Thermochromic Oxide-Based Thin Films and Nanoparticle Composites for Energy-Efficient Glazings
Abstract
:1. Introduction
2. Basic Properties of Vanadium Dioxide Thin Films and Nanoparticles
3. On the Preparation of Vanadium Dioxide (VO2) Thin Films and Nanoparticles
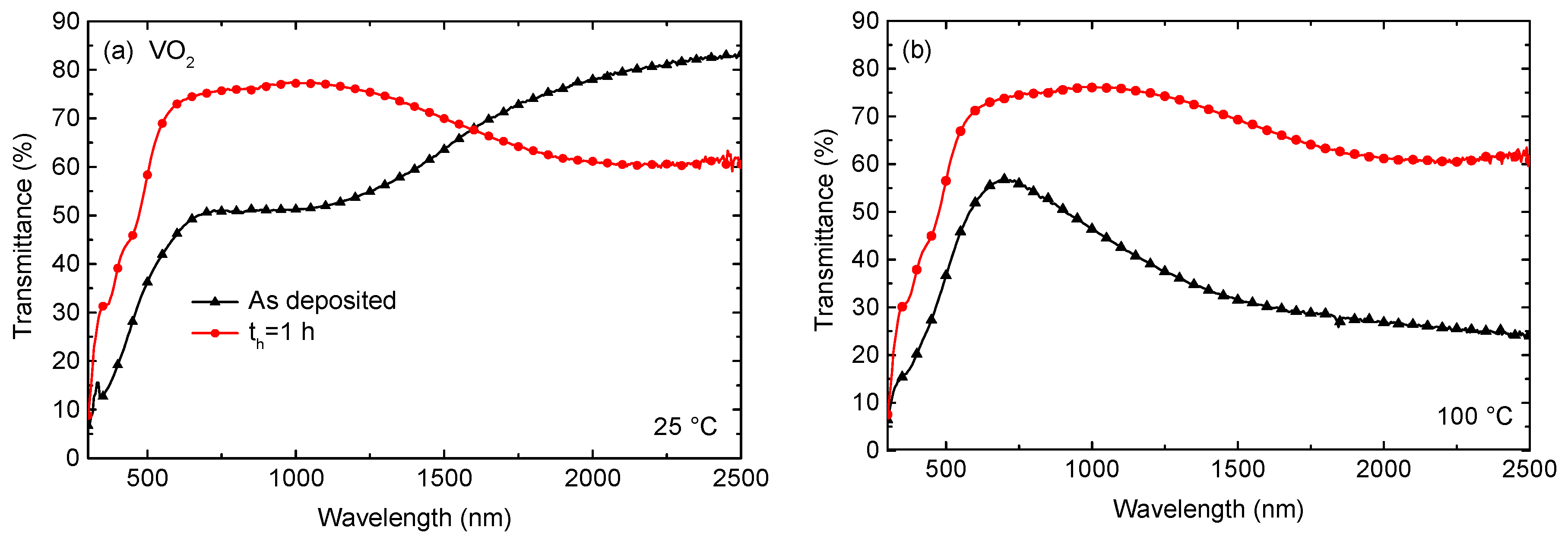
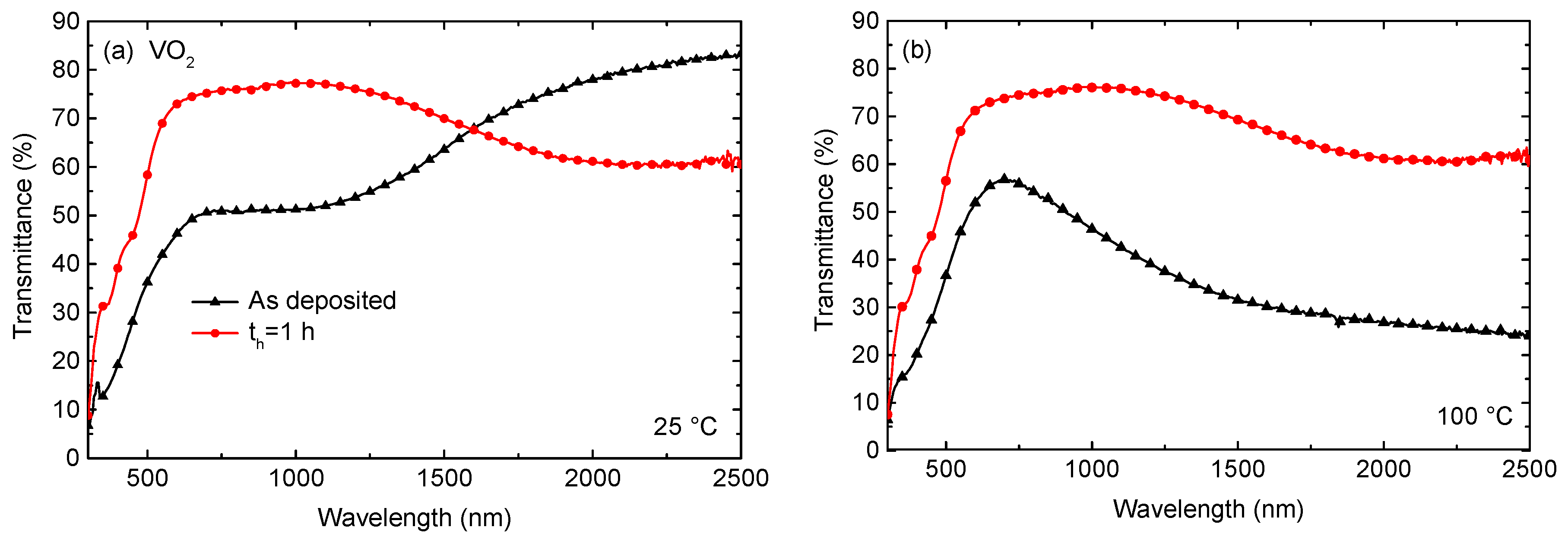
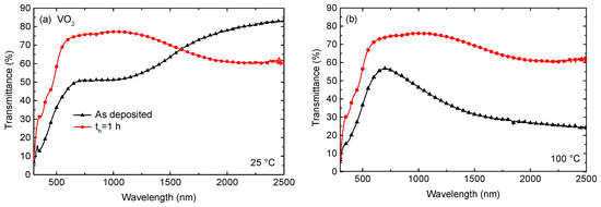
4. Towards VO2-Based Thin Films for Glazings
5. Recent Development: Thermochromic Light Scattering
6. Conclusions
Conflicts of Interest
References
- U.S. Department of Commerce, National Oceanic and Atmospheric Administration, Earthscan System Research Laboratory, Global Monitoring Division. Available online: http://www.esrl. noaa.gov/gmd/ccgg/trends/index.html (accessed on 14 November 2016).
