Lifecycle-Based Analysis of Construction Dispute Causes: A Semi-Automated Systematic Review
Abstract
1. Introduction
- What are the most frequently reported causes of construction disputes across different project phases?
- How can these causes be systematically categorized using a lifecycle-based framework to support the development of targeted mitigation strategies?
2. Theoretical Background
2.1. Construction Project Lifecycle Framework
2.2. Conceptual Hierarchy of Conflicts, Claims, and Disputes
2.3. Construction Dispute Management
2.3.1. Dispute Resolution (Reactive Perspective)
2.3.2. Dispute Mitigation (Proactive Perspective)
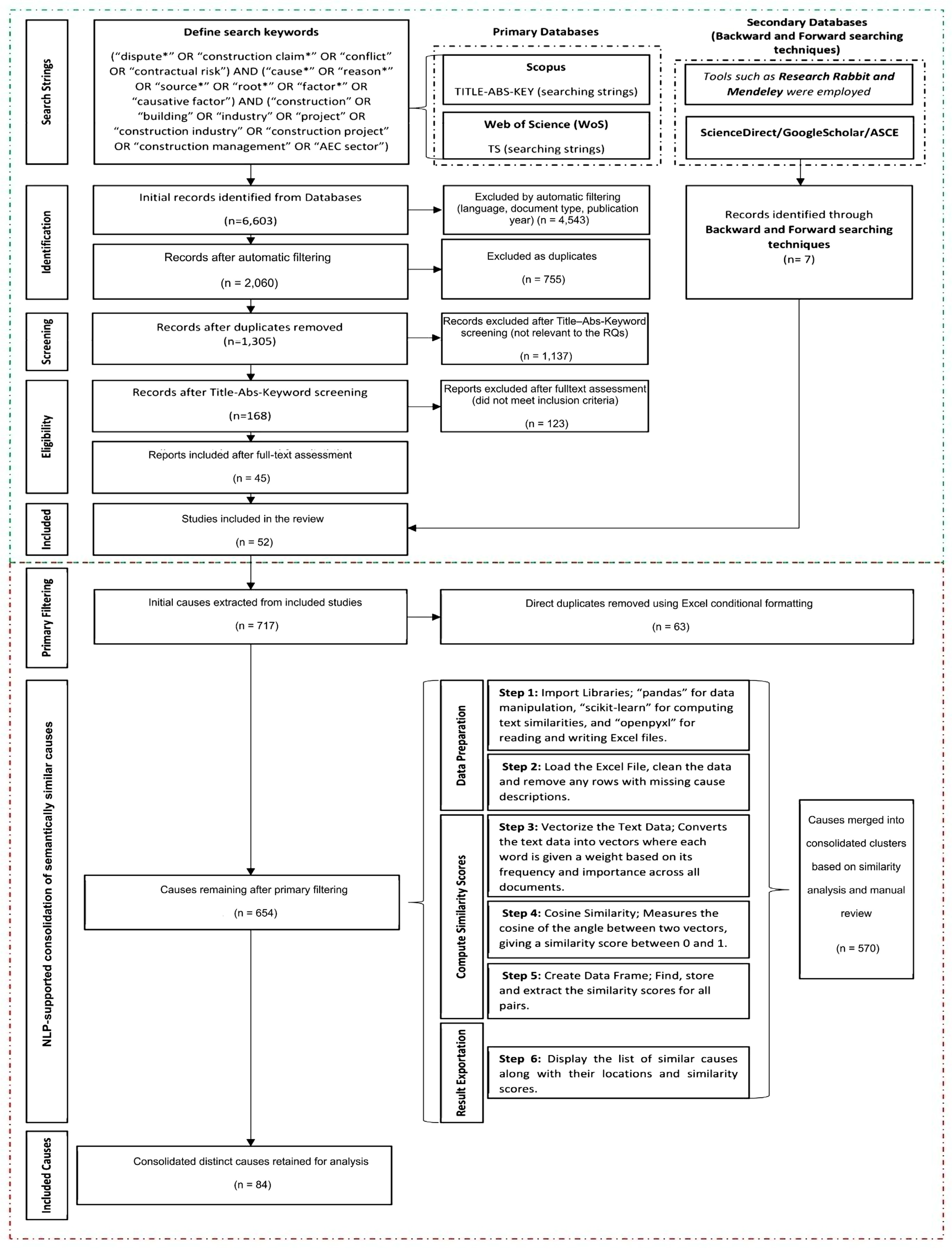
3. Materials and Methods
3.1. Lifecycle Framework for Classification
3.2. Literature Search Strategy
3.3. Screening: Inclusion and Exclusion Criteria
3.4. Quality Assessment
3.5. Data Extraction, Analysis, and Synthesis
4. Results and Discussion
4.1. Bibliometric Analysis
4.1.1. Publication Trends
4.1.2. Journal Contribution
4.1.3. Geographical Distribution
4.1.4. Mapping of the Co-Occurrence of Keywords
4.2. Content Analysis
4.2.1. Causes of Disputes in the Initiation Phase
4.2.2. Causes of Disputes in the Planning Phase
4.2.3. Causes of Disputes in the Execution Phase
4.2.4. Causes of Disputes in the Monitoring & Control Phase
4.2.5. Causes of Disputes in the Close-Out Phase
4.2.6. Practical Contributions
5. Conclusions
Author Contributions
Funding
Data Availability Statement
Conflicts of Interest
Abbreviations
| GDP | Gross Domestic Product |
| LDR | Legal Dispute Resolution |
| ADR | Alternative Dispute Resolution |
| AHP | Analytical Hierarchy Process |
| MAUT | Multi-Attribute Utility Technique |
| BIM | Building Information Modeling |
| SEM | Structural Equation Modeling |
| ISM | Interpretative Structural Modeling |
| MICMAC | Matrix Cross-Reference Multiplication Applied to A Classification |
| PLS-SEM | Partial Least Square-Structural Equation Modeling |
| DEMATEL | Decision-Making Trial and Evaluation Laboratory |
| ANN | Artificial Neural Network |
| SLR | Systematic Literature Review |
| NLP | Natural Language Processing |
| PRISMA | Preferred Reporting Items for Systematic Reviews and Meta-Analyses |
| WoS | Web of Science |
| QA/QC | Quality Assurance/Quality Control |
| EOT | Extensions of Time |
Appendix A
| Phase | Causes | Sources |
|---|---|---|
| Initiation | The project scope is vague or poorly defined, leading to misaligned expectations. | [2,17,21,37,52,53,71,82,84,85,137,138] |
| The Owner provides inconsistent or incomplete project requirements. | [17,21,23,37,81,87,109,121,137] | |
| Cost or duration estimates during feasibility studies are unrealistic or inaccurate. | [45,47,81,82] | |
| Parties lack proficiency in legal requirements or jurisdictional constraints. | [37,84,85,109,138] | |
| Risks are unfairly or inappropriately allocated during early project definition. | [14,18,19,37,45,47,48,53,72,73,80,82,83,85,89,94,121,138,139] | |
| Difficulties in obtaining permits or understanding local regulations. | [2,9,20,21,25,45,72,80,81,82,83,84,85,109,137,138] | |
| The Owner fails to allocate an adequate budget or establish proper financial planning before project initiation. | [138] | |
| Planning | Contract documents contain unclear, contradictory, or incomplete provisions (Ambiguous contract documents). | [2,7,9,14,17,18,19,21,23,37,45,47,48,51,54,80,81,82,83,84,85,86,87,89,94,95,98,109,121,138,140] |
| Tender documents lack complete project information or Owner requirements. | [9,14,18,21,23,80,82,85,94,109,121,137,140] | |
| Technical specifications are unclear, incomplete, or non-constructible. | [2,7,14,17,19,20,21,24,37,48,53,71,80,81,83,84,85,89,90,91] | |
| Design documents contain errors, omissions, or lack coordination. | [2,9,14,17,20,21,24,25,37,47,48,51,71,80,81,82,84,87,90,94,98,109,137,139] | |
| Use of generic specifications or drawings without sufficient detail tailored to the specific contract. | [14,17,20,21,24,71,81,83,84,91,96] | |
| Insufficient time or budget for site investigation leads to subsurface issues. | [2,9,17,19,21,23,45,51,71,80,82,91,109,137,141] | |
| Detailed cost or duration estimates are based on unrealistic assumptions. | [17,21,37,73,80,81,82,83,84,87,96,109,137,138,139] | |
| Substantial increase in quantities leading to rate adjustments due to an inaccurate bill of quantities. | [9,20,21,24,37,51,71,81,83,84,90,93,96] | |
| Unbalanced bidding and contractors’ nondisclosure of quantity deviations. | [9,18,19,47,48,71,80,81,83,89] | |
| Contractors fail to fully understand project requirements during bidding, including failure to visit the site or properly review documents. | [9,14,24,37,48,72,80,84,121,138,139] | |
| The chosen procurement method or contract type is unsuitable. | [14,23,47,52,98,121,138] | |
| Parties misunderstand escalation or de-escalation provisions. | [82,84] | |
| Bridges of contract or excessive amendments disrupt contract clarity. | [2,25,121] | |
| Delay in issuing site drawings and material specifications by the Engineer. | [9,51,82,94,109] | |
| Quality requirements are poorly defined, leading to subjective interpretations. | [14,138] | |
| Lowest price mentality in selecting service providers, disregarding technical competence and sustainable profit margins. | [17,21,37,72,80,81,96,138,141] | |
| Conflicts arising from failure to provide required insurance coverage. | [138] | |
| Item descriptions in the bill of quantities are ambiguous or incomplete. | [9,21,47,51,71,83] | |
| Insufficient time is allocated to prepare contract documents. | [21,93,141] | |
| Engineer staff lack experience in drafting contract documents. | [21,82] | |
| Project priorities are unclear or improperly assigned. | [121] | |
| Parties disagree on payment terms under preliminaries or general items. | [9,21,52,94,135,141] | |
| Parties fail to timely notify others about changes, agendas, or approvals. | [51,138] | |
| Ineffective planning and scheduling due to the fast-track nature of the projects. | [17,21,23,37,72,81,87,96,98,109,121,138] | |
