Previous Article in Journal
Multi-Variable Multi-Objective Optimization Analysis of Super-Tall Building Structures Based on a Genetic Algorithm
 
 
Due to scheduled maintenance work on our servers, there may be short service disruptions on this website between 11:00 and 12:00 CEST on March 28th.
Font Type:
Arial Georgia Verdana
Font Size:
Aa Aa Aa
Line Spacing:
Column Width:
Background:
Article

Experimental Investigation of Dynamic Operation and Performance Limits of ASHP-Driven Radiant Floor and Fan Coil Heating System

1
Institute of Civil Engineering, Chongqing University, Chongqing 400045, China
2
Energy and Environment Institute, University of Hull, Hull HU6 7RX, UK
3
Architectural Design and Research Institute Co., Ltd., Southeast University, Nanjing 210096, China
*
Authors to whom correspondence should be addressed.
Buildings 2026, 16(7), 1325; https://doi.org/10.3390/buildings16071325 (registering DOI)
Submission received: 1 February 2026 / Revised: 22 March 2026 / Accepted: 23 March 2026 / Published: 26 March 2026

Abstract

This study investigates the operation of an air source heat pump (ASHP) working with combined radiant floor (RF) and fan coil unit (FCU) heating systems in hot summer and cold winter (HSCW) regions. Intermittent heating demands and ASHP sensitivity to supply water temperature in these regions lead to insufficient steady-state assumptions, while experimental evidence on transient heating behavior, thermal comfort development, and operational limits remains limited. In this study, experiments were conducted to analyze six supply water temperatures (ranging from 35 °C to 45 °C) with respect to the system’s dynamic thermal response, vertical air temperature difference, floor surface temperature, power consumption, and coefficient of performance (COP). The results show that start-up heating is dominated by FCU convection, causing pronounced vertical temperature stratification, while radiant heat becomes dominant as the system approaches steady operation. A good vertical air temperature difference with respect to breathing zones and ankle-level temperature differences below 2 °C was achieved after sufficient operating time. Increasing the supply water temperature accelerated the heating response, where the time required for the average indoor temperature to reach 18 °C decreased from 5.5 h at 35 °C to 2.2 h at 45 °C. However, this improvement was accompanied by reduced energy efficiency, with the mean ASHP unit COP declining from 2.5 to 2.3. Excessively high supply temperatures further induced premature indoor overheating and the frequent start–stop cycling of the heat pump, thereby limiting thermal benefits and increasing power demand. These findings provide experimentally grounded insight into the operation and performance limits of ASHP RF–FCU heating systems.

1. Introduction

The decarbonization and energy efficiency of building heating have emerged as pivotal issues in the global energy transition [1]. In this context, air source heat pumps (ASHPs) have been widely adopted as a high-efficiency heating technology that utilizes low-grade ambient thermal energy. ASHPs exhibit strong adaptability in hot summer and cold winter (HSCW) regions as well as some cold regions [2].
The heating performance of ASHP systems is strongly affected by the type of terminal unit, apart from the supply water temperature. Currently, mainstream ASHP heating terminal configurations can be broadly categorized into two types: (1) forced convection terminals represented by fan coil units (FCUs) [3,4] and (2) radiant heat transfer terminals such as low-temperature hot water radiant floors (RFs), ceilings, or walls [5,6,7]. Radiant heating systems can enhance energy performance [8,9]; however, their large thermal inertia leads to slow response to load variations [10,11]. With increasingly stringent building energy efficiency standards and higher expectations for indoor thermal comfort, single-terminal systems struggle to meet the combined requirements of rapid thermal response and stable thermal comfort. To address this issue, ASHP-driven combined RF and FCU heating systems have been proposed. Such systems aim to integrate the superior comfort and thermal storage characteristics of RFs [12,13] with the fast regulation capability of FCUs [14,15,16].
In this area of study, previous works mainly employed experimental measurements and numerical simulations to analyze operational behavior performance. The literature shows that this would be a promising solution for advancing technologies within the built environment [17,18,19]. Tang et al. [20] compared independent RF heating with combined RF + FCU heating and found that the combined system mitigates RF thermal inertia. For instance, during the start-up phase, the combined mode shortened the time required to reach the setpoint temperature by 20 min. Atienza Márquez et al. [21] simulated RF-only, FCU-only, and RF + FCU modes using TRNSYS and showed that the combination offers good thermal comfort. The predicted percentage dissatisfied (PPD) remained below 15% for most of the heating season. Dong et al. [22] investigated the heating performance of a radiant–convective heating terminal. The findings indicated that the total heating capacity was enhanced by 28% to 59% as the supply water temperature increased from 35 °C to 45 °C. An experimental study by Zhu et al. [23] on heating in cold climates further quantified the load distribution and response discrepancies and showed that FCUs accounted for 62% to 70% of the total heat load and responded to outdoor variations 0.4–1.1 h earlier, while the RF heat supply increased as outdoor temperatures dropped, but its response lagged by 1.5–5.4 h.
From an energy and economic perspective, Hu et al. [24] compared the performance of ASHPs paired with different terminals. They found that at identical supply temperatures, the RF terminal yielded the highest coefficient of performance (COP) and superior thermal comfort. Bae et al. [25] benchmarked RF heating against convective heating under typical winter conditions. The results indicated that the RF system’s COP was 18.8% higher than that of the convective system, whereas the convective system offered a faster response. A comparative study by Chen et al. [26] noted that in HSCW regions, ASHP-driven radiant heating systems can save 12% in energy and 26% in operating costs compared to gas boiler systems. In summary, the RF + FCU combined system demonstrates cost-effectiveness per unit of energy consumption, despite a higher initial investment [27].
Despite the reported advantages of combined RF + FCU heating systems, their operation involves a complex heat transfer process. As illustrated in Figure 1, heating is first driven by FCU convection. With continued operation, the contribution of the radiant floor increases as the floor and surrounding surfaces are thermally activated. This behavior is further influenced by heat losses through the building envelope and by ASHP control strategies that link supply water temperature with compressor operation and indoor temperature regulation.
However, despite this understanding of the coupled mechanisms, existing studies remain limited in their experimental data representation and often address system performance in a fragmented manner. Most previous work has focused on steady-state cold climate applications, while the transient heating process, vertical thermal condition evolution, and operational limits have been less systematically investigated. These limitations are particularly relevant in China’s hot summer and cold winter (HSCW) regions, where heating demand is typically intermittent and ASHP performance is highly sensitive to supply water temperature. Under such conditions, the interaction between terminal units, building thermal inertia, and control strategy cannot be effectively formulated from steady or cold region studies. Specifically in China’s HSCW regions, such as Chongqing, central heating infrastructure is generally absent. Driven by lifestyle habits and economic considerations, residents predominantly adopt a “part-time, part-space” intermittent heating mode.
To address these gaps, this study presents an experimental investigation of an ASHP-driven RF + FCU heating system under representative HSCW conditions. By varying the supply water temperature, this study quantifies the dynamic heating response, vertical air temperature difference development, floor surface temperature evolution relative to comfort thresholds, and system operational stability. The results provide experimentally grounded insights into the coupled heating behavior.