- Stocker, T.F.; Qin, D.; Plattner, G.-K.; Tignor, M.M.B.; Allen, S.K.; Boschung, J.; Nauels, A.; Xia, Y.; Bex, V.; Midgley, P.M. (Eds.) Climate Change 2013: The Physical Science Basis. Working Group I Contribution to the Fifth Assessment Report on the Intergovermental Panel on Climate Change; Cambridge University Press: New York, NY, USA, 2013.
- Burke, M.; Hsiang, S.M.; Miguel, E. Global non-linear effect of temperature on economic production. Nature 2015, 527, 235–239. [Google Scholar] [CrossRef] [PubMed]
- Kelley, C.P.; Mohtadi, S.; Cane, M.A.; Seager, R.; Kushnir, Y. Climate change in the Fertile Crescent and implications of the recent Syrian drought. Proc. Natl. Acad. Sci. USA 2015, 112, 3241–3246. [Google Scholar] [CrossRef] [PubMed]
- Carleton, T.A.; Hsiang, S.M. Social and economic impacts of climate. Science 2016, 353, aad9837/1–aad9837/15. [Google Scholar] [CrossRef] [PubMed]
- United Nations, Department of Economic and Social Affairs. World Population Prospects: The 2015 Revision; United Nations: New York, NY, USA, 2015. [Google Scholar]
- United Nations, Department of Economic and Social Affairs. World Urbanization Prospects: The 2014 Revision; United Nations: New York, NY, USA, 2014. [Google Scholar]
- Akbari, H.; Cartalis, C.; Kolokotsa, D.; Muscio, A.; Pisello, A.L.; Rossi, F.; Santamouris, M.; Synnefa, A.; Wong, N.H.; Zinzi, M. Local climate change and urban heat island mitigation techniques: The state of the art. J. Civil Eng. Manag. 2016, 22, 1–16. [Google Scholar] [CrossRef]
- Sachindra, D.A.; Ng, A.W.M.; Muthukumaran, S.; Perera, B.J.C. Impact of climate change on urban heat island effect and extreme temperatures: A case-study. Quart. J. R. Meterorol. Soc. 2016, 142, 172–186. [Google Scholar] [CrossRef]
- Waters, C.N.; Zalasiewicz, J.; Summerhayes, C.; Barnosky, A.D.; Poirer, C.; Galuszka, A.; Cearreta, A.; Edgeworth, M.; Ellis, E.C.; Ellis, M.; et al. The Antropocene is functionally and stratigraphically distinct from the Holocene. Science 2016, 351, aad2622/1–aad2622/10. [Google Scholar] [CrossRef] [PubMed]
- United Nations Environmental Programme. Buildings and Climate Change: Summary for Decision-Makers; UNDP Sustainable Buildings & Climate Initiative: Paris, France, 2009. [Google Scholar]
- U.S. Department of Energy. 2011 Buildings Energy Data Book; U.S. Department of Energy: Washington, DC, USA, 2012.
- Leech, J.A.; Nelson, W.C.; Burnett, R.T.; Aaron, S.; Raizenne, M.E. It’s about time: A comparison of Canadian and American time–activity patterns. J. Exposure Anal. Environm. Epidemiol. 2002, 12, 427–432. [Google Scholar] [CrossRef] [PubMed]
- Richter, B.; Goldston, D.; Crabtree, G.; Glicksman, L.; Goldstein, D.; Greene, D.; Kammen, D.; Levine, M.; Lubell, M.; Savitz, M.; et al. How America can look within to achieve energy security and reduce global warming. Rev. Mod. Phys. 2008, 80, S1–S107. [Google Scholar] [CrossRef]
- Smith, G.B.; Granqvist, C.G. Green Nanotechnology: Solutions for Sustainability and Energy in the Built Environment; CRC Press: Boca Raton, FL, USA, 2010. [Google Scholar]
- Ginley, D.S.; Cahen, D. (Eds.) Fundamentals of Materials for Energy and Environmental Sustainability; Cambridge University Press: Cambridge, UK, 2012.
