groupings of bacteria and tick samples based on their microbiome profiles. The clustering method used was agglomerative hierarchical clustering with the nearest neighbor (single linkage) algorithm.

3. Results

3.1. Tick Collection and Identification

Tick samples randomly selected for microbiome analysis were identified to the species level using a combination of morphological and molecular data.
A total of 94 adult ticks, initially morphologically identified and grouped into 10 pools, were subjected to PCR amplification targeting a fragment of the cytochrome c oxidase subunit I (COX1) gene, followed by sequencing of PCR products from positive samples. Phylogenetic analysis of the COX1 gene sequences confirmed the morphology-based identification of the ticks as H. scupense and H. asiaticum. The COX1 gene sequences of H. scupense obtained in this study have been deposited in GenBank under the following accession numbers: PQ560690 (H. scupense Kyzylorda_Zhalagash1_KZ), PQ560881 (H. scupense Kyzylorda_Kazaly_KZ), PQ573248 (H. scupense Kyzylorda_Zhalagash2_KZ), PQ569618 (H. scupense Turkestan_Otyrar_KZ), and PQ870262 (H. scupense Zhambyl_Shu_KZ). The COX1 gene sequences of H. asiaticum have been deposited in GenBank under accession numbers: PQ569438 (H. asiaticum Zhambyl_Zhanatas1_KZ), PQ569449 (H. asiaticum Zhambyl_Zhanatas2_KZ), PQ560954 (H. asiaticum Zhetysu_Zharkent_KZ), PQ560955 (H. asiaticum Zhetysu_Chulakai_KZ), and PQ578371 (H. asiaticum Zhambyl_Ryskulov_KZ) (Figure 2).