2. Experimental Setup and Testing Methodology

To achieve the research objectives, an experimental platform featuring an ASHP-driven combined RF and FCU heating system was established. The system primarily consists of an ASHP outdoor unit and two types of terminal units, as well as relevant piping, described as follows.

2.1. Description of Experiment Room

The experimental laboratory is located on the ground floor of a multi-story building at Chongqing University, with a floor area of 24 m2. Figure 2 illustrates the plan view and perspective of the laboratory. Only the windowed wall is an external envelope directly exposed to outdoor air. The other three walls are internal partitions adjacent to unheated corridors. These corridors are naturally ventilated and thermally influenced by the outdoor environment. The laboratory is ground-supported with no basement underneath, and the space directly above the test room is unheated. The structural parameters of the building envelope and the dimensional specifications are summarized in Table 1.

2.2. ASHP System Configuration

The experimental system consists of an air source heat pump (ASHP model: YVAG008ARSE20, York Guangzhou Air Conditioning and Refrigeration Equipment Co., Ltd., Guangzhou, China) connected to a combined RF and FCU heating system, as illustrated in Figure 3. The ASHP is a packaged air-to-water heat pump. Heat is transferred to the hydronic loop through an integrated condenser heat exchanger. The ASHP serves as the sole heat source and supplies hot water to both terminal units through a closed water circulation loop. The RF circuit is embedded within the floor structure, utilizing 16 mm PPR pipes in a square spiral layout with a spacing of 150 mm. A thermal insulation layer of a 20 mm thick extruded polystyrene board was installed beneath the pipes, covered by an aluminum foil reflective layer. The FCU (York Guangzhou Air Conditioning and Refrigeration Equipment Co., Ltd., Guangzhou, China) is installed within the test room and delivers heat mainly through forced convection. The return water from both terminals is collected and directed back to the ASHP to complete the circulation loop. The technical specifications of the units are listed in Table 2 and Table 3.
Regarding the control strategy during the experiments, the system was configured to maintain an indoor temperature setpoint of 20 °C. The FCU was regulated through automatic stepless fan speed control, where the airflow was adjusted based on the real-time deviation between the actual room temperature and the setpoint. For the RF loop, a secondary pump combined with a thermostatic valve was employed to regulate the flow rate. Meanwhile, the ASHP operation followed the room temperature-based on/off control.
The measurements of FCU fan speed and loop-level water flow distribution were not included in the present study. These parameters may provide additional insight into terminal-level performance and dynamic control behavior. Future experimental work will incorporate these data to enable a more refined analysis.

2.3. Experimental Arrangements

The experiments were conducted during the winter heating season (December and January) in Chongqing on days with comparable outdoor climatic conditions. The RF and FCU operated simultaneously throughout the tests. Six operating conditions were established with supply water temperatures ranging from 35 °C to 45 °C, as summarized in Table 4. The indoor temperature setpoint was maintained at 20 °C. This value was selected as the median of the recommended winter design temperature range (18 °C to 22 °C) for Category II thermal comfort, as specified in the Design Code for Heating, Ventilation and Air Conditioning of Civil Buildings (GB 50736-2012). The system was scheduled to operate daily from 09:00 to 17:00 to represent a time-restricted heating operation under controlled experimental conditions. The restricted operating duration allowed the heating process and system stabilization to be observed without introducing uncertainties associated with occupant on/off control. During tests, various parameters, including outdoor air temperature and relative humidity (RH), vertical indoor temperature and RH profiles, floor surface temperatures (FST), ASHP unit power consumption, and supply/return water temperatures, were monitored in real time.

3. Measurement System and Data Acquisition

3.1. Experimental Instrumentation

The measured experimental parameters are categorized into three main groups: (1) thermal environmental parameters, such as indoor/outdoor air temperature and RH, and FST; (2) system operating parameters, including the power consumption of the ASHP unit and the system supply/return water temperatures; and (3) calculated parameters, such as the COP. The specific models and technical specifications of the main instruments utilized in this study are summarized in Table 5.
The COP serves as a pivotal metric for evaluating the overall performance of the ASHP (RF + FCU) system, defined as follows:
C O P = Q W
where Q is the useful heating output delivered to the indoor space under steady-state operation (W), and W represents the total power of the heat pump, which includes the power input of the integrated circulation pump.
Q = m ˙ × c p × ( T 1 T 2 )
In this formula, c is the specific heat capacity of the circulating water (J/(kg·°C)); m ˙ is the mass flow rate of water (kg/s), kg; T1 is the supply water temperature (°C); T2 is the return water temperature (°C).
It should be noted that during the experiments, the primary loop was maintained at a constant flow rate of 1.3 m3/h, and the primary circulation pump operated at a constant power of 300 W. As for the secondary pump, together with the FCU fan motor, it served as an auxiliary component. Its energy consumption was classified as terminal equipment energy consumption and was not included in the heat pump system energy consumption.

3.2. Data Acquisition and Measurement

3.2.1. Measurement of Outdoor and Indoor Conditions

Outdoor conditions were measured using a HOBO UX100-011 data logger (Onset Computer Corporation, Bourne, MA, USA), which was positioned at the center of a standard weather louvered box, and the sensor was installed at a height of 1.5 m above the natural ground level to shield it from direct solar radiation and rainfall interference. The logging interval was set to 5 min to continuously record the fluctuations in the outdoor environment throughout the experimental period.
In terms of the indoor environment, a dense array of measurement points was deployed within the room. Five representative horizontal positions were selected at equidistant points along two floor diagonals, as illustrated in Figure 4a. Apart from the horizontal measurements, four measurement points were established vertically at each horizontal location, at heights of 0.1 m (ankle level), 0.6 m (knee level), 1.1 m (seated breathing zone), and 1.7 m (standing breathing zone), totaling 20 sampling points, as illustrated in Figure 4b. HOBO UX100-011 temperature and RH data loggers were mounted at each point, with a logging interval set to 5 min. For the data analysis, the temperature for each vertical level is calculated as the arithmetic mean of the five measurement points at that corresponding height. The average indoor temperature represents the mean value of data from all 20 measurement points.

3.2.2. Measurement of Floor Surface and Supply/Return Water Temperatures

Coinciding with the horizontal layout of the indoor air sensors shown in Figure 4a, five floor temperature measurement points were positioned directly beneath each vertical sensor stack. Measurement points for the supply and return water temperatures were respectively installed on the corresponding outdoor pipelines. A total of seven measurement points (comprising five for FST and two for supply/return water temperatures) were monitored in real time using resistance temperature detector (RTD) sensors. Data acquisition was performed via a wide-screen blue-display paperless recorder (Model MR4300, Hangzhou Mengkong Instrument Technology Co., Ltd., Hangzhou, China), with a sampling interval set to 1 min. Furthermore, all RTD sensors were calibrated in a high-precision constant-temperature water bath prior to installation to ensure that the measurement uncertainty remained below ±0.1 °C.

