Analyzing 21st Century Video Data on Situational Dynamics—Issues and Challenges in Video Data Analysis
Abstract
:1. Introduction
2. Using Visuals to Analyze Situations
2.1. Situational Dynamics and Video Data
2.2. Advantages of Visual Data
2.3. Visual Data Analysis
3. Discussion: Key Issues and Challenges in Video Data Analysis
3.1. Step 1: Setting Up the Research
3.1.1. Formulating a Video Data Analysis Research Question
3.1.2. Identifying the Research Focus
3.1.3. Constructing Concepts
3.2. Step 2: Choosing Data Sources
3.2.1. Feasibility
3.2.2. Openness of Sources
3.2.3. Case Selection
3.3. Step 3: Assessing Data Validity
3.3.1. Neutral or Balanced Data Sources
3.3.2. Optimal Capture
3.3.3. Natural Behavior
3.3.4. Improving Validity through Triangulation
3.4. Step 4: Analyzing Data
3.4.1. Developing a Coding Scheme: Label Data and Distill Concepts
3.4.2. Assigning Codes: Code by Dimensions and Split Audio and Visual Information
3.4.3. Reconstructing Events
3.4.4. Looking for Patterns
3.4.5. Additional Analytic Tools
3.5. Step 5: Presentation of Video Data Analysis Findings
3.5.1. Transparency and Retraceability
3.5.2. Reflecting Research Ethics
4. Conclusions
Author Contributions
Funding
Acknowledgments
Conflicts of Interest
Appendix A
| Step | Topics | Guiding Questions |
|---|---|---|
| 1. Setting up the research | Formulating a Research Question | Are situational dynamics expected to play an important role in explaining the phenomenon under study? Are key aspects of research question observable in visual data? Will visual data be able to answer my research question? Does my research question focus on actions, interactions, behavior, emotion expression, or other aspects of situational dynamics? |
| Identifying research focus | Which analytic dimensions are relevant to the research? Do all interactions by all actors need to be coded, or only specific actions or specific actors? Are facial expressions relevant or body postures as well? How broad or fine-grained does the level of analysis need to be? | |
| Constructing concepts | Can I form or use transparent concepts (inductive, deductive, or abductive approach)? Do the dimensions capture what the concepts seek to describe? Do the respective indicators allow direct coding of data? How are the levels within a concept connected? | |
| 2. Choosing data sources | Feasibility | How time-consuming will data access be? Are permission and informed consent required to collect/use the data? How foreseeable and frequent is the situation or event? |
| Openness | How important is it to make the primary data available to other researchers during the research process or to readers later on? What ethical and legal considerations might arise when sharing data? | |
| Case selection | Are more cases available than can be analyzed given the constraints of the research at hand? Are less cases available than needed for the research question at hand? | |
| 3. Assessing data validity | Neutral or balanced data sources | Who recorded a data piece and what was this person’s or organization’s role in the event? Does that role suggest an unbiased recording of the event? Is it possible to include data from different stakeholders in order to hedge against potential bias? |
| Optimal capture | Does the data piece or patchwork of data capture all relevant aspects of the situation or event, or is additional contextual information needed? Did the relevant interaction begin after the recording began? Is every second of a relevant situation, every participant, all space, and every relevant channel covered? Are there any out-of-frame interactions or frame-to-out-of-frame interactions? Do the solution, zoom, and angle allow analyzing the dimensions necessary to answer the research question? | |
| Natural behavior | Is there information about actors’ reactivity; e.g., by reflecting on the type of event, by actors’ recorded behavior, by analyzing document data? Where actors able to see the camera? Was their behavior too routine or too important to be adapted to camera presence and if so, does this impact the analysis? Could single actors, a group of actors, or the entire situation or event be scripted and, if so, how does this affect the analysis? | |
| Improving validity through triangulating types, sources, or pieces of data | Does the data set show a lack of neutral or balance data sources? What types of data sources should a data set contain in order to avoid bias? Does the data set show sub-optimal capture? Is it possible to use multiple data pieces depicting the same situations to compensate for deficiencies of single data pieces? Does the data set show a lack of information regarding that it cannot be compensated by visual data? Could other data sources be used to combine their respective strengths? Is it possible to use data pieces from different types of data to cross-validate findings? | |