3.2. Assessment of the Bacterial Diversity Profile Based on 16S rRNA Gene Sequencing

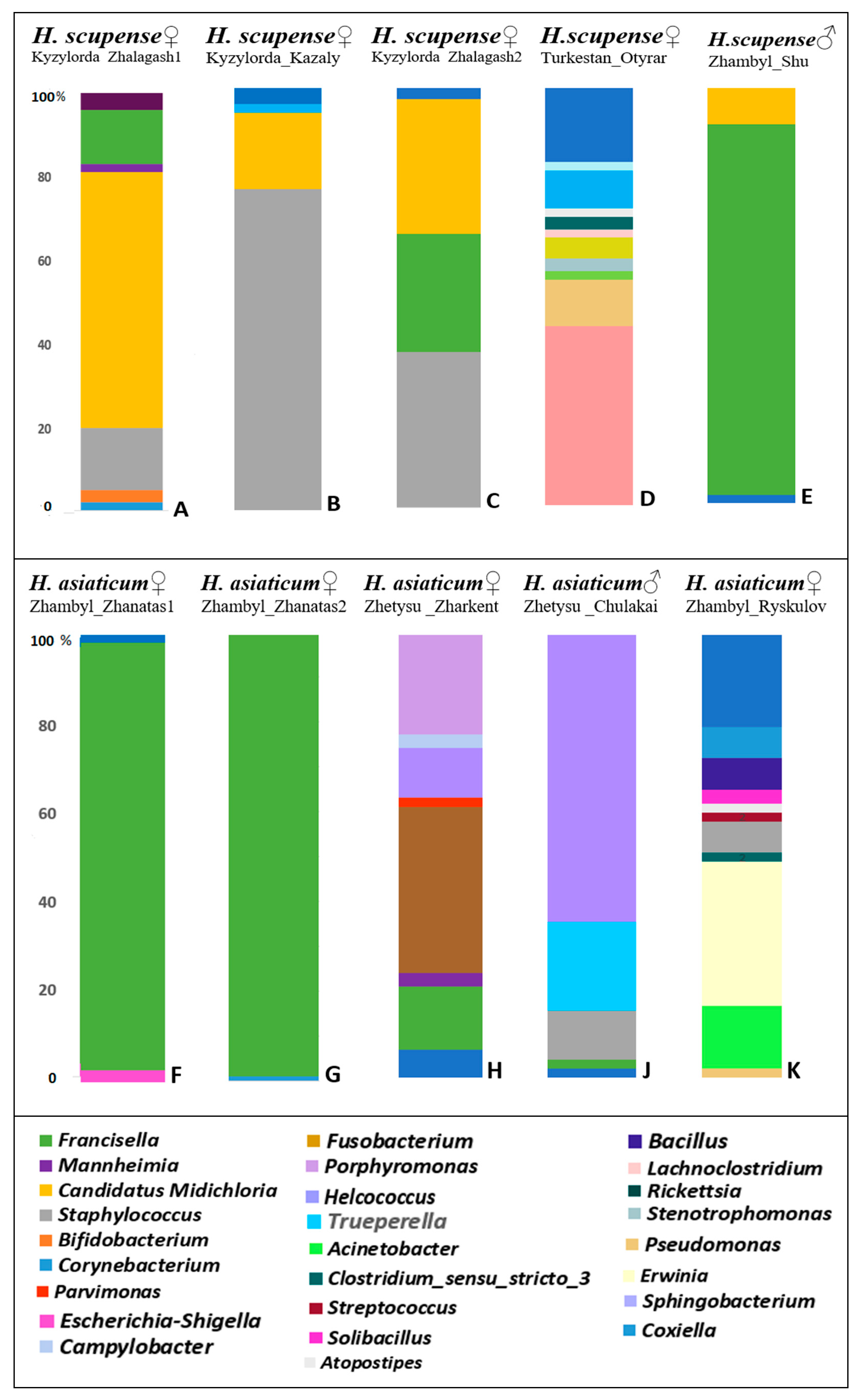
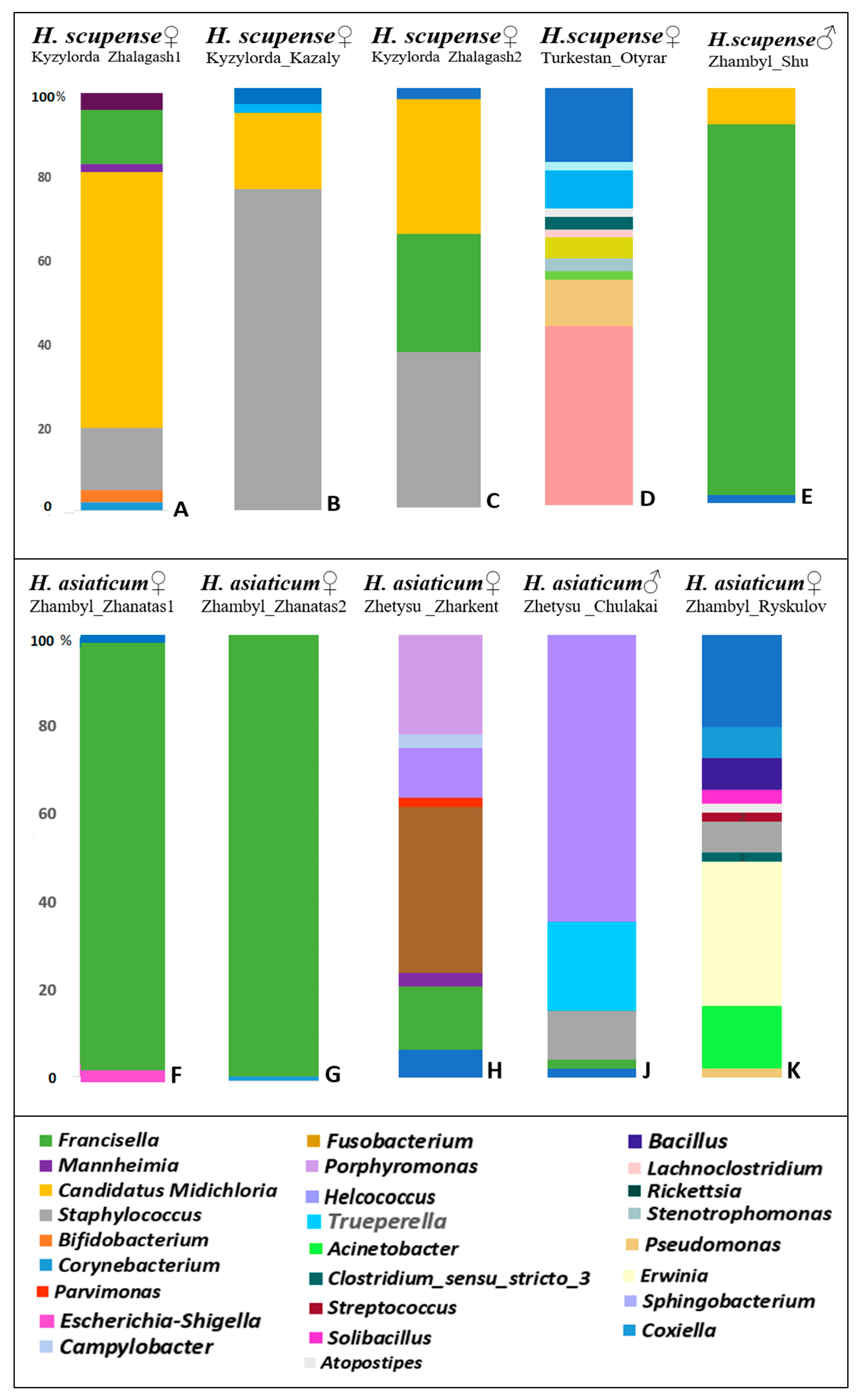
All 10 tick pools were analyzed for the presence of tick-borne bacterial agents using 16S rRNA gene sequencing data processed on the Ion Torrent next-generation sequencing platform. The raw reads are available at NCBI SRA under BioProject PRJNA1305121: SRR35607863, SRR35607862, SRR35607858, SRR35607856, SRR35607855, SRR35607854, SRR35607853, SRR35607861, SRR35628833, and SRR35628829. Analysis of the bacterial composition of Hyalomma ticks collected from cattle in different regions of Kazakhstan demonstrated clear differences between H. scupense and H. asiaticum (Table 3, Figure 3).
At the genus level, the bacterial community composition in H. scupense was dominated by Francisella (89.0%), Staphylococcus (76.0%), and Candidatus Midichloria (61.0%), whereas in H. asiaticum, a higher relative abundance of Francisella (99.0% and 95.0%) and Helcococcus (65.0%) was observed.
The results indicate that the microbiome of Kazakhstani ticks varies in composition and microbial diversity depending on the geographic region. From a geographic perspective, H. scupense and H. asiaticum ticks collected from the Zhambyl region exhibited significantly higher prevalence of Francisella (99% in Zhambyl_Zhanatas2, 95% in Zhambyl_Zhanatas1, and 89% in Zhambyl_Shu) compared to other locations.
H. scupense ticks from southern regions of Kazakhstan (Turkestan, Zhambyl, and Kyzylorda regions) showed a higher relative abundance of Candidatus Midichloria (61% in Kyzylorda_Zhalagash1), whereas this microorganism was not detected in H. asiaticum or H. scupense from the Zhetysu region.
H. scupense from the Turkestan region exhibited elevated relative abundances of several bacterial genera, including Coxiella (43.0%), Pseudomonas (11.0%), Acinetobacter (2.0%), Stenotrophomonas (3.0%), Rickettsia (5.0%), Lachnoclostridium (2.0%), Clostridium sensu stricto 3 (3.0%), Atopostipes (2.0%), Corynebacterium (9.0%), and Sphingobacterium (2.0%) (Figure 3D).
H. asiaticum from the Zhambyl region harbored more abundant bacterial genera such as Pseudomonas (3.0%), Acinetobacter (14.0%), Erwinia (32.0%), Clostridium sensu stricto 3 (2.0%), Staphylococcus (7.0%), Streptococcus (2.0%), Atopostipes (2.0%), Solibacillus (3.0%), Bacillus (7.0%), and Corynebacterium (7.0%) (Figure 3K).
The endosymbiont Francisella constituted a significantly dominant proportion of the microbiome in male H. scupense ticks (89.0%, Figure 3E) compared to females (13.0%, Figure 3A; 28%, Figure 3C; and 2%, Figure 3D).
Similarly, Helcococcus comprised a significantly dominant percentage of the microbiome in male H. asiaticum ticks (65.0%, Figure 3J) compared to females (11.0%, Figure 3H).

3.3. Bacterial Microbiome Diversity in H. scupense and H. asiaticum

Alpha diversity of bacterial communities associated with H. scupense and H. asiaticum ticks is determined by the Shannon-Wiener, Margalef, and Simpson indices (Figure 4).
The bacterial abundance distribution curves for H. scupense (Figure 4A) and H. asiaticum (Figure 4B) show that a small number of bacterial genera (top ranks) carry the greatest abundance, while the majority of taxa occur at lower abundance levels. The broken shape of the curve suggests the presence of dominant bacteria with a gradual decline in abundance among other taxa. Notably, H. asiaticum demonstrates a more pronounced dominance of a single bacterial genus, whereas H. scupense exhibits a more even distribution among several top-ranked genera.
Shannon-Wiener index (Figure 4C): the median for H. scupense was 0.17 (interquartile ranges (IQR) 0.17–0.33), for H. asiaticum–0.21 (IQR 0.14–0.29), which reflects the high uniformity of communities in H. asiaticum.
Margalef index (Figure 4D): for H. scupense the median is 0.52 (IQR 0.52–1.29), for H. asiaticum the median is—0.78 (IQR 0.26–1.57), which indicates species richness in H. asiaticum.
Simpson index (Figure 4E): median values were 0.003 (IQR 0.003–0.013) for H. scupense and 0.010 (IQR 0.001–0.020) for H. asiaticum, confirming the high diversity in H. asiaticum.

