Toward Sustainable Concrete: Experimental Investigation Using Municipal Solid Waste Incineration Bottom Ash
Abstract
1. Introduction
2. Materials and Methods
2.1. Materials
2.1.1. X-Ray Diffraction Analysis of MSWIBA Samples
2.1.2. PSD Analysis of MSWIBA Samples
2.1.3. Activation of MSWIBA Samples
2.2. Mix Proportioning and Methodology
3. Results and Discussion
3.1. Test on Fresh Concrete
Workability Test
3.2. Test on Hardened Concrete
3.2.1. Density of Concrete
3.2.2. 7-Day Compressive Strength
3.2.3. 28-Day Compressive Strength
3.2.4. 56-Day Compressive Strength
3.2.5. Compressive Strength Gain
4. Conclusions
- (i)
- The MSWIBA samples, BA3 and BA5, were identified as the most suitable options for concrete production based on their XRD characteristics and PSD analysis.
- (ii)
- Workability was independent of the percentage of cement replacement when raw MSWIBAs were used as a substitute for cement. The mixes showed increased workability when the cement was replaced with activated MSWIBAs. The workability increased by 50% for the mixes with 10% and 20% activated BA3 and 20% activated BA5 compared with the CC mix. When 10% of cement was replaced with raw BA3, the workability decreased by 25% compared with the CC mix, whereas for mixes with 10% and 20% raw BA5, the workability remained the same as that of the CC mix. Concrete becomes easier to handle when workability increases; however, it may also expand and become more porous, thereby reducing its strength.
- (iii)
- Concrete density decreased as the percentage of cement replacement with MSWIBAs increased, which may, in turn, enhance the seismic performance of structures by reducing their overall weight.
- (iv)
- The CC specimen attained a compressive strength of 27.4 MPa at 7 days. The concrete mixes with 10% raw BA3 and BA5 displayed approximately 75% of the compressive strength of CC. When 10% of cement was replaced with activated BA3 and BA5, the specimens attained 69.71% and 66.42% of the compressive strength of the CC specimen, respectively. For 20% cement replacement with MSWIBAs, BA3 indicated higher compressive strength than BA5 for both raw and activated samples. In these cases, the mixes with activated MSWIBAs illustrated higher compressive strength than the mixes with raw MSWIBAs. The compressive strength gain at 7 days was higher for specimens with BA3 compared with those with BA5, owing to the higher CaO content in BA3, which accelerates the formation of calcium silicate hydrate bonds.
- (v)
- The 28-day compressive strength for the CC specimen was 38 MPa. The concrete mix with 10% raw BA3 and BA5 displayed 76.05% and 73.42% of the compressive strength of the CC specimen, respectively. For the mix with 10% activated MSWIBAs, the mix with BA5 attained 77.89%, whereas the mix with BA3 displayed 70% of the compressive strength of CC. For the 28-day compressive strength of concrete with 10% MSWIBAs, the specimen with raw BA3 showed higher compressive strength than the activated BA3 mix, whereas the concrete with activated BA5 exceeded the mix with raw BA5. When cement was replaced with 20% MSWIBAs (both BA3 and BA5), the mixes with raw MSWIBAs demonstrated slightly higher compressive strength than those with activated MSWIBAs.
- (vi)
- The CC specimen exhibited a 56-day compressive strength of 41.5 MPa. Among all concrete mixes with MSWIBAs, the mixes in which cement was replaced with BA5 displayed the highest compressive strength. The mix with 10% BA5 attained approximately 77% of the 56-day compressive strength of CC. The specimens containing 20% raw and activated BA5 showed compressive strengths of 23.9 MPa and 24.2 MPa, respectively, while the specimens containing 20% raw and activated BA3 exhibited similar compressive strengths. Most mixes demonstrated comparable 56-day strength for both raw and activated MSWIBAs, indicating that activation of MSWIBAs did not significantly increase compressive strength.