| 4. Analyzing data | Develop a coding scheme | Inductive: Does a coding scheme already exist in the literature that seems useful for coding? Does it make sense to apply all the categories in that scheme to all actors, or just part of them? Is the coding scheme transparent and detailed? Deductive: Is it useful to develop a coding scheme from the data? Which elements need to be captured? Can I assign labels to the data and then form overarching categories for these labels? Can these categories and dimensions later be translated into concepts? |
| Assign codes | Does it make sense to split coding into multiple iterations to reduce complexity for each criterion? If the audio track is available: How does it relate to the visual? Can additional information be gained by listening only to the sound without video and then only watching the video without sound? Does it make sense to use software for coding both visual and document data (e.g., Atlas.ti)? Does it make sense to use software that detects facial expressions or recognizes faces in visual data (e.g., Noldus Observer)? | |
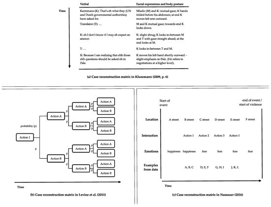
| Reconstruct events | Does the case reconstruction based on the coded data provide a seamless account of each situation or event from start to finish, covering all relevant aspects? What information can I gather on the social or physical context of the event or process under study? How can I gather a processual reconstruction of the process or event under study? Can I identify a situational syntax by producing a matrix of time and actors or sub-events? | |
| Looking for patterns | Can I identify patterns in situational dynamics that can help explain the process or outcome? Did a situational path led (through one or several chains of causally linked actions and stages) from the start of the situation to the occurrence, or absence, of the outcome under study? Are there clear patterns of association between the explanatory factors and the outcome, and do these patterns apply to all or specific subsets of cases? Identifying smoking guns: What caused shifts in situational dynamics, and how does a given key moment impact the subsequent development of a situation? Turning points: Are there pronounced changes in relevant analytic dimensions during a situation or event? Are there pivotal moments in which the direction of the situational flow changes drastically? Space: Is a focus on space useful to identify patterns in the data? Are special means required to locate interactions in space? Are physical properties of space relevant to the situation or event? Actors: Is a focus on actors useful to identify patterns in the data? How does the situation unfold from the perspective of key actors? Additional Tools: Are additional analytic procedures useful to identify systematic links between explanatory factors and the outcome of interest? | |
| 5. Presentation of Findings | Transparency and Retraceability | Is a transparent presentation of the data and findings possible to ensure reliability? How important is transparency to a researcher? Which advantages or disadvantages do different data sources imply the ability to share the findings? How can I make analytic methods, and analytic procedures transparent so that other researchers can evaluate or possible reproduce the analysis? |
| Ethical Issues | Do ethical considerations apply? Were study subjects able to give consent to a study? Was the video captured at a public or private event? e.g., does reprinting stills of the video violate privacy rights? Does posting links to analyzed raw data online pose potential harm to study subjects? |
References
- Abbott, Andrew, and John Forrest. 1986. Optimal Matching Methods for Historical Sequences. The Journal of Interdisciplinary History 16: 471–94. [Google Scholar] [CrossRef]
- Aisenbrey, Silke, and Anette E. Fasang. 2010. New Life for Old Ideas: The ‘Second Wave’ of Sequence Analysis Bringing the ‘Course’ Back into the Life Course. Sociological Methods & Research 38: 420–62. [Google Scholar] [CrossRef]
- Alibali, Martha W., and Mitchell J. Nathan. 2007. Teachers’ Gestures as a Means of Scaffolding Students’ Understanding: Evidence from an Early Algebra Lesson. In Video Research in the Learning Sciences. Edited by Ricki Goldman, Roy Pea, Brigid Barron and Sharon J. Derry. New York and London: Routledge. [Google Scholar]
- Anderson, Monica. 2015. 5 Facts about Online Video, for YouTube’s 10th Birthday. Pew Research Center (blog). February 12. Available online: http://www.pewresearch.org/fact-tank/2015/02/12/5-facts-about-online-video-for-youtubes-10th-birthday/ (accessed on 15 December 2018).