3.4. Microbial Variations Depending on Geographic Origin

We constructed distribution diagrams and cladograms of microbial communities, demonstrating differences in the bacterial composition of H. scupense and H. asiaticum ticks according to their geographic origin. To assess differences in bacterial communities between regions, principal coordinate analysis (PCoA) was performed. Coordinates were calculated based on the Bray–Curtis distance matrix.
The microbiome of H. asiaticum showed no significant differences between regions (p-value = 0.299, p > 0.05, ANOVA test), suggesting a similar bacterial composition across different locations. This indicates that H. asiaticum harbors a relatively stable microbiota independent of geographic location.
For H. scupense, differences between regions were statistically significant, with a p-value of 0.023 (p < 0.05) according to the ANOVA test. The microbiome of H. scupense significantly varies among regions, which is supported by the visual analysis of the PCoA plot. A statistically significant difference in bacterial composition was observed between the Kyzylorda and Zhetysu regions for H. scupense (p = 0.016). This may indicate that environmental or host-related factors differ between these regions. For example, the climate in the Kyzylorda region is more arid and located further south, whereas the Zhetysu region is more humid and situated to the east, potentially leading to distinct microbial community structures (Figure 5).

3.5. Beta Diversity of the Bacterial Community in the Microbiome of H. scupense and H. asiaticum Ticks

The Jaccard index was used to assess the similarity in bacterial community composition between H. scupense and H. asiaticum, reflecting the proportion of shared bacterial taxa between sample pairs. Hierarchical clustering analysis was applied to identify natural groups of bacteria within the tick microbiomes (Figure 6).
The constructed heatmap with hierarchical clustering revealed patterns in the distribution of bacterial composition among ticks. Statistically significant differences between groups (p < 0.001, t-test) indicate that bacterial communities of different tick species form distinguishable clusters. Some bacterial genera, such as Mannheimia, Staphylococcus, Pseudomonas, Acinetobacter, Clostridium sensu stricto 3, and Atopostipes, are present in both samples with equal proportions (0.5), indicating partial overlap in bacterial composition. The genera Corynebacterium (0.75 and 0.25) and Francisella (0.43 and 0.57) occur in both samples but at different frequencies. The similarity level of bacterial communities between H. scupense and H. asiaticum ticks based on the Jaccard index is only 30.8%, with only 8 shared bacterial genera identified.
Certain bacteria, including Coxiella, Candidatus Midichloria, Stenotrophomonas, Rickettsia, Lachnoclostridium, Sphingobacterium, and Bifidobacterium, are found exclusively in H. scupense, indicating a species-specific bacterial composition. Conversely, genera such as Fusobacterium, Escherichia-Shigella, Parvimonas, Helcococcus, Campylobacter, Porphyromonas, Trueperella, Erwinia, Streptococcus, Solibacillus, and Bacillus are unique to H. asiaticum, reflecting bacterial diversity specific to this tick species.
Thus, the analysis demonstrates that the bacterial communities of the two tick species comprise both shared and unique taxa, suggesting differences in their ecology or potential interactions with pathogens.

4. Discussion

Ticks of the genus Hyalomma are one of the most widespread and epidemiologically significant genera of ixodid ticks, found primarily in the steppe, semi-desert, and desert regions of Eurasia, the Middle East, and Africa [33,34,35]. These ticks are well adapted to hot and arid climates, are frequently found in pasture areas, and are closely associated with farm animals, primarily cattle and small ruminants, as well as camels and horses. Due to their high ecological plasticity and ability to migrate long distances with their hosts, Hyalomma play a key role in maintaining natural foci of vector-borne infections and pose a serious threat to human and animal health [14,15].
Studies of Hyalomma microbial populations not only expand knowledge about their biology and ecology, but also have direct practical implications for the epidemiology of transmissible infections [36]. Studying the microbiota allows us to better understand potential pathogen transmission routes, identify factors influencing the formation of the bacterial community, and develop new approaches to biosecurity and the fight against tick-borne infections [20]. In Kazakhstan, there is very little data on the composition of microbial communities in the most common species—H. scupense and H. asiaticum. Studying their microbiota and symbionts is important for understanding the bacterial communities of ticks. Such research can help to elucidate their ability to transmit pathogens to vertebrate hosts.
In the bacterial microbiota of Kazakhstan ticks H. scupense and H. asiaticum, the symbiotic/pathogenic bacterium Francisella predominates in the microbiome. According to literature data, Francisella predominates in the microbiome of H. excavatum and H. marginatum [37].
Recent studies confirm the widespread distribution of Francisella in other representatives of the genus Hyalomma. Francisella-like endosymbionts are transmitted vertically [38] and constitute the main components of the Hyalomma microbiome worldwide [20]. Thus, they have been identified in H. anatolicum in Pakistan, H. lusitanicum in Spain, H. aegyptium in Turkey, H. dromedarii in the Middle East, and also in H. asiaticum in China [17,39,40,41].
These results demonstrate that the Francisella symbiont/pathogen plays a key role in shaping the microbial communities of Hyalomma ticks and likely has a significant impact on its vector competence. Bacterial endosymbionts may influence tick physiology and reproductive capacity, as well as the ability of ticks to transmit transmitted pathogens, and finally may interact with tick hosts, which may have veterinary and zoonotic implications, in particular for Francisella and Rickettsia bacteria [15]. Staphylococcus and Helcococcus were the most common pathogens in H. scupense and H. asiaticum, respectively, indicating the possible presence of these microorganisms in animal populations parasitized by these tick species.
Identification of Helcococcus spp. is challenging due to the slow growth of these organisms [42]. In our study, Helcococcus was identified using 16S rRNA gene sequencing. Members of the genus Helcococcus are known to cause mastitis and urocystitis in animals [43]. Different species of Staphylococci vary in their virulence, which determines different levels of health threat. Staphylococcus probably enters the tick’s body from the environment and persists throughout its life cycle [44].
Their exact role is still unknown, but pathogenic species such as Staphylococcus lentus and Staphylococcus saprophyticus, which were previously found in Hyalomma ticks [45], may be the reason why staphylococci are frequently detected in these ticks. In our study, Staphylococcus accounted for 7.0% of the microbiota in H. asiaticum and 76% in H. scupense, confirming the prevalence of this genus of bacteria in these tick species. Candidatus Midichloria mitochondrii is a widespread endosymbiont of ticks [46]. This bacterium plays a critical role in the growth and development of the host, providing it with additional sources of ATP and B vitamins, which contributes to an increase in the adaptive capabilities and general biology of ticks [47]. Previously, Candidatus Midichloria mitochondrii was detected in H. anatolicum in Xinjiang, China [48]. In our study, this endosymbiont was detected only in H. scupense.
Blood feeding is known to have a strong impact on tick microbial diversity, composition, and species richness [49]. Ticks acquire more microorganisms, including pathogens, from hosts during blood feeding. More diverse and larger numbers of vertebrate hosts result in a more diverse microbiota [50].
Despite the presence of a common bacterial base, a significant proportion of the bacterial composition differs between H. scupense and H. asiaticum. The data obtained highlight both the species-specificity of microbial associations and the potential influence of environmental [51,52], geographic [53] and other factors on the formation of microbial communities in ticks.
Our study revealed a difference in the microbiota composition between the sexes of H. scupense and H. asiaticum ticks. In male H. scupense, a higher prevalence of the endosymbiont Francisella was found, which constituted the dominant part of the microbiome—89% in samples from Zhambyl_Shu. At the same time, in females, the proportion of Francisella was significantly lower: 13%—Kyzylorda_Zhalagash 1, 28% Kyzylorda_Zhalagash 2 and only 2%—Turkestan_Otyrar. This difference may indicate sexual characteristics in the formation of microbial communities and the role of endosymbionts in H. scupense, which requires further study.
H. asiaticum exhibits significant sex differences in the microbiota composition. In males from the Zhetysu_Chulakai region, the proportion of Helcococcus was 65%, while in females from Zhetysu_Zharkent it was only 11%. This indicates a potential sex specificity in the formation of the bacterial community. According to the literature, Helcococcus was not so widely detected in H. truncatum collected from cattle; it was present with a relative frequency of about 4.7% [54].
Males and females may have different contacts with the host, habitat, and food, which may determine differences in the microbiota, including the predominance of Helcococcus in males.
Our results expand our understanding of the biodiversity and microbiota ecology of Hyalomma in Central Asia and highlight the need for further research to understand the contribution of endosymbionts and pathogens to the vector competence of these ticks. These results are particularly important for Central Asian countries, where Hyalomma ticks are widespread and play an important role in the transmission of zoonotic infections. The lack of data on the microbiota of local tick populations hinders understanding of epidemiological risks in the region. Our results fill this gap and provide a basis for the development of preventive and diagnostic strategies aimed at reducing the threat to human and animal health in Kazakhstan and neighboring Central Asian countries.
Cattle play a key role in food security, being the main source of meat and milk, making them an important target for assessing the risk of transmission of tick-borne pathogens [55]. Our study is limited to using ticks collected only from cattle. We chose this approach because cattle are of great epidemiological importance in Kazakhstan. Furthermore, collecting ticks from only one animal species allowed us to conduct sampling under identical conditions, making the results more comparable. However, this limitation may have biased the results, as it did not account for the influence of other hosts and the environment on the tick microbiome. Including ticks collected from wild animals or vegetation would be a promising avenue for future research.

