Abstract
The COVID-19 health crisis brought with it an increase in the workload on family members due to the restriction of services and the suspension of formal and informal care networks. Numerous studies have analyzed how home confinement have affected different gender gaps, including the gender gap related to chores within the home. This research aims to contribute to the existing literature from the perspective of gender geography by introducing the variable municipality size in the analyses. Our research in the case of Spain shows the COVID-19 health crisis to have had a significant impact on gender gaps, albeit to varying degrees. Women, especially those living in small municipalities, experienced a widening of the gap related to care and domestic workload during confinement. The study of the distribution of the more burdensome chores between genders shows an even more imbalanced scenario to the detriment of women. However, following the end of confinement, the situation improved. Although the imbalance against women remains, the gap with respect to the pre-pandemic situation has been reduced.
1. Introduction
Among the many gender gaps that reflect inequality between women and men in contemporary societies, the imbalance in the distribution of housework is particularly prominent. The unequal distribution of family chores between genders has many implications. In particular, it conditions female participation in the labor market, as shown by various empirical studies over recent decades (see, e.g., England 2010; Fuwa 2004; Hersch and Stratton 1994, 2002; Mascherini and Bisello 2020; McBrier 2003; Shannon and Greenstein 2004; Shelton and John 1996; Tzannatos 1999).
The traditional division of housework is usually identified as one of the explanatory variables of both horizontal and vertical female labor segmentations (Bick 2015; Blau et al. 2012; Gutiérrez et al. 2020; Reskin 1993; Simó-Noguera et al. 2016; Torns and Recio 2012), which ends in the phenomena of glass ceiling and sticking floor. The former refers to the difficulties women face when they wish to increase their labor responsibilities and move up in the job hierarchy. The latter concerns the obstacles that women encounter in their endeavor to leave the lowest-paid and lowest-skilled jobs. Many of the jobs available to women are limited to certain sectors and offer poor working conditions (for example, labor insecurity or lower wages). The extra load that women take on at home is also related to their early exit from the labor market and to the fact that a higher percentage of women work in part-time jobs. All this feeds into the gender gap in retirement pensions and goes some way in explaining the gender pay gap (Adda et al. 2017; Foster and Heneghan 2018; Larraz et al. 2019, 2021; Rosenfeld and Birkelund 1995; Stier and Lewin-Epstein 2000; Van Breeschoten and Evertsson 2019).
The gender gap in the distribution of housework not only affects working women at the workplace, but also in other more private dimensions. On the one hand, the gender gap is cited as an explanatory factor in the reduction of fertility rates (Da Rocha and Fuster 2006; Roig 2019). On the other hand, it is reflected in the emotional overload that women suffer in taking on the main responsibility for therelationships within the family unit and the wider family circle. For this reason, working women are considered to complete a triple workday: working in the labor market, taking care of the house and maintaining the emotional well-being of family members (Chung 2020; Gerstel 2000). The participation of women in the labor market is conditioned, in some way, by the fact that they have less time. They cannot devote the same time to their paid job as men do (Beck-Gernsheim 2006).
Despite this, since the end of the 20th century, there has been a change in the trend in gender roles within families when both parents work (Altintas and Sullivan 2016, 2017; Bianchi 2000; Bianchi et al. 2000; Kahn et al. 2014; Gershuny and Robinson 1988; Gonalons-Pons 2015; Oláh et al. 2018; Skopek and Leopold 2019). On the one hand, a steady reduction has been seen in the burden of housework done by women who work outside the home. On the other hand, men have gradually taken on more household chores. However, the hierarchical relationship between genders has not disappeared, since women continue to assume the main workload in the family sphere. The housework gender gap may be narrowing, but it is still present and is seen to be greater for women living in smaller municipalities.
In this study, we focus on the case of Spain and how the COVID-19 health crisis and confinement have affected gender inequality in the completion of household and work-family chores, and whether this is different depending on the size of the municipality. The objective is to discern whether the period of confinement halted the trend of a reduction in the housework gender gap seen prior to the pandemic and whether, since the end of confinement, some progress has been made on the path towards an equitable distribution of housework between men and women or if the situation has stabilized with no significant changes. In short, this study aims to assess whether there were gender behavioral changes before, during and after the confinement period in terms of the gender gap from a geographic perspective.
Answers to the above questions are important in helping to make informed decisions and put actions in place that work towards building a sustainable, equable and inclusive society in accordance with SDG 5.4 of the UN 2030 Agenda. This research is relevant for scholars that research gender inequalities as well as policy makers (politicians and technicians) wanting to formulate and implement gender equality public policies to achieve SDG. Our main hypothesis is that gender inequality in the distribution of housework during COVID-19 confinement increased to the detriment of women, and even more so in smaller municipalities than in larger ones.
The rest of the paper is structured as follows. Section 2 gives some background and briefly reviews the literature. Section 3 revises the relationship between gender and geography. Section 4 introduces the data used, outlines the methods applied and states our hypotheses. Section 5 presents the results attained. Finally, Section 6 presents the conclusions.
2. Background and Literature Review
In March 2020, the COVID-19 pandemic abruptly interrupted the daily routine of our society with enormous social and economic consequences. The socioeconomic cost has been huge: in terms of employment alone it meant the loss of 114 million jobs worldwide in 2020 (ILO 2021).
At the beginning of the pandemic, restrictions on mobility decreed by authorities to prevent the spread of the disease paralyzed general economic and social activity, increasing the burden on family units to care for relatives. The suspension of informal and formal care networks (for example, the closure of day-care centers) as well as the higher demand for care by the population at greatest risk meant that families, and in particular women, had to take on this responsibility (Alon et al. 2020; Reichelt et al. 2021) while managing difficult working conditions in the workplace. The economic sectors most affected by mobility restrictions and confinement were restaurants and hotels, non-food and non-pharmaceutical retail, artistic and leisure services, as well as passenger transport services (Pérez et al. 2021), all strongly feminized sectors.
A growing economic literature explores the impact of the pandemic on gender from a socio-economic perspective. A first line of research focuses on analysis of the labor market and points towards a greater negative impact on women than on men, with the increased burden of care assumed by women in family units and the gender segmentation of the labor market identified as some of the main causes (Adams-Prassl et al. 2020; Alon et al. 2020; Andrew et al. 2020; Blundell et al. 2020; Collins et al. 2020; Hipp and Bünning 2021; ILO 2021). In general, the greater structural vulnerability of women in the labor market, such as informal domestic work, is associated with the pandemic having a greater impact on this group. Some research studies also add to gender discrimination, while others look at discriminations based on race, ethnicity or religion (Blaskó et al., 2020). The ongoing research not only scrutinizes the higher female unemployment rate, but also states that it will take longer for women to reach the pre-pandemic employment rate than men (Alon et al. 2020). The International Labor Organization predicts that by the end of 2021 male employment will reach pre-pandemic levels, whereas there will be thirteen million fewer female employees (ILO 2021).
Other researchers have focused on analyzing the growing family burden, particularly on women, due to the higher demand for social care in the home during confinement. Empirical evidence shows that during the health crisis women assumed most of the parental chores (Blaskó et al. 2020; Collins et al. 2021; Del Boca et al. 2020; Fuller and Qian 2021; Collins et al. 2020; Sevilla and Smith 2020) as well as caring for the elderly (Cohn-Schwartz and Ayalon 2021; McLaren et al. 2020; Power 2020). Of particular interest is the work of Collins et al. (2021) who study the link between female employment and the (face-to-face) public education system in the US as a key infrastructure in the provision of care for North American families.
At this exceptional juncture in time, academia is investigating the impact of COVID-19 on the gender distribution of chores within the family. In this growing literature on the effect of COVID-19 on gender, two main theses are prominent. On the one hand, some scholars affirm that a re-feminization of the family is taking place (Alon et al. 2020; Carlson et al. 2020; Craig and Churchill 2021; Kreyenfeld and Zinn 2021; Landivar et al. 2020; Petts et al. 2021). According to these studies, a setback on the road to equitable sharing of family responsibilities between men and women has occurred. They maintain that the exceptional measures of restriction of mobility implemented to prevent the spread of the virus have increased the burden of care placed on women and have had a greater effect on the more feminized jobs (Collins et al. 2021). In Germany, Allemendinger (2020) confirms a setback on the path to gender equality within the family. In France, Hennekam and Shymko (2020) also acknowledge the same dynamics. Johnston et al. (2020) draw the same conclusions in Canada and Australia. Similarly, Collins et al. (2021) show that the gender gap in household chores is soaring in the US. In Italy, Meraviglia and Dudka (2021) maintain that gender continues to explain the unequal distribution of work in the home (the inequality in household chores). According to these studies, the traditional gender division of work within the family, in which men assume the role of breadwinners and women exercise the role of caregivers (Lewis 1992, 1997; Parsons 2002), is consolidated.