| Execution | Restricted or disrupted access to the site due to third-party interference. | [21,37] |
| Work sequences clash due to poor coordination or delayed handover. | [138] | |
| The Owner or Engineer disrupts construction through excessive involvement. | [81,82,83] | |
| The Owner suspends or terminates works, causing delays and disputes. | [21,37,45,82,121,135,141] | |
| Nominated or domestic Subcontractors delay their portion of the works. | [71,141] | |
| Subcontractors lack competence or are mismanaged by the Contractor. | [17,37,81,82,83,87,96,139] | |
| The Contractor delays mobilizing manpower, equipment, or resources to the site. | [17,25] | |
| Poor Contractor performance leads to mistakes, rework, or slow progress. | [9,14,17,25,37,48,52,54,80,84,86,109,135,139] | |
| Contractor site management, supervision, or coordination is inadequate. | [2,18,21,24,37,48,72,80,81,87,121,138,139] | |
| Contractor staff lack the necessary skills or experience. | [18,21,54,82,98] | |
| Low or inefficient manpower productivity. | [2,21,23,80,81,83,87,109,138,139] | |
| Manpower, materials, or equipment are insufficient or unavailable. | [2,17,20,21,25,48,54,71,72,80,81,83,98,109,121,140] | |
| Government regulations change or contradict earlier requirements, affecting project execution. | [2,19,20,21,25,51,71,72,82,84,89,96,138,141] | |
| Equipment is unavailable due to breakdowns or maintenance issues. | [80,109,139] | |
| Acts of God, such as earthquakes or floods, damage works or equipment (Force majeure events). | [21,138,140] | |
| Poor quality work or materials due to inadequate Contractor QA/QC systems. | [17,18,19,24,25,48,52,80,81,83,84,87,94,96,138,139] | |
| Adverse weather conditions resulting in slowness or stoppage of the project. | [2,14,18,20,21,25,71,80,81,82,84,87,109,138,140] | |
| Fluctuations in labor, material, or currency costs affect project performance. | [9,17,19,20,25,48,51,71,80,81,87,94,96,109,138] | |
| Security risks or incidents disrupt construction. | [84] | |
| Political instability, public disorder, or local protests disrupt work. | [21,37,45,51,73,80,84,90,109,137,140] | |
| Community expectations and local employment requirements leading to complaints or disruptions. | [17,109] | |
| Environmental or social impacts, such as noise, traffic, or pollution, affecting project progress. | [2] | |
| Insufficient utilities on-site (electricity, water, etc.) disrupting construction activities. | [109] | |
| Accidents due to negligence and non-compliance with safety standards. | [9,17,21,48,52,84,96,109,135,138,139] | |
| The Owner fails to hand over the site on time, delaying the construction start (delayed site possession). | [9,14,20,21,25,48,80,82,83,84,86,140,141] | |
| The Contractor is unprepared to take possession when the site becomes available. | [21] | |
| Unforeseen physical site conditions encountered during construction. | [9,14,20,25,45,47,51,71,80,82,84,90,93,94,100,109,121,138,140] | |
| Suppliers fail to deliver equipment or materials as planned. | [9,23,48,80,87,98,109,138] | |
| Damage or deterioration of materials during storage on-site. | [109] | |
| Owner’s financial instability and delayed progress payments. | [2,9,14,17,21,24,25,37,45,47,53,54,80,81,82,84,85,87,94,95,98,99,100,109,141] | |
| Contractor financial difficulties and nonpayment to Subcontractors. | [14,17,24,37,80,81,82,84,87,96,98,138] | |
| The Owner demands acceleration without justification or compensation. | [14,21,48,71,82,100,139] | |
| Changes or variation orders during construction, including undocumented oral instructions. | [2,7,9,14,17,19,20,21,23,24,25,37,45,47,48,51,52,53,54,71,72,73,80,81,82,83,84,87,89,90,91,93,94,95,96,98,99,100,109,138,140,141,142] | |
| The Owner delays or inconsistently issues decisions required for progress. | [2,7,20,22,23,37,47,48,54,73,80,81,83,84,87,94,96,98,109,138,140] | |
| Design revisions during construction due to incomplete or uncoordinated earlier design. | [21,23,25,72,80,98,109,137] | |
| Ineffective communication during construction or being overly reliant on oral exchanges. | [2,9,17,19,23,24,37,47,51,54,72,73,80,81,82,84,87,96,109,138,139,142] | |
| Weak project leadership or absence of a designated Project Manager. | [2,37] | |
| Relationships between parties are confrontational or mistrustful (adversarial project culture). | [2,9,18,20,21,37,54,71,72,81,82,85,89,109,121] | |
| Opportunistic behavior by project parties, including withholding information or acting in self-interest. | [9,54,71,82,121] | |
| Security risks or incidents disrupt construction. | [84] | |
| Previous working relationships affect current project dynamics. | [82,85] | |
| Monitoring & Control | Parties fail to record events or prepare required reports. | [37,138] |
| Claims are incomplete, poorly drafted, or lack supporting evidence. | [2,47,141] | |
| Parties lack staff capable of identifying or managing claims. | [22,109] | |
| Parties fail to understand or comply with contractual obligations. | [18,37,47,84,89,121,137] | |
| The Owner delays issuing interim decisions on extensions of time or compensation. | [2,14,21,25,71,80,84,85,86,89,94,141] | |
| Parties provide inadequate responses to contractual or technical issues. | [9,82,121] | |
| Owner or Engineer bureaucracy delays inspections or approvals. | [9,53,81,82,84,87] | |
| Engineer staff responds slowly to Contractor inquiries or site issues. | [21,48,54,71,73,81,139] | |
| The Contractor submits exaggerated or unrealistic claims. | [9,21,22,54,71,93,121,137,138] | |
| Close-out | Defects are identified after the defects liability period ends. | [100,137] |
| The Owner increases the scope after practical completion. | [137] | |
| Final or interim payments are delayed during project close-out. | [137] | |
| The Owner fails to settle final payments. | [137] |
NLP-Supported Consolidation Workflow (Pseudo-Code)



References
- Fluidconstructions. Construction Industry’s Contribution to GDP Growth; Fluidconstructions: Nagpur, India, 2023. [Google Scholar]
- El-Sayegh, S.; Ahmad, I.; Aljanabi, M.; Herzallah, R.; Metry, S.; El-Ashwal, O. Construction Disputes in the UAE: Causes and Resolution Methods. Buildings 2020, 10, 171. [Google Scholar] [CrossRef]