5. Conclusions

Our study characterized the microbial communities of H. scupense and H. asiaticum from the southern and southeastern regions of Kazakhstan for the first time using next-generation sequencing.
H. scupense and H. asiaticum ticks contained 15 and 19 genera of bacteria, respectively, with only eight (30.8%) being common. 69.2% of the bacterial composition consisted of species-specific taxa, with 26.9% for H. scupense and 42.3% for H. asiaticum. The dominance of Francisella in both species confirms its key role in the microbiome of the genus Hyalomma, while the identified sex differences—the predominance of Francisella in male H. scupense and Helcococcus in male H. asiaticum—indicate an additional level of regulation of microbial associations. These results expand our understanding of the biodiversity and microbiota ecology of Hyalomma in Central Asia and highlight the need for further research aimed at understanding the contribution of endosymbionts and pathogens to the vector competence of these ticks.

Author Contributions

Conceptualization, K.T.S. and M.B.O.; methodology, N.S.K. and G.O.S.; Software, T.O.A.; validation, N.S.K., M.D.A. and S.B.Z.; formal analysis, O.V.C. and M.R.A.; investigation, G.O.S.; resources, G.O.S.; data curation, K.T.S.; writing—original draft preparation, K.T.S.; writing—review and editing, K.T.S. and M.B.O.; visualization, M.D.A., G.O.S. and N.S.K.; supervision, O.V.C. and N.S.K.; project administration, K.T.S. and T.O.A.; funding acquisition, K.T.S. All authors have read and agreed to the published version of the manuscript.

Funding

This research was funded by the Science Committee of the Ministry of Science and Higher Education of the Republic of Kazakhstan (Grant No. AP19677632).

Institutional Review Board Statement

The study was conducted in accordance with the Declaration of Helsinki and was approved by the Ethics Committee of the Research Institute for Biological Safety Problems of the Ministry of Health of the Republic of Kazakhstan (permit number: No. 10/14-11-12, 14 November 2022).

Informed Consent Statement

Not applicable.

Data Availability Statement

The data are available in the article. Further inquiries can be directed to the corresponding authors.

Conflicts of Interest

The authors declare that the research was conducted in the absence of any commercial or financial relationships that could be construed as potential conflicts of interest.