On the other hand, other lines of research defend that this exceptional situation has meant another step forward towards a more equitable gender relationship in terms of the distribution of household chores. Kreyenfeld and Zinn (2021) assert that the trend prior to the COVID-19 health crisis towards a more equable division of housework between men and women seen in Germany is also visible elsewhere. They find that during confinement fathers and mothers spent substantially more time with their children. In Australia, other behavior patterns generated by COVID-19 were detected in parents. Contrary to the situation in the pre-pandemic period, in confinement fathers spent more time caring for their children, which reduced the gender gap (Craig and Churchill 2021). In the United States, Carlson et al. (2020) empirically show that the pandemic promoted a more balanced relationship in the distribution of housework between women and men. Moreover, in Spain, Farré et al. (2020) and Larraz et al. (2021) reach the same conclusion by pointing towards a greater involvement of men in household chores during the confinement period.
This study aims to go one step further. We aim to contribute to the literature on the impact of COVID-19 on the distribution of work within the home between men and women from the perspective of gender geography. We also aim to extend this study to include the period after confinement, or lockdown, ended.
3. Gender and Geography
We base our initial approach on the idea that a power relationship is built in a given place. Space is not considered neutral, asexual, homogeneous, or universal. (García-Ramón 2005; Forsberg and Stenbacka 2017). Each place is organized according to particular social dynamics to maintain a specific power structure. “In each structure, family and city, there is a government, an instance that organizes and directs a society: a place of power” (Fraisse 2003, p. 141). The size of the municipality is an explanatory variable of the power relations in the territory. From the perspective of gender geography, it is assumed that space can perpetuate or modify gender imbalances in a place (Monk and García-Ramón 1987). Indeed, according to Little et al. (1988, p. 1–2), “[f]eminist geography can be defined as the examination of the ways in which socio-economic, political and environmental processes create, reproduce and transform not only the places in which we live, but also the social relations between men and women in these places and how, in turn, gender relations also have an impact on these processes and their manifestations. That is, feminist geography is concerned with understanding the interrelations between socially constructed gender relations and socially constructed environments”. Our research aims to specifically examine the relationship between place and gender housework distribution in the case of Spain. By introducing municipality size as a factor, we can empirically verify whether gender relations within the home respond to different parameters depending on the magnitude of the community.
Traditionally, it has been considered that smaller spaces, such as the rural world, are less permeable to cultural changes (Lewis 2001; Múñoz-Boudet et al. 2013). The classic division of roles within the traditional family endures effortlessly in these areas where there is a greater reluctance to adapt to new cultural patterns than in the urban environment (Inglehart 1988; Inglehart and Norris 2003; Inglehart and Welzel 2006). However, since the nineties, empirical studies identify new ruralities. The boundaries between the two spaces of the countryside and the city have become more blurred. The rural female population that had previously emigrated from the countryside is now returning and new rural identities are being built at a time when the countryside is idealized as a green and supportive space (Baylina, 2020; Phillips et al., 2020).
In times of reduced mobility, such as during the confinement caused by COVID-19, rural areas revived the idealization process of the late 20th century seen in Spain and abroad (Baylina 2020; Little and Panelli 2003; Phillips et al. 2020), harking back to the romanticism around the countryside of Rousseau’s times and his “Emilio” treatise (Rousseau 1913). The lockdown due to COVID-19 forced significant parts of the Spanish population to live in social bubbles, not leaving the house except for activities considered essential, such as buying food. In this context, life in the countryside seemed to offer greater security in the face of possible contagions. These are environments with a smaller population and which reflect the previous ideal of rural life as a green and supportive environment. From this perspective, we hypothesize that the relationship of gender to household chores is different depending on the size of the municipality. In this way, our paper aims to contribute to the relatively new line of research of gender geography with Spain as a case study.
The introduction of gender into geographical studies is still a relatively recent idea. This sub-discipline dates back to the seventies in the United Kingdom (Bruegel 1973; Burnett 1973), only reaching Spain a decade later (Baylina 2019; García Ballesteros 1982; García-Ramón 1985) after the end of the national-socialist dictatorship of Franco and in democratic times. Despite this idea being present for over forty years in Spain, the number of research studies related to gender is still scarce. The under-representation of women in academia, the non-perception of women as people with their own identity independent of men and the delay in the identification of the space as a non-neutral component in terms of gender have been argued as some of the reasons for this lack of research (Bowlby 1989; Bowlby et al. 1982; Monk and Hanson 1982; Pujol and García Ramón 2004). These factors in the case of Spain, and similar countries, are accentuated even more due to the enduring sexist culture, where gender inequality is not seen as a problem, but as something natural. The start of a new century, however, marked the beginning of a new era for Spanish gender geography, with most of the studies focused on rural spaces and urban settings, following the path opened by research from the Universidad Complutense de Madrid and the Universitat Autònoma de Barcelona (UAB) (Sabaté and Tulla 1992). Now, as the 21st century advances, a growing Spanish literature about space and the use of time has begun to emerge (Baylina and Rodó-De-Zárate 2019). This paper seeks to add to this literature from a different perspective, focusing on the gender distribution of household chores as a function of the municipality size in the context of the COVID-19 health crisis.
4. Data, Methods and Hypotheses
4.1. Data
The impact of gender on the distribution of housework between men and women, taking into account the size of the municipality during COVID-19, can be analyzed using the valuable information collected from specific surveys. To this end, this research exploits the microdata collected in two surveys (Pérez et al. 2022a, 2022b) carried out by GIPEyOP (the Research Group on Electoral Processes and Public Opinion of the University of Valencia) at two different moments of time during the COVID-19 health crisis in Spain. Both surveys employed a snowball sample design, initiated from a file of GIPEyOP collaborators to collect the data. This type of sample design, which is not probabilistic but chained, allows valuable information to be collected (e.g., Kirchherr and Charles 2018; Pavía et al. 2019).
The first of the surveys (Pérez et al. 2022a) collected 8387 valid responses and was conducted between 28 April, 2020 and 14 May, 2020, although most of the responses were collected during the initial few days. Specifically, 92% of the responses were collected before 2 May (the start date of the de-escalation of confinement measures imposed in Spain when, after seven weeks of strict home confinement, people were allowed to go outside to do physical exercise for two hours, by time slots according to age), and 96.8% of responses were received during the first week. During the last week only 1.3% of the responses were collected. The effective collecting period of this survey could be stated, therefore, as being between 28 April, 2020 and 4 May, 2020, that is, during strict home confinement. Hereafter, this study will be referred to as Survey 1: Lockdown.
After the summer of 2020, in a second survey (Pérez et al. 2022b), 1755 valid responses were collected between 23 September, 2020 and 14 October, 2020, coinciding with the so-called period of new normality and encompassing the start of the second wave of the COVID-19 pandemic in Spain. Hereafter, this study will be referred to as Survey 2: Post Lockdown.
In terms of gender composition (see Table 1), 54.3% of respondents in the first survey are women, with this figure dropping to 45.3% in the second survey. In both surveys the age distributions are quite similar, with the age group most represented being 45 to 64 years old followed by 31 to 44 years old. These groups cover those collectives considered to be responsible for most of the housework and care responsibilities. The age group with the lowest participation is the youngest group, followed by the oldest one. In both surveys female and male participation by age is very similar.
Table 1.
Age-Gender distributions of the collected data (percentages).
The greatest imbalance in the sample is registered at the educational level. As is usual in self-administered online surveys, the collective with the highest qualifications in terms of educational training is overrepresented. This group accounts for 64.5% of the sample in Survey 1 and somewhat less in Survey 2, at 57.7% (see Table 2).
Table 2.
Education-Gender distributions of the collected data (percentages).
In both surveys, the activities listed in Table 3 are used to study the distribution of work within the home between women and men. Each respondent was asked to quantify how many times per week s/he looked after dependent people and did various household chores. In the case of Survey 1, respondents were asked to quantify each of the chores listed in Table 3 in two specific moments in time: before lockdown, and during lockdown. In Survey 2, a third moment in time was added: in addition to before and during lockdown, respondents were also asked about the household chores they did after lockdown. The analyses exploit the answer to these queries as well as collected information about gender and size of the municipality of residence.
Table 3.
List of unpaid household chores and the care of children and relatives considered in both surveys.
4.2. Methods
For each respondent in each survey, we have built an indicator that synthesizes its declared aggregate workload at home as main variable for analysis. This strategy greatly simplifies analyses and allows the discovery of general patterns, making comparisons easier between genders, points in time and municipality sizes, including their interaction effects (see Figure 1). Statistically significant differences between groups are assessed using ANOVA tests (Tabachnick and Fidell 2007) as these instruments allow the means of two or more groups to be compared, including in samples with repeated measures.