- Seo, W.; Kwak, Y.H.; Kang, Y. Relationship between Consistency and Performance in the Claim Management Process for Construction Projects. J. Manag. Eng. 2021, 37, 04021068. [Google Scholar] [CrossRef]
- Naji, K.K.; Mansour, M.M.; Gunduz, M. Methods for Modeling and Evaluating Construction Disputes: A Critical Review. IEEE Access 2020, 8, 45641–45652. [Google Scholar] [CrossRef]
- Arcadis. Global Construction Disputes Report: Successfully Navigating Through Turbulent Times; Arcadis: Amsterdam, The Netherlands, 2022. [Google Scholar]
- Love, P.; Davis, P.; Ellis, J.; Cheung, S.O. Dispute Causation: Identification of Pathogenic Influences in Construction. Eng. Constr. Archit. Manag. 2010, 17, 404–423. [Google Scholar] [CrossRef]
- Ilter, D. Identification of the Relations between Dispute Factors and Dispute Categories in Construction Projects. Int. J. Law Built Environ. 2012, 4, 45–59. [Google Scholar] [CrossRef]
- Zhu, L.; Cheung, S.O. Power of Incentivization in Construction Dispute Avoidance. J. Leg. Aff. Disput. Resolut. Eng. Constr. 2020, 12, 03720001. [Google Scholar] [CrossRef]
- Wang, J.; Zhang, S.; Jin, R.; Fenn, P.; Yu, D.; Zhao, L. Identifying Critical Dispute Causes in the Construction Industry: A Cross-Regional Comparative Study between China and the UK. J. Manag. Eng. 2023, 39, 04022072. [Google Scholar] [CrossRef]
- Naji, K.K.; Gunduz, M.; Mansour, M.M. Development of an Integrated Hybrid Risk Assessment System for Construction Disputes during the Preconstruction Phase Using the Delphi Method. J. Constr. Eng. Manag. 2024, 150, 04024068. [Google Scholar] [CrossRef]
- Ng, M.S.; Hall, D.M.; Hsieh, S.-H. Liability Factors and Conceptual Framework for Contracts to Manage Design for Digital Fabrication in Construction Projects. J. Leg. Aff. Disput. Resolut. Eng. Constr. 2023, 15, 04522043. [Google Scholar] [CrossRef]
- Safinia, S. A Review on Dispute Resolution Methods in UK Construction Industry. Int. J. Constr. Eng. Manag. 2014, 2014, 105–108. [Google Scholar] [CrossRef]
- Francis, M.; Ramachandra, T.; Perera, S. Disputes in Construction Projects: A Perspective of Project Characteristics. J. Leg. Aff. Disput. Resolut. Eng. Constr. 2022, 14, 04522007. [Google Scholar] [CrossRef]
- Cakmak, E.; Cakmak, P.I. An Analysis of Causes of Disputes in the Construction Industry Using Analytical Network Process. Procedia Soc. Behav. Sci. 2014, 109, 183–187. [Google Scholar] [CrossRef]
- Francis, M.; Perera, S.; Zhou, W.; Nanayakkara, S. A Comprehensive Typology of Causes Leading to Disputes in Construction Projects. J. Leg. Aff. Disput. Resolut. Eng. Constr. 2025, 17, 03125006. [Google Scholar] [CrossRef]
- Gamil, Y.; Abd Rahman, I. Impact of Poor Communication on Dispute Occurrence in the Construction Industry: A Preliminary Exploratory Study of Yemen Construction Industry. Int. J. Constr. Manag. 2023, 23, 2729–2735. [Google Scholar] [CrossRef]
- Assaf, S.; Hassanain, M.A.; Abdallah, A.; Sayed, A.M.Z.; Alshahrani, A. Significant Causes of Claims and Disputes in Construction Projects in Saudi Arabia. Built Environ. Proj. Asset Manag. 2019, 9, 597–615. [Google Scholar] [CrossRef]
- Illankoon, I.M.C.S.; Tam, V.W.Y.; Le, K.N.; Ranadewa, K.A.T.O. Causes of Disputes, Factors Affecting Dispute Resolution and Effective Alternative Dispute Resolution for Sri Lankan Construction Industry. Int. J. Constr. Manag. 2019, 22, 218–228. [Google Scholar] [CrossRef]
- Matarneh, S. Construction Disputes Causes and Resolution Methods: A Case Study from a Developing Country. J. Constr. Dev. Ctries. 2024, 29, 139–161. [Google Scholar] [CrossRef]
- Kisi, K.P.; Lee, N.; Kayastha, R.; Kovel, J. Alternative Dispute Resolution Practices in International Road Construction Contracts. J. Leg. Aff. Disput. Resolut. Eng. Constr. 2020, 12, 04520001. [Google Scholar] [CrossRef]
- Mishmish, M.; El-Sayegh, S.M. Causes of Claims in Road Construction Projects in the UAE. Int. J. Constr. Manag. 2018, 18, 26–33. [Google Scholar] [CrossRef]
- Ali, B.; Zahoor, H.; Nasir, A.R.; Maqsoom, A.; Khan, R.W.A.; Mazher, K.M. BIM-Based Claims Management System: A Centralized Information Repository for Extension of Time Claims. Autom. Constr. 2020, 110, 102937. [Google Scholar] [CrossRef]
- Perera, B.A.K.S.; Ekanayake, B.J.; Jayalath, C.; Jayathilaka, G.R.H. A Study on Variation-Specific Disputes That Arise in Road Projects in Sri Lanka: A Qualitative Approach. Int. J. Constr. Manag. 2021, 21, 571–581. [Google Scholar] [CrossRef]
- Ibraheem, R.A.R.; Mahjoob, A.M.R. Facilitating Claims Settlement Using Building Information Modeling in the School Building Projects. Innov. Infrastruct. Solut. 2022, 7, 40. [Google Scholar] [CrossRef]
- Kebede, S. Assessment of Causes and Settlement Mechanisms of Construction Disputes in Public Work Contracts: An Ethiopian Perspective. Arch. Civ. Eng. 2022, 68, 145–168. [Google Scholar] [CrossRef]
- Silva, P.M.; Domingo, N.; Ameer Ali, N.A.N. Causes of Disputes in the Construction Industry—A Systematic Literature Review. J. Financ. Manag. Prop. Constr. 2024, 29, 193–210. [Google Scholar] [CrossRef]
- Alrasheed, K.A.; Soliman, E.; AlMesbah, F.E. Dispute Classification in Construction Projects Based on Litigation Cases. J. Leg. Aff. Disput. Resolut. Eng. Constr. 2023, 15, 04523013. [Google Scholar] [CrossRef]
- CIOB. Code of Practice for Project Management for Construction and Development, 5th ed.; John Wiley & Sons: Chichester, UK, 2014; ISBN 9781118378083. [Google Scholar]
- Groton, J.P. Alternative Dispute Resolution in the Construction Industry. Disput. Resolut. J. 1997, 52, 48. [Google Scholar]
- Project Management Institute. A Guide to the Project Management Body of Knowledge (PMBOK® Guide), 6th ed.; Project Management Institute, Inc.: Newtown Square, PA, USA, 2017; ISBN 9781628253825. [Google Scholar]
- Kumaraswamy, M.M. Conflicts, Claims and Disputes in Construction. Eng. Constr. Archit. Manag. 1997, 4, 95–111. [Google Scholar] [CrossRef]
- Fenn, P. Commercial Conflict Management and Dispute Resolution; Routledge: Oxfordshire, UK, 2012; ISBN 9781136974939. [Google Scholar]