- (vii)
- Due to the moderate acceleration of the pozzolanic reaction in BA5 concrete mixes with 10% activated MSWIBAs and 20% MSWIBAs, the 28-day compressive strength gain percentage was higher for the concrete mixes with BA5 than for those with BA3. The A10BA5 specimen exhibited 23.95% higher strength gain than CC at 28 days. Mixes with 10% replacement of BA3 (raw and activated) exhibited higher compressive strength gain at 28 days and lower gain at 56 days than specimens with 20% BA3 due to delayed pozzolanic activity caused by the lower cement content. Concrete with 10% raw BA5 showed the highest 56-day compressive strength gain, while the mix with 10% activated BA5 displayed the maximum 28-day strength gain.
- (viii)
- No significant difference in compressive strength was observed between the dry and wet MSWIBA samples used as partial cement replacements; however, the concrete mix with the dry sample (BA5) exhibited slightly better performance than the mix with the wet sample (BA3).
Future Work
Author Contributions
Funding
Data Availability Statement
Conflicts of Interest
References
- Alnezami, S.; Lamaa, G.; Pereira, M.F.C.; Kurda, R.; de Brito, J.; Silva, R.V. A sustainable treatment method to use municipal solid waste incinerator bottom ash as cement replacement. Constr. Build. Mater. 2024, 423, 135855. [Google Scholar] [CrossRef]
- Bahrami, A.; Lindqvist, M.; Berglund, L.L.; Eriksson, B. Important criteria for Swedish construction companies to choose environmentally friendly concrete. Civ. Eng. J. 2023, 9, 197–207. [Google Scholar] [CrossRef]
- Barbhuiya, S.; Kanavaris, F.; Das, B.B.; Idrees, M. Decarbonising cement and concrete production: Strategies, challenges and pathways for sustainable development. J. Build. Eng. 2024, 86, 108861. [Google Scholar] [CrossRef]
- IPCC. Mitigation of Climate Change Climate Change 2022 Working Group III Contribution to the Sixth Assessment Report of the Intergovernmental Panel on Climate Change. 2022. Available online: www.ipcc.ch (accessed on 20 September 2025).
- Afrin, H.; Huda, N.; Abbasi, R. An overview of eco-friendly alternatives as the replacement of cement in concrete. IOP Conf. Ser. Mater. Sci. Eng. 2021, 1200, 12003. [Google Scholar] [CrossRef]
- de Brito, J.; Kurda, R. The past and future of sustainable concrete: A critical review and new strategies on cement-based materials. J. Clean. Prod. 2021, 281, 123558. [Google Scholar] [CrossRef]
- U.N. UN, World Population Prospects 2022, 2022. Available online: https://population.un.org/wpp/ (accessed on 11 September 2023).
- Kaza, S.; Yao, L.C.; Bhada-Tata, P.; Van Woerden, F. What a Waste 2.0: A Global Snapshot of Solid Waste Management to Urban Development Series; World Bank: Washington, DC, USA, 2018. [Google Scholar]
- Liu, Z.; Liu, S.; Takasu, K.; Zhang, Y.; Wang, Y.; Suyama, H. Development of sustainable self-compacting concrete: Replacement of sand with municipal solid waste incineration ash molten slag and recycled fine aggregate. Constr. Build. Mater. 2024, 450, 138674. [Google Scholar] [CrossRef]
- Chen, B.; Perumal, P.; Illikainen, M.; Ye, G. A review on the utilization of municipal solid waste incineration (MSWI) bottom ash as a mineral resource for construction materials. J. Build. Eng. 2023, 71, 106386. [Google Scholar] [CrossRef]
- Zhao, Y.; Liu, J.; Pang, B.; Liu, R.; Zhang, Z. Pretreatments Behavior of Municipal Solid Waste Incineration Fly Ash Using Different Alkaline Reagents. Water Air Soil Pollut. 2025, 236, 11. [Google Scholar] [CrossRef]