Figure 1.
Averages of household chores completed per day by gender and time (relative to lockdown) in both surveys and in both municipality sizes.
The aggregation strategy, however, can hide the difference in effort made by men and women in completing particular chores. Hence, despite the number of possible comparisons still being very high as can be seen in the results section (see Figure 2, Figure 3 and Figure 4), to correct this possible limitation we also perform a brief descriptive study in which, grouping respondents by municipality size, we graphically compare differences by chore for males and females using data from Survey 2 (see Figure 5). The statistical tests, however, are carried out exploiting the data collected in both surveys. This approach reinforces the robustness of the conclusions, since both surveys lead to the same conclusions in their intersection questions despite them using different samples and their data being collected in different periods.
Figure 2.
Confidence intervals of mean differences between periods by gender, municipality size and survey. This figure shows the confidence intervals for the mean differences between moments in time with respect to confinement (B: Before, D: During and A: After), differentiating between women and men as well as by municipality size for both surveys. Differences are not significant at 5% level when the corresponding interval intersects with the zero-vertical dotted line. The interested reader can find detailed numbers, including p-values, in Table A1 of Appendix A.
Figure 3.
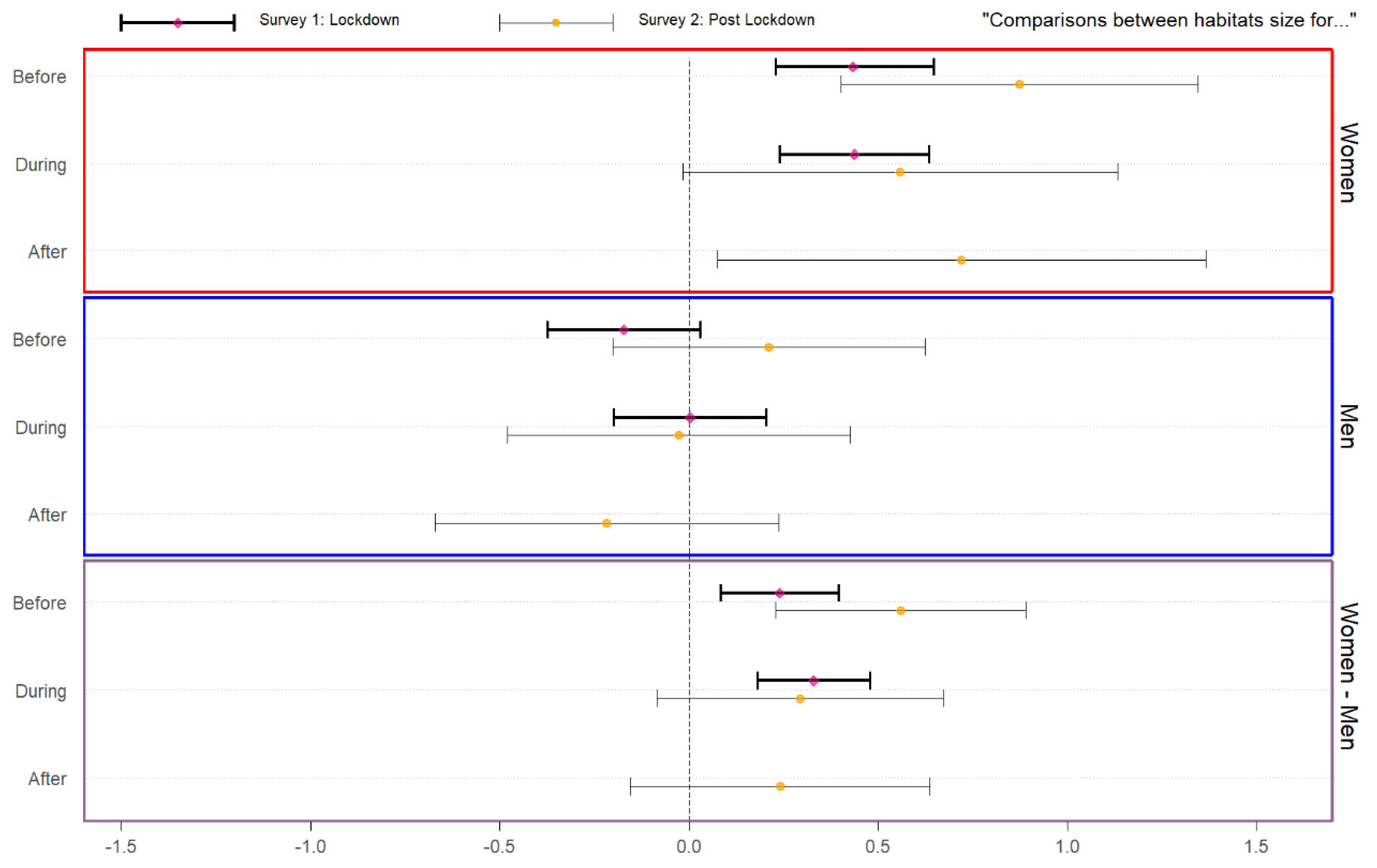
Confidence intervals of mean differences between municipalities by period and for women, men and differences between women and men. This figure shows the confidence intervals for the mean differences between municipality sizes by moment in time with respect to confinement, differentiating for women and men as well as their differences. Differences are not significant at 5% level when the corresponding interval intersects with the zero-vertical dotted line. The interested reader can find detailed numbers, including p-values, in Table A2 of Appendix A.
Figure 4.
Confidence intervals of mean differences between surveys by gender, period and municipality size (upper panels) and between genders by municipality size and period of time (lower panels). The upper panels of this figure show the confidence intervals for the mean differences between surveys by period of time with respect to confinement, differentiating between municipality sizes and genders. The lower panels show the confidence intervals for the mean differences between genders by period of time with respect to confinement, differentiating between municipality sizes. Differences are not significant at 5% level when the corresponding interval intersects with the zero-vertical dotted line. The interested reader can find detailed numbers, including p-values, in Table A3 of Appendix A.
Figure 5.
Bar charts of the differences between genders (women–men) in the average number of days per week each household chore is done.
We build the aggregate indicator for each respondent in each period after dividing by 7 (days) the total number of household chores s/he completes per week, with this number obtained by summing up all her/his answers in the chores listed in Table 3 broken down by period. Equation (1) presents the formulae employed, where refers to household chore, refers to each of the activities listed in Table 3 and refers to the period (before, during and after) relative to the lockdown.
Our main variable therefore accounts for the number of unpaid household chores and care of children and relatives that people undertake on average per day. Table 4 shows the main summary of the basic statistics of this variable for both samples. Before computing the household chores summary statistic, we remove some of the records of the data sets, specifically those respondents who either answered ‘not applicable’ or did not answer as doing any of the household chores. This is equivalent to assuming that with respect to this variable the distributions of missing values and observed values are similar. As we show later (at the end of this subsection) there is no reason to think otherwise.
Table 4.
Basic statistics of daily unpaid household chores and the care of children and relatives completed per period (relative to lockdown) in both surveys.
Once we have the (average) number of daily household chores people do in each period, we study whether the COVID-19 health crisis has had the same effect on the distribution of housework by gender in small and large municipalities before, during and after confinement. To do so, respondents are classified by survey, sex and municipality size. In particular, we consider two clearly differentiated municipality sizes: Size 1, less than 10,000 inhabitants; and Size 2, more than 50,000 inhabitants. Table 5 shows sample sizes broken down by gender recorded in each municipality size.
Table 5.
Distribution of the sample sizes in each of the groups analyzed.
Two of the variables that a priori have a higher impact on the distributions by gender of household chores are the level of participation in the labor market and the number of children and dependents in charge. Table 6 and Table 7 offer information about the gender distributions of these variables broken down by group of municipality sizes.
Table 6.
Labor status distributions by gender in each of the groups analyzed.
Table 7.
Mean and standard deviations (SD) of number of dependents being cared for by gender in each of the groups analyzed.
As expected, the level of participation in the labor market of women is lower than that of men, the gap being higher in small municipalities (see Table 6). We also observe (see Table 7) that the average number of children and dependent people being cared for is higher for people living in small municipalities. These results can help to explain why (in normal conditions) the gender gap in household chores is higher in smaller than in larger municipalities. Interestingly, women report having on average a higher number of people under their care than men.