- Acharya, N.K.; Dai Lee, Y.; Man Im, H. Conflicting Factors in Construction Projects: Korean Perspective. Eng. Constr. Archit. Manag. 2006, 13, 543–566. [Google Scholar] [CrossRef]
- Wilmot, W.; Hocker, J.L. Interpersonal Conflict; McGraw-Hill Education: New York, NY, USA, 2017. [Google Scholar]
- Bakhary, N.A.; Adnan, H.; Ibrahim, A. Improving Construction Claim Management in Malaysian Construction Industry. MATEC Web Conf. 2017, 138, 05003. [Google Scholar] [CrossRef]
- Harmon, K.M.J. Conflicts between Owner and Contractors: Proposed Intervention Process. J. Manag. Eng. 2003, 19, 121–125. [Google Scholar] [CrossRef]
- Charehzehi, A.; Chai, C.; Yusof, A.M.; Chong, H.-Y.; Loo, S.C. Building Information Modeling in Construction Conflict Management. Int. J. Eng. Bus. Manag. 2017, 9, 1847979017746257. [Google Scholar] [CrossRef]
- Aghililotf, M.; Ramezanianpour, A.M.; Arbabi, H.; Maghrebi, M. Identifying Construction Managers’ Challenges: A Novel Approach Based on Social Network Analysis. J. Constr. Eng. Manag. 2024, 150, 04023141. [Google Scholar] [CrossRef]
- Mrad, M.; Al-Gahtani, K.S.; Hulchafo, R.; Souayah, N.; Bamatraf, K. Risk Assessment for Discrete Stochastic Time-Cost-Quality Trade-Off Problem Using Simulation-Based Integer Linear Programming Approach. IEEE Access 2019, 7, 32453–32463. [Google Scholar] [CrossRef]
- Saygili, M.; Mert, I.E.; Tokdemir, O.B. A Decentralized Structure to Reduce and Resolve Construction Disputes in a Hybrid Blockchain Network. Autom. Constr. 2022, 134, 104056. [Google Scholar] [CrossRef]
- Legal. Build. Res. Inf. 1992, 20, 335–336. [CrossRef]
- Barnett, J.; Treleaven, P. Algorithmic Dispute Resolution—The Automation of Professional Dispute Resolution Using AI and Blockchain Technologies. Comput. J. 2018, 61, 399–408. [Google Scholar] [CrossRef]
- Khan, K.K.A.; Siyal, A.W.; Hussain, S. Dispute Resolution Management in Construction Projects: A Stakeholders Centric Investigation. J. Leg. Aff. Disput. Resolut. Eng. Constr. 2025, 17, 04525020. [Google Scholar] [CrossRef]
- Ayhan, M.; Toker, İ.; Birgönül, T. Comparing Performances of Machine Learning Techniques to Forecast Dispute Resolutions. Tek. Dergi 2022, 33, 12577–12600. [Google Scholar] [CrossRef]
- Zheng, X.; Liu, Y.; Sun, R.; Tian, J.; Yu, Q. Understanding the Decisive Causes of PPP Project Disputes in China. Buildings 2021, 11, 646. [Google Scholar] [CrossRef]
- Cakmak, P.I. The Stakeholders’ Perspective on the Factors Contributing to Construction Disputes. Int. J. Build. Pathol. Adapt. 2022, 40, 712–727. [Google Scholar] [CrossRef]
- Gamage, A.N.K.K.; Kumar, S. Causes of Disputes in Construction Projects. Saudi J. Civ. Eng. 2024, 8, 42–48. [Google Scholar] [CrossRef]
- Madhumitha, L.; Sivakumar, A.; Dhanasekar, G.; Karthikeyan, P. Identification of Causes of Conflicts and Disputes in Construction Industry. Int. J. Eng. Adv. Technol. 2020, 9, 1065–1071. [Google Scholar] [CrossRef]
- Antoniou, F.; Tsioulpa, A.V. Assessing the Delay, Cost, and Quality Risks of Claims on Construction Contract Performance. Buildings 2024, 14, 333. [Google Scholar] [CrossRef]
- Kim, E.W.; Park, M.S.; Kim, K.; Kim, K.J. Blockchain-Based Automatic Tracking and Extracting Construction Document for Claim and Dispute Support. KSCE J. Civ. Eng. 2022, 26, 3707–3724. [Google Scholar] [CrossRef]
- Alqershy, M.T.; Kishore, R. Construction Claims Prediction Using ANN Models: A Case Study of the Indian Construction Industry. Int. J. Constr. Manag. 2023, 23, 1097–1108. [Google Scholar] [CrossRef]
- Rahnamayiezekavat, P.; Sorooshnia, E.; Rashidi, M.; Faraji, A.; Mostafa, S.; Moon, S. Forensic Analysis of the Disputes Typology of the NSW Construction Industry Using PLS-SEM and Prospective Trend Analysis. Buildings 2022, 12, 1571. [Google Scholar] [CrossRef]
- Shen, W.; Tang, W.; Yu, W.; Duffield, C.F.; Hui, F.K.P.; Wei, Y.; Fang, J. Causes of Contractors’ Claims in International Engineering-Procurement-Construction Projects. J. Civ. Eng. Manag. 2017, 23, 727–739. [Google Scholar] [CrossRef]
- Viswanathan, S.K.; Panwar, A.; Kar, S.; Lavingiya, R.; Jha, K.N. Causal Modeling of Disputes in Construction Projects. J. Leg. Aff. Disput. Resolut. Eng. Constr. 2020, 12, 04520035. [Google Scholar] [CrossRef]
- Marshall, C.; Kitchenham, B.; Brereton, P. Tool Features to Support Systematic Reviews in Software Engineering—A Cross Domain Study. e-Inform. Softw. Eng. J. 2018, 12, 79–115. [Google Scholar] [CrossRef]
- Shaffril, H.A.M.; Samsuddin, S.F.; Samah, A.A. The ABC of Systematic Literature Review: The Basic Methodological Guidance for Beginners. Qual. Quant. 2021, 55, 1319–1346. [Google Scholar] [CrossRef]
- Xiao, Y.; Watson, M. Guidance on Conducting a Systematic Literature Review. J. Plan. Educ. Res. 2019, 39, 93–112. [Google Scholar] [CrossRef]
- Okoli, C.; Schabram, K. A Guide to Conducting a Systematic Literature Review of Information Systems Research. Sprouts Work. Pap. Inf. Syst. 2015, 10. [Google Scholar] [CrossRef]
- Van Dinter, R.; Tekinerdogan, B.; Catal, C. Automation of Systematic Literature Reviews: A Systematic Literature Review. Inf. Softw. Technol. 2021, 136, 106589. [Google Scholar] [CrossRef]
- Jonnalagadda, S.R.; Goyal, P.; Huffman, M.D. Automating Data Extraction in Systematic Reviews: A Systematic Review. Syst. Rev. 2015, 4, 78. [Google Scholar] [CrossRef]
- Marshall, I.J.; Wallace, B.C. Toward Systematic Review Automation: A Practical Guide to Using Machine Learning Tools in Research Synthesis. Syst. Rev. 2019, 8, 163. [Google Scholar] [CrossRef]
- Page, M.J.; McKenzie, J.E.; Bossuyt, P.M.; Boutron, I.; Hoffmann, T.C.; Mulrow, C.D.; Shamseer, L.; Tetzlaff, J.M.; Akl, E.A.; Brennan, S.E.; et al. The PRISMA 2020 Statement: An Updated Guideline for Reporting Systematic Reviews. BMJ 2021, 372, 71. [Google Scholar] [CrossRef]
- Ewald, H.; Klerings, I.; Wagner, G.; Heise, T.L.; Stratil, J.M.; Lhachimi, S.K.; Hemkens, L.G.; Gartlehner, G.; Armijo-Olivo, S.; Nussbaumer-Streit, B. Searching Two or More Databases Decreased the Risk of Missing Relevant Studies: A Metaresearch Study. J. Clin. Epidemiol. 2022, 149, 154–164. [Google Scholar] [CrossRef]