References

  1. Boulanger, N.; Boyer, P.; Talagrand-Reboul, E.; Hansmann, Y. Ticks and tick-borne diseases. Med. Mal. Infect. 2019, 49, 87–97. [Google Scholar] [CrossRef] [PubMed]
  2. Parola, P.; Raoult, D. Ticks and tickborne bacterial diseases in humans: An emerging infectious threat. Clin. Infect. Dis. 2001, 32, 897–928. [Google Scholar] [CrossRef]
  3. Greay, T.L.; Gofton, A.W.; Paparini, A.; Ryan, U.M.; Oskam, C.L.; Irwin, P.J. Recent insights into the tick microbiome gained through next-generation sequencing. Parasit. Vectors 2018, 11, 12. [Google Scholar] [CrossRef]
  4. Wu-Chuang, A.; Hodzic, A.; Mateos-Hernandez, L.; Estrada-Pena, A.; Obregon, D.; Cabezas-Cruz, A. Current debates and advances in tick microbiome research. Curr. Res. Parasitol. Vector Borne Dis. 2021, 1, 100036. [Google Scholar] [CrossRef]
  5. Guglielmone, A.A.; Robbins, R.G.; Apanaskevich, D.A.; Petney, T.N.; Estrada-Peña, A.; Horak, I.G.; Shao, R.; Barker, S. The Argasidae, Ixodidae and Nuttalliellidae (Acari: Ixodida) of the world: A list of valid species names. Zootaxa 2010, 2528, 1–28. [Google Scholar] [CrossRef]
  6. Sonenshine, D.E.; Lane, R.; Nicholson, W. Ticks (Ixodida). In Medical and Veterinary Entomology; Mullen, G., Durden, L., Eds.; Academia: Orlando, FL, USA, 2002; pp. 517–558. [Google Scholar]
  7. Sayakova, Z.Z.; Abdybekova, A.M.; Zhaksylykova, A.A.; Kenessary, S.A.; Berdiakhmetkyzy, S.; Kulemin, M.V. Distribution of Hyalomma asiaticum Schulze et Schlottke, 1929 (Acari, Ixodidae) ticks in southern Kazakhstan. Sci. Educ. 2024, 3, 76. [Google Scholar]
  8. Kulemin, M.V.; Rapoport, L.P.; Vasilenko, A.V.; Kobeshova, Z.h.B.; Shokputov, T.M.; Saylaubekuly, R.; Atovullaeva, L.M. Ixodid ticks of farm animals in Southern Kazakhstan: Fauna structure, abundance, epizootological significance. Parazitologiya 2020, 54, 25–31. [Google Scholar]
  9. Perfilyeva, Y.V.; Shapiyeva, Z.Z.h.; Ostapchuk, Y.O.; Berdygulova, Z.A.; Bissenbay, A.O.; Kulemin, M.V.; Ismagulova, G.A.; Skiba, Y.A.; Sayakova, Z.Z.; Mamadaliyev, S.M. Tick-borne pathogens and their vectors in Kazakhstan. Ticks Tick-Borne Dis. 2020, 11, 101498. [Google Scholar] [CrossRef]
  10. Sultankulova, K.T.; Shynybekova, G.O.; Kozhabergenov, N.S.; Mukhami, N.N.; Chervyakova, O.V.; Burashev, Y.D.; Zakarya, K.D.; Nakhanov, A.K.; Barakbayev, K.B.; Orynbayev, M.B. The prevalence and genetic variants of the CCHF virus circulating among ticks in the southern regions of Kazakhstan. Pathogens 2022, 11, 841. [Google Scholar] [CrossRef]
  11. Sultankulova, K.T.; Shynybekova, G.O.; Issabek, A.U.; Mukhami, N.N.; Melisbek, A.M.; Chervyakova, O.V.; Kozhabergenov, N.S.; Barmak, S.M.; Bopi, A.K.; Omarova, Z.D. The prevalence of pathogens among ticks collected from livestock in Kazakhstan. Pathogens 2022, 11, 1206. [Google Scholar] [CrossRef]
  12. Orynbayev, M.B.; Rystaeva, R.A.; Omarova, Z.D.; Kerimbaev, A.A.; Sarsenbaeva, G.Z.H.; Kopeev, S.K.; Nakhanov, A.K.; Strochkov, V.M.; Sultankulova, K. Isolation of Coxiella burnetii from ticks in Kazakhstan. Biosafety Biotechnol. 2020, 1, 62–67. [Google Scholar]
  13. Sultankulova, K.T.; Kozhabergenov, N.S.; Shynybekova, G.O.; Chervyakova, O.V.; Usserbayev, B.S.; Alibekova, D.A.; Zhunushov, A.T.; Orynbayev, M.B. Metagenomic Detection of RNA Viruses of Hyalomma asiaticum Ticks in the Southern Regions of Kazakhstan. Microorganisms 2025, 13, 2064. [Google Scholar] [CrossRef]
  14. Serretiello, E.; Astorri, R.; Chianese, A.; Stelitano, D.; Zannella, C.; Folliero, V.; Santella, B.; Galdiero, M.; Franci, G.; Galdiero, M. The Emerging Tick-Borne Crimean-Congo Haemorrhagic Fever Virus: A Narrative Review. Travel. Med. Infect. Dis. 2020, 37, 101871. [Google Scholar] [CrossRef]
  15. Benyedem, H.; Lekired, A.; Mhadhbi, M.; Dhibi, M.; Romdhane, R.; Chaari, S.; Rekik, M.; Ouzari, H.I.; Hajji, T.; Darghouth, M.A. First Insights into the Microbiome of Tunisian Hyalomma Ticks Gained through Next-Generation Sequencing with a Special Focus on H. scupense. PLoS ONE 2022, 17, e0268172. [Google Scholar] [CrossRef] [PubMed]
  16. Gilbert, J.A.; Blaser, M.J.; Caporaso, J.G.; Jansson, J.K.; Lynch, S.V.; Knight, R. Current understanding of the human microbiome. Nat. Med. 2018, 24, 392–400. [Google Scholar] [CrossRef] [PubMed]
  17. Kratou, M.; Maitre, A.; Abuin-Denis, L.; Selmi, R.; Belkahia, H.; Alanazi, A.D.; Gattan, H.; Al-Ahmadi, B.M.; Shater, A.F.; Mateos-Hernández, L.; et al. Microbial community variations in adult Hyalomma dromedarii ticks from Saudi Arabia and Tunisia. Front. Microbiol. 2025, 16, 1543560. [Google Scholar] [CrossRef]
  18. Aguilar-Díaz, H.; Quiroz-Castañeda, R.E.; Cobaxin-Cárdenas, M.; Salinas-Estrella, E.; Amaro-Estrada, I. Advances in the study of the tick cattle microbiota and the influence on vectorial capacity. Front. Vet. Sci. 2021, 8, 710352. [Google Scholar] [CrossRef]
  19. Maldonado-Ruiz, P. The tick microbiome: The “other bacterial players” in tick biocontrol. Microorganisms 2024, 12, 2451. [Google Scholar] [CrossRef]
  20. Masri, M.T.A.; Al-Deeb, M.A. A systematic review of the microbiome of Hyalomma Koch, 1844 ticks using next-generation sequencing of the 16S rRNA gene. Vet. World 2025, 18, 1090–1100. [Google Scholar] [CrossRef]
  21. Rimoldi, S.G.; Tamoni, A.; Rizzo, A.; Longobardi, C.; Pagani, C.; Salari, F.; Matinato, C.; Vismara, C.; Gagliardi, G.; Cutrera, M. Evaluation of 16S-Based Metagenomic NGS as Diagnostic Tool in Different Types of Culture-Negative Infections. Pathogens 2024, 13, 743. [Google Scholar] [CrossRef]
  22. Alkathiri, B.; Lee, S.; Ahn, K.; Cho, Y.S.; Youn, S.Y.; Seo, K.; Umemiya-Shirafuji, R.; Xuan, X.; Kwak, D.; Shin, S.; et al. 16S rRNA Metabarcoding for the Identification of Tick-Borne Bacteria in Ticks in the Republic of Korea. Sci. Rep. 2024, 14, 19708. [Google Scholar] [CrossRef]
  23. Jia, Y.Q.; Wang, S.Y.; Yang, M.H.; Ulzhan, N.; Omarova, K.; Liu, Z.Q.; Kazkhan, O.; Wang, Y.Z. First Detection of Tacheng Tick Virus 2 in Hard Ticks from Southeastern Kazakhstan. Kafkas Univ. Vet. Fak. Derg. 2022, 28, 139–142. [Google Scholar]
  24. Bukharbaev, E.B.; Bayakhmetova, M.M.; Abuova, G.N.; Sailaubekuly, R.; Utepov, P.D.; Eskerova, S.U.; Kulemin, M.V.; Berdiyarova, N.A.; Beisembayeva, Z.I. Entomological and Epidemiological Aspects of Emerging Tick-Borne Infections in Southern Kazakhstan. Pharm. J. Kazakhstan 2024, 2, 173–182. [Google Scholar]
  25. Apanaskevich, D.A.; Horak, I.G. The genus Hyalomma. XI. Redescription of all parasitic stages of H. (Euhyalomma) asiaticum and notes on its biology. Exp. Appl. Acarol. 2010, 52, 207–220. [Google Scholar] [CrossRef]
  26. Lv, J.; Wu, S.; Zhang, Y. Assessment of four DNA fragments (COI, 16S rDNA, ITS2, 12S rDNA) for species identification of the Ixodida (Acari: Ixodida). Parasit. Vectors. 2014, 7, 93. [Google Scholar] [CrossRef]
  27. Chitimia, L.; Lin, R.Q.; Cosoroaba, I.; Wu, X.Y.; Song, H.Q.; Yuan, Z.G.; Zhu, X.Q. Genetic characterization of ticks from southwestern Romania by sequences of mitochondrial cox1 and nad5 genes. Exp. Appl. Acarol. 2010, 52, 305–311. [Google Scholar] [CrossRef] [PubMed]
  28. Thukral, A.K.; Bhardwaj, R.; Kumar, V.; Sharma, A. New indices regarding the dominance and diversity of communities, derived from sample variance and standard deviation. Heliyon 2019, 5, e02606. [Google Scholar] [CrossRef] [PubMed]
  29. Simpson, E.H. Measurement of diversity. Nature 1949, 168, 668. [Google Scholar] [CrossRef]