Where data is missing, these have been excluded from the analyses. The analysis performed shows that this has no effect on our results. On the one hand, the level of partial non-response in our control variables is really small in both surveys. The non-response percentages for sex, municipality size, year of birth and education level in Survey 1 and 2 are, respectively, (0.0, 0.7), (2.2, 0.9), (0.1, 0.4) and (1.0, 0.5), where the first component refers to Survey 1 and the second to Survey 2. The non-response levels in household chores, however, are higher in both surveys, but still relatively small: 9.8 and 15.3, respectively. On the other hand, and more importantly, we observe no bias (significant statistical differences) between respondents and non-respondents of our target variable with regard to the control variables. In particular, considering only those respondents from Size 1 and Size 2 municipalities, the p-values obtained are (0.931, 0.506), (0.974, 0.201) and (0.916, 0.529) when comparing the distributions of respondents and non-respondents regarding sex, municipality size and education level, respectively, and where the first and second components refer to Surveys 1 and 2, respectively. The smaller p-values of the second sample are due to the smaller sample size.
Finally, as indicated at the beginning of this section, we have also calculated for each household chore the differences between the averages for women and men (see Figure 5). Positive values indicate a higher average workload in the corresponding chore for women and negative for men. In this case, we have just focused on Survey 2 since it collects information regarding the three periods: before, during and after the lockdown.
4.3. Hypotheses
The methods described in the previous subsection are applied to the data collected in the two surveys described in the Data subsection. The first survey conducted was during the period of confinement in Spain (March−May 2020) and the second survey was during a period called the new normal, in autumn 2020. These data enable us to answer two working hypotheses for Spain. Our first hypothesis (H1) states that during confinement the imbalanced relationship between men and women in the distribution of household chores worsened, to the detriment of women. The restrictions on mobility and social contact imposed by the authorities to stop the spread of the virus translated into the interruption of housework and care supply chains, whether formal or informal (grandparents, for example), which led to a greater burden of domestic chores for parents. Our second hypothesis (H2) affirms that the gender imbalance in household chores worsened even more in smaller municipalities. In short, we try to answer questions such as: Do women and men behave differently at home depending on the size of the municipality where they live? Does the gender gap in household chores shrink or widen during confinement in municipalities with more than 50,000 inhabitants?
5. Results
Our analysis begins by summarizing in a descriptive and schematic way the main results of this research, presented in the form of a line graph in Figure 1. Figure 1 presents the averages of household chores completed by day, sex and period (in relation to the confinement) in both surveys (Survey 1: Lockdown and Survey 2: Post Lockdown) and in both municipality sizes under consideration (Size 1: less than 10,000 inhabitants and Size 2: more than 50,000 inhabitants).
The results shown in Figure 1, to be confirmed later by hypothesis testing, allow us to draw relevant conclusions. First, we see that, on average, there is an unequal distribution of household chores between women and men. Women assume on average a greater domestic workload than men in all periods (before, during and after confinement) and municipality sizes (Size 1: small or rural; and Size 2: large or urban). This result is clearly visible when comparing the positions of the red (women) and blue (men) points in each of the vertical segments. Second, on average, women assume a greater burden of domestic work in rural areas than their counterparts do in urban areas. However, there are no significant differences for men between small and large municipalities in terms of the housework they do. This is shown in Figure 1 by comparing in the vertical segments the points where the green lines (corresponding to rural areas) and the brown lines (corresponding to urban areas) end. In short, the variable municipality size impacts on the gender distribution of housework within the family.
Third, Figure 1 also shows that, on average, both women and men increased the number of daily household chores they completed during confinement. The generalized increase in the domestic workload is visible in Figure 1 through the positive slopes of the lines that join the points in the “Before” and “During” segments. These results are not surprising considering the total closure of services and the general suspension of formal and informal care networks in Spain during confinement and also the increase in demand for care that emerged as a consequence of the COVID-19 outbreak. The pandemic meant that, in addition to the traditional dependent population (children and the sick), other vulnerable people who were previously independent and who could suffer the most in the event of infection needed more attention. Fourth, the average increase in housework experienced by women during confinement was higher than that of men. As can be seen in Figure 1, the slopes between the “Before” and “During” segments corresponding to women are steeper than those corresponding to men.
Fifth, once the confinement is over, the number of chores completed at home by members of the family unit is reduced. The reopening of schools, kindergartens, bars and restaurants and the possibility of having external domestic help reduces the average number of daily chores completed by women and men, even to below pre-lockdown levels. These changes are evident in Figure 1 by observing, on the one hand, the negative slopes of the lines that join the segments corresponding to “During” and “After” and, on the other hand, comparing the highlighted points (blue and red) in the "Before" and "After" segments. Sixth, as a rule, both surveys draw the same conclusions in their areas of intersection. Comparing the thicker and thinner lines by color in Figure 1, we see that their slopes and their points of intersection with the vertical segments are very similar.
In short, the number of household chores completed by adults depends, among other factors, on gender, size of their municipality of residence and the moment in time considered with respect to confinement. All these results are confirmed in the inferential analyses presented in Figure 2, Figure 3 and Figure 4, which show the 95% confidence intervals corresponding to the mean differences of all the reasonable comparisons. The intersection with the vertical dotted line indicates that zero is included in the corresponding interval. The numerical results on which all these representations are based, including the associated p-values, are provided in Appendix A.
The results of the inter-temporal comparisons based on ANOVA tests for repeated measures are shown in Figure 2. The upper panel of Figure 2 shows the estimates of the confidence intervals for women and the lower panel for men. Almost all the differences (14 out of 16) are significant at 5% for both women and men (see Table A1 in Appendix A). The tests detect significant differences only in two cases. Survey 2 shows significant differences between the averages of household chores carried out before and during confinement in small communities (Size 1). The non-statistical significance of these differences is a consequence of the low sample sizes available for these comparisons?the smallest sample sizes of the entire sample (108 and 101, for women and men, respectively)?since the differences do point in the expected direction. Survey 1 also clearly detects significant differences for the Before-During comparison in small municipalities for both sexes. These results confirm the point mentioned earlier: during confinement both genders increased their domestic workload.
Figure 2 shows comparisons between periods and Figure 3 between municipality sizes. To check whether the differences in household workload between municipalities is significant or not and in what sense, Figure 3 graphically shows the numerical results available in Table A2 in the Appendix. Out of the 15 tests carried out, 7 are significant. The non-significant ones correspond mainly to the block of men, with the data from both surveys pointing in the same direction. The results clearly indicate that, on average, the number of chores completed by men living in rural and urban areas are not significantly different, and this result is the same regardless of the period considered; before, during and after confinement. However, in the case of women, the data do indicate the existence of significant differences between municipality sizes. Women living in rural areas bear a greater burden of domestic work than women residing in urban areas, with the gap narrowing during confinement, when the differences are only marginally significant. Finally, analyzing the results shown in the third block of Figure 3, we observe that, although the results indicate that before confinement the differences in housework between women and men were clearly greater in small municipalities than in larger ones, after confinement the differences narrowed, although the difference is still to the detriment of women. All these results provide evidence in favor of our hypothesis H2.
The last hypothesis tests are shown in Figure 4 (the relevant numerical values are available in Table A3 of Appendix A). The first block compares the values of the target variable between surveys. The second block makes comparisons between genders. The results of the first block serve to give robustness to all the conclusions reached, since both surveys point to the same results. However, the results of the second block reveal that: (i) women systematically bear a greater workload than men; (ii) during confinement, the burden of housework increased for both sexes; and (iii) during confinement, the domestic chores gap increased to the detriment of women in both municipality sizes, being more intense in small municipalities. These results provide evidence in favor of both hypotheses H1 and H2. The outcomes also show that after confinement the gender gap narrowed, especially in larger municipalities.
Looking more closely at the data on the differences (see Table A3) we can see that the gender gap in household chores, measured through the difference in the averages of chores completed per day by women and men, increases during confinement. In smaller municipalities, this difference goes from 1.46 (1.69) before confinement to 1.53 (1.80) during confinement according to Survey 1 (Survey 2). This evolution in the behavior of the female and male population within the home is also seen in municipalities with more than 50,000 inhabitants. In Survey 1, the difference between women and men goes from 0.85 on average before confinement to 1.10 during confinement, while in Survey 2 it goes from 1.03 to 1.21. All of these measures are significant.
The above analyses are aggregated. They study relationships using a synthetic indicator that summarizes the average number of chores each person completes daily on average. All chores, however, are not equally burdensome. Figure 5 shows, in a descriptive way and for each type of activity considered, the differences between the weekly means of chores completed by women and men at each moment of time (before, during and after confinement), differentiating between small municipalities (left panel) and larger ones (right panel). In the smaller localities, the only chores in which men have, on average, a greater presence than women (negative differences) are number 3, playing with minors (excluding during confinement) and number 13, going out for food shopping. These differences even increase after confinement compared to the pre-confinement period. However, in larger municipalities, the chores most frequently completed by men are food shopping and disposing of garbage. The activities with the greatest differences between genders in both municipality sizes are 5, 7, 8, 9, 10 and 11, related to washing up after meals, cleaning the bathroom, preparing the midday meal, dusting, cleaning the floor and doing the washing. The gender gap in household chores remains huge.