- Chen, B.; Ye, G. The role of water-treated municipal solid waste incineration (MSWI) bottom ash in microstructure formation and strength development of blended cement pastes. Cem. Concr. Res. 2024, 178, 107440. [Google Scholar] [CrossRef]
- Clavier, K.A.; Ferraro, C.C.; Townsend, T.G. Pilot-scale cement production using treated waste incineration bottom ash: Physical and environmental performance. Resour. Conserv. Recycl. 2021, 175, 105862. [Google Scholar] [CrossRef]
- Kleib, J.; Aouad, G.; Abriak, N.-E.; Benzerzour, M. Production of Portland cement clinker from French municipal solid waste incineration bottom ash. Case Stud. Constr. Mater. 2021, 15, e00629. [Google Scholar] [CrossRef]
- Sivayogaraj, A.; Elavenil, S. Municipal solid waste incineration bottom ash in concrete: A systematic review and meta-analysis. Sci. Rep. 2025, 15, 39931. [Google Scholar] [CrossRef] [PubMed]
- Liu, J.; Gui, Y.; Zhou, L.; Cheng, L.; Hu, J.; Luo, Y.; Xue, Y. Microstructural formation and strength development of cementitious matrix with municipal solid waste incineration bottom ash pretreated by saturated calcium hydroxide solution. Constr. Build. Mater. 2026, 508, 145121. [Google Scholar] [CrossRef]
- Woo, B.-H.; Jeon, I.-K.; Yoo, D.-H.; Kim, S.-S.; Lee, J.-B.; Kim, H.-G. Utilization of municipal solid waste incineration bottom ash as fine aggregate of cement mortars. Sustainability 2021, 13, 8832. [Google Scholar] [CrossRef]
- Cheng, L.; Jin, H.; Wu, Y.; Ren, Y.; Liu, J.; Xing, F. Influence of municipal solid waste incineration bottom ash particle size on cement hydration and performance. Constr. Build. Mater. 2024, 432, 136516. [Google Scholar] [CrossRef]
- Cheng, L.; Liu, W.; Jin, H.; Wu, Y.; Ren, Y.; Liu, J.; Xing, F. Influence of municipal solid waste incineration bottom ash particle size on the evolution mechanism and distribution characteristics of multiscale pore structures in cement paste. Constr. Build. Mater. 2024, 452, 138882. [Google Scholar] [CrossRef]
- Lu, J.; Yang, X.; Lai, Y.; Gao, J.; Wang, Y.; Deng, F.; Zhang, Z. Mechanical and microscopic properties of concretes made with municipal solid waste incinerator bottom ash (MSWIBA) exposed to freeze-thaw cycles. Constr. Build. Mater. 2024, 452, 138864. [Google Scholar] [CrossRef]
- Lin, J.; Yong, C.L.; Zhang, F.; Tan, T.H.; Metselaar, H.S.C.; El Hassan, H.; Mo, K.H. Sorted municipal solid waste ash as cement substitute: A study on paper ash and food waste ash. Case Stud. Constr. Mater. 2024, 20, e03329. [Google Scholar] [CrossRef]
- BS EN 197-1:2011; Cement Part 1: Composition, Specifications and Conformity Criteria for Common Cements. British Standard Institute: London, UK, 2011.
- Chen, B.; Perumal, P.; Liu, C.; Chen, Y.; Chang, C.; Pavlin, M.; Kvočka, D.; Ducman, V.; Luukkonen, T.; Illikainen, M.; et al. Municipal solid waste incineration (MSWI) bottom ash-blended cementitious materials: Performance, challenges, and potential solutions. Crit. Rev. Environ. Sci. Technol. 2025, 55, 19. [Google Scholar] [CrossRef]
- Cheng, Y.; Gao, G.; Chen, L.; Du, W.; Mu, W.; Yan, Y.; Sun, H. Physical and mechanical study of municipal solid waste incineration (MSWI) bottom ash with different particle size distribution. Constr. Build. Mater. 2024, 416, 135137. [Google Scholar] [CrossRef]
- BS ISO 11464:2006; Soil Quality—Pretreatment of Samples for Physio-Chemical Analysis. International Organization for Standardization: Geneva, Switzerland, 2006.
- SS-EN ISO 17294-2:2023; Water Quality—Application of Inductively Coupled Plasma Mass Spectrometry (ICP-MS)—Part 2: Determination of Selected Elements Including Uranium Isotopes. International Organization for Standardization: Geneva, Switzerland, 2023.