  30. Margalef, D.R. Information theory in ecology. Gen. Syst. 1958, 3, 36–71. [Google Scholar]
  31. Krebs, C.J. Ecological Methodology; Benjamin Cummings: Menlo Park, CA, USA, 1999. [Google Scholar]
  32. Pesenko, Y.A. Principles and Methods of Quantitative Analysis in Faunistic Studies; Nauka: Moscow, Russia, 1982. [Google Scholar]
  33. Estrada-Peña, A.; Farkas, R.; Jaenson, T.G.; Koenen, F.; Madder, M.; Pascucci, I.; Salman, M.; Tarrés-Call, J.; Jongejan, F. Association of Environmental Traits with the Geographic Ranges of Ticks (Acari: Ixodidae) of Medical and Veterinary Importance in the Western Palearctic. A Digital Data Set. Exp. Appl. Acarol. 2013, 59, 351–366. [Google Scholar] [CrossRef]
  34. Alves Rodrigues, M.; Lesiczka, P.; Fontes, M.C.; Cardoso, L.; Coelho, A.C. The Expanding Threat of Crimean-Congo Haemorrhagic Fever Virus: Role of Migratory Birds and Climate Change as Drivers of Hyalomma spp. Dispersal in Europe. Birds 2025, 6, 31. [Google Scholar] [CrossRef]
  35. Capek, M.; Literak, I.; Kocianova, E.; Sychra, O.; Najer, T.; Trnka, A.; Kverek, P. Ticks of the Hyalomma marginatum Complex Transported by Migratory Birds into Central Europe. Ticks Tick-Borne Dis. 2014, 5, 489–493. [Google Scholar] [CrossRef]
  36. Khalaf, J.M.; Mohammed, I.A.; Karim, A.J. The epidemiology of tick in transmission of Enterobacteriaceae bacteria in buffaloes in marshes of the south of Iraq. Vet. World 2018, 11, 1677–1681. [Google Scholar] [CrossRef]
  37. Keskin, A.; Bursali, A.; Snow, D.E.; Dowd, S.E.; Tekin, S. Assessment of bacterial diversity in Hyalomma. Exp. Appl. Acarol. 2017, 73, 461–475. [Google Scholar] [CrossRef] [PubMed]
  38. Scoles, G.A. Phylogenetic analysis of the Francisella-like endosymbionts of Dermacentor ticks. J. Med. Entomol. 2004, 41, 277–286. [Google Scholar] [CrossRef]
  39. Karim, S.; Budachetri, K.; Mukherjee, N.; Williams, J.; Kausar, A.; Hassan, M.J.; Adamson, S.; Dowd, S.E.; Apanskevich, D.; Arijo, A.; et al. A study of ticks and tick-borne livestock pathogens in Pakistan. PLoS Negl. Trop. Dis. 2017, 11, e0005681. [Google Scholar] [CrossRef]
  40. Ghafar, A.; Cabezas-Cruz, A.; Galon, C.; Obregon, D.; Gasser, R.B.; Moutailler, S.; Jabbar, A. Bovine ticks harbour a diverse array of microorganisms in Pakistan. Parasit. Vectors 2020, 13, 1–15. [Google Scholar] [CrossRef]
  41. Duan, L.; Yang, X.; Zhang, L. The differences in microbial communities and tick-borne pathogens between Dermacentor marginatus and Hyalomma asiaticum collected from Northwestern China. BMC Infect. Dis. 2025, 25, 1019. [Google Scholar] [CrossRef]
  42. Collins, M.D.; Falsen, E.; Brownlee, K.; Lawson, P.A. Helcococcus sueciensis sp. nov., isolated from a human wound. Int. J. Syst. Evol. Microbiol. 2004, 54, 1557–1560. [Google Scholar] [CrossRef]
  43. Collins, M.D.; Falsen, E.; Foster, G.; Monasterio, L.R.; Dominguez, L.; Fernandez-Garayzabal, J.F. Helcococcus ovis sp. nov., a Gram-positive organism from sheep. Int. J. Syst. Bacteriol. 1999, 49, 1429–1432. [Google Scholar] [CrossRef] [PubMed]
  44. Zhang, X.Y.; Zhou, X.J.; Chen, K.L.; Masoudi, A.; Liu, J.Z.; Zhang, Y.K. Bacterial microbiota analysis demonstrates that ticks acquire bacteria from habitat and host blood meal. Exp. Appl. Acarol. 2021, 87, 81–95. [Google Scholar]
  45. Li, C.H.; Cao, J.; Zhou, Y.Z.; Zhang, H.S.; Gong, H.Y.; Zhou, J.L. The midgut bacterial flora of laboratory-reared ticks (Haemaphysalis longicornis, Hyalomma asiaticum, Rhipicephalus haemaphysaloides). J. Integr. Agric. 2014, 13, 1766–1771. [Google Scholar] [CrossRef]
  46. Beninati, T.; Lo, N.; Sacchi, L.; Genchi, C.; Noda, H.; Bandi, C. A novel alpha-Proteobacterium resides in mitochondria of ovarian cells of Ixodes ricinus. Appl. Environ. Microbiol. 2004, 70, 2596–2602. [Google Scholar] [CrossRef] [PubMed]
  47. Olivieri, E.; Epis, S.; Castelli, M. Tissue tropism and metabolic pathways of Midichloria mitochondrii in Ixodes ricinus. Ticks and Tick-Borne Dis. 2019, 10, 1070–1077. [Google Scholar] [CrossRef] [PubMed]
  48. Luo, T.; Hu, E.; Gan, L.; Yang, D.; Wu, J.; Gao, S.; Tuo, X.; Bayin, C.G.; Hu, Z.; Guo, Q. Candidatus Midichloria mitochondrii can be vertically transmitted in Hyalomma anatolicum. Exp. Parasitol. 2024, 265, 108828. [Google Scholar] [CrossRef]
  49. Swei, A.; Kwan, J.Y. Tick microbiome and pathogen acquisition altered by host blood meal. ISME J. 2017, 11, 813–816. [Google Scholar] [CrossRef] [PubMed]
  50. Pollet, T.; Sprong, H.; Lejal, E.; Krawczyk, A.I.; Moutailler, S.; Cosson, J.F.; Vayssier-Taussat, M.; Estrada-Peña, A. Scale affects identification and distribution of microbial communities in ticks. Parasit. Vectors 2020, 13, 36. [Google Scholar] [CrossRef]
  51. Aivelo, T.; Norberg, A.; Tschirren, B. Bacterial microbiota composition of Ixodes ricinus: Environmental variation, tick characteristics and microbial interactions. PeerJ 2019, 7, e8217. [Google Scholar] [CrossRef]
  52. Trout Fryxell, R.T.; DeBruyn, J.M. The microbiome of Ehrlichia-infected and uninfected lone star ticks (Amblyomma americanum). PLoS ONE 2016, 11, e0168994. [Google Scholar]
  53. van Treuren, W.; Ponnusamy, L.; Brinkerhoff, R.J.; Gonzalez, A.; Parobek, C.M.; Juliano, J.J.; Andreadis, T.G.; Falco, R.C.; Ziegler, L.B.; Hathaway, N.; et al. Variation in the microbiota of Ixodes ticks with geography, species, and sex. Appl. Environ. Microbiol. 2015, 81, 6200–6209. [Google Scholar] [CrossRef]
  54. Chigwada, A.D.; Mapholi, N.O.; Ogola, H.J.O.; Mbizeni, S.; Masebe, T.M. Pathogenic and endosymbiotic bacteria and associated antibiotic resistance biomarkers in Amblyomma and Hyalomma ticks infesting Nguni cattle. Pathogens 2022, 11, 432. [Google Scholar] [CrossRef] [PubMed]
  55. Angesom, B.G.E. Review on the Impact of Ticks on Livestock Health and Productivity. J. Biol. Agric. Healthc. 2016, 6, 1–7. [Google Scholar]
Figure 1. Visualization of the geographic distribution of H. scupense and H. asiaticum ticks using cartographic analysis in QGIS. Pathogens 14 01008 i001Kyzylorda_Zhalagash1_H. scupense, Kyzylorda_Zhalagash2_H. scupense, Kyzylorda_Kazaly_H. scupense, Zhambyl_Shu_H. scupense, Turkestan_Otyrar_H. scupense. Pathogens 14 01008 i002Zhambyl_Zhanatas1_H. asiaticum, Zhambyl_Zhanatas2_H. asiaticum, Zhambyl_Ryskulov_H. asiaticum, Zhetysu_Zharkent_H. asiaticum, Zhetysu_Chulakai_H. asiaticum.
Figure 1. Visualization of the geographic distribution of H. scupense and H. asiaticum ticks using cartographic analysis in QGIS. Pathogens 14 01008 i001Kyzylorda_Zhalagash1_H. scupense, Kyzylorda_Zhalagash2_H. scupense, Kyzylorda_Kazaly_H. scupense, Zhambyl_Shu_H. scupense, Turkestan_Otyrar_H. scupense. Pathogens 14 01008 i002Zhambyl_Zhanatas1_H. asiaticum, Zhambyl_Zhanatas2_H. asiaticum, Zhambyl_Ryskulov_H. asiaticum, Zhetysu_Zharkent_H. asiaticum, Zhetysu_Chulakai_H. asiaticum.
Pathogens 14 01008 g001
Figure 2. Phylogenetic analysis of the cytochrome c oxidase subunit I (COX1) gene of H. scupense and H. asiaticum ticks. The phylogenetic tree was constructed by the maximum likelihood method using the Tamura–Nei model for nucleotide sequences in MEGA 11. Pathogens 14 01008 i003Hyalomma scupense identified in this study based on the COX1 gene. Pathogens 14 01008 i004Hyalomma asiaticum identified in this study based on the COX1 gene.
