Chloride-Induced Corrosion in Steel Fiber-Reinforced Cementitious Composites
Abstract
1. Introduction
2. Materials and Methods
2.1. Materials, Mix Composition and Production Process
2.2. Test Procedures
- (i)
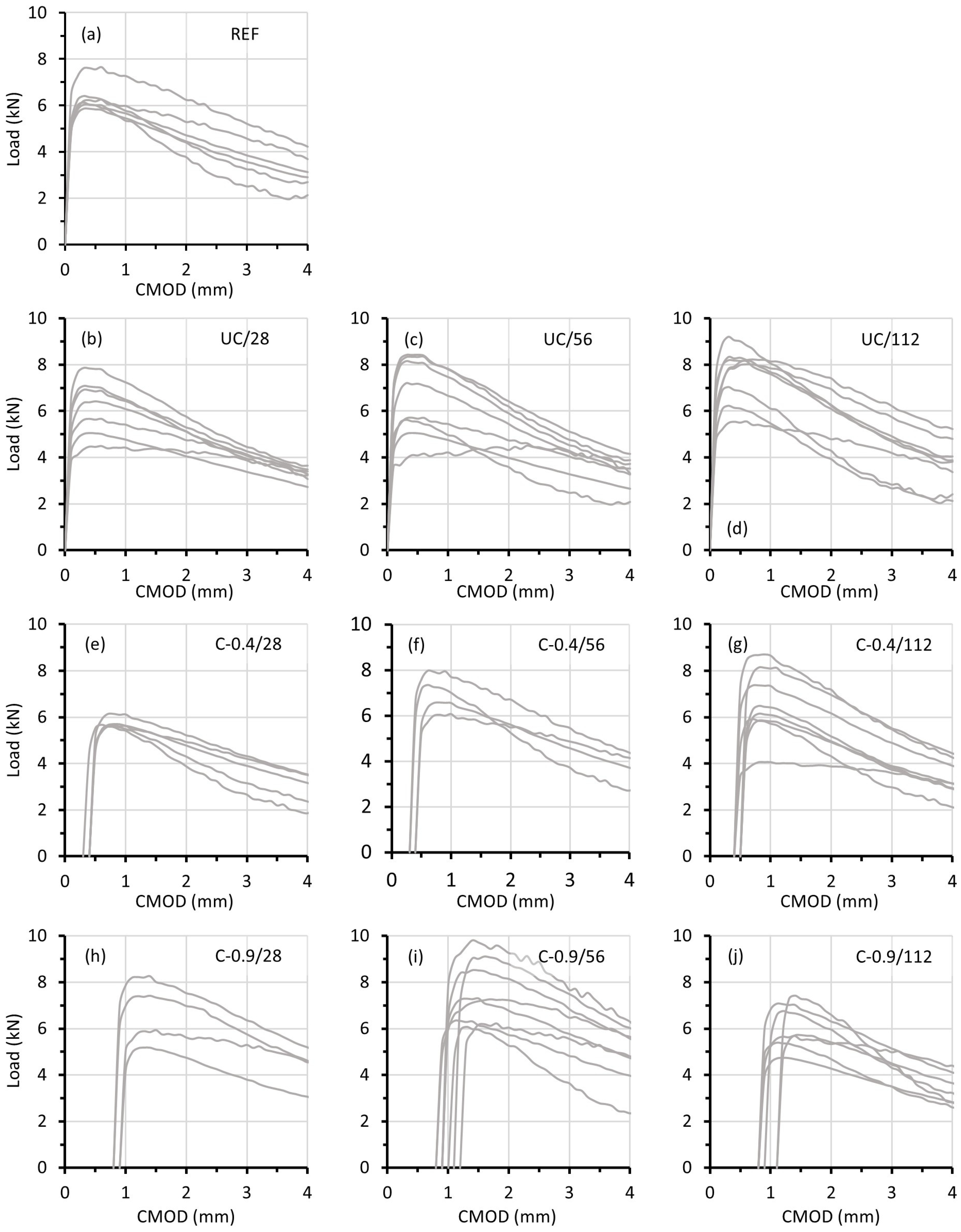
- Reference (REF): This group comprised 9 specimens, primarily designated for characterizing the tensile behavior with a 3-point bending test (see Section 2.2.4) of the SFRCC at 28 days of cement hydration.