3.2.3. Measurement of ASHP Unit Power Consumption

The power input of the ASHP unit is a critical parameter for calculating both the energy consumption and the ASHP unit COP. To facilitate the real-time monitoring of the operational power, a HIOKI 3169-20 digital power meter and Model 9669 clamp-on sensor (HIOKI E.E. CORPORATION, Ueda, Nagano, Japan) were employed for data acquisition, with a sampling interval of one minute.

3.2.4. Experimental Limitations

While this study provides experimental evidence on the behavior of ASHP-driven RF + FCU systems, it is important to note that the findings should be interpreted within the scope of the present experimental arrangement. The tests were conducted in a single test room over a list of representative winter days. Further empirical data would be valuable, particularly with respect to external climate conditions, the fabric performance of the room, loop-level hydraulic characteristics, branch-level supply and return water temperatures, and other component-specific operating parameters. Therefore, this should be taken into consideration when interpreting the results discussed in this paper.

4. Experimental Test Results and Analysis

4.1. Outdoor Temperature and Relative Humidity Conditions

Outdoor environmental parameters serve as critical boundary conditions that significantly influence the operational performance of ASHP systems [28,29]. Although the supply water temperature was the primary control variable in this study, slight variations in outdoor conditions were unavoidable among different test days. Therefore, outdoor temperature and RH were monitored to ensure the comparability of the experimental results.
Figure 5a,b presents the measured outdoor temperature and RH profiles for all operating cases. During the experimental period, outdoor temperature ranged from 6.1 °C to 9.2 °C, while RH varied between 74.6% and 91.7%, which is representative of the cold and humid winter conditions in Chongqing. Across all test days, the outdoor temperature and RH profiles exhibited similar temporal trends. The average outdoor temperature varied between 6.85 °C (for the 37 °C supply condition) and 8.28 °C (for the 39 °C supply condition), while the average RH ranged from 79.76% (39 °C supply condition) to 85.67% (41 °C supply condition). In summary, although outdoor air temperature and relative humidity varied slightly across different test days, the magnitude of these variations was limited. These data provide an appropriate condition for comparing the indoor thermal response and system behavior under different test settings.

4.2. Indoor Hygrothermal Response and Vertical Distribution

The indoor hygrothermal environment constitutes a pivotal indicator for assessing the performance of heating systems [30,31,32]. This section examines the indoor hygrothermal response of the combined RF + FCU system under different supply water temperatures. The analysis focuses on indoor air temperature and relative humidity, including their vertical distributions and time evolution, to characterize the behavior of the indoor environment.

4.2.1. Indoor Air Temperature Distribution

To investigate the uniformity of the indoor hygrothermal environment, temperature data were measured at four heights corresponding to the ankle level (0.1 m), knee level (0.6 m), seated breathing zone (1.1 m), and standing breathing zone (1.7 m). Across all cases, indoor temperature evolution exhibited a distinct transient response rather than immediate uniform heating. A consistent two-stage behavior was observed, characterized by a rapid warm-up during the first 1–2 h followed by a slower approach to a quasi-steady state, as presented in Figure 6a–f. It is noted that the temperature data are the average values of the five horizontal measurement points at a specified height.
During start-up, pronounced vertical temperature stratification developed, with the upper zone (1.7 m) warming much faster than the lower zone, dominated by FCU-induced forced convection. The stratification was the most evident during the first 1–2 h and intensified at higher supply water temperatures. For example, under the 45 °C condition (Figure 6f), the temperature difference between 1.7 m and 0.1 m reached 2.62 °C within the first 30 min. With continued operation, temperatures at lower heights (0.1–1.1 m) increased steadily, and vertical temperature differences within the occupied zone gradually decreased, with the growing contribution of the radiant floor. However, this improvement required a prolonged operating period and was not achieved immediately.
Supply water temperature mainly affected the rate of temperature rise and the upper zone response. Higher supply temperatures accelerated warm-up at all heights but also caused stronger transient temperature overshoot at 1.7 m. In the 45 °C case, the upper zone temperature showed an early peak followed by stabilization. This suggests that excessive supply temperature can intensify transient stratification rather than uniformly improve vertical temperature distribution.
From a comfort perspective, acceptable vertical temperature uniformity in the breathing zone was achieved only after the system approached quasi-steady operation. According to the local thermal comfort criteria in ISO 7730:2025 [33], the vertical air temperature difference should be limited to 3 °C to ensure acceptable comfort. The results therefore indicate that the vertical air temperature difference in RF + FCU systems is time-dependent and sensitive to both supply water temperature and operating duration, particularly during start-up.

4.2.2. Indoor Air Relative Humidity Distribution

Figure 7a–f illustrate the vertical indoor relative humidity (RH) responses under different supply water temperature conditions. The data are the average values of the five horizontal measurement points at a specified height. In contrast to air temperature, RH exhibited a decreasing trend throughout the operating period at all heights, with the most rapid reduction occurring during the initial 1–2 h. This behavior corresponds to the temperature evolution observed in Figure 5, which indicates that RH variations were driven by air temperature rise rather than by active moisture exchange.
During the start-up stage, a vertical RH stratification was observed, characterized by consistently lower RH in the upper zone (1.7 m) and higher RH near the floor (0.1 m). This stratification developed along with the temperature increase in the upper zone driven by FCU-driven forced convection. As the upper air temperature rose more rapidly, RH at 1.7 m decreased at a faster rate, leading to the vertical RH gradient during the early operating period. With continued operation, RH at all heights gradually stabilized. An interesting behavior found in the tests is that the vertical RH distribution did not converge to a uniform profile. Even when temperature differences within the occupied zone were substantially reduced, RH at 1.7 m remained consistently lower than that near the floor across all supply water temperature conditions. This indicates that vertical humidity stratification is more persistent than temperature stratification under RF + FCU heating operation.
The influence of supply water temperature on RH was reflected in the magnitude of RH reduction. Higher supply temperatures accelerated temperature rise and consequently intensified the early-stage RH decrease, particularly in the upper zone. These results suggest that, under heating-dominated conditions without active humidity control, indoor RH distribution is strongly coupled to the transient thermal response and retains vertical non-uniformity even after temperature stratification within the occupied zone is mitigated.

4.2.3. Average Indoor Temperature and Relative Humidity

Figure 8 compares the temporal evolution of average indoor air temperature and RH under different supply water temperatures. These values, showing the average values of all measurements, are used to characterize the overall thermal response of the indoor environment and to quantify the system’s warm-up performance from a whole-room perspective. This allows for a comparison of how quickly different operating conditions achieve expected indoor conditions.
To evaluate the heating response in relation to thermal comfort requirements, two temperature thresholds are considered: 16 °C and 18 °C. In particular, 18 °C corresponds to the lower limit of Category II thermal comfort defined in the Chinese national standard Design Code for Heating, Ventilation and Air Conditioning of Civil Buildings (GB 50736-2012) [34]. This level is recommended for typical residential and office buildings and is widely adopted as a benchmark for acceptable indoor thermal conditions during the heating season. During the tests, increasing the supply temperature accelerated warm-up. The time required for the average indoor temperature to reach 16 °C decreased from 2.5 h (35 °C) to 0.9 h (45 °C), while the time to reach the Category II lower comfort threshold was shortened from 5.5 h (35 °C) to 2.2 h (45 °C). Overall, the 41–45 °C cases reduced the time to 18 °C by approximately 40% compared with the 35–39 °C cases.

