Discrete Element Modeling of the Seismic Behavior of Masonry Construction
Abstract
:1. Introduction
2. Essential Concepts in Discrete Element Modeling
2.1. Block Representation
2.2. Contact between Blocks
2.3. Solution Methods and Computational Efficiency
2.4. Material Properties
3. Representation of the Block Structure
3.1. Modeling the Masonry Morphology
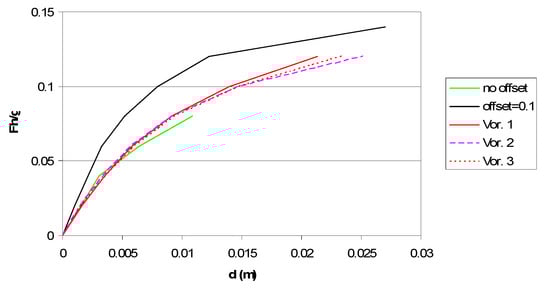
3.2. Regular and Voronoi Block Patterns
3.3. Irregular Coursed Block Patterns
4. DEM Analysis of a Shaking Table Test of a Stone Masonry Model
4.1. Experimental study
4.2. DE Representation of the Stone Masonry Test Model
4.3. Material Properties
4.4. Pushover and Dynamic Analyses
5. Discussion
6. Concluding Remarks
Conflicts of Interest
References
- Lourenço, P.B. Computations of historical masonry constructions. Prog. Struct. Eng. Mater. 2002, 4, 301–319. [Google Scholar] [CrossRef]
- Lemos, J.V. Discrete element modeling of masonry structures. Int. J. Archit. Herit. 2007, 1, 190–213. [Google Scholar] [CrossRef]
- Psycharis, I.N.; Lemos, J.V.; Papastamatiou, D.Y.; Zambas, C.; Papantonopoulos, C. Numerical study of the seismic behaviour of a part of the Parthenon Pronaos. Earthq. Eng. Struct. Dyn. 2003, 32, 2063–2084. [Google Scholar] [CrossRef]
- Mendes, N.; Zanotti, S.; Lemos, J.V. Seismic performance of historical buildings based on discrete element method: An adobe church. J. Earthq. Eng. 2018. [Google Scholar] [CrossRef]
- Cakti, E.; Saygili, O.; Lemos, J.V.; Oliveira, C.S. Discrete element modeling of a scaled masonry structure and its validation. Eng. Struct. 2016, 126, 224–236. [Google Scholar] [CrossRef]
- Godio, M.; Beyer, K. Evaluation of force-based and displacement-based out-of-plane seismic assessment methods for unreinforced masonry walls through refined model simulations. Earthq. Eng. Struct. Dyn. 2018, 1–22. [Google Scholar] [CrossRef]
- Galvez, F.; Sorrentino, L.; Ingham, J.; Dizhur, D. One way bending capacity prediction of unreinforced masonry walls with varying cross section configurations. In Proceedings of the 10th International Masonry Conference, Milan, Italy, July 2018; Milani, G., Taliercio, A., Garrity, S., Eds.; The International Masonry Society: Whyteleafe, UK; pp. 641–653. [Google Scholar]
- Malomo, D.; DeJong, M.J.; Penna, A. Distinct element modelling of the in-plane failure mechanisms of URM walls. In Proceedings of the 10th International Masonry Conference, Milan, Italy, July 2018; Milani, G., Taliercio, A., Garrity, S., Eds.; The International Masonry Society: Whyteleafe, UK; pp. 581–594. [Google Scholar]
- Casolo, S.; Uva, G. Nonlinear analysis of out-of-plane masonry façades: full dynamic versus pushover methods by rigid body and spring model. Earthq. Eng. Struct. Dyn. 2018, 42, 499–521. [Google Scholar] [CrossRef]
- Malomo, D.; Pinho, R.; Penna, A. Using the applied element method for modelling calcium silicate brick masonry subjected to in-plane cyclic loading. Earthq. Eng. Struct. Dyn. 2018, 47, 1610–1630. [Google Scholar] [CrossRef]
- Garofano, A.; Lestuzzi, P. Seismic Assessment of a Historical Masonry Building in Switzerland: The “Ancien Hôpital De Sion”. Int. J. Archit. Herit. 2016, 10, 975–992. [Google Scholar] [CrossRef]
- Estêvão, J.M.C.; Oliveira, C.S. A new analysis method for structural failure evaluation. Eng. Fail. Anal. 2015, 56, 573–584. [Google Scholar] [CrossRef]
- Milani, G.; Lourenço, P.B. 3D non-linear behavior of masonry arch bridges. Comput. Struct. 2012, 110–111, 133–150. [Google Scholar] [CrossRef]
- Chiozzi, A.; Milani, G.; Grillanda, N.; Tralli, A. A fast and general upper-bound limit analysis approach for out-of-plane loaded masonry walls. Meccanica 2018, 53, 1875–1898. [Google Scholar] [CrossRef]