- Pal, A.; Hsieh, S.-H. Deep-Learning-Based Visual Data Analytics for Smart Construction Management. Autom. Constr. 2021, 131, 103892. [Google Scholar] [CrossRef]
- Zeberga, M.S.; Haaskjold, H.; Hussein, B. Digital Technologies for Preventing, Mitigating, and Resolving Contractual Disagreements in the AEC Industry: A Systematic Literature Review. J. Constr. Eng. Manag. 2024, 150, 03124002. [Google Scholar] [CrossRef]
- Kitchenham, B.A.; Charters, S.M. Guidelines for Performing Systematic Literature Reviews in Software Engineering; Keele University: Keele, UK, 2007. [Google Scholar]
- Petticrew, M.; Roberts, H. Systematic Reviews in the Social Sciences: A Practical Guide; John Wiley & Sons, Inc.: Hoboken, NJ, USA, 2008. [Google Scholar]
- Bahamid, R.A.; Doh, S.I.; Al-Sharaf, M.A. Risk Factors Affecting the Construction Projects in the Developing Countries. IOP Conf. Ser. Earth Environ. Sci. 2019, 244, 012040. [Google Scholar] [CrossRef]
- Martin, A.; Wang, Y.; Li, J.; Mends, G. Technical Risk Factors of International Construction. J. Eng. 2018, 2018, 138–146. [Google Scholar] [CrossRef]
- Jin, R.; Zuo, J.; Hong, J. Scientometric Review of Articles Published in ASCE’s Journal of Construction Engineering and Management from 2000 to 2018. J. Constr. Eng. Manag. 2019, 145, 06019001. [Google Scholar] [CrossRef]
- Cheung, S.O.; Pang, K.H.Y. Anatomy of Construction Disputes. J. Constr. Eng. Manag. 2013, 139, 15–23. [Google Scholar] [CrossRef]
- Elhag, T.; Eapen, S.; Ballal, T. Moderating Claims and Disputes through Collaborative Procurement. Constr. Innov. 2020, 20, 79–95. [Google Scholar] [CrossRef]
- Osei-Kyei, R.; Chan, A.P.C.; Yu, Y.; Chen, C.; Dansoh, A. Root Causes of Conflict and Conflict Resolution Mechanisms in Public-Private Partnerships: Comparative Study between Ghana and China. Cities 2019, 87, 185–195. [Google Scholar] [CrossRef]
- Cheung, S. Risk Allocation: An Essential Tool for Construction Project Management. J. Constr. Procure. 1997, 3, 16–27. [Google Scholar]
- Ke, Y.; Wang, S.; Chan, A.P.C.; Cheung, E. Understanding the Risks in China’s PPP Projects: Ranking of Their Probability and Consequence. Eng. Constr. Archit. Manag. 2011, 18, 481–496. [Google Scholar] [CrossRef]
- Sachs, T.; Tiong, R.; Wang, S.Q. Analysis of Political Risks and Opportunities in Public Private Partnerships (PPP) in China and Selected Asian Countries. Chin. Manag. Stud. 2007, 1, 126–148. [Google Scholar] [CrossRef]
- Hanna, A.S.; Thomas, G.; Swanson, J.R. Construction Risk Identification and Allocation: Cooperative Approach. J. Constr. Eng. Manag. 2013, 139, 1098–1107. [Google Scholar] [CrossRef]
- Cooper, D. Project Risk Management Guidelines; John Wiley & Sons, Inc.: Hoboken, NJ, USA, 2005. [Google Scholar]
- Pawson, O.; Thompsum, M. A “Perfect” Project: Engineers and the Law. Can. Consult. Eng. 2013, 30–31. [Google Scholar]
- Sauden, A.; Mishra, A.K.; Aithal, P.S. Assessing the Seeds of Disputes in Projects. Int. J. Case Stud. Bus. IT Educ. 2022, 6, 538–552. [Google Scholar] [CrossRef]
- Mahamid, I. Micro and Macro Level of Dispute Causes in Residential Building Projects: Studies of Saudi Arabia. J. King Saud Univ. Eng. Sci. 2016, 28, 12–20. [Google Scholar] [CrossRef]
- Tanriverdi, C.; Atasoy, G.; Dikmen, I.; Birgonul, M.T. Causal Mapping to Explore Emergence of Construction Disputes. J. Civ. Eng. Manag. 2021, 27, 288–302. [Google Scholar] [CrossRef]
- Shash, A.A.; Habash, S.I. Disputes in Construction Industry: Owners and Contractors’ Views on Causes and Remedies. J. Eng. Proj. Prod. Manag. 2021, 11, 37. [Google Scholar] [CrossRef]
- Al-Zwainy, F.M.S.; Jaber, F.K.; Hachem, S.W. Diagnostic of the Claims and Disputes Between the Contractor and Owner in Construction Project Using Narrative Analysis Approach. Int. J. Civ. Eng. Technol. 2018, 9, 619–626. [Google Scholar]
- Chan, E.H.W.; Suen, H.C.H. Disputes and Dispute Resolution Systems in Sino-Foreign Joint Venture Construction Projects in China. J. Prof. Issues Eng. Educ. Pract. 2005, 131, 141–148. [Google Scholar] [CrossRef]
- Hardjomuljadi, S.; Sulistio, H. The Most Influencing Factors on the Causes of Construction Claims and Disputes in the EPC Contract Model of Infrastructure Projects in Indonesia. Rev. Int. Geogr. Educ. 2021, 11, 80–91. [Google Scholar] [CrossRef]
- Yildizel, S.A.; Dogan, E.; Kaplan, G.; Ergut, A. Major Constructional Dispute Causes in Turkey. Arch. Civ. Eng. 2016, 62, 193–204. [Google Scholar] [CrossRef]
- Surahyo, A. Understanding Construction Contracts: Canadian and International Conventions; Springer: Berlin/Heidelberg, Germany, 2018; ISBN 9783319666853. [Google Scholar]
- Awwad, R.; Barakat, B.; Menassa, C. Understanding Dispute Resolution in the Middle East Region from Perspectives of Different Stakeholders. J. Manag. Eng. 2016, 32, 05016019. [Google Scholar] [CrossRef]
- Acharya, N.K.; Lee, Y.D.; Kim, J.K. Critical Construction Conflicting Factors Identification Using Analytical Hierarchy Process. KSCE J. Civ. Eng. 2006, 10, 165–174. [Google Scholar] [CrossRef]
- Al-Sabah, S.S.J.A.; Fereig, S.M.; Hoare, D.J. A Database Management System to Document and Analyse Construction Claims. Adv. Eng. Softw. 2003, 34, 477–491. [Google Scholar] [CrossRef]
- Sha’ar, K.Z.; Assaf, S.A.; Bambang, T.; Babsail, M.; Fattah, A.M.A. El Design–Construction Interface Problems in Large Building Construction Projects. Int. J. Constr. Manag. 2017, 17, 238–250. [Google Scholar] [CrossRef]
- Chaphalkar, N.B.; Iyer, K.C.; Patil, S.K. Prediction of Outcome of Construction Dispute Claims Using Multilayer Perceptron Neural Network Model. Int. J. Proj. Manag. 2015, 33, 1827–1835. [Google Scholar] [CrossRef]
- Equbal, A.; Banerjee, R.; Khan, Z.R.; Dixit, R.B. Construction Disputes in Construction Work Sites and Their Probable Solutions. Int. J. Civ. Eng. Technol. 2017, 8, 74–81. [Google Scholar]
- Yussof, S.; Zaini, A.A.; Ibrahim, S.H.; Abdullah, N. Assessing the Malaysian Standard Form of Contract in Relation to the Current Construction Dispute and Dispute Resolution. Malays. Constr. Res. J. 2020, 9, 151–161. [Google Scholar]
