Plasma Photoinactivation of Bacterial Isolated from Blood Donors Skin: Potential of Security Barrier in Transfusional Therapy
Abstract
1. Introduction
2. Materials and Methods
2.1. Bacterial Strains and Growth Conditions
2.2. Preparation of Bacterial Planktonic Inoculums
2.3. Collection of Fresh Frozen Plasma Bags
2.4. Bacterial Contamination, FVIII/FI Determination, and Photoinactivation
2.5. Culture of Surviving Bacteria after Photoinactivation
2.6. Molecular Identification of Survival Bacteria after Photoinactivation
3. Results
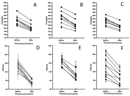
3.1. Photoinactivation and Its Impact on Coagulation Pathways
3.2. Bacterial Load Influences Photoinactivation
4. Discussion
5. Conclusions
Author Contributions
Funding
Institutional Review Board Statement
Informed Consent Statement
Data Availability Statement
Acknowledgments
Conflicts of Interest
References
- Butler, D.; Coyne, D.; Pomeroy, L.; Williams, P.; Holder, P.; Carterson, A.; Field, S.; Waters, A.; O’Flaherty, N. Confirmed circulation of SARS-CoV-2 in Irish blood donors prior to first national notification of infection. J. Clin. Virol. 2022, 146, 105045. [Google Scholar] [CrossRef] [PubMed]
- Antonucci, F.; Fiore, J.R.; De Feo, L.; Granato, T.; Di Stefano, M.; Faleo, G.; Farhan, A.M.; Margaglione, M.; Centra, M.; Santantonio, T.A. Increased SARS-CoV-2 seroprevalence in healthy blood donors after the second pandemic wave in South-Eastern Italy: Evidence for asymptomatic young donors as potential virus spreaders. Infect. Dis. 2022, 54, 241–246. [Google Scholar] [CrossRef] [PubMed]
- Rendón-Hernández, A.P.; Ramírez-González, L.E.; Martínez-Velázquez, M.; Vázquez-Zamora, C.; Leal-Escobar, B.; Soto-Hernández, J.L. The US-Mexico border, migration crisis, and falciparum malaria. Lancet Infect. Dis. 2023, 23, e507–e508. [Google Scholar] [CrossRef] [PubMed]
- Agudelo Higuita, N.I.; Franco-Paredes, C.; Henao-Martínez, A.F.; Mendez Rojas, B.; Suarez, J.A.; Naranjo, L.; Alger, J. Migrants in transit across Central America and the potential spread of chloroquine resistant malaria-a call for action. Lancet Reg. Health Am. 2023, 22, 100505. [Google Scholar] [CrossRef] [PubMed]
- De la Federación. NORMA Oficial Mexicana NOM-253-SSA1-2012, Para la Disposición de Sangre Humana y sus Componentes con Fines Terapeuticos Prefacio. Available online: http://legismex.mty.itesm.mx/normas/ssa1/ssa1253-1210.pdf (accessed on 1 February 2024).
- Mardani, A. Prevention strategies of transfusion-transmitted parasitic infections (TTPIs): Strengths and challenges of current approaches, and evaluation of the strategies implemented in Iran. Parasite Epidemiol. Control 2020, 9, e00141. [Google Scholar] [CrossRef] [PubMed]
- Verra, F.; Angheben, A.; Martello, E.; Giorli, G.; Perandin, F.; Bisoffi, Z. A systematic review of transfusion-transmitted malaria in non-endemic areas. Malar. J. 2018, 17, 36. [Google Scholar] [CrossRef] [PubMed]
- Sauleda, S.; Bes, M.; Piron, M.; Ong, E.; Coco, S.B.; Carrió, J.; Linnen, J.M. Clinical performance of a new multiplex assay for the detection of HIV-1, HIV-2, HCV, HBV, and HEV in blood donations in Catalonia (Spain). Transfusion 2023, 63, 2098–2105. [Google Scholar] [CrossRef] [PubMed]