Figure 2. Phylogenetic analysis of the cytochrome c oxidase subunit I (COX1) gene of H. scupense and H. asiaticum ticks. The phylogenetic tree was constructed by the maximum likelihood method using the Tamura–Nei model for nucleotide sequences in MEGA 11. Pathogens 14 01008 i003Hyalomma scupense identified in this study based on the COX1 gene. Pathogens 14 01008 i004Hyalomma asiaticum identified in this study based on the COX1 gene.
Pathogens 14 01008 g002
Figure 3. Metagenomic profiles of the prevalence of 26 major bacterial genera detected in H. scupense and H. asiaticum tick samples using the Ion GeneStudio S5 System.
Figure 3. Metagenomic profiles of the prevalence of 26 major bacterial genera detected in H. scupense and H. asiaticum tick samples using the Ion GeneStudio S5 System.
Pathogens 14 01008 g003
Figure 4. Assessment of alpha diversity and variation in bacterial communities in H. scupense and H. asiaticum ticks. Rank and abundance diagrams of bacterial communities in H. scupense (A) and H. asiaticum (B). Shannon-Wiener index (C), Margalef index (D), and Simpson index (E). The line inside each boxplot indicates the median value.
Figure 4. Assessment of alpha diversity and variation in bacterial communities in H. scupense and H. asiaticum ticks. Rank and abundance diagrams of bacterial communities in H. scupense (A) and H. asiaticum (B). Shannon-Wiener index (C), Margalef index (D), and Simpson index (E). The line inside each boxplot indicates the median value.
Pathogens 14 01008 g004
Figure 5. Geographic distribution of bacteria carried by H. scupense and H. asiaticum ticks based on Principal Coordinates Analysis (PCoA). Scatter plots visualize the data with PCoA1 and PCoA2 axes. Each point on the graphs corresponds to tick samples of H. asiaticum (A) and H. scupense (B), with point colors indicating their regional origin. Microbial community cladograms for H. asiaticum (C) and H. scupense (D) illustrate bacterial composition differences according to regions of Kazakhstan: Kyzylorda, Turkestan, Zhambyl and Zhetysu.
Figure 5. Geographic distribution of bacteria carried by H. scupense and H. asiaticum ticks based on Principal Coordinates Analysis (PCoA). Scatter plots visualize the data with PCoA1 and PCoA2 axes. Each point on the graphs corresponds to tick samples of H. asiaticum (A) and H. scupense (B), with point colors indicating their regional origin. Microbial community cladograms for H. asiaticum (C) and H. scupense (D) illustrate bacterial composition differences according to regions of Kazakhstan: Kyzylorda, Turkestan, Zhambyl and Zhetysu.
Pathogens 14 01008 g005
Figure 6. Heatmap of the relative abundance of bacteria present in H. scupense and H. asiaticum ticks. Light yellow shades correspond to low similarity (Jaccard index ≤ 0.50), while dark green shades indicate high similarity (Jaccard index > 0.50). The heatmap was generated using the Python environnt. The clustering method applied was agglomerative nearest neighbor clustering.
Figure 6. Heatmap of the relative abundance of bacteria present in H. scupense and H. asiaticum ticks. Light yellow shades correspond to low similarity (Jaccard index ≤ 0.50), while dark green shades indicate high similarity (Jaccard index > 0.50). The heatmap was generated using the Python environnt. The clustering method applied was agglomerative nearest neighbor clustering.
Pathogens 14 01008 g006
Table 1. Tick sampling information from southern and southeastern regions of Kazakhstan.
Table 1. Tick sampling information from southern and southeastern regions of Kazakhstan.
Sample Collection SiteCoordinatesNo. of TicksTick SpeciesSexHostGenbank Accession No
1Kyzylorda_Zhalagash145°04′55″
64°40′51″
10H. scupenseCattlePQ560690
2Zhambyl_Zhanatas143°34′00″
69°45′00″
10H. asiaticumCattlePQ569438
3Kyzylorda_Kazaly 44°51′00″
61°59′24″
10H. scupenseCattlePQ560881
4Kyzylorda_Zhalagash245°04′55″
64°40′51″
10H. scupenseCattlePQ573248
5Zhambyl_Zhanatas243°34′00″
69°45′00″
10H. asiaticumCattlePQ569449
6Zhambyl_Shu 43°40′32″
73°45′40″
8H. scupenseCattlePQ571834
7Zhetysu_Zharkent 44°10′00″
80°00′00″
10H. asiaticumCattlePQ560954
8Zhetysu_Chulakai 44°05′15″
79°58′00″
6H. asiaticumCattlePQ560955
9Zhambyl_Ryskulov 43°12′00″
72°32′00″
10H. asiaticumCattlePQ578371
10Turkestan_Otyrar 42°46′36″
68°22′09″
10H. scupenseCattlePQ569618
Table 2. Indices for quantitative assessment of alpha and beta diversity parameters.
Table 2. Indices for quantitative assessment of alpha and beta diversity parameters.
Index NameFormulaDiversity Level
Shannon–Wiener diversity index H = i = 1 R ( p i l n p i ) Alpha diversity
Margalef richness index d = S 1 l n N Alpha diversity
Simpson’s dominance index D = ( n i n i 1 N N 1 ) Alpha diversity
Bray–Curtis dissimilarity index K B C = 2 N m i n N a + N b Beta diversity
Jaccard similarity index I J = a a + b + c Beta diversity
Note: Shannon-Wiener index (H′): where pipi is the proportion of individuals belonging to the ii-th species, RR is the total number of species, and ln denotes the natural logarithm. Margalef’s index (d): where SS is species richness (total number of species), and NN is the sample size (total number of individuals in the community). Simpson’s index (D): where nini is the number of individuals of the ii-th species, and NN is the total number of individuals in the sample. Bray–Curtis dissimilarity index (BC): where NaNa is the total abundance (sum of counts) in the first community, NbNb is the total abundance in the second community, and Nmin represents the sum of the lesser abundances for each taxon shared between the two communities. Jaccard similarity index (J): where aa is the number of species common to both lists, bb is the number of species present only in the first list, and cc is the number of species present only in the second list.
Table 3. Content (%) of bacteria identified in H. scupense and H. asiaticum ticks collected from cattle in various regions of Kazakhstan.
Table 3. Content (%) of bacteria identified in H. scupense and H. asiaticum ticks collected from cattle in various regions of Kazakhstan.
Tick SampleHSKZ1,
%
HSKK,
%
HSKZ2,
%
HSTO,
%
HSZS,
%
HAZZ1,
%
HAZZ2,
%
HAZZ,
%
HAZC,
%
HAZR,
%
Genus of Bacteria
Corynebacterium22-9-----7
Bifidobacterium3 --------
Staphylococcus157637-----116
Candidatus Midichloria611732-9-----
Mannheimia2--- --3--
Francisella13-28-899599142-
Coxiella---43--- --
Pseudomonas---11---37--
Acinetobacter---2-----14
Stenotrophomonas---3-----2
Rickettsia---5------
Lachnoclostridium---2------
Clostridium sensu stricto 3---3-----2
Atopostipes---2-----2
Sphingobacterium---2------
Escherichia-Shigella-----3----
Fusobacterium----------
Parvimonas-------2--
Helcococcus-------1165-
Campylobacter-------3--
Porphyromonas-------23--
Trueperella--------20-
Erwinia---------32
Streptococcus----------
Bacillus---------7
Solibacillus---- ----7
Other453182217221
1.
H. scupense Kyzylorda_Zhalagash1—HSKZ1;
2.
H. scupense Kyzylorda_Kazaly—HSKK;
3.
H. scupense Kyzylorda_Zhalagash2—HSKZ2;
4.
H. scupense Turkestan_Otyrar—HSTO;
5.
H. scupense Zhambyl_Shu—HSZS;
6.
H. asiaticum Zhambyl_Zhanatas1—HAZZ1;
7.
H. asiaticum Zhambyl_Zhanatas2—HAZZ2;
8.
H. asiaticum Zhetysu _Zharkent—HAZZ;
9.
H. asiaticum Zhetysu _Chulakai—HAZC;
10.
H. asiaticum Zhambyl_Ryskulov—HAZR.
Disclaimer/Publisher’s Note: The statements, opinions and data contained in all publications are solely those of the individual author(s) and contributor(s) and not of MDPI and/or the editor(s). MDPI and/or the editor(s) disclaim responsibility for any injury to people or property resulting from any ideas, methods, instructions or products referred to in the content.

