Axial Compressive Behavior of SCS Composite Wall Members for Wind Turbine Towers: Numerical Investigation and Performance Evaluation
Abstract
1. Introduction
2. Experimental Investigation
2.1. Specimen Design
2.2. Test Setup and Measurement
2.3. Test Results
3. Finite Element Analysis of Curved Composite Wall
3.1. Constitutive Relationship of Materials
3.2. Element Type and Meshing
3.3. Interactions and Boundary Conditions
3.4. Validation of FE Models
3.4.1. Comparison of Failure Modes
3.4.2. Comparison of Load–Displacement Curves
3.5. Parameter Analysis by FE Simulation
3.5.1. Effect of the Steel Plate Thickness
3.5.2. Effect of the Steel Plate Strength
3.5.3. Effect of the Bolt Diameter
3.5.4. Effect of the Concrete Strength
4. Finite Element Analysis of SCS Composite Tower
4.1. Model of the SCS Composite Tower
4.2. Effect of the Connector Spacing
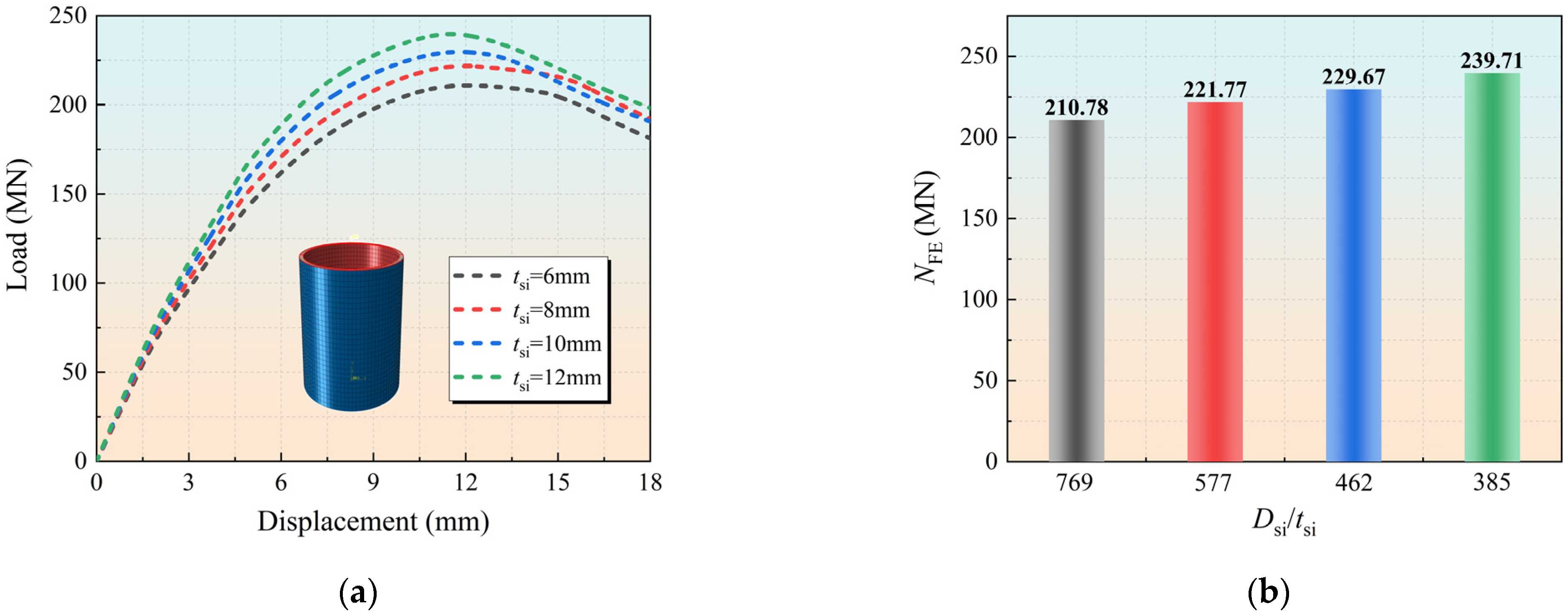
4.3. Effect of the Inner Steel Plate Thickness
5. Compressive Bearing Capacity of SCS Composite Tower
5.1. T/CCES 7–2020
5.2. Modified Method Based on Composite Action
6. Conclusions
- (1)
- Compressive failure was governed by local buckling of the steel plates between adjacent connectors. A higher connector density enhanced composite action and improved buckling resistance.
