Hematological Parameters as Potential Markers for Distinguishing Pulmonary Tuberculosis from Genitourinary Tuberculosis
Abstract
1. Introduction
2. Materials and Methods
2.1. Data Sources
2.2. Biochemical and Hematological Data
2.3. Statistical Analysis
3. Results
4. Discussion
5. Conclusions
Author Contributions
Funding
Institutional Review Board Statement
Informed Consent Statement
Acknowledgments
Conflicts of Interest
References
- Center for Disease Control, Department of Health, Executive Yuan, Taiwan. Tuberculosis Annual Report. 2019. Available online: https://daily.cdc.gov.tw/stoptb/CareMagChart.aspx (accessed on 1 February 2021).
- Loddenkemper, R.; Lipman, M.; Zumla, A. Clinical aspects of adult tuberculosis. Cold Spring Harb. Perspect. Med. 2015, 6, a017848. [Google Scholar] [CrossRef] [PubMed]
- Jha, S.K.; Budh, D.P. Genitourinary tuberculosis. Curr. Opin. Urol. 2001, 11, 93–96. [Google Scholar]
- Zajaczkowski, T. Genitourinary tuberculosis: Historical and basic science review: Past and present. Cent. Eur. J. Urol. 2012, 65, 182–187. [Google Scholar] [CrossRef] [PubMed]
- Altiparmak, M.R.; Trabulus, S.; Balkan, I.I.; Yalin, S.F.; Denizli, N.; Aslan, G.; Doruk, H.E.; Engin, A.; Tekin, R.; Birengel, S.; et al. Urinary tuberculosis: A cohort of 79 adult cases. Ren. Fail. 2015, 37, 1157–1163. [Google Scholar] [CrossRef]
- Rees, C.A.; Pineros, D.B.; Amour, M.; Munseri, P.; Said, J.; Magohe, A.; Matee, M.; Pallangyo, K.; von Reyn, C.F. The potential of cbc-derived ratios (monocyte-to-lymphocyte, neutrophil-to-lymphocyte, and platelet-to-lymphocyte) to predict or diagnose incident tb infection in tanzanian adolescents. BMC Infect. Dis. 2020, 20, 609. [Google Scholar] [CrossRef]
- Russell, C.D.; Parajuli, A.; Gale, H.J.; Bulteel, N.S.; Schuetz, P.; de Jager, C.P.C.; Loonen, A.J.M.; Merekoulias, G.I.; Baillie, J.K. The utility of peripheral blood leucocyte ratios as biomarkers in infectious diseases: A systematic review and meta-analysis. J. Infect. 2019, 78, 339–348. [Google Scholar] [CrossRef]
- Yoon, N.B.; Son, C.; Um, S.J. Role of the neutrophil-lymphocyte count ratio in the differential diagnosis between pulmonary tuberculosis and bacterial community-acquired pneumonia. Ann. Lab. Med. 2013, 33, 105–110. [Google Scholar] [CrossRef]
- Stefanescu, S.; Cocos, R.; Turcu-Stiolica, A.; Mahler, B.; Meca, A.D.; Giura, A.M.C.; Bogdan, M.; Shelby, E.S.; Zamfirescu, G.; Pisoschi, C.G. Evaluation of prognostic significance of hematological profiles after the intensive phase treatment in pulmonary tuberculosis patients from romania. PLoS ONE 2021, 16, e0249301. [Google Scholar] [CrossRef]
- Boom, W.H.; Wallis, R.S.; Chervenak, K.A. Human Mycobacterium tuberculosis-reactive CD4+ T-cell clones: Heterogeneity in antigen recognition, cytokine production, and cytotoxicity for mononuclear phagocytes. Infect. Immun. 1991, 59, 2737–2743. [Google Scholar] [CrossRef]