- SS-EN ISO 17852:2008; Water Quality—Determination of Mercury—Method Using Atomic Fluorescence Spectrometry. International Organization for Standardization: Geneva, Switzerland, 2008.
- SS-EN 12350-2:2019; Testing Fresh Concrete—Part 2: Slump Test. European Committee for Standardization: Brussels, Belgium, 2019.
- Kowalski, P.R.; Kasina, M.; Michalik, M. Metallic elements occurrences in the municipal waste incineration bottom ash. Energy Procedia 2017, 125, 56–62. [Google Scholar] [CrossRef]
- Xuan, D.; Poon, C.S. Removal of metallic Al and Al/Zn alloys in MSWI bottom ash by alkaline treatment. J. Hazard. Mater. 2018, 344, 73–80. [Google Scholar] [CrossRef]
- Pera, J.; Coutaz, L.; Ambroise, J.; Chababbet, M. Use of incinerator bottom ash in concrete. Cem. Concr. Res. 1997, 27, 1–5. [Google Scholar] [CrossRef]
- Zhang, X.; Zhang, H.; Gao, H.; He, Y.; Jiang, M. Effect of bubble feature parameters on rheological properties of fresh concrete. Constr. Build. Mater. 2019, 196, 245–255. [Google Scholar] [CrossRef]
- SS-EN 12390-3:2019; Testing Hardened Concrete—Part 3: Compressive Strength of Specimens. European Committee for Standardization: Brussels, Belgium, 2019.
- Ju, C.; Liu, Y.; Jia, M.; Yu, K.; Yu, Z.; Yang, Y. Effect of calcium oxide on mechanical properties and microstructure of alkali-activated slag composites at sub-zero temperature. J. Build. Eng. 2020, 32, 101561. [Google Scholar] [CrossRef]
- Chu, H.; Gu, Y.; Shi, W.; Jiang, J. Assessing the performance and sustainability of ecological mortar with municipal solid waste incineration fly ash solidified by sulphoaluminate cement. Constr. Build. Mater. 2024, 450, 138613. [Google Scholar] [CrossRef]
- Wang, P.; Qiao, G.; Zhang, Y.; Hou, D.; Zhang, J.; Wang, M.; Wang, X.; Hu, X. Molecular dynamics simulation study on interfacial shear strength between calcium-silicate-hydrate and polymer fibers. Constr. Build. Mater. 2020, 257, 119557. [Google Scholar] [CrossRef]