- (2)
- Numerical models were established and validated against experimental results. Parametric analysis indicated that increasing the bolt diameter from 16 mm to 12 mm, 20 mm and 24 mm enhanced the ultimate load by −2.95%, +3.09% and +6.58%, respectively.
- (3)
- Full-section numerical analysis revealed that reducing bolt spacing significantly increased ultimate capacity, although the incremental benefit decreased as spacing became smaller, indicating a saturation effect in connector-induced confinement.
- (4)
- A calculation method for evaluating the axial bearing capacity of SCS composite towers incorporating confinement effects was proposed. The predicted values agreed well with experimental and numerical data, with a mean ratio of 0.95 and a coefficient of variation of 0.03.
- (5)
- The parametric results were based on validated yet idealized finite element models. Therefore, the quantitative trends should be interpreted within the modeling assumptions. Future studies should include large-scale validation and long-term performance assessment to further support practical wind turbine tower applications.
Author Contributions
Funding
Data Availability Statement
Conflicts of Interest
References
- Kadhim, M.A.; Phing, C.C.; Wai, L.C.; Paw, J.K.S.; Tak, Y.C.; Kadirgama, K.; Kadhim, A.A. Performance study of low-speed wind energy harvesting by micro wind turbine system. Energy Rep. 2025, 13, 3712–3727. [Google Scholar] [CrossRef]
- Jiang, Z.Y. Installation of offshore wind turbines: A technical review. Renew. Sustain. Energy Rev. 2021, 139, 110576. [Google Scholar] [CrossRef]
- Gurjar, A.; Sarkar, A.; Ghoshal, R. Torus Hull Articulated Tower for offshore wind turbines. Ocean Eng. 2024, 308, 118291. [Google Scholar] [CrossRef]
- Wang, F.W.; Zhou, K.M.; Ke, S.T. Research on dynamic load carrying capacity of assembled internal stiffening wind turbine tower based on multi-scale modeling. Adv. Steel Constr. 2023, 19, 86–90. [Google Scholar] [CrossRef]
- Jiang, J.L.; Jeong, H.K.; Dou, H.Y. Study on the Structural Strength Assessment of Mega Offshore Wind Turbine Tower. Energies 2025, 18, 69. [Google Scholar] [CrossRef]
- Huang, X.G.; Li, B.K.; Zhou, X.H.; Wang, Y.H.; Zhu, R.H. Geometric optimisation analysis of Steel-Concrete hybrid wind turbine towers. Structures 2022, 35, 1125–1137. [Google Scholar] [CrossRef]
- Cheng, Y.; Zhao, Y.N.; Qi, H.T.; Zhou, X.H. Intelligent optimal design of steel-concrete hybrid wind turbine tower based on evolutionary algorithm. J. Constr. Steel Res. 2024, 218, 108729. [Google Scholar] [CrossRef]
- Xu, J.; He, Z.Y.; Wang, D.; He, G.L.; Wu, Q.; Zhang, Z.L. Nonlinear dynamic response analyses of Onshore Wind Turbines with Steel-Concrete Hybrid Tower using a co-simulation approach. Renew. Energy 2025, 243, 122475. [Google Scholar] [CrossRef]
- Wang, Y.H.; Zhou, X.H.; Yang, L.; Zhang, L.X.; Ren, W.; Bai, J.L.; Wang, K. Current Status and Development Trend of Supporting Structures for Wind Turbines. Steel Constr. 2024, 39, 1–13. (In Chinese) [Google Scholar] [CrossRef]
- Li, Z.Y.; Xu, B.; Wang, J.; Chen, H.B.; Ge, H.B. Experimental and two-scale numerical studies on the behavior of prestressed concrete-steel hybrid wind turbine tower models. Eng. Struct. 2023, 279, 115622. [Google Scholar] [CrossRef]