- Jonaidi Jafari, N.; Izadi, M.; Sarrafzadeh, F.; Heidari, A.; Ranjbar, R.; Saburi, A. Hyponatremia due to pulmonary tuberculosis: Review of 200 cases. Nephrourol. Mon. 2013, 5, 687–691. [Google Scholar] [CrossRef]
- Ufoaroh, C.U.; Onwurah, C.A.; Mbanuzuru, V.A.; Mmaju, C.I.; Chukwurah, S.N.; Umenzekwe, C.C.; Aghanya, I.N.; Ushie, S.N.; Anyabolu, A.E.; Enemuo, E.H.; et al. Biochemical changes in tuberculosis. Pan. Afr. Med. J. 2021, 38, 66. [Google Scholar] [CrossRef] [PubMed]
- Abakay, O.; Abakay, A.; Sen, H.S.; Tanrikulu, A.C. The relationship between inflammatory marker levels and pulmonary tuberculosis severity. Inflammation 2015, 38, 691–696. [Google Scholar] [CrossRef]
- Jeon, Y.; Lee, W.I.; Kang, S.Y.; Kim, M.H. Neutrophil-to-monocyte-plus-lymphocyte ratio as a potential marker for discriminating pulmonary tuberculosis from nontuberculosis infectious lung diseases. Lab. Med. 2019, 50, 286–291. [Google Scholar] [CrossRef] [PubMed]
- Muefong, C.N.; Sutherland, J.S. Neutrophils in tuberculosis-associated inflammation and lung pathology. Front. Immunol. 2020, 11, 962. [Google Scholar] [CrossRef] [PubMed]
- de Melo, M.G.M.; Mesquita, E.D.D.; Oliveira, M.M.; da Silva-Monteiro, C.; Silveira, A.K.A.; Malaquias, T.S.; Dutra, T.C.P.; Galliez, R.M.; Kritski, A.L.; Silva, E.C. Imbalance of net and alpha-1-antitrypsin in tuberculosis patients is related with hyper inflammation and severe lung tissue damage. Front. Immunol. 2018, 9, 3147. [Google Scholar] [CrossRef]
- Leem, A.Y.; Song, J.H.; Lee, E.H.; Lee, H.; Sim, B.; Kim, S.Y.; Chung, K.S.; Kim, E.Y.; Jung, J.Y.; Park, M.S.; et al. Changes in cytokine responses to tb antigens esat-6, cfp-10 and tb 7.7 and inflammatory markers in peripheral blood during therapy. Sci. Rep. 2018, 8, 1159. [Google Scholar] [CrossRef] [PubMed]
- Vinhaes, C.L.; Oliveira-de-Souza, D.; Silveira-Mattos, P.S.; Nogueira, B.; Shi, R.; Wei, W.; Yuan, X.; Zhang, G.; Cai, Y.; Barry, C.E., 3rd; et al. Changes in inflammatory protein and lipid mediator profiles persist after antitubercular treatment of pulmonary and extrapulmonary tuberculosis: A prospective cohort study. Cytokine 2019, 123, 154759. [Google Scholar] [CrossRef]
- Zahorec, R. Ratio of neutrophil to lymphocyte counts—Rapid and simple parameter of systemic inflammation and stress in critically ill. Bratisl. Lek. Listy 2001, 102, 5–14. [Google Scholar]
- Gambon-Deza, F.; Pacheco Carracedo, M.; Cerda Mota, T.; Montes Santiago, J. Lymphocyte populations during tuberculosis infection: V beta repertoires. Infect. Immun. 1995, 63, 1235–1240. [Google Scholar] [CrossRef]
- Neefjes, J.J.; Ploegh, H.L. Intracellular transport of mhc class ii molecules. Immunol. Today 1992, 13, 179–184. [Google Scholar] [CrossRef]
- Havlir, D.V.; Barnes, P.F. Tuberculosis in patients with human immunodeficiency virus infection. N. Engl. J. Med. 1999, 340, 367–373. [Google Scholar] [CrossRef] [PubMed]
- Berbudi, A.; Rahmadika, N.; Tjahjadi, A.I.; Ruslami, R. Type 2 diabetes and its impact on the immune system. Curr. Diabetes Rev. 2020, 16, 442–449. [Google Scholar] [PubMed]