Share and Cite

MDPI and ACS Style

Sultankulova, K.T.; Kozhabergenov, N.S.; Shynybekova, G.O.; Almezhanova, M.D.; Zhaksylyk, S.B.; Abayeva, M.R.; Chervyakova, O.V.; Argimbayeva, T.O.; Orynbayev, M.B. Metagenomic Profile of Bacterial Communities of Hyalomma scupense and Hyalomma asiaticum Ticks in Kazakhstan. Pathogens 2025, 14, 1008. https://doi.org/10.3390/pathogens14101008

AMA Style

Sultankulova KT, Kozhabergenov NS, Shynybekova GO, Almezhanova MD, Zhaksylyk SB, Abayeva MR, Chervyakova OV, Argimbayeva TO, Orynbayev MB. Metagenomic Profile of Bacterial Communities of Hyalomma scupense and Hyalomma asiaticum Ticks in Kazakhstan. Pathogens. 2025; 14(10):1008. https://doi.org/10.3390/pathogens14101008

Chicago/Turabian Style

Sultankulova, Kulyaisan T., Nurlan S. Kozhabergenov, Gaukhar O. Shynybekova, Meirim D. Almezhanova, Samat B. Zhaksylyk, Madina R. Abayeva, Olga V. Chervyakova, Takhmina O. Argimbayeva, and Mukhit B. Orynbayev. 2025. "Metagenomic Profile of Bacterial Communities of Hyalomma scupense and Hyalomma asiaticum Ticks in Kazakhstan" Pathogens 14, no. 10: 1008. https://doi.org/10.3390/pathogens14101008

APA Style

Sultankulova, K. T., Kozhabergenov, N. S., Shynybekova, G. O., Almezhanova, M. D., Zhaksylyk, S. B., Abayeva, M. R., Chervyakova, O. V., Argimbayeva, T. O., & Orynbayev, M. B. (2025). Metagenomic Profile of Bacterial Communities of Hyalomma scupense and Hyalomma asiaticum Ticks in Kazakhstan. Pathogens, 14(10), 1008. https://doi.org/10.3390/pathogens14101008

Note that from the first issue of 2016, this journal uses article numbers instead of page numbers. See further details here.

Article Metrics

Back to TopTop