- Tan, J.K.; Zheng, W.L.; Zhou, Y.; Wang, Y.H.; Li, Y.E.; Jin, S.S. Study on the compression-bending capacity of horizontal joints in prestressed concrete towers for wind turbines. Structures 2025, 72, 108292. [Google Scholar] [CrossRef]
- Tan, J.K.; Zheng, W.L.; Wang, Y.H.; Su, M.N.; Zhao, L.; Zhang, Y.H.; Feng, Y.; Chen, D.X. Finite element modelling and design of concrete wind turbine towers subjected to combined compression and bending. Structures 2025, 77, 108811. [Google Scholar] [CrossRef]
- Chen, C.; Shen, X.J.; Zhou, Z.; Hua, X.G. Feasibility study of a steel-UHPFRC hybrid tower for offshore wind turbines. Ocean Eng. 2023, 288, 116140. [Google Scholar] [CrossRef]
- Ma, Z.Q.; Li, H.; Su, T.; Wu, T.Y.; Li, J.Q.; Zhu, J. Flexural Behavior of One-Way Lightweight UHPC-NC Superimposed Sandwich Slabs. Buildings 2026, 16, 641. [Google Scholar] [CrossRef]
- Zhou, Z.; Chen, C.; Shen, X.J.; Zhou, X.H.; Hua, X.G. Conceptual design of a prestressed precast UHPC-steel hybrid tower to support a 15 MW offshore wind turbine. Eng. Struct. 2024, 321, 118939. [Google Scholar] [CrossRef]
- Duan, L.X.; Wang, W.D.; Zheng, L.; Shi, Y.L. Dynamic response analysis of monopile CFDST wind turbine tower system under wind-wave-seismic coupling action. Thin-Walled Struct. 2024, 202, 112089. [Google Scholar] [CrossRef]
- Shi, Y.L.; Zheng, L.; Xian, W.; Wang, W.D.; Huang, W.H. Shear performance of circular and rectangular concrete-filled double-skin steel tubes (CFDSTs). J. Constr. Steel Res. 2025, 229, 109542. [Google Scholar] [CrossRef]
- Guo, L.; Wang, W.Q.; Shen, Q.H. Numerical and analytical performance of tapered CFDST column under cyclic loading for wind turbine structures. J. Constr. Steel Res. 2024, 223, 109038. [Google Scholar] [CrossRef]
- Yang, Y.F.; Fu, F.; Bie, X.M.; Dai, X.H. Axial compressive behaviour of CFDST stub columns with large void ratio. J. Constr. Steel Res. 2021, 186, 106892. [Google Scholar] [CrossRef]
- Ayough, P.; Ibrahim, Z.; Sulong, N.H.R.; Ganasan, R.; Ghayeb, H.H.; Elchalakani, M. Experimental and numerical investigations into the compressive behaviour of circular concrete-filled double-skin steel tubular columns with bolted shear studs. Structures 2022, 46, 880–898. [Google Scholar] [CrossRef]
- Ayough, P.; Ibrahim, Z.; Jameel, M.; Alnahhal, A.M. Axial compression behaviour of circular concrete-filled double-skin steel tubular columns with bolted shear studs: Numerical investigation and design. J. Constr. Steel Res. 2023, 205, 107911. [Google Scholar] [CrossRef]
- Shi, Y.L.; Ji, S.H.; Wang, W.D.; Xian, W.; Fan, J.H. Axial compressive behaviour of tapered CFDST stub columns with large void ratio. J. Constr. Steel Res. 2022, 191, 107206. [Google Scholar] [CrossRef]
- Zhang, D.L.; Li, W.; Fu, K.; Li, T.H.; Deng, R.; Wang, Y.H. Ultimate compressive capacity of tapered concrete-filled double skin steel tubular stub columns with large hollow ratio. J. Constr. Steel Res. 2022, 196, 107356. [Google Scholar] [CrossRef]
- Li, B.F.; Wang, X.T.; Xie, C.D.; Yan, X.F.; Wang, S. Compressive behaviour and design of tapered lightweight concrete-filled double-skin stiffened steel tubular short columns with large hollow ratio. Structures 2024, 64, 106527. [Google Scholar] [CrossRef]
- Zhu, W.Q.; Wang, J.Y.; Liu, Y.J.; Sun, L.P. Experimental study on axial compressive behavior of concrete-filled double-skin thin-walled steel box columns with and without PBL. Structures 2023, 47, 1927–1939. [Google Scholar] [CrossRef]