- Jeon, C.Y.; Murray, M.B. Diabetes mellitus increases the risk of active tuberculosis: A systematic review of 13 observational studies. PLoS Med. 2008, 5, e152. [Google Scholar]
- Magee, M.J.; Foote, M.; Ray, S.M.; Gandhi, N.R.; Kempker, R.R. Diabetes mellitus and extrapulmonary tuberculosis: Site distribution and risk of mortality. Epidemiol. Infect. 2016, 144, 2209–2216. [Google Scholar] [CrossRef]


| Category | Group A | Group B | Group C | Group D | p-Value a | ||||||||||
|---|---|---|---|---|---|---|---|---|---|---|---|---|---|---|---|
| Sputum+&Urine+ | Sputum−&Urine+ | Sputum+&Urine− | Sputum−&Urine− | ||||||||||||
| 69 | 16 | 110 | 1294 | A to B | A to C | A to D | B to C | B to D | C to D | ||||||
| n | (%) | n | (%) | n | (%) | n | (%) | ||||||||
| Gender | Male | 55 | (79.7%) | 7 | (43.8%) | 75 | (68.2%) | 858 | (66.3%) | ||||||
| Female | 14 | (20.3%) | 9 | (56.3%) | 35 | (31.8%) | 436 | (33.7%) | 0.010 * | 0.121 | 0.025 * | 0.089 | 0.067 | 0.753 | |
| Age (years) | <35 | 5 | (7.2%) | 1 | (6.3%) | 6 | (5.5%) | 75 | (5.8%) | ||||||
| ≥35, <65 | 13 | (18.8%) | 6 | (37.5%) | 27 | (24.5%) | 405 | (31.3%) | |||||||
| ≥65 | 51 | (73.9%) | 9 | (56.3%) | 77 | (70.0%) | 814 | (62.9%) | 0.243 | 0.595 | 0.077 | 0.447 | 0.690 | 0.325 | |
| Comorbidities | |||||||||||||||
| CKD | Y | 7 | (10.1%) | 0 | (0.0%) | 11 | (10.0%) | 148 | (11.4%) | ||||||
| 62 | (89.9%) | 16 | (100.0%) | 99 | (90.0%) | 1146 | (88.6%) | 0.338 | 1.000 | 0.848 | 0.356 | 0.242 | 0.755 | ||
| Hypertension | Y | 22 | (31.9%) | 5 | (31.3%) | 30 | (27.3%) | 501 | (38.7%) | ||||||
| 47 | (68.1%) | 11 | (68.8%) | 80 | (72.7%) | 793 | (61.3%) | 1.000 | 0.612 | 0.309 | 0.769 | 0.615 | 0.018 * | ||
| Diabetes | Y | 7 | (10.1%) | 2 | (12.5%) | 23 | (20.9%) | 373 | (28.8%) | ||||||
| 62 | (89.9%) | 14 | (87.5%) | 87 | (79.1%) | 921 | (71.2%) | 0.675 | 0.067 | 0.001 * | 0.737 | 0.263 | 0.078 | ||
| IHD | Y | 11 | (15.9%) | 1 | (6.3%) | 17 | (15.5%) | 197 | (15.2%) | ||||||
| 58 | (84.1%) | 15 | (93.8%) | 93 | (84.5%) | 1097 | (84.8%) | 0.449 | 1.000 | 1.000 | 0.465 | 0.491 | 1.000 | ||
| COPD | Y | 4 | (5.8%) | 0 | (0.0%) | 10 | (9.1%) | 150 | (11.6%) | ||||||
| 65 | (94.2%) | 16 | (100.0%) | 100 | (90.9%) | 1144 | (88.4%) | 1.000 | 0.571 | 0.172 | 0.359 | 0.242 | 0.445 | ||
| Liver cirrhosis | Y | 6 | (8.7%) | 0 | (0.0%) | 3 | (2.7%) | 53 | (4.1%) | ||||||
| 63 | (91.3%) | 16 | (100.0%) | 107 | (97.3%) | 1241 | (95.9%) | 0.589 | 0.090 | 0.116 | 1.000 | 1.000 | 0.618 | ||
| Malignancy | Y | 13 | (18.8%) | 2 | (12.5%) | 22 | (20.0%) | 379 | (29.3%) | ||||||
| 56 | (81.2%) | 14 | (87.5%) | 88 | (80.0%) | 915 | (70.7%) | 0.726 | 1.000 | 0.075 | 0.735 | 0.174 | 0.047 * | ||
| AIDS | Y | 3 | (4.3%) | 0 | (0.0%) | 0 | (0.0%) | 62 | (4.8%) | ||||||
| 66 | (95.7%) | 16 | (100.0%) | 110 | (100.0%) | 1232 | (95.2%) | 1.000 | 0.056 | 1.000 | N/A | 1.000 | 0.013 * | ||
| Categories | A | B | C | D | p-Value a | ||||||||||