- (ii)
- Uncracked (UC): Consisting of 27 specimens, this group was subjected to NaCl spray cycles (see Section 2.2.3) and subsequently tested after intervals of 28 (UC/28), 56 (UC/56), and 112 (UC/112) cycles.
- (iii)
- Pre-cracked (C): Comprising 54 specimens, this group was further divided into two subgroups: one in which half of the specimens were pre-cracked (see Section 2.2.2) until reaching a crack width of 0.4 mm (C-0.4), and the other half until reaching a crack width of 0.9 mm (C-0.9). Following the precracking process, these specimens were subjected to NaCl spray cycles and subsequently tested after intervals of 28 (C-0.4/28 and C-0.9/28), 56 (C-0.4/56 and C-0.9/56), and 112 (C-0.4/112 and C-0.9/112) cycles.
2.2.1. Inductive Test
2.2.2. Pre-Cracking Process
2.2.3. Salt Spray Cycles
2.2.4. 3-Point Bending Test
2.2.5. Statistical Analysis
3. Results and Discussion
4. Conclusions
- Corrosion of steel fibers in SFRCC specimens does not significantly affect the residual tensile strength when the specimen remains uncracked (UC). This aligns with literature suggesting that in intact steel fiber-reinforced elements, corrosion does not pose a significant durability issue due to the lack of connectivity between the fibers.
- Width of cracks plays a significant role in the corrosion process. For specimens an initial crack width of 0.4 mm, no significant deterioration was observed in residual tensile strength, even after prolonged exposure to salt spray cycles. In these specimens, corrosion of surface fibers may have partially sealed the cracks, hindering further ingress of aggressive agents.
- For specimens with a larger initial crack width (0.9 mm), corrosion led to a noticeable increase in residual tensile strength at early exposure times (28 and 56 cycles). This can be attributed to the increase in surface roughness of the fibers, which enhanced the bond strength with the cementitious matrix. After 112 cycles of exposure, no statistically significant differences were observed relative to the reference specimens, indicating that the beneficial effect of early corrosion was no longer present.
Author Contributions
Funding
Data Availability Statement
Acknowledgments
Conflicts of Interest
References
- Beglarigale, A.; Yazıcı, H. Electrochemical corrosion monitoring of steel fiber embedded in cement based composites. Cem. Concr. Compos. 2017, 83, 427–446. [Google Scholar] [CrossRef]
- Korec, E.; Jirásek, M.; Wong, H.S.; Martínez-Pañeda, E. Unravelling the interplay between steel rebar corrosion rate and corrosion-induced cracking of reinforced concrete. Cem. Concr. Res. 2024, 186, 107647. [Google Scholar] [CrossRef]
- Zheng, Y.; Lv, X.; Hu, S.; Zhuo, J.; Wan, C.; Liu, J. Mechanical properties and durability of steel fiber reinforced concrete: A review. J. Build. Eng. 2024, 82, 108025. [Google Scholar] [CrossRef]
- Debella, L.C.; de Sousa, A.M.D.; de Resende, T.L.; Pieralisi, R. Behavior and shear strength of SFRC beams without stirrups: Proposed model and parametric analyses. Structures 2024, 67, 106954. [Google Scholar] [CrossRef]
- Balouch, S.U.; Forth, J.P.; Granju, J.-L. Surface corrosion of steel fibre reinforced concrete. Cem. Concr. Res. 2010, 40, 410–414. [Google Scholar] [CrossRef]
- Pyo, S.; Koh, T.; Tafesse, M.; Kim, H.-K. Chloride-induced corrosion of steel fiber near the surface of ultra-high performance concrete and its effect on flexural behavior with various thickness. Constr. Build. Mater. 2019, 224, 206–213. [Google Scholar] [CrossRef]