- Jin, K.Y.; Zhou, X.H.; Wen, H.; Deng, R.; Li, R.F.; Wang, Y.H. Compressive behaviour of stiffened thin-walled CFDST columns with large hollow ratio. J. Constr. Steel Res. 2023, 205, 107886. [Google Scholar] [CrossRef]
- Jin, K.Y.; Zhou, X.H.; Ren, W.; Wang, Y.H.; Li, R.F. Axial compressive behavior of concrete-filled double skin steel tubular columns with different stiffening constructions for wind turbine towers. Structures 2024, 63, 106390. [Google Scholar] [CrossRef]
- Yan, J.B.; Fan, J.S.; Ding, R.; Nie, X. Steel-concrete-steel sandwich composite structures: A review. Eng. Struct. 2024, 302, 117449. [Google Scholar] [CrossRef]
- Wang, Y.T.; Khan, M.; Uy, B.; Katwal, U.; Tao, Z.; Thai, H.T.; Ngo, T. Long-term performance of steel-concrete composite wall panels under axial compression. Structures 2024, 64, 106606. [Google Scholar] [CrossRef]
- Wang, Y.T.; Khan, M.; Uy, B.; Lim, L.; Thai, H.T.; Ngo, T. Behaviour, design and performance of steel-concrete composite walls in fire. J. Constr. Steel Res. 2025, 227, 109408. [Google Scholar] [CrossRef]
- Guo, Y.T.; Nie, X.; Tao, M.X.; Qiu, S.Y.; Tang, L.; Fan, J.S. Bending Capacity of Steel-Concrete-Steel Composite Structures Considering Local Buckling and Casting Imperfection. J. Struct. Eng. 2019, 145, 04019102. [Google Scholar] [CrossRef]
- Guo, Y.T.; Chen, J.; Nie, X.; Tao, M.X.; Wang, J.J.; Fan, J.S. Investigation of the shear resistances of steel-concrete-steel composite structures with bidirectional webs. J. Constr. Steel Res. 2020, 164, 105846. [Google Scholar] [CrossRef]
- Zhao, H.Y.; Chen, W.L.; Liu, S.; Ding, R.; Fan, J.S.; Nie, X.; Cui, B. Research on the compression-bending behavior of concrete-filled double-steel-plate composite bridge towers. J. Constr. Steel Res. 2024, 221, 108871. [Google Scholar] [CrossRef]
- Wang, J.; Yan, J.B.; Wang, T.; Liu, Q.F.; Zhang, L.X. Behaviour of steel-concrete-steel sandwich walls with EC connectors under out-of-plane patch loads. Eng. Struct. 2021, 238, 112257. [Google Scholar] [CrossRef]
- Wang, Y.H.; Wang, S.Q.; Zhou, X.H.; Tan, J.K.; Wang, K.; Gui, D.Y. Research on buckling bearing capacity of steel plate in steel-concrete composite tower. J. Build. Struct. 2021, 42, 419–426. (In Chinese) [Google Scholar] [CrossRef]
- Guo, L.; Liu, C.; Gao, S.; Yu, Y. Axial compressive behaviors of the curved steel-plate composite walls with small curvature radius-to-section thickness ratio. Eng. Struct. 2025, 326, 119505. [Google Scholar] [CrossRef]
- Wang, H.F.; Mao, X.Y.; Gu, Q.; Ding, X.Y.; Dong, J.L.; Wu, N.; Qi, Y. Experimental Study on the Cyclic Behavior of Composite Plate Shear Walls–Concrete Encased. Buildings 2026, 16, 657. [Google Scholar] [CrossRef]
- GB/T 50081; Standard for Test Methods of Concrete Physical and Mechanical Properties. China Architecture & Building Press: Beijing, China, 2019. (In Chinese)
- GB/T 228; Metallic Material-Tensile Testing-Part 1: Method of Test at Room Temperature. Standards Press of China: Beijing, China, 2021. (In Chinese)
- Zhang, S.C.; Yang, Y.; Liu, X.Y.; Liu, G.J.; Xu, J.H. Study on axial compression performance of curved steel-concrete-steel composite wall of wind turbine tower. Structures 2025, 75, 108794. [Google Scholar] [CrossRef]
- ABAQUS. ABAQUS/Standard, version 6.11; ABAQUS Inc.: Pawtucket, RI, USA, 2018.