- ASA. 2008. Code of Ethics of the ASA Committee on Professional Ethics. Washington, DC: American Sociological Association (ASA). [Google Scholar]
- Becker, Howard Saul. 1986. Doing Things Together: Selected Papers. Evanston: Northwestern University Press. [Google Scholar]
- Bernard, H. Russell, Peter Killworth, David Kronenfeld, and Lee Sailer. 1984. The Problem of Informant Accuracy: The Validity of Retrospective Data. Annual Review of Anthropology 13: 495–517. [Google Scholar] [CrossRef]
- Blatter, Joachim. 2012. Ontological and Epistemological Foundations of Causal-Process Tracing: Configurational Thinking and Timing. Antwerp: ICPR Joint Sessions. [Google Scholar]
- Blumer, Herbert. 1986. Symbolic Interactionism: Perspective and Method. Oakland: University of California Press. [Google Scholar]
- Box-Steffensmeier, Janet M., Henry E. Brady, and David Collier, eds. 2008. The Oxford Handbook of Political Methodology. Oxford: Oxford University Press. [Google Scholar]
- Bramsen, Isabel. 2018. How Violence Happens (or Not): Situational Conditions of Violence and Nonviolence in Bahrain, Tunisia and Syria. Psychology of Violence 8: 305. [Google Scholar] [CrossRef]
- Channel 4 News. 2015. Matt Frei’s Live Report as Crowds Run in Panic. Available online: https://www.youtube.com/watch?v=sq9vpgaBgzY (accessed on 10 January 2019).
- Christensen, Andrew, and Ann Hazzard. 1983. Reactive Effects during Naturalistic Observation of Families. Behavioral Assessment 5: 349–362. [Google Scholar]
- Collins, Randall. 2005. Interaction Ritual Chains. Princeton and Oxford: Princeton University Press. [Google Scholar]
- Collins, Randall. 2008. Violence: A Micro-Sociological Theory. Princeton: Princeton University Press. [Google Scholar]
- Collins, Randall. 2016a. On Visual Methods and the Growth of Micro-Interactional Sociology: Interview to Professor Randall Collins (with Uliano Conti). In Lo Spazio Del Visuale. Manuale Sull’utilizzo Dell’immagine Nella Ricerca Sociale. Edited by Uliano Conti. Rome: Armando Editore, pp. 81–94. [Google Scholar]
- Collins, Randall. 2016b. The Sociological Eye: What Has Micro-Sociology Accomplished? April 17. Available online: http://sociological-eye.blogspot.com/2016/04/what-has-micro-sociology-accomplished.html (accessed on 20 December 2018).
- Derry, Sharon J., Roy D. Pea, Brigid Barron, Randi A. Engle, Frederick Erickson, Ricki Goldman, Rogers Hall, Timothy Koschmann, Jay L. Lemke, Miriam Sherin, and et al. 2010. Conducting Video Research in the Learning Sciences: Guidance on Selection, Analysis, Technology, and Ethics. Journal of the Learning Sciences 19: 3–53. [Google Scholar] [CrossRef]
- Ekman, Paul, Wallace F. Friesen, and Phoebe Ellsworth. 1972. Emotion in the Human Face. New York: Pergamon. [Google Scholar]
- Fele, Giolo. 2008. The Collaborative Production of Responses and Dispatching on the Radio: Video Analysis in a Medical Emergency Call Center. Forum Qualitative Sozialforschung/Forum: Qualitative Social Research 9: 1175. [Google Scholar]
- Felson, Richard B. 1984. Patterns of Aggressive Social Interaction. In Social Psychology of Aggression: From Individual Behavior to Social Interaction. Edited by Amélie Mummendey. Berlin and Heidelberg: Springer, pp. 107–26. [Google Scholar]
- Garfinkel, Harold. 2005. A Conception of and Experiments with “Trust” as a Condition of Concerted Stable Actions. In The Production of Reality: Essays and Readings on Social Interaction. Edited by Jodi A. O’Brien. Thousand Oaks: Sage Publications, pp. 370–80. [Google Scholar]