- Lv, L.-S.; Wang, J.-Y.; Xiao, R.-C.; Fang, M.-S.; Tan, Y. Influence of steel fiber corrosion on tensile properties and cracking mechanism of ultra-high performance concrete in an electrochemical corrosion environment. Constr. Build. Mater. 2021, 278, 122338. [Google Scholar] [CrossRef]
- Vieira, M.M.; Cavalaro, S.H.P.; Aguado, A.; Rambo, D.A.S.; Salvador, R.P. Fibre corrosion in uncracked high-performance fibre reinforced cementitious composites. Constr. Build. Mater. 2021, 312, 125440. [Google Scholar] [CrossRef]
- Gao, D.; Cao, Z.; Yang, L.; Yang, X.; Sun, G.; Li, Y.; Zhang, Y.; Zhang, Y. Performance of steel fiber reinforced concrete mixed with chloride solution and exposed to high humidity environment. Constr. Build. Mater. 2023, 393, 132122. [Google Scholar] [CrossRef]
- Granju, J.-L.; Balouch, S.U. Corrosion of steel fibre reinforced concrete from the cracks. Cem. Concr. Res. 2005, 35, 572–577. [Google Scholar] [CrossRef]
- Frazão, C.; Barros, J.; Camões, A.; Alves, A.C.; Rocha, L. Corrosion effects on pullout behavior of hooked steel fibers in self-compacting concrete. Cem. Concr. Res. 2016, 79, 112–122. [Google Scholar] [CrossRef]
- Yoo, D.-Y.; Shin, W.; Chun, B.; Banthia, N. Assessment of steel fiber corrosion in self-healed ultra-high-performance fiber-reinforced concrete and its effect on tensile performance. Cem. Concr. Res. 2020, 133, 106091. [Google Scholar] [CrossRef]
- Ngo, T.T.; Tran, N.T.; Kim, D.J.; Pham, T.C. Effects of corrosion level and inhibitor on pullout behavior of deformed steel fiber embedded in high performance concrete. Constr. Build. Mater. 2021, 280, 122449. [Google Scholar] [CrossRef]
- Song, Z.; Li, S.; Yu, Q. Chloride induced mechanical degradation of ultra-high performance fiber-reinforced concrete: Insights from corrosion evolution paths. Constr. Build. Mater. 2023, 395, 132329. [Google Scholar] [CrossRef]
- Marcos-Meson, V.; Michel, A.; Solgaard, A.; Fischer, G.; Edvardsen, C.; Skovhus, T.L. Corrosion resistance of steel fibre reinforced concrete-A literature review. Cem. Concr. Res. 2018, 103, 1–20. [Google Scholar] [CrossRef]
- American Concrete Institute (ACI) State-of-the-Art Report on Fiber Reinforced Concrete; ACI Committee 544.1R; American Concrete Institute: Farmington Hills, MI, USA, 2002; ISBN 9780870315282.
- American Concrete Institute (ACI) Report on the Physical Properties and Durability of Fiber-Reinforced Concrete; ACI Committee 544.5R; American Concrete Institute: Farmington Hills, MI, USA, 2010; ISBN 978-0-87031-365-3.
- Boletín Oficial del Estado (BOE). Real Decreto 470/2021, Agencia Estatal, Código Estructural; Boletín Oficial del Estado (BOE): Madrid, Spain, 2021. [Google Scholar]
- CRN. Guide for the Design and Construction of Fiber-Reinforced Concrete Structures; National Research CouncilCRN: Rome, Italy, 2006. [Google Scholar]
- DafStb. DAfStb Stahlfaserbeton; Deutscher Ausschuss für Stahlbeton e. V.-DafStb: Berlin, Germany, 2012. [Google Scholar]
- Pyo, S.; Tafesse, M.; Kim, H.; Kim, H.-K. Effect of chloride content on mechanical properties of ultra high performance concrete. Cem. Concr. Compos. 2017, 84, 175–187. [Google Scholar] [CrossRef]
- Song, Z.; Li, S.; Cheng, L.; Yu, Q. Corrosion-induced deterioration and fracture mechanisms in ultra-high-performance fiber-reinforced concretet. Constr. Build. Mater. 2024, 423, 135886. [Google Scholar] [CrossRef]
- Tai, Y.; Yang, L.; Gao, D.; Kang, K.; Cao, Z.; Zhao, P. Properties evolution and deterioration mechanism of steel fiber reinforced concrete (SFRC) under the coupling effect of carbonation and chloride attack. J. Build. Eng. 2024, 95, 110275. [Google Scholar] [CrossRef]
- Yoo, D.-Y.; Shin, W.; Chun, B. Corrosion effect on tensile behavior of ultra-high-performance concrete reinforced with straight steel fibers. Cem. Concr. Compos. 2020, 109, 103566. [Google Scholar] [CrossRef]