4.3. Floor Surface Temperature (FST) Results

The FST is a decisive factor governing the thermal comfort in the lower occupied zone. Figure 9 presents the temporal evolution of FST at five representative measurement locations under different supply water temperatures. Across all operating conditions, the FST exhibited a pronounced delayed response compared with indoor air temperature. During the first 30 min after system start-up, the increase in FST was limited, because a share of the supplied heat was absorbed by the thermal mass of the floor structure. After approximately 09:30, as the floor gradually warmed up, the surface temperature increased more rapidly. With continued operation, the temperature difference between the floor surface and indoor air was reduced.
Increasing the supply water temperature accelerated the rise in FST. The spatial distribution of FST remained consistent across all cases. At 17:00, all supply temperature conditions exhibited a similar spatial pattern, with the highest FST at the room center (Position 3), followed by the FCU-influenced zone near the external wall (Position 5), intermediate values at the internal partition zones (Positions 1 and 4), and the lowest FST near the external wall and window (Position 2). The maximum temperature difference between locations remained below 2.0 °C. This distribution is primarily governed by heat loss to the building envelope and local air-side heating effects. The central floor area (Position 3) experienced the least heat loss. Although Position 5 was located near the external wall, continuous convective heating from the FCU air supply partially offset envelope heat losses. In contrast, Position 2 was exposed to the strongest heat loss due to its proximity to the external wall and window.
To evaluate the overall thermal performance of the radiant floor, the average FST was calculated and plotted as curves in Figure 10. The average FST increased with increasing supply water temperature throughout the operating period. After 8 h of operation (at 17:00), the average FST reached 23.2 °C, 23.6 °C, 24.4 °C, 25.7 °C, 26.2 °C, and 26.2 °C for the 35 °C, 37 °C, 39 °C, 41 °C, 43 °C, and 45 °C cases, respectively.
According to the Chinese Technical Specification for Radiant Heating and Cooling of Buildings (JGJ 142-2012) [35], the recommended floor surface temperature range for radiant floor heating is 25–27 °C. This range is used as a reference in this study to evaluate the floor heating performance of the RF terminal. Under this reference, only the cases with supply water temperatures of 41 °C and above reached the recommended interval. Higher supply water temperatures shortened the time required to reach the lower comfort threshold of 25 °C. The 41 °C, 43 °C, and 45 °C cases reached 25 °C after 6.7 h, 5.5 h, and 5.0 h, respectively. However, the increase in the steady-state average FST between 43 °C and 45 °C was marginal, suggesting diminishing thermal benefit at high supply temperatures.
It should be noted that the 25–27 °C range is recommended for radiant floor heating systems, whereas the present study considers a combined RF + FCU heating mode. In a coupled system, the appropriate floor temperature range may not be identical to that of standalone underfloor heating. International standards such as ISO 7730 define a wider acceptable floor temperature range, within which lower temperatures may also be considered comfortable depending on occupant behavior and perception. Therefore, the above comparison should be interpreted as a reference to the radiant floor heating standard rather than a definitive comfort limit for combined heating applications.

4.4. Analysis of ASHP Unit Power Input and Operational Characteristics

The unit power input is a pivotal parameter, which allows for a direct assessment of system energy consumption and reflects the dynamic interaction between the system and the built environment [36,37]. During the start-up phase from a standby power input of 46 W, as shown in Figure 11, higher supply water temperatures led to both higher peak power input and longer periods before stabilization. As the supply water temperature increased, both the peak power input of the unit and the duration required to reach this peak exhibited an upward trend. Under the supply water conditions of 35 °C, 37 °C, 39 °C, 41 °C, 43 °C, and 45 °C, the corresponding peak power inputs were 1949 W, 2471 W, 2596 W, 2866 W, 2901 W, and 3022 W, respectively. This indicates that elevating the supply temperature imposes a heavier initial load on the compressor, requiring it to operate at a higher output level for an extended duration to establish the required water-side thermal conditions. While this behavior contributes to a faster indoor temperature rise, it also increases electrical demand during the most energy-intensive operating stage.
After the initial transient, as shown in Figure 12, distinct differences in operating behavior emerged. The power input exhibits a step-wise decline. For lower supply water temperatures (35–41 °C), the ASHP transitioned into a relatively stable part-load operation, with power input gradually decreasing as indoor thermal demand diminished. In contrast, under higher supply water temperatures (43 °C and 45 °C), the unit failed to maintain continuous steady-state operation, and the compressor entered frequent start–stop cycling. This behavior was represented by power fluctuations between active heating and idle states.
These observations suggest that the cycling behavior is related to a mismatch between the fixed control settings and the thermal inertia of the RF-dominated system. Under high supply water temperature conditions, heat is introduced rapidly during the early stage of operation, while the response of the radiant floor limits regulation in the later stage. As the indoor temperature approaches the setpoint, the compressor is forced to switch on and off frequently to prevent overheating. The results indicate that a higher supply temperature accelerates the initial warm-up, but it also increases the risk of cycling in the later stage.