- García-Martínez, J. (Ed.) Nanotechnology for the Energy Challenge; Wiley-VCH: Weinheim, Germany, 2013.
- Pacheco-Torgal, F.; Diamanti, M.V.; Nazari, A.; Granqvist, C.G. (Eds.) Nanotechnology in Eco-Efficient Construction; Woodhead: Cambridge, UK, 2013.
- Pacheco-Torgal, F.; Mistretta, M.; Kaklauskas, A.; Granqvist, C.G.; Cabeza, L.F. (Eds.) Nearly Zero Energy Building Refurbishment; Springer: London, UK, 2013.
- Pacheco-Torgal, F.; Labrincha, J.A.; Cabeza, L.F.; Granqvist, C.G. (Eds.) Eco-Efficient Materials for Mitigating Building Cooling Needs: Design, Properties and Applications; Woodhead: Cambridge, UK, 2015.
- Pacheco-Torgal, F.; Buratti, C.; Kalaiselvam, S.; Granqvist, C.G.; Ivanov, V. (Eds.) Nano and Biotech Based Materials for Energy Building Efficiency; Springer: Cham, Switzerland, 2016.
- Pacheco-Torgal, F.; Rasmussen, E.; Granqvist, C.G.; Ivanov, V.; Kaklauskas, A.; Makonin, S. (Eds.) Start-Up Creation: The Smart Eco-Efficient Built Environment; Woodhead: Cambridge, UK, 2016.
- Pacheco-Torgal, F.; Granqvist, C.G.; Jelle, B.P.; Vanoli, G.P.; Bianco, N.; Kurnitski, J. (Eds.) Cost-Effective Energy Efficient Building Retrofitting: Materials, Technologies, Optimization and Case Studies; Woodhead: Cambridge, UK, 2017.
- Heschong, L.; Wright, R.L.; Okura, S. Daylighting impacts on retail sales performance. J. Illum. Engr. Soc. 2002, 31, 21–25. [Google Scholar] [CrossRef]
- Heschong, L.; Wright, R.L.; Okura, S. Daylighting impacts on human performance in school. J. Illum. Engr. Soc. 2002, 31, 101–114. [Google Scholar] [CrossRef]
- Altomonte, S. Daylight for energy savings and psycho-physiological well-being in sustainable built environments. J. Sustain. Dev. 2008, 1, 3–16. [Google Scholar] [CrossRef]
- Granqvist, C.G. Chromogenic materials for transmittance control of large-area windows. Crit. Rev. Solid State Phys. Mater. Sci. 1990, 16, 291–308. [Google Scholar] [CrossRef]
- Lampert, C.M.; Granqvist, C.G. (Eds.) Large-Area Chromogenics: Materials and Devices for Transmittance Control; SPIE Institutes for Advanced Optical Technologies; SPIE Optical Engineering Press: Bellingham, WA, USA, 1990; Volume IS4.
- Jorgenson, G.V.; Lee, J.C. Doped vanadium oxide for optical switching films. Sol. Energy Mater. 1986, 14, 205–214. [Google Scholar] [CrossRef]
- Babulanam, S.M.; Eriksson, T.S.; Niklasson, G.A.; Granqvist, C.G. Thermochromic VO2 films for energy-efficient windows. Sol. Energy Mater. 1987, 16, 347–363. [Google Scholar] [CrossRef]
- Gao, Y.; Luo, H.; Zhang, Z.; Kang, L.; Chen, Z.; Du, J.; Kanehira, M.; Cao, C. Nanoceramic VO2 thermochromic smart glass: A review on progress in solution processing. Nano Energy 2012, 1, 221–246. [Google Scholar] [CrossRef]
- Li, S.-Y.; Niklasson, G.A.; Granqvist, C.G. Thermochromic fenestration with VO2-based materials: Three challenges and how they can be met. Thin Solid Films 2012, 520, 3823–3828. [Google Scholar] [CrossRef]
- Li, S.-Y. VO2-Based Thermochromic and Nanothermochromic Materials for Energy-Efficient Windows: Computational and Experimental Studies; Digital Comprehensive Summaries of Uppsala Dissertations from the Faculty of Science and Technology 1095; Acta Universitatis Upsaliensis: Uppsala, Sweden, 2013. [Google Scholar]
- Li, S.-Y.; Niklasson, G.A.; Granqvist, C.G. Thermochromic undoped and Mg-doped VO2 thin films and nanoparticles: Optical properties and performance limits for energy efficient windows. J. Appl. Phys. 2014, 115, 053513/1–053513/10. [Google Scholar] [CrossRef]
- Hoffmann, S.; Lee, E.S.; Clavero, C. Examination of the technical potential of near-infrared switching thermochromic windows for commercial building applications. Sol. Energy Mater. Sol. Cells 2014, 123, 65–80. [Google Scholar] [CrossRef]
- Warwick, M.E.A.; Binions, R. Advances in thermochromic vanadium dioxide films. J. Mater. Chem. A 2014, 2, 3275–3292. [Google Scholar] [CrossRef]
- Anderson, A.-L.; Chen, S.; Romero, L.; Binions, R. Thin films for advanced glazing applications. Buildings 2016, 6, 37. [Google Scholar] [CrossRef]
