An Optimal Seismic Force Pattern for Uniform Drift Distribution
Abstract
1. Introduction
2. Shear-Building Model
3. Lateral Load Patterns for Seismic Action
3.1. Background
3.2. Code Compliant Lateral Load Pattern
3.2.1. Eurocode 8—EC8
3.2.2. Uniform Building Code—UBC
3.2.3. International Building Code—IBC
3.3. Other Lateral Load Pattern
Goel et al., 2010—Goel
3.4. Proposed Load Pattern— &
4. Results and Discussion
4.1. Adopted Design Procedures
| Algorithm 1: Pseudocode for Goel design-procedure. |
![]() |
| Algorithm 2: Pseudocode for and design-procedures. |
![]() |
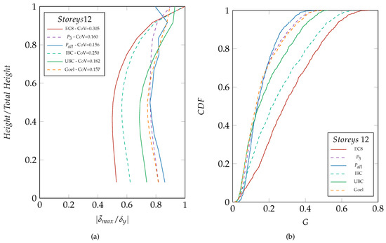
4.2. Effect of Earthquake Excitation and Comparison
5. Optimum Load Pattern for Seismic Action
5.1. Genetic Algorithms (GA)
| Algorithm 3: Pseudocode for GA. |
![]() |
5.2. Results
6. Conclusions
Author Contributions
Funding
Conflicts of Interest
References
- Chao, S.-H.; Goel, S.C.; Lee, S.-S. A Seismic Design Lateral Force Distribution Based on Inelastic State of Structures. Earthq. Spectra 2007, 23, 547–569. [Google Scholar] [CrossRef]
- Applied Technology Council. Tentative Provisions for the Development of Seismic Regulations for Buildings; Report ATC 3-06, NBS Special Publication 510, NSF Publication 78-08; National Science Foundation: Washington, DC, USA, 1978.
- Chopra, A.K. Dynamics of Structures—Theory and Applications to Earthquake Engineering, 4th ed.; Prentice Hall: Englewood Cliffs, NJ, USA, 2012. [Google Scholar]
- Clough, R.W.; Penzien, J. Dynamics of Structures, 2nd ed.; McGraw-Hill, Inc.: New York, NY, USA, 1993. [Google Scholar]
- Eurocode 8. EN 1998-1: Design of Structures for Earthquake Resistance—Part 1: General Rules, Seismic Actions and Rules for Buildings; British Standards Institution: London, UK, 2004. [Google Scholar]
- Ganjavi, B.; Hajirasouliha, I.; Bolourchi, A. Optimum Lateral Load Distribution for Seismic Design of Nonlinear Shear-Buildings Considering Soil-Structure Interaction. Soil Dyn. Earthq. Eng. 2016, 88, 356–368. [Google Scholar] [CrossRef]
- Jallad, J.; Mekhilef, S.; Mokhlis, H.; Laghari, J.; Badran, O. Application of Hybrid Meta-Heuristic Techniques for Optimal Load Shedding Planning and Operation in an Islanded Distribution Network Integrated with Distributed Generation. Energies 2018, 11, 1134. [Google Scholar] [CrossRef]
- Palacios-Quiñonero, F.; Rubió-Massegú, J.; Rossell, J.M.; Rodellar, J. Design of Distributed Multi-Actuator Systems with Incomplete State Information for Vibration Control of Large Structures. Designs 2018, 2, 6. [Google Scholar] [CrossRef]
- Hajirasouliha, I.; Moghaddam, H. New Lateral Force Distribution for Seismic Design of Structures. J. Struct. Eng. 2009, 135, 906–915. [Google Scholar] [CrossRef]
- Faggiano, B.; Formisano, A.; Castaldo, C.; Fiorino, L.; Macillo, V.; Mazzolani, F.M. Appraisal of Seismic Design Criteria for Concentric Bracing Steel Structures According to Italian and European Codes. Ing. Sismica 2016, 13, 42–50. [Google Scholar]
- Costanzo, S.; D’Aniello, M.; Landolfo, R. Critical Review of Seismic Design Criteria for Chevron Concentrically Braced Frames: The Role of the Brace-Intercepted Beam. Ing. Sismica 2016, 13, 72–89. [Google Scholar]
- Fiorino, L.; Shakeel, S.; Macillo, V.; Landolfo, R. Seismic Response of CFS Shear Walls Sheathed with Nailed Gypsum Panels: Numerical Modelling. Thin-Walled Struct. Elsevier Sci. 2018, 122, 359–370. [Google Scholar] [CrossRef]