- Sosa-Jurado, F.; Palencia-Lara, R.; Xicoténcatl-Grijalva, C.; Bernal-Soto, M.; Montiel-Jarquin, Á.; Ibarra-Pichardo, Y.; Rosas-Murrieta, N.H.; Lira, R.; Cortes-Hernandez, P.; Santos-López, G. Donated Blood Screening for HIV, HCV and HBV by ID-NAT and the Residual Risk of Iatrogenic Transmission in a Tertiary Care Hospital Blood Bank in Puebla, Mexico. Viruses 2023, 15, 1331. [Google Scholar] [CrossRef]
- Sánchez-Guzmán, M.J.; Loyola-Cruz, M.Á.; López-Ornelas, A.; Cruz-Cruz, C.; Durán-Manuel, E.M.; Bello-López, J.M. In situ and in vitro evaluation of two antiseptics for blood bank based on chlorhexidine gluconate/isopropyl alcohol and povidone-iodine. Transfus. Apher. Sci. 2023, 25, 103854. [Google Scholar] [CrossRef]
- Blicharz, L.; Rudnicka, L.; Czuwara, J.; Waśkiel-Burnat, A.; Goldust, M.; Olszewska, M.; Samochocki, Z. The Influence of Microbiome Dysbiosis and Bacterial Biofilms on Epidermal Barrier Function in Atopic Dermatitis-An Update. Int. J. Mol. Sci. 2021, 22, 8403. [Google Scholar] [CrossRef]
- Brandwein, M.; Steinberg, D.; Meshner, S. Microbial biofilms, and the human skin microbiome. NPJ Biofilms Microbiomes 2016, 2, 3. [Google Scholar] [CrossRef]
- Rebulla, P.; Prati, D. Pathogen Reduction for Platelets-A Review of Recent Implementation Strategies. Pathogens 2022, 11, 142. [Google Scholar] [CrossRef] [PubMed]
- Valsami, S.; Grouzi, E.; Mochandreou, D.; Pouliakis, A.; Piroula-Godoy, M.; Kokori, S.; Pittaras, T.; Raikou, A.; Politou, M. Effect of mirasol pathogen reduction technology system on immunomodulatory molecules of apheresis platelets. Transfus. Apher. Sci. 2023, 62, 103523. [Google Scholar] [CrossRef] [PubMed]
- Ragan, I.K.; Hartson, L.M.; Sullivan, E.J.; Bowen, R.A.; Goodrich, R.P. Pathogen reduction of monkeypox virus in plasma and whole blood using riboflavin and UV light. PLoS ONE 2023, 18, e0278862. [Google Scholar] [CrossRef] [PubMed]
- Bello-López, J.M.; Delgado-Balbuena, L.; Rojas-Huidobro, D.; Rojo-Medina, J. Treatment of platelet concentrates and plasma with riboflavin and UV light: Impact in bacterial reduction. Transfus. Clin. Biol. 2018, 25, 197–203. [Google Scholar] [CrossRef] [PubMed]
- Spindler-Raffel, E.; Benjamin, R.J.; McDonald, C.P.; Ramirez-Arcos, S.; Aplin, K.; Bekeredjian-Ding, I.; De Korte, D.; Gabriel, C.; Gathof, B.; Hanschmann, K.M.; et al. ISBT Working Party Transfusion-Transmitted Infectious Diseases (WP-TTID), Subgroup on Bacteria. Enlargement of the WHO international repository for platelet transfusion-relevant bacteria reference strains. Vox Sang. 2017, 112, 713–722. [Google Scholar] [CrossRef] [PubMed]
- Clinical and Laboratory standard institute (CLSI). Performance Standards for Antimicrobial Susceptibility Testing, 31st ed.; CLSI Supplement M100; CLSI: Wayne, PA, USA, 2021; ISBN 978-1-68440-105-5. [Google Scholar]
- DeSantis, T.Z.; Brodie, E.L.; Moberg, J.P.; Zubieta, I.X.; Piceno, Y.M.; Andersen, G.L. High-density universal 16S rRNA microarray analysis reveals broader diversity than typical clone library when sampling the environment. Microb. Ecol. 2007, 53, 371–383. [Google Scholar] [CrossRef] [PubMed]
- Schulze, T.J.; Gravemann, U.; Seltsam, A. THERAFLEX ultraviolet C (UVC)-based pathogen reduction technology for bacterial inactivation in blood components: Advantages and limitations. Ann. Blood 2022, 7, 28. [Google Scholar] [CrossRef]