- George, Alexander L., and Andrew Bennett. 2005. Case Studies and Theory Development in the Social Sciences. Cambridge: The MIT Press. [Google Scholar]
- Gerring, John. 2008. Case Selection for Case-Study Analysis: Qualitative and Quantitative Techniques. In The Oxford Handbook of Political Methodology. Edited by Janet M. Box-Steffensmeier, Henry E. Brady and David Collier. Oxford: Oxford Handbooks Online. [Google Scholar]
- Goertz, Gary. 2006. Social Science Concepts: A User’s Guide. Princeton: Princeton University Press. [Google Scholar]
- Goertz, Gary, and Jack S. Levy. 2007. Causal Explanation, Necessary Conditions, and Case Studies. In Explaining War and Peace: Case Studies and Necessary Condition Counterfactuals. Edited by Jack S. Levy and Gary Goertz. New York: Routledge. [Google Scholar]
- Goffman, Erving. 1963. Behavior in Public Places. New York: The Free Press. [Google Scholar]
- Gross, James J., and Robert W. Levenson. 1993. Emotional Suppression: Physiology, Self-Report, and Expressive Behavior. Journal of Personality and Social Psychology 64: 970–86. [Google Scholar] [CrossRef]
- Humphreys, Laud, and Lee Rainwater. 1975. Tearoom Trade: Impersonal Sex in Public Places, 2nd ed. New York: Aldine Transaction. [Google Scholar]
- Jordan, Brigitte, and Austin Henderson. 1995. Interaction Analysis: Foundations and Practice. The Journal of the Learning Sciences 4: 39–103. [Google Scholar] [CrossRef]
- Katz, Jack. 2001. How Emotions Work, new ed. Chicago: University of Chicago Press. [Google Scholar]
- King, Gary, Robert O. Keohane, and Sidney Verba. 1994. Designing Social Inquiry. Princeton: Princeton University Press. [Google Scholar]
- Kissmann, Ulrike Tikvah. 2009. Video Interaction Analysis. Frankfurt am Main: Peter Lang. [Google Scholar]
- Klusemann, Stefan. 2009. Atrocities and Confrontational Tension. Frontiers in Behavioral Neuroscience 3: 1–10. [Google Scholar] [CrossRef]
- Knoblauch, Hubert, Bernt Schnettler, and Jürgen Raab. 2006. Video Analysis. Methodological Aspects of Interpretative Audiovisual Analysis in Social Research. In Video-Aanalysis: Methodology and Methods. Qualitative Audiovisual Data Analysis in Sociology. Edited by Hubert Knoblauch, Bernt Schnettler, Jürgen Raab and Hans-Georg Soeffner. Frankfurt am Main: Peter Lang, pp. 9–28. [Google Scholar]
- Laitin, David D. 2008. Confronting Violence Face to Face. Science 320: 51–52. [Google Scholar] [CrossRef]
- LeCompte, Margaret D., and Judith Preissle Goetz. 2007. Problems of Reliability and Validity in Ethnographic Research. In Qualitative Research Volume Two. Quality Issues in Qualitative Research. Edited by Alan Bryman. Sage Benchmarks in Social Research Methods. Thousand Oaks: Sage Publications, Inc., pp. 3–39. [Google Scholar]
- Legewie, Nicolas. 2013. An Introduction to Applied Data Analysis with Qualitative Comparative Analysis (QCA). Forum Qualitative Sozialforschung/Forum: Qualitative Social Research 14: 1961. [Google Scholar]
- Legewie, Nicolas, and Anne Nassauer. 2018. YouTube, Google, Facebook: 21st Century Online Video Research and Research Ethics. Forum Qualitative Sozialforschung/Forum: Qualitative Social Research 19. [Google Scholar] [CrossRef]
- Levenson, Robert W., and John M. Gottman. 1985. Physiological and Affective Predictors of Change in Relationship Satisfaction. Journal of Personality and Social Psychology 49: 85–94. [Google Scholar] [CrossRef] [PubMed]
- Levine, Mark, Paul J. Taylor, and Rachel Best. 2011. Third Parties, Violence, and Conflict Resolution: The Role of Group Size and Collective Action in the Microregulation of Violence. Psychological Science 22: 406–12. [Google Scholar] [CrossRef] [PubMed]