- Bashar, I.I.; Visintin, P.; Sheikh, A.H. An experimental investigation on tensile behaviour of corroded ultra-high-performance concrete. Case Stud. Constr. Mater. 2022, 17, e01400. [Google Scholar] [CrossRef]
- Jang, Y.S.; Oh, T.; Banthia, N.; Yoo, D.-Y. Effects of nano-SiO2 coating and induced corrosion of steel fiber on the interfacial bond and tensile properties of ultra-high-performance concrete (UHPC). J. Build. Eng. 2022, 54, 104637. [Google Scholar] [CrossRef]
- Yoo, D.-Y.; Oh, T.; Shin, W.; Kim, S.; Banthia, N. Tensile behavior of crack-repaired ultra-high-performance fiber-reinforced concrete under corrosive environment. J. Mater. Res. Technol. 2021, 15, 6813–6827. [Google Scholar] [CrossRef]
- Wang, X.; Liu, Y.; Liu, S. Effect of chloride-induced corrosion on bond performance of various steel fibers in cracked SFRC. Cem. Concr. Compos. 2023, 140, 105113. [Google Scholar] [CrossRef]
- Yoo, D.-Y.; Gim, J.Y.; Chun, B. Effects of rust layer and corrosion degree on the pullout behavior of steel fibers from ultra-high-performance concrete. J. Mater. Res. Technol. 2020, 9, 3632–3648. [Google Scholar] [CrossRef]
- Kroviakov, S.; Kryzhanovskyi, V.; Hedulian, D. Comparison of the Corrosion Resistance of Fiber-Reinforced Concrete with Steel and Polypropylene Fibers in an Acidic Environment. Constr. Mater. 2025, 5, 6. [Google Scholar] [CrossRef]
- Kos, Ž.; Kroviakov, S.; Kryzhanovskyi, V.; Hedulian, D. Strength, Frost Resistance, and Resistance to Acid Attacks on Fiber-Reinforced Concrete for Industrial Floors and Road Pavements with Steel and Polypropylene Fibers. Materials 2022, 15, 8339. [Google Scholar] [CrossRef]
- Li, M.; Su, T.; Chen, Y.; He, H.; Yang, X. Salt spray aging effects on dynamic responses and failure characteristics of hybrid bonded-riveted CFRP/Al joints under high speed loading. J. Manuf. Process. 2021, 72, 582–593. [Google Scholar] [CrossRef]
- Peng, J.; Xiao, J.; Yang, Y.; Dong, Y.; Zhang, J. Long-term experimental study and prediction of the mechanical performance on corroded prestressing steel strands subjected to marine salt spray environment. Constr. Build. Mater. 2024, 425, 136069. [Google Scholar] [CrossRef]
- de Oliveira Pereira, V.C.; Monteiro, E.C.B.; da Silva Almeida, K. Influence of cement type in reinforcement corrosion of mortars under action of chlorides. Constr. Build. Mater. 2013, 40, 710–718. [Google Scholar] [CrossRef]
- EN 12350-5; Testing Fresh Concrete-Part 5: Flow Table Test. AENOR: Madrid, Spain, 2020.
- EN 12350–1; Testing Fresh Concrete-Part 1: Sampling and Common Apparatus. AENOR: Madrid, Spain, 2020.
- Cavalaro, S.H.P.; López, R.; Torrents, J.M.; Aguado, A. Improved assessment of fibre content and orientation with inductive method in SFRC. Mater. Struct. 2014, 48, 1859–1873. [Google Scholar] [CrossRef]
- Cavalaro, S.H.P.; López-Carreño, R.; Torrents, J.M.; Aguado, A.; Juan-García, P. Assessment of fibre content and 3D profile in cylindrical SFRC specimens. Mater. Struct. 2015, 49, 577–595. [Google Scholar] [CrossRef]
- Voigt, C.V.; Pieralisi, R.; Bonfim, M.J.C.; Cavalaro, S.H.P.; Medeiros-Junior, R.A. Numerical and Experimental Surface Inductive Method for Steel Fibers. ACI Mater. J. 2022, 119, 269–279. [Google Scholar] [CrossRef]
- Niu, L.; Zhang, S. Performance of Cracked Ultra-High-Performance Fiber-Reinforced Concrete Exposed to Dry-Wet Cycles of Chlorides. Adv. Mater. Sci. Eng. 2021, 2021, 4625972. [Google Scholar] [CrossRef]
- ASTM, B117-19; Standard Practice for Operating Salt Spray (Fog) Apparatus. ASTM International: West Conshohocken, PA, USA, 2019.