- Ding, F.X.; Wang, W.J.; Lu, D.R.; Liu, X.M. Study on the behavior of concrete-filled square double-skin steel tubular stub columns under axial loading. Structures 2020, 23, 665–676. [Google Scholar] [CrossRef]
- Liu, J.; Yu, W.Z.; Zhang, T.; Xiong, X. Axial behavior of round-ended section concrete-filled steel tube columns with localized corrosion. Struct. Concr. 2025, 1–26. [Google Scholar] [CrossRef]
- Chen, J.; Zhang, M.; Zhu, H.X.; Xu, F.; Shao, Z.J.; Ding, F.X.; Xiang, P. Study on mechanical properties of wind turbine tower reinforced by ribbed interlayer. J. Constr. Steel Res. 2024, 212, 108256. [Google Scholar] [CrossRef]
- Han, L.H.; Tao, Z.; Huang, H.; Zhao, X.L. Concrete-filled double skin (SHS outer and CHS inner) steel tubular beam-columns. Thin-Walled Struct. 2004, 42, 1329–1355. [Google Scholar] [CrossRef]
- Han, L.H.; Yao, G.H.; Tao, Z. Performance of concrete-filled thin-walled steel tubes under pure torsion. Thin-Walled Struct. 2007, 45, 24–36. [Google Scholar] [CrossRef]
- Chen, J.; Zhao, S.Q.; Zhang, Y.; Tan, X.Y.; Zhang, B. Axial compressive performance of composite cylinder wall members in steel-concrete towers designed for wind turbines. J. Constr. Steel Res. 2024, 221, 108908. [Google Scholar] [CrossRef]
- Yu, Y.; Shi, J.; Cai, L.J.; Guo, L.H. Study on buckling behavior of steel plate in double-skin steel plate concrete composite walls under compression. Prog. Steel Build. Struct. 2024, 26, 37–45. (In Chinese) [Google Scholar] [CrossRef]
- Zhang, S.C.; Yang, Y.; Xu, L.K.; Ma, Y.K.; Liu, G.J.; Hernandez Gadea, S.E. Behavior of RCFST columns stiffened with T–shaped PBL connectors under axial and eccentric compression: Experiment and numerical simulation. J. Build. Eng. 2026, 118, 115060. [Google Scholar] [CrossRef]
- T/CCES 7-2020; Technical Specification for Concrete-Filled Double Skin Steel Tubular Structures. China Architecture & Building Press: Beijing, China, 2020. (In Chinese)
- Jin, K.Y.; Zhou, X.H.; Ji, W.D.; Deng, R.; Wang, Y.H.; Ren, W. Experimental study of large-scale stiffened thin-walled CFDST columns under aixal compression. Eng. Struct. 2023, 291, 116418. [Google Scholar] [CrossRef]



















| Specimens * | Connector Type | h (mm) | Ro (mm) | Ri (mm) | ts (mm) | Sb (mm) | Ss (mm) | λ | fcu,ave (MPa) |
|---|---|---|---|---|---|---|---|---|---|
| SCS–B–1 | Bolts | 1200 | 2600 | 2400 | 8 | 300 | / | 37.5 | 48.22 |
| SCS–BS–1 | Bolts and studs | 1200 | 2600 | 2400 | 8 | 600 | 300 | 37.5 | 46.95 |
| SCS–BS–2 | Bolts and studs | 1200 | 2600 | 2400 | 8 | 500 | 250 | 31.25 | 48.22 |
| SCS–BS–3 | Bolts and studs | 1200 | 2600 | 2400 | 8 | 400 | 200 | 25 | 48.22 |
| SCS–BT–1 | Bolts and T-ribs | 1200 | 2600 | 2400 | 8 | 600 | / | 75 | 46.95 |
| Components | Material | Thickness h (mm) | Yield Strength fy (MPa) | Ultimate Strength fu (MPa) | Elasticity Modulus Es (MPa) |