- Warwick, M.E.A.; Ridley, I.; Binions, R. Variation of thermochromic glazing systems transition temperature, hysteresis gradient and width on energy efficiency. Buildings 2016, 6, 22. [Google Scholar] [CrossRef]
- Warwick, M.E.A.; Ridley, I.; Binions, R. Thermochromic vanadium dioxide thin films prepared by electric field assisted atmospheric pressure chemical vapour deposition for intelligent glazing application and their energy demand reduction properties. Sol. Energy Mater. Sol. Cells 2016, 157, 686–694. [Google Scholar] [CrossRef]
- Ji, Y.-X.; Boman, M.; Niklasson, G.A.; Granqvist, C.G. Thermochromics for energy-efficient buildings: Thin surface coatings and nanoparticle composites. In Nano and Biotech Based Materials for Energy Building Efficiency; Pacheco-Torgal, F., Buratti, C., Kalaiselvam, S., Granqvist, C.G., Ivanov, V., Eds.; Springer: Cham, Switzerland, 2016; pp. 71–96. [Google Scholar]
- The Freedonia Group. World Flat Glass to 2016: Industry Market Research, Market Share, Market Size, Sales, Demand Forecast, Market Leaders, Company Profiles, Industry Trends; The Freedonia Group: Cleveland, OH, USA, 2013. [Google Scholar]
- Wyszecki, J.; Stiles, W.S. Color Science: Concepts and Methods, Quantitative Data and Formulae, 2nd ed.; Wiley: New York, NY, USA, 2000. [Google Scholar]
- American Society for Testing and Materials (ASTM). American Society for Testing and Materials (ASTM). G173-03 Standard tables of reference solar spectral irradiances: Direct normal and hemispherical on a 37° tilted surface. In Annual Book of ASTM Standards; American Society for Testing and Materials: Philadelphia, PA, USA, 2012. [Google Scholar]
- Granqvist, C.G. Oxide-based chromogenic coatings and devices for energy efficient fenestration: Brief survey and update on thermochromics and electrochromics. J. Vac. Sci. Technol. B 2014, 32, 060801/1–060801/13. [Google Scholar] [CrossRef]
- Granqvist, C.G. Recent progress in thermochromics and electrochromics: A brief survey. Thin Solid Films 2016, 614, 90–96. [Google Scholar] [CrossRef]
- Granqvist, C.G.; Ji, Y.-X.; Montero, J.; Niklasson, G.A. Thermochromic vanadium-dioxide-based thin films and nanoparticles: Survey of some buildings-related advances. J. Phys. Conf. Ser. 2016, 764, 012002/1–012002/11. [Google Scholar] [CrossRef]
- Morin, F.J. Oxides which show a metal-to-insulator transition at the Neel temperature. Phys. Rev. Lett. 1959, 3, 34–36. [Google Scholar] [CrossRef]
- Chen, S.; Liu, J.; Luo, H.; Gao, Y. Calculation evidence of staged Mott and Peierls transitions in VO2 revealed by mapping reduced-dimension potential energy surface. Phys. Chem. Lett. 2015, 6, 3650–3656. [Google Scholar] [CrossRef] [PubMed]
- Zheng, H.; Wagner, L.K. Computation of the correlated metal–insulator transition in vanadium dioxide from first principles. Phys. Rev. Lett. 2015, 114, 176401/1–176401/4. [Google Scholar] [CrossRef] [PubMed]
- Kumar, S.; Strachan, J.P.; Kilcoyne, A.L.D.; Tyliszczak, T.; Pickett, M.D.; Santori, C.; Gibson, G.; Williams, R.S. The phase transition in VO2 probed using X-rays, visible and infrared radiations. Appl. Phys. Lett. 2016, 108, 073102/1–073102/4. [Google Scholar] [CrossRef]
- Liu, S.; Phillabaum, B.; Carlson, E.W.; Dahmen, K.A.; Vidhyadhiraja, N.S.; Qazilbash, M.M.; Basov, D.N. Random field driven spatial complexity at the Mott transition in VO2. Phys. Rev. Lett. 2016, 116, 036401/1–036401/5. [Google Scholar] [CrossRef] [PubMed]
- Saeli, M.; Piccirillo, C.; Parkin, I.P.; Binions, R.; Ridley, I. Energy modelling studies of thermochromic glazing. Energy Build. 2010, 42, 1666–1673. [Google Scholar] [CrossRef]
- Saeli, M.; Piccirillo, C.; Parkin, I.P.; Ridley, I.; Binions, R. Nano-composite thermochromic thin films and their application in energy-efficient glazing. Sol. Energy Mater. Sol. Cells 2010, 94, 141–151. [Google Scholar] [CrossRef]
- Wang, S.; Liu, M.; Kong, L.; Long, Y.; Jiang, X.; Yu, A. Recent progress in VO2 smart coatings: Strategies to improve the thermochromic properties. Progr. Mater. Sci. 2016, 81, 1–54. [Google Scholar] [CrossRef]
- Smith, J.F. (Ed.) Phase diagrams of binary vanadium alloys. In Monograph Series on Alloy Phase Diagrams; ASM International: Metals Park, OH, USA, 1989.