6. Conclusions
The study of gender gaps is a very active research area to which new evidence is being added every day. Numerous studies have analyzed how home confinement during the COVID-19 pandemic has affected different gaps, including that related to household chores. While several authors argue that this situation has been a step towards a more egalitarian gender relationship in the private sphere as fathers (and mothers) spend much more time with their children, other authors argue that it has been a step backwards with a significant feminization of domestic work. This study explores this line of research further by incorporating a geographical dimension: the size of the municipality of residence.
Our analyses show a significant impact of the COVID-19 health crisis on gender roles in the family. On the one hand, during confinement both men and women increased the average number of household chores they did per day, but with women taking on more and thus experiencing firsthand the increase in the gender gap. On the other hand, after confinement there was a reduction in the average number of chores completed, even to levels lower than before confinement.
The incorporation of the geographical dimension also shows that the municipality size is not innocuous, but influences behavior patterns of women and men within the home. Indeed, women take on more of the domestic chores in small communities than in larger ones, while no significant differences are observed in different municipality sizes with regards to men. In larger municipalities the female population also takes on a greater proportion of the chores than the male population, although the corresponding gap is smaller.
The gender gap in each of the periods is still to the detriment of women. At each point in time - before, during and after confinement - women have a greater housework burden than men. This gap increases during confinement and then narrows to below pre-pandemic levels. There is an improvement in terms of the gap after confinement, but the gender gap in the distribution of household chores is still far from being reduced in both large and small municipalities, but particularly in the latter. This fact is even more evident when looking in more detail at the chores completed. The gap is seen to be even wider in relation to gender distribution of the most burdensome chores.
From a methodological point of view, both surveys present fairly aligned results despite differences in period of collection, sample composition and sample sizes. The data collection tool used is therefore robust, which opens up new possibilities for the study of the gender gap, including its study from a geographical perspective. Knowing how gender roles vary according to the size of the municipality, studying their evolution and discerning how they could be modified offers relevant information for the development of efficient public policies for gender equality on the path towards the construction of a sustainable and inclusive society, based on SDG 5.4 of the United Nations 2030 Agenda. From this perspective, this study is relevant for the building of a sustainable, equable and inclusive society in which women can participate in the labor market under equal conditions as men without having to take on the additional, but invisible job, as the main carer at home (Durán 2019).
Author Contributions
Conceptualization, R.R.; methodology, C.A. and J.M.P.; software, C.A.; validation, C.A.; formal analysis, R.R. and J.M.P.; resources, R.R.; C.A. and J.M.P.; data curation, C.A.; writing—original draft preparation, R.R.; C.A. and J.M.P.; writing—review and editing, R.R. and J.M.P.; visualization, C.A. and J.M.P.; supervision, J.M.P.; project administration, J.M.P.; funding acquisition, R.R.; C.A. and J.M.P. All authors have read and agreed to the published version of the manuscript.
Funding
This research was funded by Fondo Supera COVID19 (CRUE-CSIC-Banco Santander), grant number Los ROstros del COvid-19 Género e Impactos Socioeconómicos (ROCOGIS) and by Conselleria d’Innovació, Universitats, Ciència i Societat Digital, Generalitat Valenciana, grant number AICO/2021/257.
Data Availability Statement
The data sets used in this study are available in Pérez et al. (2022a, 2022b).
Acknowledgments
The authors wish to thank four anonymous reviewers and the assistant editor for valuable comments and suggestions, Marie Hodkinson for revising the English of the paperand of the SUPERA COVID-19 FUND, a joint tender offered by CRUE (Conference of Rectors of Spanish Universities), CSIC (the Spanish National Research Council) and Banco Santander (Santander Bank), through the project ROCOGIS for financial support. The authors also acknowledge the support of Generalitat Valenciana through project AICO/2021/257 (Consellería d’Innovació, Universitats, Ciència i Societat Digital).
Conflicts of Interest
The authors declare no conflict of interest. The funders had no role in the design of the study nor in the collection, analyses, or interpretation of data or in the writing of the manuscript and the decision to publish the results.
Appendix A
Table A1.
Hypothesis tests of means corresponding to Figure 2. Women upper panel, men lower panel.
Table A1.
Hypothesis tests of means corresponding to Figure 2. Women upper panel, men lower panel.
| Figure 2 Between Periods | Diff. | t | Interval | Adjusted | |
|---|---|---|---|---|---|
| Lower | Upper | p-Value | |||
| Before–During | |||||
| Su1Si1–Su1Si1 | −0.6056 | −4.5910 | −0.8643 | −0.3468 | <0.0001 |
| Su2Si1–Su2Si1 | −0.3522 | −1.0405 | −1.0198 | 0.3154 | 0.2994 |
| Su1Si2–Su1Si2 | −0.6021 | −9.0807 | −0.7321 | −0.4721 | <0.0001 |
| Su2Si2–Su2Si2 | −0.6682 | −4.0513 | −0.9920 | −0.3444 | <0.0001 |
| During–After | |||||
| Su2Si1–Su2Si1 | 1.5347 | 3.8861 | 0.7559 | 2.3134 | 0.0001 |
| Su2Si2–Su2Si2 | 1.6967 | 9.0172 | 1.3272 | 2.0660 | <0.0001 |
| Before–After | |||||
| Su2Si1–Su2Si1 | 1.1825 | 3.2612 | 0.4671 | 1.8979 | 0.0013 |
| Su2Si2–Su2Si2 | 1.0284 | 5.7187 | 0.6753 | 1.3815 | <0.0001 |
| Before–During | |||||
| Su1Si1–Su1Si1 | −0.5324 | −4.0222 | −0.7922 | −0.2723 | <0.0001 |
| Su2Si1–Su2Si1 | −0.2397 | −0.8411 | −0.8013 | 0.3218 | 0.4012 |
| Su1Si2–Su1Si2 | −0.3570 | −5.9212 | −0.4753 | −0.2388 | <0.0001 |
| Su2Si2–Su2Si2 | −0.4778 | −3.8887 | −0.7189 | −0.2367 | 0.0001 |
| During–After | |||||
| Su2Si1–Su2Si1 | 1.3148 | 4.4258 | 0.7295 | 1.9000 | <0.0001 |
| Su2Si2–Su2Si2 | 1.1242 | 8.5839 | 0.8672 | 1.3812 | <0.0001 |
| Before–After | |||||
| Su2Si1–Su2Si1 | 1.0750 | 3.7616 | 0.5120 | 1.6381 | 0.0002 |
| Su2Si2–Su2Si2 | 0.6465 | 5.2751 | 0.4060 | 0.8870 | <0.0001 |
Su1: Survey 1/Su2: Survey 2/Si1: Size 1/Si2: Size 2. The results in this table are presented in the same order in which they appear in Figure 2. The red panel corresponds to women and the blue one to men.
Table A2.
Hypothesis tests of means corresponding to Figure 3. Women upper panel, men middle panel and gender differences lower panel.
Table A2.
Hypothesis tests of means corresponding to Figure 3. Women upper panel, men middle panel and gender differences lower panel.
| Figure 3 Between Municipalities | Diff. | t | Interval | Adjusted | |
|---|---|---|---|---|---|
| Lower | Upper | p-Value | |||
| Before | |||||
| Su1–Su1 | 0.4336 | 4.0001 | 0.2292 | 0.6463 | <0.0001 |
| Su2–Su2 | 0.8741 | 3.6577 | 0.4021 | 1.3461 | 0.0004 |
| During | |||||
| Su1–Su1 | 0.4371 | 4.3609 | 0.2404 | 0.6337 | <0.0001 |
| Su2–Su2 | 0.5581 | 1.9181 | −0.0169 | 1.1331 | 0.0570 |
| After | |||||
| Su2–Su2 | 0.7201 | 2.2044 | 0.0747 | 1.3659 | 0.0290 |
| Before | |||||
| Su1Si1–Su1Si2 | −0.1718 | −1.6661 | −0.3743 | 0.0306 | 0.0961 |
| Su2Si1–Su2Si2 | 0.2114 | 1.0102 | −0.2019 | 0.6248 | 0.3139 |
| During | |||||
| Su1Si1–Su1Si2 | 0.0036 | 0.0349 | −0.1978 | 0.2050 | 0.9722 |
| Su2Si1–Su2Si2 | −0.0266 | −0.1161 | −0.4791 | 0.4258 | 0.9077 |
| After | |||||
| Su2Si1–Su2Si2 | −0.2171 | −0.9442 | −0.6712 | 0.2369 | 0.3465 |
| Before | |||||
| Su1Si1–Su1Si2 | 0.2395 | 3.0287 | 0.0844 | 0.3946 | 0.0025 |
| Su2Si1–Su2Si2 | 0.5595 | 3.3359 | 0.2295 | 0.8895 | 0.0010 |
| During | |||||
| Su1Si1–Su1Si2 | 0.3296 | 4.3553 | 0.1812 | 0.4780 | <0.0001 |
| Su2Si1–Su2Si2 | 0.2936 | 1.5260 | −0.0850 | 0.6722 | 0.1280 |
| After | |||||
| Su2Si1–Su2Si2 | 0.2412 | 1.1987 | −0.1547 | 0.6370 | 0.2316 |
Su1: Survey 1/Su2: Survey 2/Si1: Size 1/Si2: Size 2. The results in this table are presented in the same order in which they appear in Figure 3. The red panel corresponds to women, the blue one to men and the purple to gender differences.