- Goodrich, R.P.; Gilmour, D.; Hovenga, N.; Keil, S.D. A laboratory comparison of pathogen reduction technology treatment and culture of platelet products for addressing bacterial contamination concerns. Transfusion 2009, 49, 1205–1216. [Google Scholar] [CrossRef]
- Van Nierop, W.H.; Duse, A.G.; Stewart, R.G.; Bilgeri, Y.R.; Koornhof, H.J. Molecular epidemiology of an outbreak of Enterobacter cloacae in the neonatal intensive care unit of a provincial hospital in Gauteng, South Africa. J. Clin. Microbiol. 1998, 36, 3085–3087. [Google Scholar] [CrossRef]
- Tachibana, T.; Mouri, N.; Sano, C.; Ohta, R. A Case of Complicated Pneumonia Caused by Klebsiella ozaenae. Cureus 2022, 14, e23001. [Google Scholar] [CrossRef] [PubMed]
- Artiles, F.; Bordes, A.; Conde, A.; Domínguez, S.; Ramos, J.L.; Suárez, S. Rinitis crónica atrófica e infección por Klebsiella ozaenae. Enferm. Infecc. Microbiol. Clín. 2000, 18, 299–300. [Google Scholar] [PubMed]
- Goldstein, E.J.; Lewis, R.P.; Martin, W.J.; Edelstein, P.H. Infections caused by Klebsiella ozaenae: A changing disease spectrum. J. Clin. Microbiol. 1978, 8, 413–418. [Google Scholar] [CrossRef] [PubMed]
- Dong, N.; Yang, X.; Chan, E.W.; Zhang, R.; Chen, S. Klebsiella species: Taxonomy, hypervirulence and multidrug resistance. EBioMedicine 2022, 79, 103998. [Google Scholar] [CrossRef] [PubMed]
- Alabdullatif, M.; Osman, I.E.; Alrasheed, M.; Ramirez-Arcos, S.; Alyousef, M.; Althawadi, S.; Alhumiadan, H. Evaluation of riboflavin and ultraviolet light treatment against Klebsiella pneumoniae in whole blood-derived platelets: A pilot study. Transfusion 2021, 61, 1562–1569. [Google Scholar] [CrossRef] [PubMed]
- Lu, W.; Fung, M. Platelets treated with pathogen reduction technology: Current status and future direction. F1000Research 2020, 9, F1000. [Google Scholar] [CrossRef] [PubMed]
- Ibáñez-Cervantes, G.; Bello-López, J.M.; Fernández-Sánchez, V.; Domínguez-Mendoza, C.A.; Acevedo-Alfaro, L.I. Prevalence of bacterial contamination in platelet concentrates at the National Center of Blood Transfusion (Mexico). Transfus. Clin. Biol. 2017, 24, 56–61. [Google Scholar] [CrossRef] [PubMed]
- FDA. Fatalities Reported to FDA Following Blood Collection and Transfusion: Annual Summary for Fiscal Year 2021. 2023. Available online: https://www.fda.gov/media/172382/ (accessed on 15 January 2024).
- Goldman, M.; Delage, G.; Beauregard, P.; Pruneau-Fortier, D.; Ismaïl, J.; Robillard, P. A fatal case of transfusion-transmitted Staphylococcus epidermidis sepsis. Transfusion 2001, 41, 1075–1076. [Google Scholar] [CrossRef]
- Kou, Y.; Pagotto, F.; Hannach, B.; Ramirez-Arcos, S. Fatal false-negative transfusion infection involving a buffy coat platelet pool contaminated with biofilm-positive Staphylococcus epidermidis: A case report. Transfusion 2015, 55, 2384–2389. [Google Scholar] [CrossRef]
- Hornsey, V.S.; Drummond, O.; Morrison, A.; McMillan, L.; MacGregor, I.R.; Prowse, C.V. Pathogen reduction of fresh plasma using riboflavin and ultraviolet light: Effects on plasma coagulation proteins. Transfusion 2009, 49, 2167–2172. [Google Scholar] [CrossRef]