- Zaneldin, E.K. Construction Claims in United Arab Emirates: Types, Causes, and Frequency. Int. J. Proj. Manag. 2006, 24, 453–459. [Google Scholar] [CrossRef]
- Khalifa, W.M.A.; Mahamid, I. Causes of Change Orders in Construction Projects. Eng. Technol. Appl. Sci. Res. 2019, 9, 4956–4961. [Google Scholar] [CrossRef]
- Memon, A.H.; Rahman, I.A.; Hasan, M.F.A. Significant Causes and Effects of Variation Orders in Construction Projects. Res. J. Appl. Sci. Eng. Technol. 2014, 7, 4494–4502. [Google Scholar] [CrossRef]
- Jagannathan, P.; Nidhi, H. Analysis to Identify the Prevailing Causes That Leads to Arbitration in Construction Contracts. Int. J. Civ. Eng. Technol. 2017, 8, 2069–2076. [Google Scholar]
- Treacy, D.; Spillane, J.P.; Tansey, P. Construction Disputes in Small to Medium Enterprise’s in Ireland during Recession. Int. J. Law Built Environ. 2016, 8, 21–41. [Google Scholar] [CrossRef]
- Le, N.; Chong, O.; Kashiwagi, D. Success Factors for Project Risk Management in Construction Projects: A Vietnam Case Study. J. Adv. Perform. Inf. Value 2020, 12, 63. [Google Scholar] [CrossRef]
- Tripathi, K.K.; Jha, K.N. Determining Success Factors for a Construction Organization: A Structural Equation Modeling Approach. J. Manag. Eng. 2018, 34, 04017050. [Google Scholar] [CrossRef]
- Conti, M.; Elia, L.; Ferrara, A.R.; Ferraresi, M. Governments’ Late Payments and Firms’ Survival: Evidence from the European Union. J. Law Econ. 2021, 64, 603–627. [Google Scholar] [CrossRef]
- Sambasivan, M.; Soon, Y.W. Causes and Effects of Delays in Malaysian Construction Industry. Int. J. Proj. Manag. 2007, 25, 517–526. [Google Scholar] [CrossRef]
- Iyer, K.C.; Chaphalkar, N.B.; Joshi, G.A. Understanding Time Delay Disputes in Construction Contracts. Int. J. Proj. Manag. 2008, 26, 174–184. [Google Scholar] [CrossRef]
- Mitropoulos, P.; Howell, G. Model for Understanding, Preventing, and Resolving Project Disputes. J. Constr. Eng. Manag. 2001, 127, 223–231. [Google Scholar] [CrossRef]
- Olusola, O.A. Management Practice for Delayed Payment by Contracting Firms in Lagos State, Nigeria; Obafemi Awolowo University: Ife, Nigeria, 2019. [Google Scholar]
- James, D.O.; Amusan, M.L.; Oloke, C.O.; Olusanya, O.; Tunji-Olayeni, P.; Owolabi, P.D. Causes and Effect of Delay on Project Construction Delivery Time. Int. J. Educ. Res. 2014, 2, 197–208. [Google Scholar]
- Mukilan, M.; BalaNivetha, M.; Pandi, V.; Gnanaraj, S. A Qualitative Study and Analysis of Causes and Disputes in Claims in Construction Industry. Int. J. Civ. Eng. Technol. 2019, 10, 951–957. [Google Scholar]
- Akintelu, S.O.; Oyebola, A.I.; Tiamiyu, S.; Olateju, O. The Impact of Project Communication Management on Successful Project Delivery in the Construction Industry: A Case Study. Int. J. Dev. Sustain. 2023, 12, 376–386. [Google Scholar]
- Gunhan, S.; Senol, G.; Dogan, S. Non-Verbal Cues: Improving Communication in Construction Projects. In Proceedings of the 2012 ASEE Annual Conference & Exposition Proceedings, ASEE Conferences, San Antonio, TX, USA, 10–13 June 2012; pp. 25.979.1–25.979.8. [Google Scholar]
- Hussain, A.M.A.; Othman, A.A.; Gabr, H.S.; Aziz, T.A. Causes and Impacts of Poor Communication in the Construction Industry. In Proceedings of the 2nd International Conference on Sustainable Construction and Project Management—Sustainable Infrastructure and Transportation for Future Cities, Aswan, Egypt, 16–18 December 2018; Springer: Singapore, 2018; pp. 16–18. [Google Scholar]
- Suleiman, A.; Almasaeid, H.; Hussein, N.; Abahre, J. Addressing the Causes and Effects of Poor Communication in the Jordanian Construction Industry: A Study on Improving Project Performance. Civ. Environ. Eng. 2023, 19, 156–166. [Google Scholar] [CrossRef]
- Tipili, L.G.; Ojeba, P.O. Evaluating the Effects of Communication in Construction Project Delivery in Nigeria. In Proceedings of the Multi-disciplinary Academic Conference on Sustainable Development, Bauchi, Nigeria, 10–11 July 2014. [Google Scholar]
- Batool, A.; Abbas, F. Reasons for Delay in Selected Hydro-Power Projects in Khyber Pakhtunkhwa (KPK), Pakistan. Renew. Sustain. Energy Rev. 2017, 73, 196–204. [Google Scholar] [CrossRef]
- Love, P.E.D.; Li, H. Quantifying the Causes and Costs of Rework in Construction. Constr. Manag. Econ. 2000, 18, 479–490. [Google Scholar] [CrossRef]
- Olawale, Y.A.; Sun, M. Cost and Time Control of Construction Projects: Inhibiting Factors and Mitigating Measures in Practice. Constr. Manag. Econ. 2010, 28, 509–526. [Google Scholar] [CrossRef]
- Dainty, A.; Moore, D.; Murray, M. Communication in Construction; Routledge: Oxfordshire, UK, 2007; ISBN 9780203358641. [Google Scholar]
- Rahman, I.A.; Memon, A.H.; Karim, A.T.A. Significant Factors Causing Cost Overruns in Large Construction Projects in Malaysia. J. Appl. Sci. 2013, 13, 286–293. [Google Scholar] [CrossRef]
- Gamil, Y.; Abd Rahman, I. Studying the Relationship between Causes and Effects of Poor Communication in Construction Projects Using PLS-SEM Approach. J. Facil. Manag. 2023, 21, 102–148. [Google Scholar] [CrossRef]
- Ramonu, J.A.L.; Ilevbaoje, J.O.; Olaonipekun, O.A.; Omotosho, A.O.; Owamah, H.I.; Adewole, T.A. Prevention of Conflict in Construction Industry Considering; Organization, Consultancy Firm, Contractual Firm and the Professionals Personnel in Nigeria. Int. J. Civ. Eng. Technol. 2018, 9, 472–484. [Google Scholar]
- Layno, J.D.J.; Famadico, J.J.F. Cost and Time Overrun of Public Infrastructure Project in The Philippines: Inhibiting Factors and Mitigating Measures. Int. J. Multidiscip. Appl. Bus. Educ. Res. 2024, 5, 5360–5370. [Google Scholar] [CrossRef]
- Levy, S.M. Project Management in Construction; McGraw-Hill: Columbus, OH, USA, 2002. [Google Scholar]
- Wu, Z.; Nisar, T.; Kapletia, D.; Prabhakar, G. Risk Factors for Project Success in the Chinese Construction Industry. J. Manuf. Technol. Manag. 2017, 28, 850–866. [Google Scholar] [CrossRef]
- Zhang, S.; Sunindijo, R.Y.; Loosemore, M.; Wang, S.; Gu, Y.; Li, H. Identifying Critical Factors Influencing the Safety of Chinese Subway Construction Projects. Eng. Constr. Archit. Manag. 2021, 28, 1863–1886. [Google Scholar] [CrossRef]