- ASTM, D1654-24; Standard Test Method for Evaluation of Painted or Coated Specimens Subjected to Corrosive Environments. ASTM International: West Conshohocken, PA, USA, 2024.
- Yu, J.; Abdalla, J.A.; Hawileh, R.A.; Zhang, X.; Zhang, Z. Corrosion inhibition in concrete: Synergistic performance of hybrid Steel-Polypropylene fiber reinforcement against marine salt spray. Polymers 2025, 17, 2645. [Google Scholar] [CrossRef]
- Su, L.; Niu, D.; Huang, D.; Luo, Y.; Qiao, H.; Zhang, Y. Chloride diffusion behavior and microstructure of basalt-polypropylene hybrid fiber reinforced concrete in salt spray environment. Constr. Build. Mater. 2022, 324, 126716. [Google Scholar] [CrossRef]
- Huang, D.; Niu, D.; Su, L.; Liu, Y.; Guo, B.; Xia, Q.; Peng, G. Diffusion behavior of chloride in coral aggregate concrete in marine salt-spray environment. Constr. Build. Mater. 2021, 316, 125878. [Google Scholar] [CrossRef]
- EN 14651:2007+A1:2008; Test Method for Metallic Fibre Concrete-Measuring the Flexural Tensile Strength (Limit of PROPORTIONALITY (LOP), Residual). AENOR: Madrid, Spain, 2008.
- Galeote, E.; Blanco, A.; De La Fuente, A. Design-oriented approach to determine FRC constitutive law parameters considering the size effect. Compos. Struct. 2020, 239, 112036. [Google Scholar] [CrossRef]
- Casagrande, C.A.; Cavalaro, S.H.P.; Repette, W.L. Ultra-high performance fibre-reinforced cementitious composite with steel microfibres functionalized with silane. Constr. Build. Mater. 2018, 178, 495–506. [Google Scholar] [CrossRef]
- Casagrande, C.A.; Jochem, L.F.; Repette, W.L.; Hotza, D. Evaluation of nano-TiO2 on properties of cementitious mortars. Matéria 2020, 25, e-12883. [Google Scholar] [CrossRef]
- Casagrande, C.A.; Roque, J.S.; Jochem, L.F.; Correa, J.N.; Medeiros, A. Copper slag in cementitious composites: A systematic review. J. Build. Eng. 2023, 78, 107725. [Google Scholar] [CrossRef]







| Ref. | Test | Condition of the Specimen | Exposure Condition | ||||||
|---|---|---|---|---|---|---|---|---|---|
| Bending | Direct Tensile | Pull-Out | Uncracked | Crack Width < 0.1 mm | Crack Width > 0.1 mm | Wet/Dry Cycles | Immersion | Other * | |
| [6] | X | X | X | ||||||
| [8,23] | X | X | X | ||||||
| [21] | X | X | X | ||||||
| [9,14,21,22] | X | X | X | ||||||
| [12] | X | X | X | X | |||||
| [25] | X | X | X | X | |||||
| [24] | X | X | X | ||||||
| [28] | X | X | X | X | |||||
| [11,27] | X | X | X | X | X | ||||
| [13,26,29] | X | X | X | ||||||
| Property | Average Results |
|---|---|
| Length (mm) | 30 |
| Diameter (mm) | 0.62 |
| Aspect ratio | 48.4 |
| Tensile strength (MPa) | 1270 |
| Modulus of elasticity (GPa) | 210 |
| Nomenclature | Number of Tested Specimens and Tested Age | |||
|---|---|---|---|---|
| 28 Days (Before Cycles) | 56 Days (28 Cycles) | 84 Days (56 Cycles) | 140 Days (112 Cycles) | |
| REF | 8 | - | - | - |
| UC/28 | - | 7 | - | - |
| UC/56 | - | - | 9 | - |
| UC/112 | - | - | - | 8 |