| Characteristics | Unit | MSWIBA | ||||
|---|---|---|---|---|---|---|
| BA1 | BA2 | BA3 | BA4 | BA5 | ||
| PSD | mm | 0–13 | 0–13 | 0–13 | 0–13 | 0–2 |
| Moisture status | - | Wet | Wet | Wet | Wet | Dry |
| Parameter | Unit | BA1 | BA2 | BA3 | BA4 | BA5 |
|---|---|---|---|---|---|---|
| Al as Al2O3 | % TS | 9.7 | 8.54 | 11.7 | 8.81 | 8.74 |
| Ca as CaO | % TS | 17 | 14.3 | 17 | 16.7 | 13.6 |
| Si as SiO2 | % TS | 47.6 | 54 | 45.7 | 48.6 | 61 |
| CaCO3 | % | 12.3 ± 0.8 | 8.4 ± 0.8 | 3.2 ± 0.2 | 9.3 ± 0.8 | 3.6 ± 0.2 |
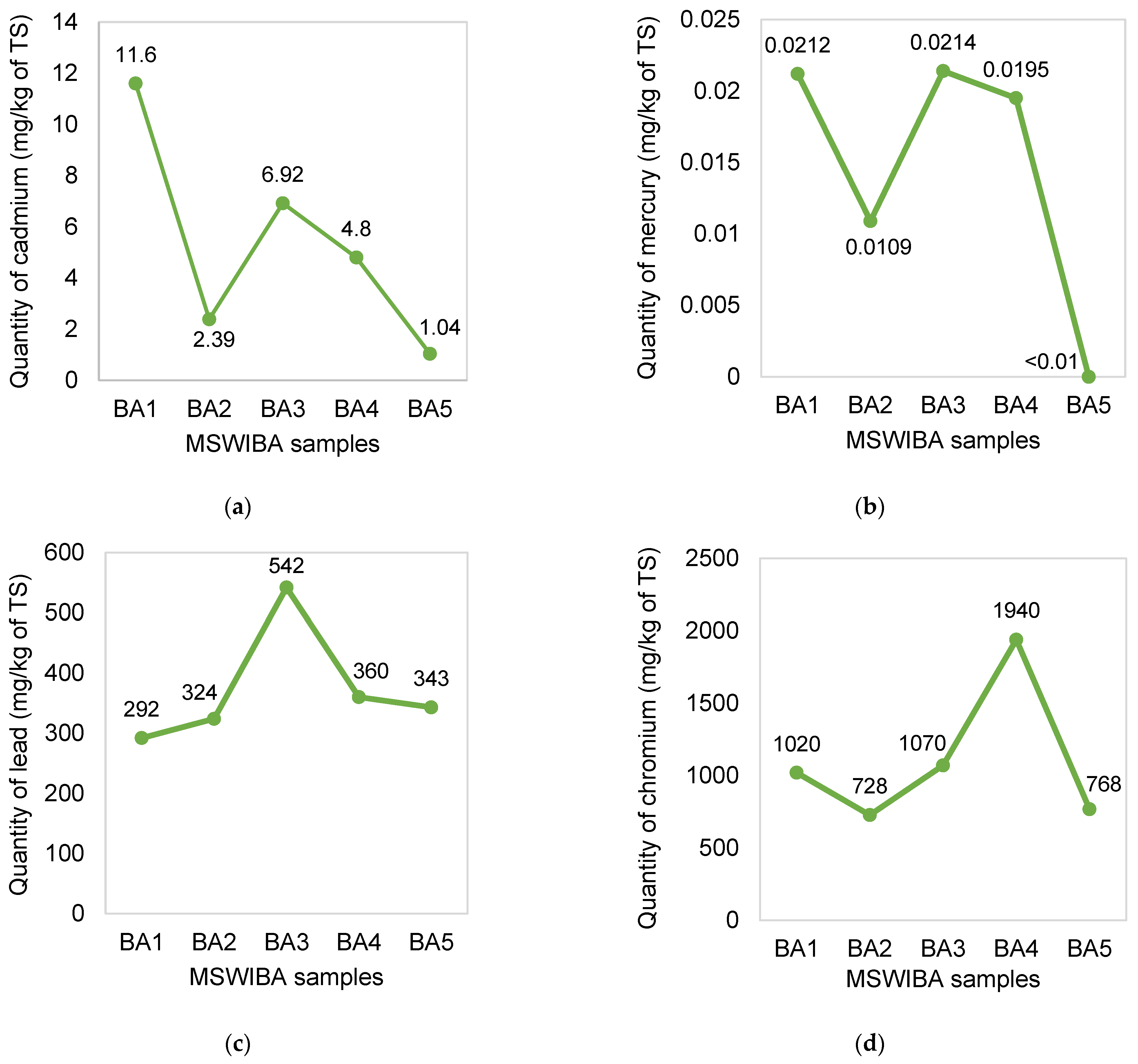
| Cd, cadmium | mg/kg TS | 11.6 | 2.39 | 6.92 | 4.8 | 1.04 |
| Cr, chromium | mg/kg TS | 1020 | 728 | 1070 | 1940 | 768 |
| Hg, mercury | mg/kg TS | 0.0212 | 0.0109 | 0.0214 | 0.0195 | <0.01 |
| Pb, lead | mg/kg TS | 292 | 324 | 542 | 360 | 343 |
| LOI 1000 °C | % TS | 6.75 | 5.86 | 1.99 | 2.64 | 2.44 |
| Constituents | CC | Mix ID | |
|---|---|---|---|
| R10BA3 | R20BA3 | ||
| A10BA3 | A20BA3 | ||
| R10BA5 | R20BA5 | ||
| A10BA5 | A20BA5 | ||
| Cement (kg) | 6.65 | 5.99 | 5.32 |
| MSWIBA (kg) | 0 | 0.67 | 1.33 |
| Water (kg) | 3.63 | 3.63 | 3.63 |
| Coarse aggregate (kg) | |||
| 8–16 mm | 13.26 | 13.26 | 13.26 |
| 0–8 mm | 11.19 | 11.19 | 11.19 |
| 4–8 mm | 3.79 | 3.79 | 3.79 |
| Fine aggregate (kg) | |||
| 0–2 mm | 6.26 | 6.26 | 6.26 |
| Mix ID | 7-Day | 28-Day | 56-Day | ||||||
|---|---|---|---|---|---|---|---|---|---|
| Average Density (kg/m3) | Compressive Strength (MPa) | Standard Deviation | Average Density (kg/m3) | Compressive Strength (MPa) | Standard Deviation | Average Density (kg/m3) | Compressive Strength (MPa) | Standard Deviation | |
| CC | 2327 | 27.4 | 0.70 | 2330 | 38 | 0.50 | 2310 | 41.5 | 0.55 |
| R10BA3 | 2317 | 20.5 | 1.08 | 2263 | 28.9 | 0.12 | 2240 | 30.7 | 0.66 |
| A10BA3 | 2290 | 19.1 | 0.44 | 2263 | 26.6 | 0.20 | 2257 | 28.5 | 0.86 |
| R10BA5 | 2307 | 20.5 | 0.23 | 2263 | 27.9 | 0.95 | 2267 | 31.9 | 0.83 |