- Fiorino, L.; Macillo, V.; Landolfo, R. Shake Table Tests of a Full-Scale Two-story Sheathing-Braced Cold-formed Steel Building. Eng. Struct. Elsevier Sci. 2017, 151, 633–647. [Google Scholar] [CrossRef]
- Campiche, A.; Shakeel, S.; Macillo, V.; Terracciano, M.T.; Bucciero, B.; Pali, T.; Fiorino, L.; Landolfo, R. Seismic Behaviour of Sheathed CFS Buildings: Shake Table Tests and Numerical Modelling. Ing. Sismica 2018, 35, 106–123. [Google Scholar]
- Dell’Aglio, G.; Montuori, R.; Nastri, E.; Piluso, V. Consideration of Second-order Effects on Plastic Design of Steel Moment Resisting Frames. Bull. Earthq. Eng. 2019, 35, 3041–3070. [Google Scholar] [CrossRef]
- Dell’Aglio, G.; Montuori, R.; Nastri, E.; Piluso, V. A Critical Review of Plastic Design Approaches for Failure Mode Control of Steel Moment Resisting Frames. Ing. Sismica 2017, 34, 82–102. [Google Scholar]
- Moghaddam, H.; Hosseini, G.; Seyed, M.; Hajirasouliha, I. More efficient lateral load patterns for seismic design of steel moment-resisting frames. Proc. Inst. Civ. Eng. Struct. Build. 2018, 171, 487–502. [Google Scholar] [CrossRef]
- Ruiz-Garcia, J. On the Influence of Strong-Ground Motion Duration on Residual Displacement Demands. Earthq. Struct. 2010, 1, 327–344. [Google Scholar] [CrossRef]
- ICBO. Uniform Building Code; International Conference of Building Officials: Whittier, CA, USA, 1997. [Google Scholar]
- ASCE. Minimum Design Loads for Buildings and Other Structures; ASCE/SEI Standard 7-10; American Society of Civil Engineers: Reston, VA, USA, 2010. [Google Scholar]
- Seismology Committee of Structural Engineers Association of California (SEAOC). Recommended Lateral Force Requirements and Commentary, 7th ed.; SEAOC: Sacramento, CA, USA, 1999. [Google Scholar]
- Piluso, V.; Montuori, R.; Nastri, E.; Paciello, A. Seismic Response of MRF-CBF Dual Systems Equipped with Low Damage Friction Connections. J. Constr. Steel Res. 2019, 154, 263–277. [Google Scholar] [CrossRef]
- Piluso, V.; Pisapia, A.; Castaldo, P.; Nastri, E. Probabilistic Theory of Plastic Mechanism Control for Steel Moment Resisting Frames. Struct. Saf. 2019, 76, 95–107. [Google Scholar] [CrossRef]
- Montuori, R.; Nastri, E.; Piluso, V. Influence of the Bracing Scheme on Seismic Performances of MRF-EBF Dual Systems. J. Constr. Steel Res. 2017, 132, 179–190. [Google Scholar] [CrossRef]
- Longo, A.; Montuori, R.; Piluso, V. Moment Frames—Concentrically Braced Frames Dual Systems: Analysis of Different Design Criteria. Struct. Infrastruct. Eng. 2016, 12, 122–141. [Google Scholar] [CrossRef]
- Hajirasouliha, I.; Pilakoutas, K. General Seismic Load Distribution for Optimum Performance-Based Design of Shear-Buildings. J. Earthq. Eng. 2012, 16, 443–462. [Google Scholar] [CrossRef]
- Diaz, O.; Mendoza, E.; Esteva, L. Seismic Ductility Demands Predicted by Alternate Models of Building Frames. Earthq. Spectra 1994, 10, 465–487. [Google Scholar] [CrossRef]
- Qin, S.; Zhang, Y.; Zhou, Y.-L.; Kang, J. Dynamic Model Updating for Bridge Structures Using the Kriging Model and PSO Algorithm Ensemble with Higher Vibration Modes. Sensors 2018, 18, 1879. [Google Scholar] [CrossRef] [PubMed]
- McKenna, F.; Scott, M.H.; Fenves, G.L. Nonlinear Finite-Element Analysis Software Architecture Using Object Composition. J. Comput. Civ. Eng. 2010, 24, 95–107. [Google Scholar] [CrossRef]
- COSMOS. Strong-Motion Virtual Data Center. Available online: https://www.strongmotion.org/ (accessed on 16 March 2019).