- Ettinger, A.; Miklauz, M.M.; Hendrix, B.K.; Bihm, D.J.; Maldonado-Codina, G.; Goodrich, R.P. Protein stability of previously frozen plasma, riboflavin and UV light-treated, refrozen and stored for up to 2 years at −30 °C. Transfus. Apher. Sci. 2011, 44, 25–31. [Google Scholar] [CrossRef] [PubMed]
- Koepsell, S.A.; Stolla, M.; Sedjo, R.L.; Carson, J.; Knudson, M.; Cook, R.; Fasano, R.; Ngamsuntikul, S.G.; Cohn, C.; Gorlin, J.; et al. Results of clinical effectiveness of conventional versus Mirasol-treated Apheresis Platelets in Patients with Hypoproliferative Thrombocytopenia (MiPLATE) trial. Transfusion 2024, 64, 457–465. [Google Scholar] [CrossRef] [PubMed]
- Kasirye, R.; Hume, H.A.; Bloch, E.M.; Lubega, I.; Kyeyune, D.; Shrestha, R.; Ddungu, H.; Musana, H.W.; Dhabangi, A.; Ouma, J.; et al. The Mirasol Evaluation of Reduction in Infections Trial (MERIT): Study protocol for a randomized controlled clinical trial. Trials 2022, 23, 257. [Google Scholar] [CrossRef]
- Ferrari, A.; Cassaniti, I.; Sammartino, J.C.; Mortellaro, C.; Del Fante, C.; De Vitis, S.; Barone, E.; Troletti, D.; Prati, F.; Baldanti, F.; et al. SARS-CoV-2 variants inactivation of plasma units using a riboflavin and ultraviolet light-based photochemical treatment. Transfus. Apher. Sci. 2022, 61, 103398. [Google Scholar] [CrossRef] [PubMed]
- Keil, S.D.; Ragan, I.; Yonemura, S.; Hartson, L.; Dart, N.K.; Bowen, R. Inactivation of severe acute respiratory syndrome coronavirus 2 in plasma and platelet products using a riboflavin and ultraviolet light-based photochemical treatment. Vox Sang. 2020, 115, 495–501. [Google Scholar] [CrossRef]
- Keil, S.D.; Bowen, R.; Marschner, S. Inactivation of Middle East respiratory syndrome coronavirus (MERS-CoV) in plasma products using a riboflavin-based and ultraviolet light-based photochemical treatment. Transfusion 2016, 56, 2948–2952. [Google Scholar] [CrossRef]



| Bacterial Strain | Source | Phenotypic and Genetic Characteristics | Reference |
|---|---|---|---|
| Enterobacter cloacae 087 | Skin | Gram-negative, povidone iodine-resistant (10%), chlorhexidine gluconate/isopropyl alcohol (3%/70%), strong biofilm former, csgA+ and csgD+ genes, a+ hemolysis, amylase+, TZPR, ETPI, IPMI. | [10] |
| Klebsiella ozaenae 008 | Gram-negative, povidone iodine-resistant (10%), chlorhexidine gluconate/isopropyl alcohol (3%/70%), strong biofilm former, a+ hemolysis, amylase+ SAMR, TZPR, CROR, ANR, AKR, IPMI, FEPR. | ||
| Staphylooccus epidermidis 6(01) | Gram-positive, povidone iodine-resistant, strong biofilm former, icaA+, icaD+ genes, lipase+, amylase+, protease+, ER. |
| Bacterial Strain | CFU Tested | Plasma Bag | Volumen (mL) per Bag | Dose (Joules) | Bacterial Growth * | Photoinactivation | ||
|---|---|---|---|---|---|---|---|---|
| Before Reduction | After Reduction | LRV ** | PRV *** | |||||
| Enterobacter cloacea 087 | 105 | 1 | 174 | 1085 | + | − | 5 | 100 |
| 105 | 2 | 190 | 1184 | + | − | 5 | 100 | |
| 105 | 3 | 192 | 1197 | + | − | 5 | 100 | |
| 106 | 4 | 234 | 1458 | + | − | 6 | 100 | |
| 106 | 5 | 207 | 1290 | + | − | 6 | 100 | |
| 106 | 6 | 192 | 1197 | + | − | 6 | 100 | |
| 107 | 7 | 218 | 1359 | + | + | 0.39 | 59.26 | |
| 107 | 8 | 215 | 1340 | + | + | 0.49 | 67.64 | |
| 107 | 9 | 167 | 1041 | + | + | 0.51 | 69.09 | |
| Klebsiella ozaenae 008 | 105 | 10 | 186 | 1159 | + | + | 0.35 | 55.33 |