Table A3.
Hypothesis tests of means corresponding to Figure 4. Data panels in the same order than in the figure.
Table A3.
Hypothesis tests of means corresponding to Figure 4. Data panels in the same order than in the figure.
| Figure 4 Upper Between Surveys | Diff. | t | Interval | Adjusted | |
| Lower | Upper | p-Value | |||
| Before | |||||
| Si1W–Si1W | −0.6131 | −2.6250 | −1.0745 | −0.1515 | 0.0096 |
| Si2W–Si2W | −0.1725 | −1.4410 | −0.4077 | 0.0627 | 0.1502 |
| During | |||||
| Si1W–Si1W | −0.3596 | −1.2924 | −0.9104 | 0.1912 | 0.1986 |
| Si2W–Si2W | −0.2386 | −1.8155 | −0.4968 | 0.0196 | 0.0701 |
| Before | |||||
| Si1M–Si1M | −0.3830 | −1.7823 | −0.8071 | 0.0411 | 0.0764 |
| Si2M–Si2M | 0.0003 | 0.0031 | −0.1782 | 0.1788 | 0.9976 |
| During | |||||
| Si1M–Si1M | −0.0902 | −0.3937 | −0.5430 | 0.3624 | 0.6943 |
| Si2M–Si2M | −0.1205 | −1.1777 | −0.3212 | 0.0803 | 0.2393 |
| Figure 4 Lower Between Genders | Diff. | t | Interval | Adjusted | |
| Lower | Upper | p-value | |||
| Before | |||||
| Su1Si1 | 1.4576 | 10.764 | 1.192003 | 1.723347 | <0.0001 |
| Su1Si2 | 0.8522 | 13.393 | 0.7274779 | 0.9769836 | <0.0001 |
| During | |||||
| Su1Si1 | 1.5308 | 11.887 | 1.278141 | 1.783462 | <0.0001 |
| Su1Si2 | 1.0973 | 17.386 | 0.9735825 | 1.2210598 | <0.0001 |
| Before | |||||
| Su2Si1 | 1.6877 | 5.8803 | 1.1219 | 2.2535 | <0.0001 |
| Su2Si2 | 1.0250 | 7.5256 | 0.7576 | 1.2924 | <0.0001 |
| During | |||||
| Su2Si1 | 1.8002 | 5.3451 | 1.1360 | 2.4643 | <0.0001 |
| Su2Si2 | 1.2155 | 7.8873 | 0.9129 | 1.5180 | <0.0001 |
| After | |||||
| Su2Si1 | 1.5803 | 4.3698 | 0.8669 | 2.2937 | <0.0001 |
| Su2Si2 | 0.6431 | 3.7888 | 0.3098 | 0.9763 | 0.0002 |
Su1: Survey 1/Su2: Survey 2/Si1: Size 1/Si2: Size 2/W: Women/M: Men. The results in the table are presented in the same order in which they appear in Figure 4. The red panel corresponds to women, the blue to men, the panel with the thickest line to Survey 1 and with the thinnest line to Survey 2.
References
- Adams-Prassl, Abigail, Teodora Boneva, Marta Golin, and Christopher Rauh. 2020. Inequality in the impact of the coronavirus shock: Evidence from real time surveys. IZA Discussion Papers 189: 104245. [Google Scholar]
- Adda, Jérôme, Christian Dustmann, and Katrien Stevens. 2017. The Career Costs of Children. Journal of Political Economy 12: 293–337. [Google Scholar] [CrossRef]
- Allemendinger, Jutta. 2020. Zurück in alte Rollen. Corona bedroht die Geschlechtergerechtigkeit. WZB Mitteilungen 168: 45–7. [Google Scholar]
- Alon, Titan, Matthias Doepke, Jane Olmstead-Rumsey, and Michèle Tertilt. 2020. The impact of the coronavirus pandemic on gender equality. NEBER Working Paper 4: 62–85. [Google Scholar]
- Altintas, Evrim, and Oriel Sullivan. 2016. Fifty years of change updated: Cross-national gender convergence in housework. Demographic Research 35: 455–70. [Google Scholar] [CrossRef] [Green Version]
- Altintas, Evrim, and Oriel Sullivan. 2017. Trends in fathers’ contribution to housework and childcare under different welfare policy regimes. Social Politics: International. Studies in Gender, State & Society 24: 81–108. [Google Scholar] [CrossRef]
- Andrew, Alison, Sarah Cattan, and Monica Costa Dias. 2020. How are mothers and fathers balancing work and family under lockdown. The Institute for Fiscal Studies, IFS Briefing Note BN290. [Google Scholar]
- Baylina, Mirea. 2019. Feminist Interventions: Southern Europe/Mediterranean. In The Wiley Blackwell Encyclopedia of Urban and Regional Studies. Edited by Anthony M.Orum. New Jersey: John Wiley & Sons. [Google Scholar] [CrossRef]
- Baylina, Mireia, and Maria Rodó-de-Zárate. 2019. Mapping Feminist Geographies in Spain. Gender, Place & Culture 26: 1253–60. [Google Scholar] [CrossRef]
- Baylina, Mireia. 2020. Dones i tornada al camp: Protagonistes de les noves dinàmiques rurals a Catalunya. Treballs de la Societat Catalana de Geografia 90: 101–14. [Google Scholar] [CrossRef]
- Beck-Gernsheim, Elisabeth. 2006. Declining Birth Rates, and Gender Relations. Arxius de Ciències Socials 15: 41–52. [Google Scholar]
- Bianchi, Suzanne M. 2000. Maternal employment and time with children: Dramatic change or surprising continuity? Demography 37: 401–14. [Google Scholar] [CrossRef]
- Bianchi, Suzanne M., Melissa A. Milkie, Liana C. Sayer, and John P. Robinson. 2000. Is Anyone Doing the Housework? Trends in the Gender Division of Household Labor. Social Forces 79: 191–228. [Google Scholar] [CrossRef]
- Bick, Alexander. 2015. The quantitative role of childcare for female labor force participation and fertility. Journal of the European Economic Association 14: 639–68. [Google Scholar] [CrossRef] [Green Version]
- Blaskó, Zsuzsa, Eleni Papadimitriou, and Anna Rita Manca. 2020. How Will the COVID-19 Crisis Affect Existing Gender Divides in Europe. Luxembourg: Publications Office of the European Union. [Google Scholar] [CrossRef]
- Blau, Francine D., Peter Brummund, and Albert Yung-Hsu Liu. 2012. Trends in Occupational Segregation by Gender 1970–2009: Adjusting for the Impact of Changes in the Occupational Coding System. Demography 50: 471–92. [Google Scholar] [CrossRef] [PubMed] [Green Version]
- Blundell, Richard, Monica Costa Dias, Robert Joyce, and Xiaowei Xu. 2020. COVID-19 and inequalities. Fiscal Studies 41: 291–319. [Google Scholar] [CrossRef] [PubMed]
- Bowlby, Sophie, Jo Foord, and Susan Mackenzie. 1982. Feminism and Geography. The Royal Geographical Society 14: 19–25. [Google Scholar]
- Bowlby, Sophie. 1989. Geografía feminista en Gran Bretaña: Una década de cambio. Documents d’Anàlisi Geogràfica 14: 15–29. [Google Scholar]
- Bruegel, Irene. 1973. Cities, women and social class: A comment. Antipode 5: 62–3. [Google Scholar] [CrossRef]
- Burnett, Pat. 1973. Social change, the status of women and models of city form and development. Antipode 5: 57–62. [Google Scholar] [CrossRef]
- Carlson, Daniel L., Richard Petts, and Joanna R. Pepin. 2020. Changes in Parents’ Domestic Labor During the COVID-19 Pandemi. SocArXiv, May 6. [Google Scholar] [CrossRef]
- Chung, Heejung. 2020. Return of the 1950s Housewife? How to Stop Coronavirus Lockdown Reinforcing Sexist Gender Roles. The Conversation, March 30. [Google Scholar]
- Cohn-Schwartz, Ella, and Liat Ayalon. 2021. Societal Views of Older Adults as Vulnerable and a Burden to Society during the COVID-19 Outbreak: Results from an Israeli Nationally Representative Sample. The Journals of Gerontology, Series B 76: e313–e317. [Google Scholar] [CrossRef]
- Collins, Caitlyn, Leah Ruppanner, Liana C. Landivar, and William J. Scarboroug. 2021. The Gendered Consequences of a Weak Infrastructure of Care: School Reopening Plans and Parents’ Employment during the COVID-19 Pandemic. Gender & Society 35: 180–93. [Google Scholar] [CrossRef]
- Collins, Caitlyn, Liana C. Landivar, Leah Ruppanner, and William J. Scarborough. 2020. COVID-19 and the gender gap in work hours. Gender, Work and Organization 28: 101–12. [Google Scholar] [CrossRef]
- Craig, Lyn, and Brendan Churchill. 2021. Unpaid Work and Care During COVID-19: Subjective Experiences of Same-Sex Couples and Single Mothers in Australia. Gender & Society 35: 233–43. [Google Scholar] [CrossRef]
- Da Rocha, José María, and Luisa Fuster. 2006. Why Are Fertility Rates and Female Employment Ratios Positively Correlated across O.E.C.D. Countries? International Economic Review 47: 1187–222. [Google Scholar] [CrossRef] [Green Version]
- Del Boca, Daniela, Noemi Oggero, Paola Profeta, and Ma Cristina Rossi. 2020. Women’s and men’s work, housework and childcare, before and during COVID-19. Review of Economics of the Household 18: 1001–17. [Google Scholar] [CrossRef]
- Durán, María Ángeles. 2019. La Riqueza Invisible del Cuidado. Valencia: Universitat de València. [Google Scholar]
- England, Paula. 2010. The Gender Revolution: Uneven and Stalled. Gender & Society 24: 149–66. [Google Scholar] [CrossRef] [Green Version]
- Farre, Lidia, Yarine Fawaz, Libertad Gonzalez, and Jennifer Graves. 2020. How the Covid-19 Lockdown Affected Gender Inequality in Paid and Unpaid Work in Spain. Available online: https://ssrn.com/abstract=3643198 or http://dx.doi.org/10.2139/ssrn.3643198 (accessed on 17 January 2022).