|---|---|---|---|---|---|
| Steel plate | Q355 | 8 | 332 | 473 | 1.96 × 105 |
| T-ribs | Q355 | 6 | 338 | 485 | 1.96 × 105 |
| Studs | Q355 | / | 390 | 537 | 2.06 × 105 |
| Bolts | G8.8 | / | 480 | 630 | 2.10 × 105 |
| Specimens | SCS–B–1 | SCS–BS–1 | SCS–BS–2 | SCS–BS–3 | SCS–BT–1 |
|---|---|---|---|---|---|
| Nexp (kN) | 16,096 | 14,721 | 16,959 | 17,331 | 15,867 |
| Nb (kN) | 15,956 | 13,793 | 16,556 | 17,073 | 13,538 |
| N0.3 (kN) | 4829 | 4416 | 5088 | 5199 | 4760 |
| Δ0.3 (mm) | 0.56 | 0.51 | 0.58 | 0.61 | 0.54 |
| K (kN/mm) | 8623 | 8659 | 8772 | 8523 | 8815 |
| Specimens | SCS–B–1 | SCS–BS–1 | SCS–BS–2 | SCS–BS–3 | SCS–BT–1 | Average Value | Coefficient of Variation |
| Nexp (kN) | 16,096 | 14,721 | 16,959 | 17,331 | 15,867 | ||
| NFE (kN) | 16,520 | 16,270 | 16,493 | 16,999 | 16,837 | ||
| NFE/Nexp | 1.03 | 1.11 | 0.97 | 0.98 | 1.06 | 1.03 | 0.05 |
| Specimens | Connector Type | ts (mm) | S (mm) | S/ts | db (mm) | fy (MPa) | fcu (MPa) | NFE (kN) | Relative Error * |
|---|---|---|---|---|---|---|---|---|---|
| SCS–B–1 | Bolts | 8 | 300 | 37.5 | 16 | 332 | 48 | 16,520 | / |
| W–1–1 | Bolts | 10 | 300 | 30.0 | 16 | 332 | 48 | 18,175 | 10.02% |
| W–1–2 | Bolts | 12 | 300 | 25.0 | 16 | 332 | 48 | 19,778 | 19.72% |
| W–1–3 | Bolts | 14 | 300 | 21.4 | 16 | 332 | 48 | 21,477 | 30.01% |
| W–2–1 | Bolts | 8 | 300 | 37.5 | 16 | 390 | 48 | 17,421 | 5.45% |
| W–2–2 | Bolts | 8 | 300 | 37.5 | 16 | 420 | 48 | 17,885 | 8.26% |
| W–2–3 | Bolts | 8 | 300 | 37.5 | 16 | 460 | 48 | 18,498 | 11.97% |
| W–3–1 | Bolts | 8 | 300 | 37.5 | 12 | 332 | 48 | 16,033 | −2.95% |
| W–3–2 | Bolts | 8 | 300 | 37.5 | 20 | 332 | 48 | 17,031 | 3.09% |
| W–3–3 | Bolts | 8 | 300 | 37.5 | 24 | 332 | 48 | 17,607 | 6.58% |
| W–4–1 | Bolts | 8 | 300 | 37.5 | 16 | 332 | 60 | 18,723 | 13.34% |
| W–4–2 | Bolts | 8 | 300 | 37.5 | 16 | 332 | 70 | 20,549 | 24.39% |
| W–4–3 | Bolts | 8 | 300 | 37.5 | 16 | 332 | 80 | 22,601 | 36.81 |
| Number | Connector Type | tsi (mm) | Sh (mm) | S/ts | Dsi (mm) | Dsi/tsi | NFE (MN) |
|---|---|---|---|---|---|---|---|
| T–0 | Bolts | 8 | / | 4616 | 577 | 190.64 | |
| T–s–1 | Bolts | 8 | 500 | 62.50 | 4616 | 577 | 221.77 |
| T–s–2 | Bolts | 8 | 300 | 37.50 | 4616 | 577 | 228.86 |
| T–s–3 | Bolts | 8 | 250 | 32.25 | 4616 | 577 | 232.18 |
| T–t–1 | Bolts | 6 | 500 | 83.33 | 4616 | 769 | 210.78 |
| T–t–2 | Bolts | 10 | 500 | 50.00 | 4616 | 462 | 229.67 |
| T–t–3 | Bolts | 12 | 500 | 41.67 | 4616 | 385 | 239.71 |
| Number | Nexp (kN) | NFE (kN) | Ncal1 (kN) | Ncal1/NFE (Nexp) | Ncal2 (kN) | Ncal2/NFE (Nexp) |
|---|---|---|---|---|---|---|
| SCS–B–1 | 16,096 | / | 12,651 | 0.79 | 15,347 | 0.95 |
| SCS–BS–1 | 14,721 | / | 12,478 | 0.85 | 14,792 | 1.00 |
| SCS–BS–2 | 16,929 | / | 12,651 | 0.75 | 15,441 | 0.91 |
| SCS–BS–3 | 17,331 | / | 12,651 | 0.73 | 16,260 | 0.94 |
| SCS–BT–1 | 15,867 | / | 12,837 | 0.81 | 14,745 | 0.93 |