- Rade, A.D. Structural Dynamics And Modal Analysis. Fed. Univ. Uberlandia Sch. Mech. Eng. 2012, 16, 443–462. [Google Scholar]
- Fardis, M.N. Analysis of Building Structures for Seismic Actions. In Seismic Design of Concrete Buildings to Eurocode 8; CRC Press: London, UK, 2015; p. 420. [Google Scholar]
- Di Julio, R.M. Linear Static Seismic Lateral Force Procedures. In The Seismic Design Handbook; Naeim, F., Ed.; Springer: New York, NY, USA, 2001; pp. 247–273. [Google Scholar]
- ICBO. UBC-IBC Structural (1997–2000): Comparison & Cross Reference; International Conference of Building Officials: Whittier, CA, USA, 2000; Volume 1, p. VI-233. [Google Scholar]
- Lee, S.S.; Goel, S.C.; Shih-Ho, C. Performance-Based Design of Steel Moment Frames Using Target Drift and Yield Mechanism; Report No. UMCEE 01-17; University of Michigan: Ann Arbor, MI, USA, 2001. [Google Scholar]
- Goel, S.C.; Liao, W.; Reza, B.M.; Shih-Ho, C. Performance-based Plastic Design (PBPD) Method for Earthquake-Resistant Structures: An Overview. Struct. Des. Tall Spec. Build. 2009, 19, 115–137. [Google Scholar] [CrossRef]
- Tagliafierro, B.; Nastri, E. Seismic design lateral force distributions based on elastic analysis of structures. AIP Conf. Proc. 2019, 2116, 260022. [Google Scholar]
- Crowley, H.; Pinho, R. Revisiting Eurocode 8 formulae for periods of vibration and their employment in linear seismic analysis. Earthq. Eng. Struct. Dyn. 2010, 39, 223–235. [Google Scholar] [CrossRef]
- The MathWorks, Inc. MATLAB Release 2019a; The MathWorks, Inc.: Natick, MA, USA, 2019. [Google Scholar]
- Storn, R.; Price, K. Differential Evolution—A Simple and Efficient Heuristic for global Optimization over Continuous Spaces. J. Glob. Optim. 1997, 11, 341–359. [Google Scholar] [CrossRef]
- Sivakumar, P.; Rajaraman, A.; Knight, G.; Ramachandramurthy, S.D. Object-Oriented Optimization Approach Using Genetic Algorithms for Lattice Towers. J. Comput. Civ. Eng. 2004, 18, 162–171. [Google Scholar] [CrossRef]
- Fan, G.-F.; Peng, L.-L.; Zhao, X.; Hong, W.-C. Applications of Hybrid EMD with PSO and GA for an SVR-Based Load Forecasting Model. Energies 2017, 10, 1713. [Google Scholar] [CrossRef]
- Dreidy, M.; Mokhlis, H.; Mekhilef, S. Application of Meta-Heuristic Techniques for Optimal Load Shedding in Islanded Distribution Network with High Penetration of Solar PV Generation. Energies 2017, 10, 150. [Google Scholar] [CrossRef]
- Spillers, W.R. Sequential Linear Programming and the Incremental Equations of Structures. In Structural Optimization; Springer: New York, NY, USA, 2009; pp. 49–76. [Google Scholar]
- Holland, J.H. Adaptation in Natural and Artificial Systems: An Introductory Analysis with Applications to Biology, Control, and Artificial Intelligence; U Michigan Press: Oxford, UK, 1975; p. 183. [Google Scholar]
- Goldberg, D.E. Genetic Algorithms in Search, Optimization and Machine Learning; Addison-Wesley Longman Publishing Co.: Boston, MA, USA, 1989; p. 432. [Google Scholar]
- Rice, O.; Nyman, R. Efficiently Vectorized Code for Population Based Optimization Algorithms. RN 2013, 13, 21. [Google Scholar]








| S | ||||||
|---|---|---|---|---|---|---|
| B |
© 2019 by the authors. Licensee MDPI, Basel, Switzerland. This article is an open access article distributed under the terms and conditions of the Creative Commons Attribution (CC BY) license (http://creativecommons.org/licenses/by/4.0/).
Share and Cite
Montuori, R.; Nastri, E.; Tagliafierro, B. An Optimal Seismic Force Pattern for Uniform Drift Distribution. Buildings 2019, 9, 231. https://doi.org/10.3390/buildings9110231
Montuori R, Nastri E, Tagliafierro B. An Optimal Seismic Force Pattern for Uniform Drift Distribution. Buildings. 2019; 9(11):231. https://doi.org/10.3390/buildings9110231
Chicago/Turabian StyleMontuori, Rosario, Elide Nastri, and Bonaventura Tagliafierro. 2019. "An Optimal Seismic Force Pattern for Uniform Drift Distribution" Buildings 9, no. 11: 231. https://doi.org/10.3390/buildings9110231
APA StyleMontuori, R., Nastri, E., & Tagliafierro, B. (2019). An Optimal Seismic Force Pattern for Uniform Drift Distribution. Buildings, 9(11), 231. https://doi.org/10.3390/buildings9110231