- Forsberg, Gunnel, and Susanne Stenbacka. 2017. Creating and challenging gendered spatialities: How space affects gender contracts. Geografiska Annaler: Series B, Human Geography 99: 223–37. [Google Scholar] [CrossRef]
- Foster, Liam, and Martin Heneghan. 2018. Pensions planning in the UK: A gendered challenge. Critical Social Policy 38: 345–66. [Google Scholar] [CrossRef] [Green Version]
- Fraisse, Geneviève. 2003. Los dos Gobiernos, la Familia y la Ciudad. Madrid: Cátedra. [Google Scholar]
- Fuller, Sylvia, and Yue Qian. 2021. COVID-19 and the Gender Employment Gap among Parents of Young Children. Canadian Public Policy 35: 206–17. [Google Scholar] [CrossRef]
- Fuwa, Makiko. 2004. Macro-Level Gender Inequality and the Division of Household Labor in 22 Countries. American Sociological Review 69: 751–67. [Google Scholar] [CrossRef]
- García Ballesteros, Aurora. 1982. El papel de la mujer en el desarrollo de la geografía. In Liberación y Utopía. Edited by M. Ángeles Durán. Madrid: Akal, pp. 119–41. [Google Scholar]
- García-Ramón, María Dolors. 1985. El Análisis de Género y la Geografía: Reflexiones en Torno a un Libro Reciente. Documents D’Analisi Geográfica 6: 133–43. [Google Scholar]
- García-Ramón, M. Dolors. 2005. Enfoques críticos y práctica de la geografía en España: Balance de tres décadas (1974–2004). Documents d’Anàlisi Geográfica 45: 139–48. [Google Scholar]
- Gershuny, Jonathan, and John P. Robinson. 1988. Historical changes in the household division of labor. Demography 25: 537–52. [Google Scholar] [CrossRef] [PubMed]
- Gerstel, Naomi. 2000. The Third Shift: Gender and Care Work Outside the Home. Qualitative Sociology 23: 467–83. [Google Scholar] [CrossRef]
- Gonalons-Pons, Pilar. 2015. Gender and Class Housework Inequalities in the Era of Outsourcing Hiring Domestic Work in Spain. Social Science Research 52: 208–18. [Google Scholar] [CrossRef]
- Gutiérrez, Diana, Guillermina Miñón, and Hugo Ñopo. 2020. The Coronavirus and the challenges for women’s work in Latin America. UNDP LAC C19 PDS 18: 142. [Google Scholar]
- Hennekam, Sophie, and Yuliya Shymko. 2020. Coping with the COVID-19 crisis: Force majeure and gender performativity. Gender, Work & Organization 27: 788–803. [Google Scholar] [CrossRef]
- Hersch, Joni, and Leslie S. Stratton. 1994. Housework, Wages, and the Division of Housework Time for Employed Spouses. The American Economic Review 84: 120–5. [Google Scholar]
- Hersch, Joni, and Leslie S. Stratton. 2002. Housework and Wages. The Journal of Human Resources 37: 217–29. [Google Scholar] [CrossRef]
- Hipp, Lena, and Mareike Bünning. 2021. Parenthood as a driver of increased gender inequality during COVID-19? Exploratory evidence from Germany. European Societies 23: S658–S673. [Google Scholar] [CrossRef]
- ILO. 2021. ILO Monitor: Covid-19 and the World of Work, 7th ed. Geneva: ILO. [Google Scholar]
- Inglehart, Robert, and Christian Welzel. 2006. Modernización, Cambio Cultural y Democracia. Madrid: CIS. [Google Scholar]
- Inglehart, Robert, and Pippa Norris. 2003. Rising Tide: Gender Equality and Cultural Change around the World. New York: Cambridge University Press. [Google Scholar] [CrossRef]
- Inglehart, Robert. 1988. The Renaissance of Political Culture. American Political Science Association 82: 1203–30. [Google Scholar] [CrossRef]
- Johnston, Regan M., Anwar Mohammed, and Clifton van der Linden. 2020. Evidence of Exacerbated Gender Inequality in Child Care Obligations in Canada and Australia during the COVID-19 Pandemic. Politics & Gender 16: 1131–41. [Google Scholar] [CrossRef]
- Kahn, Joan R., Javier García-Manglano, and Suzanne M. Bianchi. 2014. The motherhood penalty at midlife: Long-term effects of children on women’s careers. Journal of Marriage and Family 76: 56–72. [Google Scholar] [CrossRef] [Green Version]
- Kirchherr, Julian, and Katrina Charles. 2018. Enhancing the simple diversity of snowball samples: Recommendations from a research Project on anti-dam movements in Southeast Asia. PLoS ONE 13: e0201710. [Google Scholar] [CrossRef] [Green Version]
- Kreyenfeld, Michaela, and Sabine Zinn. 2021. Coronavirus & Care: How the Coronavirus Crisis Affected Fathers’ Involvement in Germany. Demographic Research 44: 99–124. [Google Scholar] [CrossRef]
- Landivar, Liana Christin, Leah Ruppanner, William J. Scarborough, and Caitlyn Collins. 2020. Early Signs Indicate That COVID-19 Is Exacerbating Gender Inequality in the Labor Force. Socius: Sociological Research for a Dynamic World 6: 1–3. [Google Scholar] [CrossRef]
- Larraz, Beatriz, Jose M. Pavía, and Luis E. Vila. 2019. Beyond the gender pay gap. Convergencia 81: 1–34. [Google Scholar] [CrossRef]
- Larraz, Beatriz, Rosa Roig, Cristina Aybar, and Jose M. Pavía. 2021. COVID-19 and the Gender Division of Housework, (Unpublished).