4.5. Analysis of Supply and Return Water Temperature Results

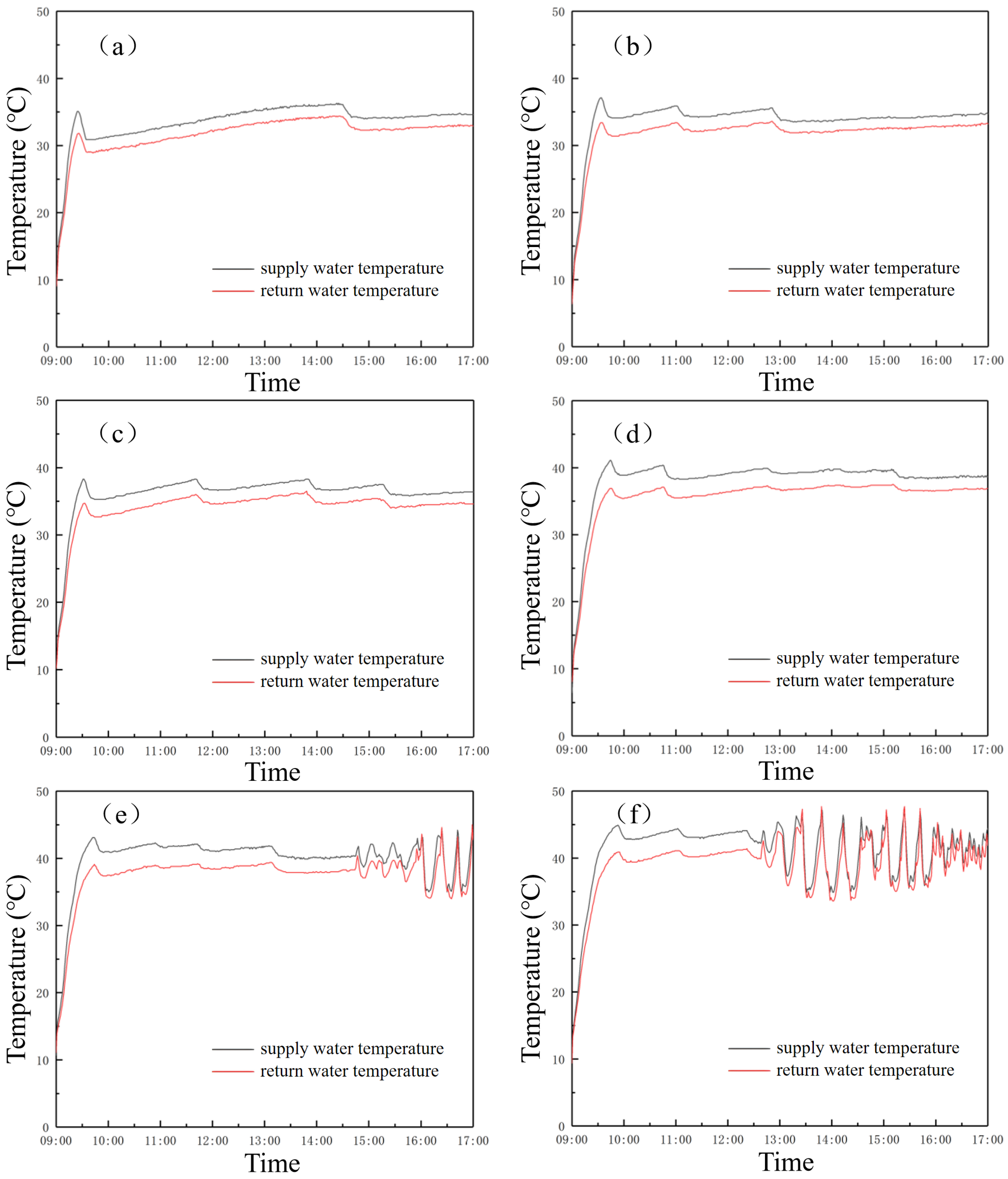
The supply and return water temperatures profiles (as shown in Figure 13) were highly synchronized with the trends in the unit power input. After start-up, both supply and return water temperatures rise sharply for all cases. This increase corresponds to the high compressor load during start-up and reflects the dominance of system thermal inertia. As the return water temperature increases, the unit output is reduced, leading to a mild drop and subsequent water temperature stabilization. During the stabilization period, cases with higher supply temperature exhibit larger supply–return temperature differences, indicating an increased instantaneous heat transfer rate to the terminals. This trend is consistent with the higher thermal load imposed on the compressor at elevated condensing temperatures.
An interesting difference is found in the 43 °C and 45 °C cases. In these conditions, pronounced oscillations in both supply and return water temperatures appear in the later stage of operation, coinciding with the frequent start–stop cycling observed in the power input profiles. These oscillations indicate that the system repeatedly switches between heat accumulation and heat rejection states. Essentially, the return water temperature did not have sufficient time to decrease before the compressor was reactivated. A portion of the supplied heat was stored within the hydronic loop and floor structure, represented by the rise in return water temperature. When the indoor air temperature reached the setpoint, the compressor was forced to shut down while the return water temperature remained relatively high. Then the stored thermal energy was gradually released to the indoor environment through the radiant floor. However, due to thermal inertia, the return water temperature decreased slowly and did not fully recover to a low level before the next compressor start-up. As a result, the system repeatedly switched between heat accumulation and heat rejection states. This pattern increased electrical stress on the compressor and reduced effectiveness in heat delivery.
From a system-level perspective, these results suggest that excessively high supply water temperatures can push the heating system beyond its stable operation. A high supply temperature accelerates the initial warm-up, but it also amplifies control instability once the indoor temperature approaches the setpoint.

4.6. System Coefficient of Performance

Based on the experimental data, the ASHP coefficient of performance (COP) values during the steady-state operation phase were calculated for various supply water temperature conditions, as illustrated in Figure 14. Across all cases, the COP generally decreased with operating time. As heating operation proceeded, increasing return water temperature and reduced heat transfer driving force caused the heat pump to operate at a higher temperature lift, leading to the gradual reduction in the COP. Also, a clear dependence on supply water temperature was observed. The mean COP decreased from 2.53 at 35 °C to 2.32 at 45 °C, with mean values of 2.48, 2.43, 2.37, and 2.33 for the 37 °C, 39 °C, 41 °C, and 43 °C cases, respectively. Additionally, it should be noted that the cases with high supply temperature (43 °C and 45 °C) exhibited compressor cycling in the later stage of operation, as described above, which affect the representativeness of COP data. Therefore, COP comparisons are the most reliable when based on continuous compressor operation periods.
To provide a comprehensive overview of system performance under specific environmental boundaries for each test day, key operational parameters are summarized in Table 6. This comparison includes the average outdoor air temperature, indoor temperature (after 8 h of continuous operation), peak power, the variation range of the supply and return water temperature difference during stable operation, and the average COP during stable operation.

5. Conclusions

This study experimentally investigated an ASHP-driven combined radiant floor (RF) and fan coil unit (FCU) heating system in a hot summer and cold winter region (Chongqing, China) under six supply water temperatures (from 35 °C to 45 °C). The key findings are summarized as follows.
Deploying this heating strategy can lead to a time-dependent indoor response and transient discomfort risk. During start-up, the system showed clear stratification in air temperature distribution. Heating start-up was dominated by FCU forced convection, producing clear vertical stratification in the first 1–2 h, with the upper zone warming faster than the ankle level. Under the ASHP supply temperature of 45 °C, the vertical difference of 1.7 m to 0.1 m reached 2.6 °C within the first 30 min, indicating local discomfort risk. As operation continued, the RF contribution increased, and the vertical gradients were reduced. This study shows that good comfort uniformity is time-dependent and sensitive to both supply water temperature and operating duration, rather than being instantaneous.
Using a higher supply temperature speeds up the indoor space warm-up. The time for the average indoor air temperature to reach 18 °C (Category II lower comfort threshold in GB 50736-2012) was reduced from 5.5 h (35 °C) to 2.2 h (45 °C), and the 41–45 °C cases shortened the time to reach 18 °C by around 40% versus the 35 °C to 39 °C cases.
In terms of floor surface temperature (FST), the evaluation of floor thermal comfort is referenced to the Chinese Technical Specification JGJ 142–2012, which recommends a preferred average floor surface temperature range of 25–27 °C for frequently occupied zones. Under this criterion, cases with supply temperatures of 41–45 °C reached the recommended range, whereas cases below 39 °C remained below 25 °C. It should be noted that international standards (e.g., ISO 7730) allow for a wider acceptable floor temperature range and the appropriate level depends on a list of factors like usage and occupant habits. Increasing the supply temperature beyond 43 °C provided only a marginal additional FST increase under the tested conditions while potentially increasing energy use and operational instability.
This study also shows that a higher supply temperature can undermine operational stability. At 45 °C (after 3.7 h) and 43 °C (after 5.8 h), the ASHP entered frequent start–stop cycling. This cycling reduced the benefit of maintaining the high supply temperature in the later stage while increasing electrical stress, as discussed above, with 45 °C delivering marginal FST improvement over 43 °C. In turn, energy efficiency is reduced with higher supply temperature. The mean ASHP COP decreased from 2.53 (35 °C) to 2.32 (45 °C).
Based on these findings, the present study indicates that maintaining a fixed high supply water temperature throughout the entire operating period is not appropriate for the RF + FCU combined system under the tested conditions. While higher supply water temperatures can accelerate warm-up and floor activation, they also reduce system efficiency and increase the risk of overheating and compressor cycling. From a decarbonization and energy efficiency perspective, the experimental results highlight the importance of balancing thermal response speed against system efficiency and stability.
Future work should extend the present study towards a more detailed hydraulic and operational analysis of the combined RF + FCU system. Further studies on loop-level flow rates, COP-related energy use, and the comfort floor temperature range under combined radiant–convective heating would help refine the present analysis. In addition, the effects of system sizing and control strategies, such as weather compensated and adaptive temperature control, should be investigated to support improved comfort and operational efficiency in practice.