- Wriedt, H.A. The O–V (oxygen–vanadium) system. Bull. Alloy Phase Diagr. 1989, 10, 271–277. [Google Scholar] [CrossRef]
- Kang, Y.-B. Critical evaluation and thermodynamic optimization of the VO–VO2.5 system. J. Eur. Ceram. Soc. 2012, 32, 3187–3198. [Google Scholar] [CrossRef]
- Bahlawane, N.; Lenoble, D. Vanadium oxide compounds: Structure, properties, and growth from the gas phase. Chem. Vapor Depos. 2014, 20, 299–311. [Google Scholar] [CrossRef]
- Marvel, R.E.; Appavoo, K.; Choi, B.K.; Nag, J.; Haglund, R.F., Jr. Electron-beam deposition of vanadium dioxide thin films. Appl. Phys. A 2013, 111, 975–981. [Google Scholar] [CrossRef]
- Jian, J.; Chen, A.; Zhang, W.; Wang, H. Sharp metal-to-insulator transition of VO2 thin films on glass substrates. J. Appl. Phys. 2013, 114, 244301/1–244301/6. [Google Scholar] [CrossRef]
- Li, S.-Y.; Namura, K.; Suzuki, M.; Niklasson, G.A.; Granqvist, C.G. Thermochromic VO2 nanorods made by sputter deposition: Growth conditions and optical modeling. J. Appl. Phys. 2013, 114, 033516/1–033516/11. [Google Scholar] [CrossRef]
- Ji, Y.-X.; Niklasson, G.A.; Granqvist, C.G.; Boman, M. Thermochromic VO2 films by thermal oxidation of vanadium in SO2. Sol. Energy Mater. Sol. Cells 2016, 144, 713–716. [Google Scholar] [CrossRef]
- Fortier, J.-P.; Baloukas, B.; Zabeida, O.; Klemberg-Sapieha, J.E.; Martinu, L. Thermochromic VO2 thin films deposited by HiPIMS. Sol. Energy Mater. Sol. Cells 2014, 125, 291–296. [Google Scholar] [CrossRef]
- Aijaz, A.; Ji, Y.-X.; Montero, J.; Niklasson, G.A.; Granqvist, C.G.; Kubart, T. Low-temperature synthesis of thermochromic vanadium dioxide thin films by reactive high power impulse magnetron sputtering. Sol. Energy Mater. Sol. Cells 2016, 149, 137–144. [Google Scholar] [CrossRef]
- Loquai, S.; Baloukas, B.; Zabeida, O.; Klemberg-Sapieha, J.E.; Martinu, L. HiPIMS-deposited thermochromic VO2 films on polymeric substrates. Sol. Energy Mater. Sol. Cells 2016, 155, 60–69. [Google Scholar] [CrossRef]
- Loquai, S.; Baloukas, B.; Klemberg-Sapieha, J.E.; Martinu, L. HiPIMS-deposited thermochromic VO2 films with high environmental stability. Sol. Energy Mater. Sol. Cells 2017, 160, 217–224. [Google Scholar] [CrossRef]
- Houska, J.; Kolenaty, D.; Rezek, J.; Vlcek, J. Characterization of thermochromic VO2 (prepared at 250 °C) in a wide temperature range by spectroscopic ellipsometry. Appl. Surf. Sci. 2017, in press. [Google Scholar] [CrossRef]
- Drosos, C.; Vernardou, D. Perspectives of energy materials grown by APCVD. Sol. Energy Mater. Sol. Cells 2015, 140, 1–8. [Google Scholar] [CrossRef]
- Louloudakis, D.; Vernardou, D.; Spanakis, E.; Suchea, M.; Kenanakis, G.; Pemble, M.; Savvakis, C.; Katsarakis, N.; Koudoumas, E.; Kiriakidis, G. Atmospheric pressure chemical vapor deposition of amorphous tungsten doped vanadium dioxide for smart window applications. Adv. Mater. Lett. 2016, 7, 10–15. [Google Scholar] [CrossRef]
- Seyfouri, M.M.; Binions, R. Sol–gel approaches to thermochromic vanadium dioxide coating for smart glazing application. Sol. Energy Mater. Sol. Cells 2017, 159, 52–65. [Google Scholar] [CrossRef]
- Li, S.-Y.; Niklasson, G.A.; Granqvist, C.G. Nanothermochromics: Calculations for VO2 nanoparticles in dielectric hosts show much improved luminous transmittance and solar energy transmittance modulation. J. Appl. Phys. 2010, 108, 063525/1–063525/5. [Google Scholar] [CrossRef]
- Powell, M.J.; Marchand, P.; Denis, C.J.; Bear, J.C.; Darr, J.A.; Parkin, I.P. Direct and continuous synthesis of VO2 nanoparticles. Nanoscale 2015, 7, 18686–18693. [Google Scholar] [CrossRef] [PubMed]
- Montero, J.; Ji, Y.-X.; Li, S.-Y.; Niklasson, G.A.; Granqvist, C.G. Sputter deposition of thermochromic VO2 films on In2O3:Sn, SnO2 and glass: Structure and composition versus oxygen partial pressure. J. Vac. Sci. Technol. B 2015, 33, 031805/1–031804/7. [Google Scholar] [CrossRef]
- Montero, J.; Ji, Y.-X.; Granqvist, C.G.; Niklasson, G.A. Thermochromic light scattering from particulate VO2 layers. J. Appl. Phys. 2016, 119, 085302/1–085302/6. [Google Scholar] [CrossRef]
- Ji, Y.-X.; Niklasson, G.A.; Granqvist, C.G. Direct formation of thermochromic composite films of VO2 nanoparticles in SiO2 hosts. In Proceedings of the IEEE Nano 2016: 16th International Conference on Nanotechnology, Sendai, Japan, 22–26 August 2016; pp. 823–825.