- Lewis, Jane. 1992. Gender and the Development of Welfare Regimes. Journal of European Social Policy 2: 159–73. [Google Scholar] [CrossRef]
- Lewis, Jane. 1997. Gender and Welfare Regimes: Further Thoughts. Social Politics: International Studies in Gender, State & Society 4: 160–77. [Google Scholar] [CrossRef]
- Lewis, Jane. 2001. The Decline of Male Breadwinner Model: Implications for Work and Care. Social Politics 8: 152–69. [Google Scholar] [CrossRef]
- Little, Jo, and Ruth Panelli. 2003. Gender Research and Rural Geography. Gender, Place & Culture: A Journal of Feminist Geography 10: 281–9. [Google Scholar] [CrossRef]
- Little, Jo, Linda Peake, and Pat Richardson. 1988. Introduction: Geography and gender in the urban environment. In Women in Cities. Women in Society. Edited by Linda Peake Jo Little and Pat Richarson. London: Palgrave, pp. 1–20. [Google Scholar] [CrossRef]
- Mascherini, Massmiliano, and Martina Bisello. 2020. COVID-19 Fallout Takes Higher Toll on Women, Economically and Domestically. Dublin: Eurofound. [Google Scholar]
- McBrier, Debra Branch. 2003. Gender and Career Dynamics within a Segmented Professional Labor Market: The Case of Law Academia. Social Forces 81: 1201–66. [Google Scholar] [CrossRef]
- McLaren, Helen J., Karen R. Wong, Kieu Nga Nguyen, and Komalee N.D. Mahamadachchi. 2020. Covid-19 and Women’s Triple Burden: Vignettes from Sri Lanka, Malaysia, Vietnam and Australia. Social Sciences 9: 87. [Google Scholar] [CrossRef]
- Meraviglia, Cinzia, and Aurore Dudka. 2021. The gendered division of unpaid labor during the Covid-19 crisis: Did anything change? Evidence from Italy. International Journal of Sociology 51: 64–75. [Google Scholar] [CrossRef]
- Monk, Janice, and M. Dolors García-Ramón. 1987. Geografía feminista: Una perspectiva internacional. Documents d’Anàlisi Geográfica 10: 147–57. [Google Scholar]
- Monk, Janice, and Susan Hanson. 1982. On not Excluding half of the Human in Human Geography. The Professional Geographer 34: 1, 11–23. [Google Scholar] [CrossRef]
- Múñoz-Boudet, Ana M., Patti Petesch, Carolyn Turk, and Angélica Thumala. 2013. On Norms and Agency: Conversations about Gender Equality with Women and Men in 20 Countries. Washington, DC: World Bank Publications, p. 13818. [Google Scholar]
- Oláh, Livia S., Irena Kotowska, and Rudolf Richter. 2018. The New Roles of Men and Women and Implications for Families and Societies. In A Demographic Perspective on Gender, Family and Health in Europe. Edited by Gabriele Doblhammer and Jordi Gumà. Cham: Springer, pp. 41–63. [Google Scholar] [CrossRef] [Green Version]
- Parsons, Talcott. 2002. The American Family: Its Relations to Personality and to the Social Structure. In Family: Socialization and Interaction Process. Edited by Talcott Parsons and Robert Freed Bales. London: Routledge, pp. 3–33. [Google Scholar]
- Pavía, Jose M., Itziar Gil-Carceller, Alfredo Rubio-Mataix, Vicent Coll, José A. Alvarez-Jareño, Cristina Aybar, and Salvador Carrasco-Arroyo. 2019. The formation of aggregate expectations: Wisdom of the crowds or media influence? Contemporary Social Science 14: 132–43. [Google Scholar] [CrossRef]
- Pérez, Virgilio, Cristina Aybar, and Jose M. Pavía. 2021. COVID-19 and Changes in Social Habits. Restaurant Terraces, a Booming Space in Cities. The Case of Madrid. Mathematics 9: 2133. [Google Scholar] [CrossRef]
- Pérez, Virgilio, Cristina Aybar, and Jose M. Pavía. 2022a. Dataset of the COVID-19 Lockdown Survey Conducted by GIPEyOP in Spain. Data in Brief 40: 107700. [Google Scholar] [CrossRef] [PubMed]
- Pérez, Virgilio, Cristina Aybar, and Jose M. Pavía. 2022b. Dataset of the COVID-19 Post-Lockdown Survey Conducted by GIPEyOP in Spain. Data in Brief 40: 107763. [Google Scholar] [CrossRef]
- Petts, Richard J., Daniel L. Carlson, and Joanna R. Pepin. 2021. A gendered pandemic: Childcare, homeschooling, and parents’ employment during COVID-19. Gender, Work & Organization 28: 551–34. [Google Scholar] [CrossRef]
- Phillips, Martin, Darren Smith, Hanna Brooking, and Mara Duer. 2020. Idyllic Ruralities, Displacement and Changing Forms of Gentrification in Rural Hertfordshire, England. Documents d’Anàlisi Geogràfica 66: 259–87. [Google Scholar] [CrossRef]
- Power, Kate. 2020. The COVID-19 pandemic has increased the care burden of women and families. Sustainability: Science, Practice and Policy 16: 67–73. [Google Scholar] [CrossRef]
- Pujol, Herminia, and M. Dolors García Ramón. 2004. Female representation in academic geography in Spain: Towards a masculinization of the discipline? Journal of Geography and Higher Education 28: 135–52. [Google Scholar] [CrossRef]
- Reichelt, Malte, Kinga Makovi, and Anahit Sargsyan. 2021. The impact of COVID-19 on gender inequality in the labor market and gender-role attitudes. European Societies 23: S228–S45. [Google Scholar] [CrossRef]
- Reskin, Barbara. 1993. Sex Segregation in the Workplace. Annual Review of Sociology 19: 241–70. [Google Scholar] [CrossRef]
- Roig, Rosa. 2019. El déficit de cuidado. In Retos para el Estado Constitucional del Siglo XXI: Derechos, Ética y Políticas del Cuidado. Edited by Ana Marrades. Valencia: Tirant, pp. 161–78. [Google Scholar]
- Rosenfeld, Rachel A., and Gunn Elisabeth Birkelund. 1995. Women’s Part-Time Work: A Cross-National Comparison. European Sociological Review 11: 111–34. [Google Scholar] [CrossRef]
- Rousseau, Jean Jacques. 1913. Emilio. Barcelona: Casa Editorial Maucci. [Google Scholar]
- Sabaté, Ana, and Antoni Tulla. 1992. Geografía y Género en España: Una aproximación a la Situación Actual. In La Geografía en España (1970–1990). Edited by Joaquín Bosque Maurel. Madrid: Fundación BBVA, pp. 277–88. [Google Scholar]
- Sevilla, Almudena, and Sarah Smith. 2020. Baby Steps: The Gender Division of Childcare during the COVID-19 Pandemic. Oxford Review of Economic Policy 36: S169–S86. [Google Scholar] [CrossRef]
- Shannon, N. Davis, and Theodore N. Greenstein. 2004. Interactive Effects of Gender Ideology and Age at First Marriage on Women’s Marital Disruption. Journal of Family Issues 25: 658–82. [Google Scholar]
- Shelton, Beth Anne, and Daphne John. 1996. The Division of Household Labor. Annual Review of Sociology 22: 299–322. [Google Scholar] [CrossRef]
- Simó-Noguera, Carles, Andrea Hernández-Monleón, Juan Carbonell-Asins, and Salvador Méndez-Martínez. 2016. La brecha salarial. Propuesta de medida y análisis de la discriminación indirecta con la encuesta de estructura social. In Brecha Salarial y Brecha de Cuidados. Edited by Capitolina Díaz and Carles Simó. Valencia: Tirant, pp. 39–62. [Google Scholar]
- Skopek, Jan, and Thomas Leopold. 2019. Explaining Gender Convergence in Housework Time: Evidence from a Cohort-Sequence Design. Social Forces 98: 578–621. [Google Scholar] [CrossRef]
- Stier, Haya, and Noah Lewin-Epstein. 2000. Women’s Part-Time Employment and Gender Inequality in the Family. Journal of Family Issues 21: 390–410. [Google Scholar] [CrossRef] [Green Version]
- Tabachnick, Barbara G., and Linda S. Fidell. 2007. Experimental Designs Using ANOVA. Belmont: Thomson. [Google Scholar]
- Torns, Teresa, and Carolina Recio. 2012. Desigualdades de género en el mercado de trabajo: Entre la continuidad y la transformación. Revista de Economía Crítica 14: 178–202. [Google Scholar]
- Tzannatos, Zafiris. 1999. Women and Labor Market Changes in the Global Economy: Growth Helps, Inequalities Hurt and Public Policy Matters. World Development 27: 551–9. [Google Scholar] [CrossRef] [Green Version]
- Van Breeschoten, Leonie, and Marie Evertsson. 2019. When does part-time work relate to less work-life conflict for parents? Moderating influences of workplace support and gender in the Netherlands, Sweden and the United Kingdom. Community, Work and Family 22: 606–28. [Google Scholar] [CrossRef] [Green Version]
Publisher’s Note: MDPI stays neutral with regard to jurisdictional claims in published maps and institutional affiliations. |
© 2022 by the authors. Licensee MDPI, Basel, Switzerland. This article is an open access article distributed under the terms and conditions of the Creative Commons Attribution (CC BY) license (https://creativecommons.org/licenses/by/4.0/).