- Liebst, Lasse Suonperä, Marie Bruvik Heinskou, and Peter Ejbye-Ernst. 2018. On the Actual Risk of Bystander Intervention: A Statistical Study Based on Naturally Occurring Violent Emergencies. Journal of Research in Crime and Delinquency 55: 27–50. [Google Scholar] [CrossRef]
- Lipinski, David, and Rosemery Nelson. 1974. Problems in the Use of Naturalistic Observation as a Means of Behavioral Assessment. Behavior Therapy 5: 341–51. [Google Scholar] [CrossRef]
- Luckenbill, David F. 1981. Generating Compliance: The Case of Robbery. Urban Life 10: 25–46. [Google Scholar] [CrossRef]
- Mahoney, James. 2012. The Logic of Process Tracing Tests in the Social Sciences. Sociological Methods & Research 41: 570–97. [Google Scholar]
- Mastrofski, Stephen D., Roger B. Parks, and John D. McCluskey. 2010. Systematic Social Observation in Criminology. In Handbook of Quantitative Criminology. Edited by Alex R. Piquero and David Weisburd. New York: Springer, pp. 225–47. [Google Scholar] [CrossRef]
- Mauss, Marcel. 1923. Essai Sur Le Don Forme Et Raison De L’Échange Dans Les Sociétés Aarchaïquès. L’Année Sociologique 1: 30–186. [Google Scholar]
- Mehan, Hugh. 1979. Learning Lessons, Social Organization in the Classroom. Boston: Harvard University Press. [Google Scholar] [CrossRef]
- Mosselman, Floris, Don Weenink, and Marie Rosenkrantz Lindegaard. 2018. Weapons, Body Postures, and the Quest for Dominance in Robberies: A Qualitative Analysis of Video Footage. Journal of Research in Crime and Delinquency 55: 3–26. [Google Scholar] [CrossRef] [PubMed]
- Nassauer, Anne. 2012. Violence in Demonstrations: A Comparative Analysis of Situational Interaction Dynamics at Social Movement Protests. Berlin: Humboldt Universität zu Berlin. [Google Scholar]
- Nassauer, Anne. 2016. From Peaceful Marches to Violent Clashes: A Micro-Situational Analysis. Social Movement Studies 15: 515–30. [Google Scholar] [CrossRef]
- Nassauer, Anne. 2018a. Situational Dynamics and the Emergence of Violence During Protests. Psychology of Violence 8: 293–304. [Google Scholar] [CrossRef]
- Nassauer, Anne. 2018b. How Robberies Succeed or Fail: Analyzing Crime Caught on CCTV. Journal of Research in Crime and Delinquency 55: 125–54. [Google Scholar] [CrossRef]
- Nassauer, Anne, and Nicolas Legewie. 2018. Video Data Analysis: A Methodological Frame for a Novel Research Trend. Sociological Methods & Research. [Google Scholar] [CrossRef]
- Norris, Sigrid. 2004. Analyzing Multimodal Interaction: A Methodological Framework. New York and London: Routledge. [Google Scholar]
- Pauwels, Luc. 2010. Visual Sociology Reframed: An Analytical Synthesis and Discussion of Visual Methods in Social and Cultural Research. Sociological Methods & Research 38: 545–81. [Google Scholar] [CrossRef]
- Philpot, Richard, and Mark Levine. 2016. Street Violence as a Conversation: Using CCTV Footage to Explore the Dynamics of Violent Episodes. Paper presented at the Annual Meeting of the American Society of Criminology, ASC 2016, New Orleans, LA, USA, November 15–19. [Google Scholar]
- Ragin, Charles C. 1987. The Comparative Method: Moving Beyond Qualitative and Quantitative Strategies. Berkeley and Los Angeles: University of California Press. [Google Scholar]
- Reicher, Stephen D. 2001. The Psychology of Crowd Dynamics. In Blackwell Handbook of Social Psychology: Group Processes. Edited by Michael A. Hogg and Scott Tindale. Oxford: John Wiley & Sons, pp. 182–208. [Google Scholar]
- Reiss, Albert J. 1971. Systematic Observation of Natural Social Phenomena. Sociological Methodology 3: 3–33. [Google Scholar] [CrossRef]