- Itasca. 3DEC—Three-dimensional Distinct Element Code; Version 5.20; Itasca Consulting Group: Minneapolis, MN, USA, 2017. [Google Scholar]
- Sarhosis, V.; Sheng, Y. Identification of material parameters for low bond strength masonry. Eng. Struct. 2014, 60, 100–110. [Google Scholar] [CrossRef]
- Lemos, J.V.; Oliveira, C.S.; Navarro, M. 3D nonlinear behavior of an obelisk subjected to the Lorca May 11, 2011 strong motion record. Eng. Fail. Anal. 2015, 58, 212–228. [Google Scholar] [CrossRef]
- Mordanova, A.; De Felice, G. Seismic assessment of archaeological heritage using discrete element method. Int. J. Archit. Herit. 2018. [Google Scholar] [CrossRef]
- De Felice, G. Out-of-plane seismic capacity of masonry depending on wall section morphology. Int. J. Archit. Herit. 2011, 5, 466–482. [Google Scholar] [CrossRef]
- Lemos, J.V.; Costa, A.C.; Bretas, E.M. Assessment of the seismic capacity of stone masonry walls with block models. In Computational Methods in Earthquake Engineering; Papadrakakis, M., Fragiadakis, M., Lagaros, N.D., Eds.; Springer: Dordrecht, Netherlands, 2011; pp. 221–235. [Google Scholar]
- Candeias, P.X.; Costa, A.C.; Mendes, N.; Costa, A.A.; Lourenço, P.B. Experimental assessment of the -of-plane performance of masonry buildings through shaking table tests. Int. J. Archit. Herit. 2017, 11, 31–58. [Google Scholar] [CrossRef]
- Mendes, N.; Costa, A.A.; Lourenço, P.B.; Bento, R.; Beyer, K.; Felice, G.; Gams, M.; Griffith, M.; Ingham, J.; Lagomarsino, S.; et al. Methods and approaches for blind test predictions of out-of-plane behavior of masonry walls: A numerical comparative study. Int. J. Archit. Herit. 2017, 11, 59–71. [Google Scholar]
- Lemos, J.V.; Campos Costa, A. Simulation of shake table tests on out-of-plane masonry buildings. Part (V): Discrete element approach. Int. J. Archit. Herit. 2017, 11, 117–124. [Google Scholar] [CrossRef]
- AlShawa, O.; Sorrentino, L.; Liberatore, D. Simulation of shake table tests on out-of-plane masonry buildings. Part (II): Combined finite-discrete elements. Int. J. Archit. Herit. 2017, 11, 79–83. [Google Scholar] [CrossRef]
- Cannizzaro, F.; Lourenço, P.B. Simulation of shake table tests on out-of-plane masonry buildings. Part (VI): Discrete element approach. Int. J. Archit. Herit. 2017, 11, 125–142. [Google Scholar] [CrossRef]
- Peña, F.; Prieto, F.; Lourenço, P.B.; Campos Costa, A.; Lemos, J.V. On the dynamics of rocking motion of single rigid-block structures. Earthq. Eng. Struct. Dyn. 2017, 36, 2383–2399. [Google Scholar] [CrossRef]
- Papantonopoulos, C.; Psycharis, I.N.; Papastamatiou, D.Y.; Lemos, J.V.; Mouzakis, H. Numerical prediction of the earthquake response of classical columns using the distinct element method. Earthq. Eng Struct. Dyn. 2002, 31, 1699–1717. [Google Scholar] [CrossRef]









© 2019 by the author. Licensee MDPI, Basel, Switzerland. This article is an open access article distributed under the terms and conditions of the Creative Commons Attribution (CC BY) license (http://creativecommons.org/licenses/by/4.0/).
Share and Cite
Lemos, J.V. Discrete Element Modeling of the Seismic Behavior of Masonry Construction. Buildings 2019, 9, 43. https://doi.org/10.3390/buildings9020043
Lemos JV. Discrete Element Modeling of the Seismic Behavior of Masonry Construction. Buildings. 2019; 9(2):43. https://doi.org/10.3390/buildings9020043
Chicago/Turabian StyleLemos, José V. 2019. "Discrete Element Modeling of the Seismic Behavior of Masonry Construction" Buildings 9, no. 2: 43. https://doi.org/10.3390/buildings9020043
APA StyleLemos, J. V. (2019). Discrete Element Modeling of the Seismic Behavior of Masonry Construction. Buildings, 9(2), 43. https://doi.org/10.3390/buildings9020043