|---|---|---|---|---|---|---|---|---|---|---|---|---|---|---|---|
| Sputum+&Urine+ | Sputum−&Urine+ | Sputum+&Urine− | Sputum−&Urine− | ||||||||||||
| 16 | 16 | 16 | 160 | A vs. B | B vs. C | B vs. D | |||||||||
| Mean | ± | SD | Mean | ± | SD | Mean | ± | SD | Mean | ± | SD | ||||
| Glucose (mg/dL) | 113.32 | ± | 33.72 | 97.47 | ± | 22.86 | 135.38 | ± | 43.97 | 144.10 | ± | 77.34 | 0.132 | 0.006 | <0.001 |
| RBC (106/μL) | 3.79 | ± | 0.45 | 4.12 | ± | 0.88 | 3.55 | ± | 0.80 | 3.50 | ± | 0.65 | 0.189 | 0.065 | 0.001 |
| Hb (g/dL) | 10.69 | ± | 1.76 | 11.60 | ± | 2.38 | 10.28 | ± | 2.10 | 10.46 | ± | 1.90 | 0.228 | 0.105 | 0.028 |
| Hct (%) | 32.24 | ± | 5.14 | 34.93 | ± | 7.07 | 30.8 | ± | 6.11 | 31.40 | ± | 5.81 | 0.228 | 0.087 | 0.024 |
| Neutrophil (%) | 78.29 | ± | 12.53 | 67.80 | ± | 13.87 | 87.69 | ± | 7.92 | 74.57 | ± | 14.85 | 0.032 | <0.001 | 0.082 |
| Lymphocyte (%) | 11.41 | ± | 7.81 | 22.29 | ± | 12.48 | 6.04 | ± | 5.73 | 15.83 | ± | 12.57 | 0.006 | <0.001 | 0.052 |
| Monocyte (%) | 8.53 | ± | 5.83 | 7.46 | ± | 2.04 | 4.85 | ± | 2.96 | 6.88 | ± | 3.82 | 0.500 | 0.007 | 0.549 |
| NLR | 17.3 | ± | 24.3 | 10.0 | ± | 23.6 | 32.5 | ± | 27.70 | 10.7 | ± | 15.5 | 0.404 | 0.024 | 0.875 |
| NMLR | 8.2 | ± | 12.1 | 3.5 | ± | 3.9 | 12.6 | ± | 7.20 | 6.3 | ± | 10.3 | 0.155 | <0.001 | 0.288 |
| Categories | A | C | D | p Value a | |||||||
|---|---|---|---|---|---|---|---|---|---|---|---|
| Sputum+&Urine+ | Sputum+&Urine− | Sputum−&Urine− | |||||||||
| 69 | 69 | 552 | A vs. C | A vs. D | |||||||
| Mean | ± | SD | Mean | ± | SD | Mean | ± | SD | |||
| Glucose (mg/dL) | 125.28 | ± | 52.37 | 155.23 | ± | 72.66 | 136.85 | ± | 65.83 | 0.006 | 0.163 |
| WBC (103/μL) | 7.96 | ± | 4.01 | 9.57 | ± | 4.19 | 9.58 | ± | 5.39 | 0.023 | 0.004 |
| Platelet (103/μL) | 210.64 | ± | 124.23 | 258.48 | ± | 144.14 | 211.32 | ± | 115.27 | 0.039 | 0.964 |
| Neutrophil (%) | 80.93 | ± | 11.36 | 83.07 | ± | 8.04 | 76.01 | ± | 14.07 | 0.204 | 0.006 |
| Lymphocyte (%) | 10.31 | ± | 7.68 | 7.89 | ± | 4.39 | 13.88 | ± | 10.22 | 0.025 | 0.005 |
| Categories | C | D | p-Value a | ||||
|---|---|---|---|---|---|---|---|
| Sputum+&Urine− | Sputum−&Urine− | ||||||
| 110 | 550 | ||||||
| Mean | ± | SD | Mean | ± | SD | ||
| RBC (106/μL) | 3.75 | ± | 0.80 | 3.54 | ± | 0.73 | 0.008 |
| WBC (103/μL) | 8.71 | ± | 3.80 | 9.88 | ± | 6.78 | 0.012 |
| Platelet (103/μL) | 253.43 | ± | 130.59 | 213.35 | ± | 118.09 | 0.001 |
| Neutrophil (%) | 75.91 | ± | 10.51 | 73.41 | ± | 15.41 | 0.038 |
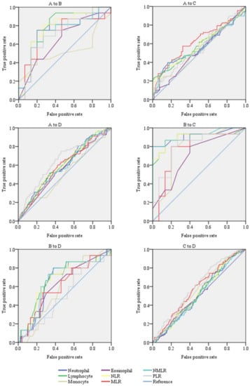
| Category | A to B | A to C | A to D | B to C | B to D | C to D | ||||||
|---|---|---|---|---|---|---|---|---|---|---|---|---|
| AUC | p-Value a | AUC | p-Value | AUC | p-Value | AUC | p-Value | AUC | p-Value | AUC | p-Value | |
| Neutrophil | 0.738 | 0.024 * | 0.556 | 0.258 | 0.598 | 0.009 * | 0.916 | <0.001 * | 0.659 | 0.043 * | 0.519 | 0.531 |
| Lymphocyte | 0.790 | 0.006 * | 0.584 | 0.093 | 0.600 | 0.008 * | 0.896 | <0.001 * | 0.682 | 0.020* | 0.525 | 0.414 |