- Romanyuk, A.; Steiner, R.; Marot, L.; Spassov, V.; Oelhafen, P. nc-VO2/Al2O3 nanocomposite films prepared by dual target magnetron sputtering. Thin Solid Films 2008, 516, 8513–8516. [Google Scholar] [CrossRef]
- Goodenough, J.B. The two components of the crystallographic transition in VO2. J. Solid State Chem. 1971, 3, 490–500. [Google Scholar] [CrossRef]
- Hörlin, T.; Niklewski, T.; Nygren, M. Electrical and magnetic properties of V1–xWxO2, 0 ≤ x ≤ 0.060. Mater. Res. Bull. 1972, 7, 1515–1524. [Google Scholar] [CrossRef]
- Reyes, J.M.; Lynch, G.F.; Sayer, M.; McBride, S.L.; Hutchison, T.S. Electrical, optical, magnetic resonance and microhardness properties of tungsten-doped VO2. J. Can. Ceram. Soc. 1972, 41, 69–75. [Google Scholar]
- Greenberg, C.B. Undoped and doped VO2 films grown from VO(OC3H7)3. Thin Solid Films 1983, 110, 7–82. [Google Scholar] [CrossRef]
- Mlyuka, N.R.; Niklasson, G.A.; Granqvist, C.G. Mg doping of thermochromic VO2 films enhances the optical transmittance and decreases the metal–insulator transition temperature. Appl. Phys. Lett. 2009, 95, 171909/1–171909/3. [Google Scholar] [CrossRef]
- Li, S.-Y.; Mlyuka, N.R.; Primetzhofer, D.; Hallén, A.; Possnert, G.; Niklasson, G.A.; Granqvist, C.G. Bandgap widening in thermochromic Mg-doped VO2 thin films: Quantitative data based on optical absorption. Appl. Phys. Lett. 2013, 103, 161907/1–161907/4. [Google Scholar] [CrossRef]
- Dietrich, M.K.; Kramm, B.G.; Becker, M.; Meyer, B.K.; Polity, A.; Klar, P.J. Influence of doping with alkaline earth metals on the optical properties of thermochromic VO2. J. Appl. Phys. 2015, 117, 185301/1–185301/8. [Google Scholar] [CrossRef]
- Gagaoudakis, E.; Kortidis, I.; Michail, G.; Tsagaraki, K.; Binas, V.; Kiriakidis, G.; Aperathitis, E. Study of low temperature rf-sputtered Mg-doped vanadium dioxide thermochromic films deposited on low-emissivity substrates. Thin Solid Films 2016, 601, 99–105. [Google Scholar] [CrossRef]
- Panagopoulou, M.; Gagaoudakis, E.; Boukos, N.; Aperathitis, E.; Kiriakidis, G.; Tsoukalas, D.; Raptis, Y.S. Thermochromic performance of Mg-doped VO2 thin films on functional substrates for glazing applications. Sol. Energy Mater. Sol. Cells 2016, 157, 1004–1010. [Google Scholar] [CrossRef]
- Hu, S.; Li, S.-Y.; Ahuja, R.; Granqvist, C.G.; Hermansson, K.; Niklasson, G.A.; Scheicher, R.H. Optical properties of Mg-doped VO2: Absorption measurements and hybrid functional calculations. Appl. Phys. Lett. 2012, 101, 201902/1–201902/4. [Google Scholar]
- Abdellaoui, I.; Merad, G.; Maaza, M.; Si Abdelkader, H. Electronic and optical properties of Mg-, F-doped and Mg/F-codoped M1-VO2 via hybrid density functional calculations. J. Alloys Cpds. 2016, 658, 569–575. [Google Scholar] [CrossRef]
- Jiang, M.; Bao, S.; Cao, X.; Li, Y.; Li, S.; Zhou, H.; Luo, H.; Jin, P. Improved luminous transmittance and diminished yellow color in VO2 energy efficient smart thin films by Zn doping. Ceram. Int. 2014, 40, 6331–6334. [Google Scholar] [CrossRef]
- Wang, N.; Duchamp, M.; Dunin-Borokowski, R.E.; Liu, S.; Zeng, X.T.; Cao, X.; Long, Y. Terbium-doped VO2 thin films: Reduced phase transition temperature and largely enhanced luminous transmittance. Langmuir 2016, 32, 759–764. [Google Scholar] [CrossRef] [PubMed]
- Khan, K.A.; Granqvist, C.G. Thermochromic sputter-deposited vanadium oxyfluoride coatings with low luminous absorptance. Appl. Phys. Lett. 1989, 55, 4–6. [Google Scholar] [CrossRef]
- Burkhardt, W.; Christmann, T.; Franke, S.; Kriegseis, W.; Meister, D.; Meyer, B.K.; Niessner, W.; Schalch, D.; Scharmann, A. Tungsten and fluorine co-doping of VO2 films. Thin Solid Films 2002, 402, 226–231. [Google Scholar] [CrossRef]
- Kiri, P.; Warwick, M.E.A.; Binions, B. Fluorine doped vanadium dioxide thin films for smart windows. Thin Solid Films 2011, 520, 1363–1366. [Google Scholar] [CrossRef]
- Li, S.-Y.; Niklasson, G.A.; Granqvist, C.G. Nanothermochromics with VO2-based core–shell structures: Calculated luminous and solar optical properties. J. Appl. Phys. 2011, 109, 113515/1–113515/8. [Google Scholar] [CrossRef]