- Alnuaimi, A.S.; Taha, R.A.; Al Mohsin, M.; Al-Harthi, A.S. Causes, Effects, Benefits, and Remedies of Change Orders on Public Construction Projects in Oman. J. Constr. Eng. Manag. 2010, 136, 615–622. [Google Scholar] [CrossRef]
- Dief, M.A.; Metwally, A.; Elsayed, A. Construction Claims Mitigation in Design and Build Contracts. PM World J. 2020, 9, 1–14. [Google Scholar]
- Samantha, I. An Overview of Construction Claims: How They Arise and How to Avoid Them; Clark Wilson LLP: Vancouver, BC, Canada, 2002. [Google Scholar]
- Assaf, S.A.; Al-Hejji, S. Causes of Delay in Large Construction Projects. Int. J. Proj. Manag. 2006, 24, 349–357. [Google Scholar] [CrossRef]
- Carmichael, S.; Murray, M. Record Keeping for Contemporaneous Delay Analysis: A Model for Effective Event Management. Constr. Manag. Econ. 2006, 24, 1007–1018. [Google Scholar] [CrossRef]
- Farrow, T. Developments in the Analysis of Extensions of Time. J. Prof. Issues Eng. Educ. Pract. 2007, 133, 218–228. [Google Scholar] [CrossRef]
- El-adaway, I.; Fawzy, S.; Ahmed, M.; White, R. Administering Extension of Time under National and International Standard Forms of Contracts: A Contractor’s Perspective. J. Leg. Aff. Disput. Resolut. Eng. Constr. 2016, 8, 04516001. [Google Scholar] [CrossRef]
- Gardezi, S.S.S.; Manarvi, I.A.; Gardezi, S.J.S. Time Extension Factors in Construction Industry of Pakistan. Procedia Eng. 2014, 77, 196–204. [Google Scholar] [CrossRef]
- Olanrewaju, A.; Anavhe, P.J.; Chu, H.C. Disputes and Claim Management during the COVID-19 Crisis: The Lessons Learned. J. Leg. Aff. Disput. Resolut. Eng. Constr. 2023, 15, 04522054. [Google Scholar] [CrossRef]
- Barman, A.; Charoenngam, C. Decisional Uncertainties in Construction Projects as a Cause of Disputes and Their Formal Legal Interpretation by the Courts: Review of Legal Cases in the United Kingdom. J. Leg. Aff. Disput. Resolut. Eng. Constr. 2017, 9, 04517011. [Google Scholar] [CrossRef]
- Titus, O.O.; Ali, K.N. Construction Dispute and Contract Incompleteness in Nigeria Construction Industry. Ain Shams Eng. J. 2023, 14, 102153. [Google Scholar] [CrossRef]
- Sibanyama, G.; Muya, M.; Kaliba, C. An Overview of Construction Claims: A Case Study of the Zambian Construction Industry. Int. J. Constr. Manag. 2012, 12, 65–81. [Google Scholar] [CrossRef]
- Yousefi, V.; Yakhchali, S.H.; Khanzadi, M.; Mehrabanfar, E.; Šaparauskas, J. Proposing A Neural Network Model to Predict Time and Cost Claims in Construction Projects. J. Civ. Eng. Manag. 2016, 22, 967–978. [Google Scholar] [CrossRef]
- Ilter, D.A.; Bakioglu, G. Modeling the Relationship between Risk and Dispute in Subcontractor Contracts. J. Leg. Aff. Disput. Resolut. Eng. Constr. 2018, 10, 04517022. [Google Scholar] [CrossRef]
- Mishra, A.; Mandal, L.; Pant, R. Causes of Dispute in International Competitive Bidding Road Contracts Funded by Asian Development Bank in Nepal. J. Adv. Res. Bus. Law Technol. Manag. 2018, 1, 5–16. [Google Scholar]
- Zaneldin, E.K. Investigating the Types, Causes and Severity of Claims in Construction Projects in the UAE. Int. J. Constr. Manag. 2020, 20, 385–401. [Google Scholar] [CrossRef]
- Trangkanont, S.; Wichaiphruek, T.; Uttaraphon, P. Impacts of dispute on project cost: Contractors’ perspective. Int. J. GEOMATE 2018, 14, 210–221. [Google Scholar] [CrossRef]





| Database | Search String (Final Boolean Expression) |
|---|---|
| Scopus | TITLE-ABS-KEY(dispute* OR “construction claim*” OR conflict* OR “contractual risk” OR “dispute prevention” OR “dispute mitigation” OR “dispute resolution” OR “claim management” OR “contract management” OR “contractual dispute” OR “contractual problem”) AND TITLE-ABS-KEY(cause* OR reason* OR source* OR root* OR factor* OR “causative factor”) AND TITLE-ABS-KEY(construction* OR industry OR project* OR building OR “construction industry” OR “construction project” OR “construction management” OR “AEC sector” OR “built environment” OR “project management”) |
| Web of Science (WoS) | TS = (dispute* OR “construction claim*” OR conflict* OR “contractual risk” OR “dispute prevention” OR “dispute mitigation” OR “dispute resolution” OR “claim management” OR “contract management” OR “contractual dispute” OR “contractual problem”) AND TS = (cause* OR reason* OR source* OR root* OR factor* OR “causative factor”) AND TS = (construction* OR industry OR project* OR building OR “construction industry” OR “construction project” OR “construction management” OR “AEC sector” OR “built environment” OR “project management”). |
| Criterion | Score | Description |
|---|---|---|
| Clear research objectives | 1 | The study clearly states its aims and research objectives. |
| 0.5 | Objectives are mentioned but not clearly articulated. | |
| 0 | Objectives are unclear or not stated. | |
| Transparent methodological explanation | 1 | Data collection and analysis procedures are described in sufficient detail. |
| 0.5 | Methodology is partially described but lacks important details. | |
| 0 | Methodology is unclear or insufficiently explained. | |
| Acknowledgment of limitations | 1 | The study explicitly identifies its limitations. |
| 0.5 | Limitations are mentioned but not clearly explained. | |
| 0 | No limitations are acknowledged. | |
| Clarity of reported findings | 1 | Findings are clearly presented and supported by evidence. |
| 0.5 | Findings are presented but lack clarity or supporting detail. | |
| 0 | Findings are unclear or insufficiently reported. |
| Cause 1 | Cause 2 | Similarity |
|---|---|---|
| Payments | Delay in payments | 0.83 |
| Availability of information | availability of information | 1.00 |
| Risk allocation | risk allocation | 1.00 |
| Risk allocation | Unfair allocation of risk | 0.74 |
| Project scope definition | project scope definition not clear | 0.77 |
| Lack of team spirit | lack of team spirit | 1.00 |
| Poor communications | Poor communications between project participants | 0.72 |
| Inadequate contract documentation | Inadequate design documentation | 0.77 |
| Inadequate design documentation | Incomplete design “Inadequate documentation” | 0.83 |
| Estimating errors (by contractor) | Estimating errors | 0.93 |