Author Contributions

Conceptualization, Z.C., C.Z. and J.L.; Methodology, Z.C., C.Z., J.L. and E.L.; Software, Z.C. and E.L.; Formal analysis, Z.C., C.Z., J.L. and E.L.; Investigation, Z.C., J.L. and E.L.; Resources, C.Z. and J.L.; Data curation, Z.C. and E.L.; Writing—original draft, Z.C. and C.Z.; Writing—review & editing, Z.C., C.Z., J.L. and E.L.; Visualization, Z.C. and C.Z.; Supervision, C.Z. and J.L.; Project administration, C.Z. and J.L. All authors have read and agreed to the published version of the manuscript.

Funding

This research received no external funding.

Data Availability Statement

The original contributions presented in this study are included in the article. Further inquiries can be directed to the corresponding authors.

Conflicts of Interest

Author Enhao Liu was employed by the company Architectural Design and Research Institute Co., Ltd. of Southeast University. The remaining authors declare that the research was conducted in the absence of any commercial or financial relationships that could be construed as a potential conflict of interest.

Abbreviations

The following abbreviations are used in this manuscript:
ASHPAir source heat pump
COPCoefficient of performance
FCUFan coil unit
FSTFloor surface temperature
HSCWHot summer and cold winter
RFRadiant floor
RHRelative humidity
RTDResistance temperature detector