| C-0.4/28 | - | 5 | - | - |
| C-0.4/56 | - | - | 5 | - |
| C-0.4/112 | - | - | - | 8 |
| C-0.9/28 | - | 4 | - | - |
| C-0.9/56 | - | - | 8 | - |
| C-0.9/112 | - | - | - | 8 |
| (MPa) | (MPa) | (MPa) | (MPa) | |
|---|---|---|---|---|
| REF | 14.85 ± 1.36 | 12.78 ± 1.83 | 10.22 ± 2.21 | 8.29 ± 2.16 |
| UC/28 | 14.47 ± 2.79 | 12.64 ± 1.87 | 10.39 ± 0.99 | 8.52 ± 0.69 |
| UC/56 | 15.63 ± 4.13 | 13.37 ± 3.15 | 10.71 ± 3.01 | 8.64 ± 2.02 |
| UC/112 | 17.09 ± 2.66 | 14.73 ± 3.01 | 11.69 ± 3.28 | 9.40 ± 3.02 |
| C-0.4/28 | - | 12.15 ± 0.80 | 9.66 ± 1.51 | 7.62 ± 1.72 |
| C-0.4/56 | - | 14.04 ± 1.47 | 11.34 ± 1.75 | 9.17 ± 1.81 |
| C-0.4/112 | - | 14.13 ± 3.11 | 11.27 ± 2.39 | 8.87 ± 1.96 |
| C-0.9/28 | - | 15.46 ± 3.09 | 13.61 ± 2.87 | 11.31 ± 2.38 |
| C-0.9/56 | - | 17.58 ± 3.35 | 15.63 ± 3.51 | 12.81 ± 3.23 |
| C-0.9/112 | - | 14.00 ± 2.24 | 11.57 ± 1.69 | 8.93 ± 1.58 |
| Parameter | Groups Included in ANOVA | ANOVA p-Value | Significant Differences Identified |
|---|---|---|---|
| REF, UC/28, UC/56, UC/112 | 0.148 | None | |
| REF, UC series, C-0.4 series, C-0.9 series | 0.0079 | C-0.9/28 > REF; C-0.9/56 > REF, UC/28, UC/56 | |
| REF, UC series, C-0.4 series, C-0.9 series | ≈0.001 | C-0.9/56 > REF, UC/28, UC/56, UC/112 | |
| REF, UC series, C-0.4 series, C-0.9 series | 0.0014 | C-0.9/28 > REF; C-0.9/56 > REF, UC/28, UC/56 |
Disclaimer/Publisher’s Note: The statements, opinions and data contained in all publications are solely those of the individual author(s) and contributor(s) and not of MDPI and/or the editor(s). MDPI and/or the editor(s) disclaim responsibility for any injury to people or property resulting from any ideas, methods, instructions or products referred to in the content. |
© 2026 by the authors. Licensee MDPI, Basel, Switzerland. This article is an open access article distributed under the terms and conditions of the Creative Commons Attribution (CC BY) license.
Share and Cite
Nunes, A.C.M.; Casagrande, C.A.; Jochem, L.F.; Medeiros, M.H.F.d.; Pieralisi, R. Chloride-Induced Corrosion in Steel Fiber-Reinforced Cementitious Composites. Buildings 2026, 16, 963. https://doi.org/10.3390/buildings16050963
Nunes ACM, Casagrande CA, Jochem LF, Medeiros MHFd, Pieralisi R. Chloride-Induced Corrosion in Steel Fiber-Reinforced Cementitious Composites. Buildings. 2026; 16(5):963. https://doi.org/10.3390/buildings16050963
Chicago/Turabian StyleNunes, Ana Carolina Moreno, Cézar Augusto Casagrande, Lidiane Fernanda Jochem, Marcelo Henrique Farias de Medeiros, and Ricardo Pieralisi. 2026. "Chloride-Induced Corrosion in Steel Fiber-Reinforced Cementitious Composites" Buildings 16, no. 5: 963. https://doi.org/10.3390/buildings16050963
APA StyleNunes, A. C. M., Casagrande, C. A., Jochem, L. F., Medeiros, M. H. F. d., & Pieralisi, R. (2026). Chloride-Induced Corrosion in Steel Fiber-Reinforced Cementitious Composites. Buildings, 16(5), 963. https://doi.org/10.3390/buildings16050963