- Laaksonen, K.; Li, S.-Y.; Puisto, S.R.; Rostedt, N.K.J.; Ala-Nissila, T.; Granqvist, C.G.; Nieminen, R.M.; Niklasson, G.A. Nanoparticles of TiO2 and VO2 in dielectric media: Conditions for low optical scattering, and comparison between effective medium and four-flux theories. Sol. Energy Mater. Sol. Cells 2014, 130, 132–137. [Google Scholar] [CrossRef]
- Lopez, R.; Boatner, L.A.; Haynes, T.E.; Feldman, L.C.; Haglund, R.F., Jr. Synthesis and characterization of size-controlled vanadium-dioxide nanocrystals in a fused silica matrix. J. Appl. Phys. 2002, 92, 4031–4036. [Google Scholar] [CrossRef]
- Lopez, R.; Haynes, T.E.; Boatner, L.A.; Feldman, L.C.; Haglund, R.F., Jr. Temperature-controlled surface plasmon resonance in VO2 nanorods. Opt. Lett. 2002, 27, 1327–1329. [Google Scholar] [CrossRef] [PubMed]
- Gentle, A.; Maaroof, A.I.; Smith, G.B. Nanograin VO2 in the metal phase: A plasmonic system with falling resistivity as temperature rises. Nanotechnology 2007, 18, 025202/1–025202/7. [Google Scholar] [CrossRef]
- Bai, H.; Cortie, M.B.; Maaroof, A.I.; Dowd, A.; Kealley, C.; Smith, G.B. The preparation of a plasmonically resonant VO2 thermochromic pigment. Nanotechnology 2009, 20, 085607/1–085607/9. [Google Scholar] [CrossRef] [PubMed]
- Mlyuka, N.R.; Niklasson, G.A.; Granqvist, C.G. Thermochromic multilayer films of VO2 and TiO2 with enhanced transmittance. Sol. Energy Mater. Sol. Cells 2009, 93, 1685–1687. [Google Scholar] [CrossRef]
- Mlyuka, N.R.; Niklasson, G.A.; Granqvist, C.G. Thermochromic VO2-based multilayer films with enhanced luminous transmittance and solar modulation. Phys. Status Solidi A 2009, 206, 2155–2160. [Google Scholar] [CrossRef]
- Chen, Z.; Gao, Y.; Kang, L.; Du, J.; Zhang, Z.; Luo, H.; Miao, H. VO2-based double-layered films for smart windows: Optical design, all-solution preparation and improved properties. Sol. Energy Mater. Sol. Cells 2011, 95, 2677–2684. [Google Scholar] [CrossRef]
- Taylor, A.; Parkin, I.; Noor, N.; Tummeltshammer, C.; Brown, M.S.; Papakonstantinou, I. A bioinspired solution for spectrally selective thermochromic VO2 coated intelligent glazing. Opt. Expr. 2013, 21, A750–A764. [Google Scholar] [CrossRef] [PubMed]
- Zhu, J.; Huang, A.; Ma, H.; Ma, Y.; Tong, K.; Ji, S.; Bao, S.; Cao, X.; Jin, P. Composite film of vanadium dioxide nanoparticles and ionic liquid–nickel–chlorine complexes with excellent visible thermochromic performance. ACS Appl. Mater. Interfaces 2016, 8, 29742–29748. [Google Scholar] [CrossRef] [PubMed]
- Ke, Y.; Balin, I.; Wang, N.; Lu, Q.; Tok, A.I.Y.; White, T.J.; Magdassi, S.; Abdulhalim, I.; Long, Y. Two-dimensional SiO2/VO2 photonic crystals with statically visible and dynamically infrared modulated for smart window deployment. ACS Appl. Mater. Interfaces 2016, 8, 33112–33120. [Google Scholar] [CrossRef] [PubMed]
- Ji, Y.-X.; Li, S.-Y.; Niklasson, G.A.; Granqvist, C.G. Durability of thermochromic VO2 thin films under heating and humidity: Effect of Al oxide top coatings. Thin Solid Films 2014, 562, 568–573. [Google Scholar] [CrossRef]
- Talledo, A.; Granqvist, C.G. Electrochromic vanadium-pentoxide-based films: Structural, electrochemical, and optical properties. J. Appl. Phys. 1995, 77, 4655–4666. [Google Scholar] [CrossRef]
- Lykissa, I.; Li, S.-Y.; Ramzan, M.; Chakraborty, S.; Ahuja, R.; Granqvist, C.G.; Niklasson, G.A. Electronic density-of-states of amorphous vanadium pentoxide films: Electrochemical data and density functional theory calculations. J. Appl. Phys. 2014, 115, 183701/1–183701/5. [Google Scholar] [CrossRef]
- Vernardou, D.; Louloudakis, D.; Spanakis, E.; Katsarakis, N.; Koudoumas, E. Thermochromic amorphous VO2 coatings grown by APCVD using a single-precursor. Sol. Energy Mater. Sol. Cells 2014, 128, 36–40. [Google Scholar] [CrossRef]