References

  1. Jia, X.; Zhang, Y.; Tan, R.R.; Li, Z.; Wang, S.; Wang, F.; Fang, K. Multi-objective energy planning for China’s dual carbon goals. Sustain. Prod. Consum. 2022, 34, 552–564. [Google Scholar] [CrossRef]
  2. Yang, C.; Lu, D.; Shan, M.; Dong, L.; Xiao, L.; He, K.; Liu, P. Assessing climate adaptability and low-carbon efficiency of air source heat pumps in China’s diverse climates. J. Build. Eng. 2025, 99, 111584. [Google Scholar] [CrossRef]
  3. Fernández Hernández, F.; Atienza-Márquez, A.; Miguel Peña Suárez, J.; Antonio Bandera Cantalejo, J.; Carmen González Muriano, M. Analysis of a HVAC zoning control system with an air-to-water heat pump and a ducted fan coil unit in residential buildings. Appl. Therm. Eng. 2022, 215, 118963. [Google Scholar] [CrossRef]
  4. Sunu, P.W.; Anakottapary, D.S.; Mulawarman, A.A.N.B.; Cipta Santosa, I.D.M.; Putu Sastra Negara, I. Heat Transfer Characteristics of Fan Coil Unit (FCU) under the Effect of Chilled Water Volume Flowrate. J. Phys. Conf. Ser. 2018, 953, 012058. [Google Scholar] [CrossRef]
  5. Hasan, A.; Kurnitski, J.; Jokiranta, K. A combined low temperature water heating system consisting of radiators and floor heating. Energy Build. 2009, 41, 470–479. [Google Scholar] [CrossRef]
  6. Bojić, M.; Cvetković, D.; Marjanović, V.; Blagojević, M.; Djordjević, Z. Performances of low temperature radiant heating systems. Energy Build. 2013, 61, 233–238. [Google Scholar] [CrossRef]
  7. Kalmár, T.; Bodó, B.; Kalmár, F. Heat losses of low-temperature radiant heating systems. Energy Rep. 2023, 10, 1982–1995. [Google Scholar] [CrossRef]
  8. Abedin, T.; Rahman, M.M.; Joy, Z.H.; Alnamasi, K.; Badruddin, I.A.; Bashir, M.N.; Nur-E-Alam, M. Advancing comfort and efficiency: Radiant heating and cooling systems for sustainable architecture. Build. Environ. 2025, 282, 113234. [Google Scholar] [CrossRef]
  9. Hesaraki, A.; Huda, N. A comparative review on the application of radiant low-temperature heating and high-temperature cooling for energy, thermal comfort, indoor air quality, design and control. Sustain. Energy Technol. Assess. 2022, 49, 101661. [Google Scholar] [CrossRef]
  10. Li, T.; Merabtine, A.; Lachi, M.; Bennacer, R. Effects of humidification process on thermal performance of floor heating systems: An experimental study. Build. Environ. 2022, 221, 109353. [Google Scholar] [CrossRef]
  11. Wang, Z.; Li, G.; Wang, F.; Zhang, Y. Performance investigation of a transcritical CO2 heat pump combined with the terminal of radiator and floor radiant coil for space heating in different climates, China. J. Build. Eng. 2021, 44, 102927. [Google Scholar] [CrossRef]
  12. Hwang, Y.-J.; Jeong, J.-W. Energy saving potential of radiant floor heating assisted by an air source heat pump in residential buildings. Energies 2021, 14, 1321. [Google Scholar] [CrossRef]
  13. Nam, J.; Suh, W.D.; Yun, B.Y.; Kim, S. Energy efficiency in radiant floor heating systems through the integration of phase change materials in three types of wood flooring. Constr. Build. Mater. 2025, 473, 140977. [Google Scholar] [CrossRef]
  14. Chen, X.; Li, C.; Yang, Q. Adaptive finite-time fan-coil outlet wind temperature control for the ASHPAC system. Front. Energy Res. 2022, 10, 954351. [Google Scholar] [CrossRef]
  15. Fedorczak-Cisak, M.; Kowalska-Koczwara, A.; Buda-Chowaniec, A.; Dechnik, M.; Ciuła, M.; Shymanska, A. Fan Coil Unit Influence on Thermal Comfort in Waiting Areas of Energy-Efficient Office Buildings. Energies 2025, 18, 6187. [Google Scholar] [CrossRef]
  16. Sekhar, S.C. Space temperature difference, cooling coil and fan-Energy and indoor air quality issues revisited. Energy Build. 2005, 37, 49–54. [Google Scholar] [CrossRef]
  17. Yang, Z.; Yang, M.; Luo, B.; Zhang, Y.; Shi, W. Performance and indoor environment study of convective-radiant coupled terminals: Insights from start-up and steady-state control modes. Build. Environ. 2025, 279, 113058. [Google Scholar] [CrossRef]
  18. Yang, Z.; Chi, J.; Luo, B.; Liu, S.; Zhao, B.; Li, Y.; Sun, H.; Lin, B.; Shi, W. Analyzing excess heat factors of convective/radiant terminals: Balancing beginning and steady stage. J. Build. Eng. 2024, 84, 108576. [Google Scholar] [CrossRef]
  19. Wu, Y.; Li, S.; Li, Y.; Sun, H.; Lin, B.; Liu, X.; Duan, M.; Zhou, Z. A novel convective-radiant personalized environmental control system for intermittent heating demand. Build. Simul. 2025, 18, 1355–1376. [Google Scholar] [CrossRef]
  20. Tang, C.; Liang, T.; Nong, G. Impacts of convection on the thermal performance of radiant heating system with novel dry radiant module. Build. Environ. 2023, 238, 110370. [Google Scholar] [CrossRef]
  21. Atienza Márquez, A.; Cejudo López, J.M.; Fernández Hernández, F.; Domínguez Muñoz, F.; Carrillo Andrés, A. A comparison of heating terminal units: Fan-coil versus radiant floor, and the combination of both. Energy Build. 2017, 138, 621–629. [Google Scholar] [CrossRef]
  22. Dong, J.; Zheng, W.; Ran, Z.; Zhang, B. Experimental investigation on heating performance of a novel radiant-convective heating terminal. Renew. Energy 2021, 164, 804–814. [Google Scholar] [CrossRef]
  23. Zhu, X.; Wang, H.; Han, X.; Zheng, C.; Liu, J.; Cheng, Y. Experimental study on the operating characteristic of a combined radiant floor and fan coil heating system: A case study in a cold climate zone. Energy Build. 2023, 291, 113087. [Google Scholar] [CrossRef]
  24. Hu, B.; Wang, R.Z.; Xiao, B.; He, L.; Zhang, W.; Zhang, S. Performance evaluation of different heating terminals used in air source heat pump system. Int. J. Refrig. 2019, 98, 274–282. [Google Scholar] [CrossRef]
  25. Bae, S.; Nam, Y.; Choi, J.-H. Comparative analysis of system performance and thermal comfort for an integrated system with PVT and GSHP considering two load systems: Convective heating and radiant floor heating. Energies 2020, 13, 5524. [Google Scholar] [CrossRef]
  26. Chen, Q.; Li, N. Energy, emissions, economic analysis of air-source heat pump with radiant heating system in hot-summer and cold-winter zone in China. Energy Sustain. Dev. 2022, 70, 10–22. [Google Scholar] [CrossRef]
  27. Kayaci, N. Energy and exergy analysis and thermo-economic optimization of the ground source heat pump integrated with radiant wall panel and fan-coil unit with floor heating or radiator. Renew. Energy 2020, 160, 333–349. [Google Scholar] [CrossRef]
  28. Wu, Y.; Wang, W.; Sun, Y.; Cui, Y.; Lin, Y.; Deng, S. Development of evaluation indexes for assessing the regional operating performances of air source heat pump (ASHP) units operated in different climate regions based on the equivalent temperature drop method. Energy Build. 2021, 247, 111111. [Google Scholar] [CrossRef]
  29. Yang, Z.; Xiao, H.; Shi, W.; Zhang, M.; Wang, B. Analysis and determination of a seasonal performance evaluation for air source heat pumps. J. Build. Eng. 2021, 43, 102574. [Google Scholar] [CrossRef]
  30. Nagy, R.; Krídlová Burdová, E.; Harčárová, K.; Vilčeková, S. Influence of the Heating System on the Indoor Environmental Quality—Case Study. Buildings 2022, 12, 1088. [Google Scholar] [CrossRef]
  31. Zou, C.; Li, B.; Wang, X.; Liu, S. Research on indoor dynamic temperature based on circulating water heating. Energy Rep. 2023, 10, 1091–1098. [Google Scholar] [CrossRef]
  32. Ma, S.; Liu, W.; Dong, J.; Liu, J.; Wang, Z. Indoor thermal environment in a rural dwelling heated by air-source heat pump air-conditioner. Sustain. Energy Technol. Assess. 2022, 51, 101948. [Google Scholar] [CrossRef]
  33. ISO 7730:2025; Ergonomics of the Thermal Environment-Analytical Determination and Interpretation of Thermal Comfort Using Calculation of the PMV and PPD Indices and Local Thermal Comfort Criteria. BSI Standards Limited: London, UK, 2025.
  34. GB 50736-2012; Design Code for Heating Ventilation and Air Conditioning of Civil Buildings. China Architecture & Building Press: Beijing, China, 2012.
  35. JGJ 142-2012; Technical Specification for Radiant Heating and Cooling. China Architecture & Building Press: Beijing, China, 2012.
  36. Chesser, M.; Lyons, P.; O’Reilly, P.; Carroll, P. Air source heat pump in-situ performance. Energy Build. 2021, 251, 111365. [Google Scholar] [CrossRef]
  37. Han, D.; Chang, Y.S.; Kim, Y. Performance analysis of air source heat pump system for office building. J. Mech. Sci. Technol. 2016, 30, 5257–5268. [Google Scholar] [CrossRef]
Figure 1. The coupled heat transfer mechanisms in an RF + FCU-equipped room.
Figure 1. The coupled heat transfer mechanisms in an RF + FCU-equipped room.
Buildings 16 01325 g001
Figure 2. Laboratory model: (a) plan view; (b) 3D perspective view.
Figure 2. Laboratory model: (a) plan view; (b) 3D perspective view.
Buildings 16 01325 g002
Figure 3. Schematic of combined heating system.
Figure 3. Schematic of combined heating system.
Buildings 16 01325 g003
Figure 4. Layout of indoor air temperature and RH measurement points: (a) horizontal arrangement; (b) field view.
Figure 4. Layout of indoor air temperature and RH measurement points: (a) horizontal arrangement; (b) field view.
Buildings 16 01325 g004
Figure 5. Outdoor air temperature (a) and RH profiles (b).
Figure 5. Outdoor air temperature (a) and RH profiles (b).
Buildings 16 01325 g005
Figure 6. Vertical indoor temperature profiles under various supply water temperatures: (a) 35 °C; (b) 37 °C; (c) 39 °C; (d) 41 °C; (e) 43 °C; (f) 45 °C.
Figure 6. Vertical indoor temperature profiles under various supply water temperatures: (a) 35 °C; (b) 37 °C; (c) 39 °C; (d) 41 °C; (e) 43 °C; (f) 45 °C.
Buildings 16 01325 g006
Figure 7. Vertical indoor RH profiles over time under various supply water temperature conditions: (a) 35 °C; (b) 37 °C; (c) 39 °C; (d) 41 °C; (e) 43 °C; (f) 45 °C.
Figure 7. Vertical indoor RH profiles over time under various supply water temperature conditions: (a) 35 °C; (b) 37 °C; (c) 39 °C; (d) 41 °C; (e) 43 °C; (f) 45 °C.
Buildings 16 01325 g007aBuildings 16 01325 g007b
Figure 8. Temporal profiles of average indoor air temperature and RH under various supply water temperature conditions: (a) average indoor air temperature; (b) average indoor RH.
Figure 8. Temporal profiles of average indoor air temperature and RH under various supply water temperature conditions: (a) average indoor air temperature; (b) average indoor RH.
Buildings 16 01325 g008
Figure 9. FST profiles at different measurement locations under various supply water temperatures: (a) 35 °C; (b) 37 °C; (c) 39 °C; (d) 41 °C; (e) 43 °C; (f) 45 °C.
Figure 9. FST profiles at different measurement locations under various supply water temperatures: (a) 35 °C; (b) 37 °C; (c) 39 °C; (d) 41 °C; (e) 43 °C; (f) 45 °C.
Buildings 16 01325 g009aBuildings 16 01325 g009b
Figure 10. Average floor surface temperature profiles under various supply water temperatures.
Figure 10. Average floor surface temperature profiles under various supply water temperatures.
Buildings 16 01325 g010
Figure 11. ASHP power input profiles during the start-up phase under various supply water temperatures.
Figure 11. ASHP power input profiles during the start-up phase under various supply water temperatures.
Buildings 16 01325 g011
Figure 12. ASHP unit power input profiles after the initial stage under various supply water temperatures: (a) 35 °C; (b) 37 °C; (c) 39 °C; (d) 41 °C; (e) 43 °C; (f) 45 °C.
Figure 12. ASHP unit power input profiles after the initial stage under various supply water temperatures: (a) 35 °C; (b) 37 °C; (c) 39 °C; (d) 41 °C; (e) 43 °C; (f) 45 °C.
Buildings 16 01325 g012
Figure 13. Supply and return water temperature profiles under various supply water temperature conditions: (a) 35 °C; (b) 37 °C; (c) 39 °C; (d) 41 °C; (e) 43 °C; (f) 45 °C.
Figure 13. Supply and return water temperature profiles under various supply water temperature conditions: (a) 35 °C; (b) 37 °C; (c) 39 °C; (d) 41 °C; (e) 43 °C; (f) 45 °C.
Buildings 16 01325 g013
Figure 14. The ASHP unit COP during steady-state operation under different supply water temperature conditions.
Figure 14. The ASHP unit COP during steady-state operation under different supply water temperature conditions.
Buildings 16 01325 g014
Table 1. Building envelope and dimensional parameters of laboratory.
Table 1. Building envelope and dimensional parameters of laboratory.
ParameterMaterial Thermal Transmittance
[W/(m2·K)]
L × W × HDimensions
(mm)
External wallLime mortar + Aerated concrete0.71
Internal wallCement mortar + Heavy clay masonry1.76
External windowLow-E glass (6 + 12A + 6)2.3W × H2900 × 1000
External doorWooden external door
Internal doorWooden internal doorW × H1000 × 2100
Ground floor slabCement mortar + Reinforced concrete2.48
Ceiling slabCement mortar + Reinforced concrete2.61
Internal dimensions L × W × H5500 × 4500 × 2500
Table 2. Technical specifications of ASHP outdoor unit.
Table 2. Technical specifications of ASHP outdoor unit.
Rated Heating Power
Input (W)
Heating Capacity
(kW)
COP/IPLVMaximum Power
Input (W)
Refrigerant/Charge Amount
27008.92.96/4.305000R410A/2 kg
Table 3. Technical specifications of fan coil unit.
Table 3. Technical specifications of fan coil unit.
Airflow Rate
(m3/h)
Power Input
(W)
Cooling Capacity
(kW)
Heating Capacity
(kW)
Power Supply
Specifications
680564.46.98220 V~50 Hz
Table 4. Summary of experimental operating conditions.
Table 4. Summary of experimental operating conditions.
Case No.Supply Water
Temperature
Room Setpoint
Temperature
Operating Scheme
145 °C20 °CCombined (FCU + RF)
Flow rate: 1.3 m3/h
Duration: 09:00 to 17:00
243 °C20 °C
341 °C20 °C
439 °C20 °C
537 °C20 °C
635 °C20 °C
Table 5. Technical specifications of experimental instruments.
Table 5. Technical specifications of experimental instruments.
Measurement SensorsModelMeasuring RangeAccuracy
Temperature and relative humidity sensorHOBO UX100-011−20–70 °C;
1–95% RH
±0.21 °C;
RH: ±2.5%
Data recorderMR4300−50–200 °C±0.1 °C
Digital power meterHIOKI 3169-20150 V–600 V;
100 A–1 kA
±(0.2% of reading + 0.1% of full scale)
Table 6. Summary of key parameters under different test conditions.
Table 6. Summary of key parameters under different test conditions.
Case No.Supply Water Temp. (°C)Avg. Outdoor Temp. (°C)Avg. Indoor Temp. (°C)Peak Power
(W)
Supply–Return Temp. Diff. Range (°C)Avg. COP
1357.8518.6719491.5–2.12.53
2376.8519.0724711.4–2.72.48
3398.2819.3025961.5–2.62.43
4417.3519.9428661.7–3.52.37
5438.1020.2129011.9–3.62.33
6457.6919.7430222.3–3.52.32
Disclaimer/Publisher’s Note: The statements, opinions and data contained in all publications are solely those of the individual author(s) and contributor(s) and not of MDPI and/or the editor(s). MDPI and/or the editor(s) disclaim responsibility for any injury to people or property resulting from any ideas, methods, instructions or products referred to in the content.