| 105 | 11 | 169 | 1053 | + | + | 0.39 | 59.26 | |
| 105 | 12 | 188 | 1172 | + | + | 0.56 | 72.45 | |
| 106 | 13 | 238 | 1483 | + | + | 0.23 | 41.11 | |
| 106 | 14 | 188 | 1172 | + | + | 0.37 | 57.34 | |
| 106 | 15 | 171 | 1066 | + | + | 0.93 | 88.25 | |
| 107 | 16 | 223 | 1390 | + | + | 0.30 | 49.88 | |
| 107 | 17 | 197 | 1228 | + | + | 0.48 | 66.88 | |
| 107 | 18 | 195 | 1215 | + | + | 0.47 | 66.11 | |
| Staphylococcus epidermidis 6(01) | 105 | 19 | 180 | 1122 | + | − | 5 | 100 |
| 105 | 20 | 167 | 1041 | + | − | 5 | 100 | |
| 105 | 21 | 231 | 1440 | + | − | 5 | 100 | |
| 106 | 22 | 227 | 1415 | + | − | 6 | 100 | |
| 106 | 23 | 167 | 1041 | + | − | 6 | 100 | |
| 106 | 24 | 180 | 1122 | + | − | 6 | 100 | |
| 107 | 25 | 199 | 1240 | + | + | 0.17 | 32.39 | |
| 107 | 26 | 208 | 1296 | + | + | 0.16 | 30.81 | |
| 107 | 27 | 223 | 1390 | + | + | 0.26 | 45.05 | |
Disclaimer/Publisher’s Note: The statements, opinions and data contained in all publications are solely those of the individual author(s) and contributor(s) and not of MDPI and/or the editor(s). MDPI and/or the editor(s) disclaim responsibility for any injury to people or property resulting from any ideas, methods, instructions or products referred to in the content. |
© 2024 by the authors. Licensee MDPI, Basel, Switzerland. This article is an open access article distributed under the terms and conditions of the Creative Commons Attribution (CC BY) license (https://creativecommons.org/licenses/by/4.0/).
Share and Cite
Ventura-Enríquez, Y.; Casas-Guerrero, A.; Sánchez-Guzmán, M.d.J.; Loyola-Cruz, M.Á.; Cruz-Cruz, C.; Nolasco-Rojas, A.E.; Durán-Manuel, E.M.; Blanco-Hernández, D.M.R.; Álvarez-Mora, F.; Ibáñez-Cervantes, G.; et al. Plasma Photoinactivation of Bacterial Isolated from Blood Donors Skin: Potential of Security Barrier in Transfusional Therapy. Pathogens 2024, 13, 577. https://doi.org/10.3390/pathogens13070577
Ventura-Enríquez Y, Casas-Guerrero A, Sánchez-Guzmán MdJ, Loyola-Cruz MÁ, Cruz-Cruz C, Nolasco-Rojas AE, Durán-Manuel EM, Blanco-Hernández DMR, Álvarez-Mora F, Ibáñez-Cervantes G, et al. Plasma Photoinactivation of Bacterial Isolated from Blood Donors Skin: Potential of Security Barrier in Transfusional Therapy. Pathogens. 2024; 13(7):577. https://doi.org/10.3390/pathogens13070577
Chicago/Turabian StyleVentura-Enríquez, Yanet, Antonio Casas-Guerrero, María de Jesús Sánchez-Guzmán, Miguel Ángel Loyola-Cruz, Clemente Cruz-Cruz, Andres Emmanuel Nolasco-Rojas, Emilio Mariano Durán-Manuel, Dulce Milagros Razo Blanco-Hernández, Francisco Álvarez-Mora, Gabriela Ibáñez-Cervantes, and et al. 2024. "Plasma Photoinactivation of Bacterial Isolated from Blood Donors Skin: Potential of Security Barrier in Transfusional Therapy" Pathogens 13, no. 7: 577. https://doi.org/10.3390/pathogens13070577
APA StyleVentura-Enríquez, Y., Casas-Guerrero, A., Sánchez-Guzmán, M. d. J., Loyola-Cruz, M. Á., Cruz-Cruz, C., Nolasco-Rojas, A. E., Durán-Manuel, E. M., Blanco-Hernández, D. M. R., Álvarez-Mora, F., Ibáñez-Cervantes, G., Cureño-Díaz, M. A., Bello-López, J. M., & Fernández-Sánchez, V. (2024). Plasma Photoinactivation of Bacterial Isolated from Blood Donors Skin: Potential of Security Barrier in Transfusional Therapy. Pathogens, 13(7), 577. https://doi.org/10.3390/pathogens13070577