- Ji, Y.-X.; Niklasson, G.A.; Granqvist, C.G. Durability of VO2-based thin films at elevated temperature: Towards thermochromic fenestration. J. Phys. Conf. Proc. 2014, 559, 012005. [Google Scholar] [CrossRef]
- Tong, K.; Li, R.; Zhu, J.; Yao, H.; Zhou, H.; Zeng, X.; Ji, S.; Jin, P. Preparation of VO2/Al-O core–shell structure with enhanced weathering resistance for smart window. Ceram. Int. 2016. [Google Scholar] [CrossRef]
- Nečas, D.; Klapetek, P. Gwyddion: An open-source software for SPM data analysis. Cent. Eur. J. Phys. 2012, 10, 181–188. [Google Scholar] [CrossRef]
- Grenfell, T.C.; Warren, S.G. Representation of a nonspherical ice particle by a collection of independent spheres for scattering and absorption of radiation. J. Geophys. Res. 1999, 104, 31697–31709. [Google Scholar] [CrossRef]
- Bohren, C.F.; Huffman, D.R. Absorption and Light Scattering by Small Particles; Wiley: New York, NY, USA, 1983. [Google Scholar]
- Li, S.; Li, Y.; Qian, K.; Ji, S.; Luo, H.; Gao, Y.; Jin, P. Functional fiber mats with tunable diffuse reflectance composed of electrospun VO2/PVP composite fibers. ACS Appl. Mater. Interfaces 2014, 6, 9–13. [Google Scholar] [CrossRef] [PubMed]
- Qian, K.; Li, S.; Ji, S.; Li, W.; Li, Y.; Chen, R.; Jin, P. Fabrication of VO2 nanorods/PVP composite fiber mats and their unique optical diffuse reflectance properties. Ceram. Int. 2014, 40, 14517–14521. [Google Scholar] [CrossRef]
- Moot, T.; Palin, C.; Mitran, S.; Cahoon, J.F.; Lopez, R. Designing plasmon-enhanced thermochromic films using a vanadium dioxide nanoparticle elastomeric composite. Adv. Opt. Mater. 2016, 4, 578–583. [Google Scholar] [CrossRef]
- Seeboth, A.; Lötzsch, D. Thermochromic and Thermotropic Materials; Pan Stanford Publishing: Singapore, 2014. [Google Scholar]
- Anderson, A.D.; Broekhuis, M.D.; Byker, H.J.; DeJong, S.J. Color Neutral Thermochromic Layers and Laminates. U.S. Patent No. 9,465,239, 11 October 2016. [Google Scholar]
- Jelle, B.P.; Hynd, A.; Gustavsen, A.; Arasteh, D.; Goudey, H.; Hart, R. Fenestration today and tomorrow: A state-of-the-art review and future research oppoprtunities. Sol. Energy Mater. Sol. Cells 2012, 96, 1–28. [Google Scholar] [CrossRef]
- Niklasson, G.A.; Granqvist, C.G. Electrochromics for smart windows: Thin films of tungsten oxide and nickel oxide, and devices based on these. J. Mater. Chem. 2007, 17, 127–156. [Google Scholar] [CrossRef]
- Granqvist, C.G. Electrochromics for smart windows: Oxide-based thin films and devices. Thin Solid Films 2014, 564, 1–38. [Google Scholar] [CrossRef]
- Mortimer, R.J.; Rosseinsky, D.R.; Monk, P.M.S. Electrochromic Materials and Devices; Wiley-VCH: Weinberg, Germany, 2015. [Google Scholar]
- Powell, M.J.; Quesada-Cabrera, R.; Taylor, A.; Teixeira, D.; Papakostantinou, I.; Palgrave, R.G.; Sankar, G.; Parkin, I.P. Intelligent multifunctional VO2/SiO2/TiO2 coatings for self-cleaning, energy-saving window panels. Chem. Mater. 2016, 28, 1369–1376. [Google Scholar] [CrossRef]

















© 2016 by the authors. Licensee MDPI, Basel, Switzerland. This article is an open access article distributed under the terms and conditions of the Creative Commons Attribution (CC BY) license ( http://creativecommons.org/licenses/by/4.0/).
Share and Cite
Granqvist, C.G.; Niklasson, G.A. Thermochromic Oxide-Based Thin Films and Nanoparticle Composites for Energy-Efficient Glazings. Buildings 2017, 7, 3. https://doi.org/10.3390/buildings7010003
Granqvist CG, Niklasson GA. Thermochromic Oxide-Based Thin Films and Nanoparticle Composites for Energy-Efficient Glazings. Buildings. 2017; 7(1):3. https://doi.org/10.3390/buildings7010003
Chicago/Turabian StyleGranqvist, Claes G., and Gunnar A. Niklasson. 2017. "Thermochromic Oxide-Based Thin Films and Nanoparticle Composites for Energy-Efficient Glazings" Buildings 7, no. 1: 3. https://doi.org/10.3390/buildings7010003
APA StyleGranqvist, C. G., & Niklasson, G. A. (2017). Thermochromic Oxide-Based Thin Films and Nanoparticle Composites for Energy-Efficient Glazings. Buildings, 7(1), 3. https://doi.org/10.3390/buildings7010003