Share and Cite

MDPI and ACS Style

Chen, Z.; Zeng, C.; Lu, J.; Liu, E. Experimental Investigation of Dynamic Operation and Performance Limits of ASHP-Driven Radiant Floor and Fan Coil Heating System. Buildings 2026, 16, 1325. https://doi.org/10.3390/buildings16071325

AMA Style

Chen Z, Zeng C, Lu J, Liu E. Experimental Investigation of Dynamic Operation and Performance Limits of ASHP-Driven Radiant Floor and Fan Coil Heating System. Buildings. 2026; 16(7):1325. https://doi.org/10.3390/buildings16071325

Chicago/Turabian Style

Chen, Zuo, Cheng Zeng, Jun Lu, and Enhao Liu. 2026. "Experimental Investigation of Dynamic Operation and Performance Limits of ASHP-Driven Radiant Floor and Fan Coil Heating System" Buildings 16, no. 7: 1325. https://doi.org/10.3390/buildings16071325

APA Style

Chen, Z., Zeng, C., Lu, J., & Liu, E. (2026). Experimental Investigation of Dynamic Operation and Performance Limits of ASHP-Driven Radiant Floor and Fan Coil Heating System. Buildings, 16(7), 1325. https://doi.org/10.3390/buildings16071325

Note that from the first issue of 2016, this journal uses article numbers instead of page numbers. See further details here.

Article Metrics

Article metric data becomes available approximately 24 hours after publication online.
Back to TopTop