| Monocyte | 0.527 | 0.797 | 0.541 | 0.406 | 0.511 | 0.769 | 0.782 | 0.008 * | 0.591 | 0.245 | 0.562 | 0.040 * |
| Eosinophil | 0.650 | 0.155 | 0.521 | 0.670 | 0.560 | 0.108 | 0.707 | 0.054 | 0.623 | 0.115 | 0.501 | 0.970 |
| NLR | 0.779 | 0.008 * | 0.422 | 0.117 | 0.601 | 0.007 * | 0.898 | <0.001 * | 0.679 | 0.023 * | 0.525 | 0.409 |
| MLR | 0.725 | 0.033 * | 0.624 | 0.012 * | 0.589 | 0.018 | 0.778 | 0.010 * | 0.606 | 0.176 | 0.577 | 0.011 * |
| NMLR | 0.737 | 0.024 * | 0.561 | 0.221 | 0.583 | 0.027 * | 0.920 | <0.001 * | 0.676 | 0.024 * | 0.510 | 0.734 |
| PLR | 0.717 | 0.040 * | 0.556 | 0.260 | 0.647 | <0.001 * | 0.800 | 0.005 * | 0.508 | 0.920 | 0.603 | 0.001 * |
| Stratification of Category | Sputum−&Urine+ | Sputum+&Urine− | p-Value a | |||
|---|---|---|---|---|---|---|
| n | (%) | n | (%) | |||
| Neutrophil (%) | >72 | 4 | (25.0%) | 16 | (100.0%) | <0.001 |
| ≤72 | 12 | (75.0%) | 0 | (0.0%) | ||
| Lymphocyte (%) | <9.5 | 3 | (18.8%) | 14 | (87.5%) | <0.001 |
| ≥9.5 | 13 | (81.3%) | 2 | (12.5%) | ||
| NLR | >9.6 | 3 | (18.8%) | 14 | (87.5%) | <0.001 |
| ≤9.6 | 13 | (81.3%) | 2 | (12.5%) | ||
| NMLR | >2.9 | 4 | (25.0%) | 16 | (100.0%) | <0.001 |
| ≤2.9 | 12 | (75.0%) | 0 | (0.0%) | ||
| PLR | >293.3 | 4 | (25.0%) | 13 | (81.3%) | 0.004 |
| ≤293.3 | 12 | (75.0%) | 3 | (18.8%) | ||
Disclaimer/Publisher’s Note: The statements, opinions and data contained in all publications are solely those of the individual author(s) and contributor(s) and not of MDPI and/or the editor(s). MDPI and/or the editor(s) disclaim responsibility for any injury to people or property resulting from any ideas, methods, instructions or products referred to in the content. |
© 2023 by the authors. Licensee MDPI, Basel, Switzerland. This article is an open access article distributed under the terms and conditions of the Creative Commons Attribution (CC BY) license (https://creativecommons.org/licenses/by/4.0/).
Share and Cite
Tu, H.-Z.; Lai, T.-J.; Chen, Y.-S.; Lee, H.-S.; Chen, J.-S. Hematological Parameters as Potential Markers for Distinguishing Pulmonary Tuberculosis from Genitourinary Tuberculosis. Pathogens 2023, 12, 84. https://doi.org/10.3390/pathogens12010084
Tu H-Z, Lai T-J, Chen Y-S, Lee H-S, Chen J-S. Hematological Parameters as Potential Markers for Distinguishing Pulmonary Tuberculosis from Genitourinary Tuberculosis. Pathogens. 2023; 12(1):84. https://doi.org/10.3390/pathogens12010084
Chicago/Turabian StyleTu, Hui-Zin, Tsung-Jen Lai, Yao-Shen Chen, Herng-Sheng Lee, and Jin-Shuen Chen. 2023. "Hematological Parameters as Potential Markers for Distinguishing Pulmonary Tuberculosis from Genitourinary Tuberculosis" Pathogens 12, no. 1: 84. https://doi.org/10.3390/pathogens12010084
APA StyleTu, H.-Z., Lai, T.-J., Chen, Y.-S., Lee, H.-S., & Chen, J.-S. (2023). Hematological Parameters as Potential Markers for Distinguishing Pulmonary Tuberculosis from Genitourinary Tuberculosis. Pathogens, 12(1), 84. https://doi.org/10.3390/pathogens12010084