| A10BA5 | 2280 | 18.2 | 4.01 | 2280 | 29.6 | 0.30 | 2250 | 31.8 | 0.55 |
| R20BA3 | 2267 | 15.4 | 0.72 | 2240 | 21.7 | 0.53 | 2220 | 23.9 | 0.20 |
| A20BA3 | 2273 | 15.8 | 0.15 | 2250 | 21.2 | 0.53 | 2220 | 24.2 | 0.25 |
| R20BA5 | 2297 | 14.8 | 0.31 | 2230 | 22.2 | 0.72 | 2233 | 23.9 | 0.25 |
| A20BA5 | 2267 | 15.1 | 0.32 | 2230 | 21.7 | 0.12 | 2250 | 24.2 | 0.55 |
Disclaimer/Publisher’s Note: The statements, opinions and data contained in all publications are solely those of the individual author(s) and contributor(s) and not of MDPI and/or the editor(s). MDPI and/or the editor(s) disclaim responsibility for any injury to people or property resulting from any ideas, methods, instructions or products referred to in the content. |
© 2026 by the authors. Licensee MDPI, Basel, Switzerland. This article is an open access article distributed under the terms and conditions of the Creative Commons Attribution (CC BY) license.
Share and Cite
Bahrami, A.; Cehlin, M.; Wallhagen, M.; Nexén, O.; Paul, E. Toward Sustainable Concrete: Experimental Investigation Using Municipal Solid Waste Incineration Bottom Ash. Buildings 2026, 16, 1331. https://doi.org/10.3390/buildings16071331
Bahrami A, Cehlin M, Wallhagen M, Nexén O, Paul E. Toward Sustainable Concrete: Experimental Investigation Using Municipal Solid Waste Incineration Bottom Ash. Buildings. 2026; 16(7):1331. https://doi.org/10.3390/buildings16071331
Chicago/Turabian StyleBahrami, Alireza, Mathias Cehlin, Marita Wallhagen, Oliver Nexén, and Elsa Paul. 2026. "Toward Sustainable Concrete: Experimental Investigation Using Municipal Solid Waste Incineration Bottom Ash" Buildings 16, no. 7: 1331. https://doi.org/10.3390/buildings16071331
APA StyleBahrami, A., Cehlin, M., Wallhagen, M., Nexén, O., & Paul, E. (2026). Toward Sustainable Concrete: Experimental Investigation Using Municipal Solid Waste Incineration Bottom Ash. Buildings, 16(7), 1331. https://doi.org/10.3390/buildings16071331