| W–1–1 | / | 18,175 | 13,798 | 0.76 | 16,848 | 0.93 |
| W–1–2 | / | 19,778 | 14,945 | 0.76 | 18,358 | 0.93 |
| W–1–3 | / | 21,477 | 16,091 | 0.75 | 19,877 | 0.93 |
| W–2–1 | / | 17,421 | 13,545 | 0.78 | 16,441 | 0.94 |
| W–2–2 | / | 17,885 | 14,007 | 0.78 | 17,007 | 0.95 |
| W–2–3 | / | 18,498 | 14,624 | 0.79 | 17,761 | 0.96 |
| W–3–1 | / | 16,033 | 12,651 | 0.79 | 16,120 | 0.95 |
| W–3–2 | / | 17,031 | 12,651 | 0.74 | 17,048 | 0.97 |
| W–3–3 | / | 17,607 | 12,651 | 0.72 | 14,752 | 0.92 |
| W–4–1 | / | 18,723 | 14,252 | 0.76 | 17,234 | 0.92 |
| W–4–2 | / | 20,549 | 15,612 | 0.76 | 18,836 | 0.92 |
| W–4–3 | / | 22601 | 16,971 | 0.75 | 20,438 | 0.90 |
| T–s–1 | / | 221,766 | 190,048 | 0.86 | 218,448 | 0.99 |
| T–s–2 | / | 228,860 | 190,048 | 0.83 | 227,111 | 0.99 |
| T–s–3 | / | 232,183 | 190,048 | 0.82 | 231,443 | 1.00 |
| T–t–1 | / | 210,782 | 180,073 | 0.85 | 208,428 | 0.99 |
| T–t–2 | / | 229,669 | 200,016 | 0.87 | 228,460 | 0.99 |
| T–t–3 | / | 239,711 | 209,974 | 0.88 | 238,463 | 0.99 |
| Average value | / | 0.79 | / | 0.95 | ||
| Coefficient of variation | / | 0.06 | / | 0.03 | ||
Disclaimer/Publisher’s Note: The statements, opinions and data contained in all publications are solely those of the individual author(s) and contributor(s) and not of MDPI and/or the editor(s). MDPI and/or the editor(s) disclaim responsibility for any injury to people or property resulting from any ideas, methods, instructions or products referred to in the content. |
© 2026 by the authors. Licensee MDPI, Basel, Switzerland. This article is an open access article distributed under the terms and conditions of the Creative Commons Attribution (CC BY) license.
Share and Cite
Zhang, S.; Yang, Y.; Xu, L.; Feng, S.; Liu, G.; Hernandez Gadea, S.E. Axial Compressive Behavior of SCS Composite Wall Members for Wind Turbine Towers: Numerical Investigation and Performance Evaluation. Buildings 2026, 16, 1139. https://doi.org/10.3390/buildings16061139
Zhang S, Yang Y, Xu L, Feng S, Liu G, Hernandez Gadea SE. Axial Compressive Behavior of SCS Composite Wall Members for Wind Turbine Towers: Numerical Investigation and Performance Evaluation. Buildings. 2026; 16(6):1139. https://doi.org/10.3390/buildings16061139
Chicago/Turabian StyleZhang, Shuchen, Yong Yang, Longkang Xu, Shiqiang Feng, Gejia Liu, and Samuel Elias Hernandez Gadea. 2026. "Axial Compressive Behavior of SCS Composite Wall Members for Wind Turbine Towers: Numerical Investigation and Performance Evaluation" Buildings 16, no. 6: 1139. https://doi.org/10.3390/buildings16061139
APA StyleZhang, S., Yang, Y., Xu, L., Feng, S., Liu, G., & Hernandez Gadea, S. E. (2026). Axial Compressive Behavior of SCS Composite Wall Members for Wind Turbine Towers: Numerical Investigation and Performance Evaluation. Buildings, 16(6), 1139. https://doi.org/10.3390/buildings16061139