- Salganik, Matthew J. 2017. Bit by Bit: Social Research in the Digital Age. Princeton: Princeton University Press. [Google Scholar]
- Small, Mario Luis. 2009. ‘How Many Cases Do I Need?’ On Science and the Logic of Case Selection in Field-Based Research. Ethnography 10: 5–38. [Google Scholar] [CrossRef]
- Smith, Richard L., Clark Mc Phail, and Robert G. Pickens. 1975. Reactivity to Systematic Observation with Film: A Field Experiment. Sociometry 38: 536–550. [Google Scholar] [CrossRef]
- Strauss, Anselm L., and Juliet M. Corbin. 1998. Basics of Qualitative Research: Grounded Theory Procedures and Techniques, 2nd ed. Thousand Oaks: Sage. [Google Scholar]
- Swedberg, Richard. 2011. Theorizing in Sociology and Social Science: Turning to the Context of Discovery. Theory and Society 41: 1–40. [Google Scholar] [CrossRef]
- Swedberg, Richard. 2014. The Art of Social Theory. Princeton: Princeton University Press. [Google Scholar]
- Sytsma, Victoria A., and Eric L. Piza. 2018. Script Analysis of Open-Air Drug Selling: A Systematic Social Observation of CCTV Footage. Journal of Research in Crime and Delinquency 55: 78–102. [Google Scholar] [CrossRef]
- Tilly, Charles, and Sidney G. Tarrow. 2006. Contentious Politics. Boulder: Paradigm Publishers. [Google Scholar]
- Vrij, Aldert, Lorraine Hope, and Ronald P. Fisher. 2014. Eliciting Reliable Information in Investigative Interviews. Policy Insights from the Behavioral and Brain Sciences 1: 129–36. [Google Scholar] [CrossRef]
- Wiles, Rose, Andrew Clark, and Jon Prosser. 2011. Visual Research Ethics at the Crossroads. In The SAGE Handbook of Visual Research Methods. Edited by Eric Margolis and Luc Pauwels. Los Angeles: Sage Publications Ltd., pp. 685–706. [Google Scholar]
| 1 | Not least because they may foster sample bias in online video studies, uploading practices are an interesting aspect for future research. |
| 2 | There are excellent guidebooks for how to develop concepts and coding schemes from the data, and how to use them to code data (e.g., Strauss and Corbin 1998). The methodological principles when using video data do not differ substantially from other data formats. |
| 3 | As a general note, it may be fruitful to examine video data for patterns by switching between normal and double video run speed. The faster run speed can help pulling back from single actions and reactions to get a view of the flow of a situation. |



© 2019 by the authors. Licensee MDPI, Basel, Switzerland. This article is an open access article distributed under the terms and conditions of the Creative Commons Attribution (CC BY) license (http://creativecommons.org/licenses/by/4.0/).
Share and Cite
Nassauer, A.; Legewie, N.M. Analyzing 21st Century Video Data on Situational Dynamics—Issues and Challenges in Video Data Analysis. Soc. Sci. 2019, 8, 100. https://doi.org/10.3390/socsci8030100
Nassauer A, Legewie NM. Analyzing 21st Century Video Data on Situational Dynamics—Issues and Challenges in Video Data Analysis. Social Sciences. 2019; 8(3):100. https://doi.org/10.3390/socsci8030100
Chicago/Turabian StyleNassauer, Anne, and Nicolas M. Legewie. 2019. "Analyzing 21st Century Video Data on Situational Dynamics—Issues and Challenges in Video Data Analysis" Social Sciences 8, no. 3: 100. https://doi.org/10.3390/socsci8030100
APA StyleNassauer, A., & Legewie, N. M. (2019). Analyzing 21st Century Video Data on Situational Dynamics—Issues and Challenges in Video Data Analysis. Social Sciences, 8(3), 100. https://doi.org/10.3390/socsci8030100