| Causes | Frequency |
|---|---|
| Risks are unfairly or inappropriately allocated during early project definition. | 19 |
| Difficulties in obtaining permits or understanding local regulations. | 16 |
| The project scope is vague or poorly defined, leading to misaligned expectations. | 12 |
| The Owner provides inconsistent or incomplete project requirements. | 9 |
| Parties lack proficiency in legal requirements or jurisdictional constraints. | 5 |
| Cost or duration estimates during feasibility studies are unrealistic or inaccurate. | 4 |
| The Owner fails to allocate an adequate budget or establish proper financial planning before project initiation. | 1 |
| Causes | Frequency |
|---|---|
| Contract documents contain unclear, contradictory, or incomplete provisions (Ambiguous contract documents). | 32 |
| Design documents contain errors, omissions, or lack coordination. | 24 |
| Technical specifications are unclear, incomplete, or non-constructible. | 23 |
| Ineffective planning and scheduling due to the fast-track nature of the projects. | 15 |
| Insufficient time or budget for site investigation leads to subsurface issues. | 15 |
| Detailed cost or duration estimates are based on unrealistic assumptions. | 15 |
| Tender documents lack complete project information or Owner requirements. | 13 |
| Substantial increase in quantities leading to rate adjustments due to an inaccurate bill of quantities. | 13 |
| Use of generic specifications or drawings without sufficient detail tailored to the specific contract. | 11 |
| Contractors fail to fully understand project requirements during bidding, including failure to visit the site or properly review documents. | 11 |
| Unbalanced bidding and contractors’ nondisclosure of quantity deviations. | 10 |
| Lowest-price mentality in selecting service providers, disregarding technical competence, and sustainable profit margins. | 9 |
| The chosen procurement method or contract type is unsuitable. | 7 |
| Item descriptions in the bill of quantities are ambiguous or incomplete. | 6 |
| Parties disagree on payment terms under preliminaries or general items. | 6 |
| Delay in issuing site drawings and material specifications by the Engineer. | 5 |
| Insufficient time is allocated to prepare contract documents. | 3 |
| Bridges of contract or excessive amendments disrupt contract clarity. | 3 |
| Engineer staff lack experience in drafting contract documents. | 2 |
| Quality requirements are poorly defined, leading to subjective interpretations. | 2 |
| Parties misunderstand escalation or de-escalation provisions. | 2 |
| Project priorities are unclear or improperly assigned. | 1 |
| Failure to arrange required insurance coverage. | 1 |
| Causes | Frequency |
|---|---|
| Changes or variations orders during construction, including undocumented oral instructions. | 43 |
| Owner’s financial instability and delayed progress payments. | 25 |
| Ineffective communication during construction or being overly reliant on oral exchanges. | 22 |
| Unforeseen physical site conditions encountered during construction. | 19 |
| The Owner delays or inconsistently issues decisions required for progress. | 18 |
| Poor quality work or materials due to inadequate Contractor QA/QC systems. | 16 |
| Manpower, materials, or equipment are insufficient or unavailable. | 16 |
| Adverse weather conditions resulting in slowness or stoppage of the project. | 15 |
| Fluctuations in labor, material, or currency costs affect project performance. | 15 |
| Relationships between parties are confrontational or mistrustful (adversarial project culture). | 15 |
| Poor Contractor performance leads to mistakes, rework, or slow progress. | 14 |
| Government regulations change or contradict earlier requirements, affecting project execution. | 14 |
| The Owner fails to hand over the site on time, delaying the construction start (delayed site possession). | 13 |
| Contractor site management, supervision, or coordination is inadequate. | 13 |
| Contractor financial difficulties and nonpayment to Subcontractors. | 12 |
| Accidents due to negligence and non-compliance with safety standards. | 11 |
| Political instability, public disorder, or local protests disrupt work (external disruptions). | 11 |
| Low or inefficient manpower productivity. | 10 |
| Subcontractors lack competence or are mismanaged by the Contractor. | 8 |
| Design revisions are required during construction due to incomplete or uncoordinated design. | 8 |
| Suppliers fail to deliver equipment or materials as planned. | 8 |
| The Owner demands acceleration without justification or compensation. | 7 |
| The Owner suspends or terminates works, causing delays and disputes. | 7 |
| Contractor staff lack the necessary skills or experience. | 5 |
| Opportunistic behavior by project parties, including withholding information or acting in self-interest. | 5 |
| Acts of God, such as earthquakes or floods, damage works or equipment (Force majeure events). | 3 |
| Equipment is unavailable due to breakdowns or maintenance issues. | 3 |
| The Owner or Engineer disrupts construction through excessive involvement. | 3 |
| The Contractor delays mobilizing manpower, equipment, or resources to the site. | 2 |
| Nominated or domestic Subcontractors delay their portion of the works. | 2 |
| Restricted or disrupted access to the site due to third-party interference. | 2 |
| Community expectations and local employment requirements are leading to disruptions affecting the project. | 2 |
| Effects of previous working relationships become observable during construction, influencing current project dynamics. | 2 |
| Weak project leadership or absence of a designated Project Manager. | 2 |
| Work sequences clash due to poor coordination or delayed handover. | 1 |
| The Contractor is unprepared to take possession when the site becomes available. | 1 |
| Security risks or incidents disrupt construction. | 1 |
| Damage or deterioration of materials during storage on-site. | 1 |
| Environmental or social impacts, such as noise, traffic, or pollution, affecting project progress. | 1 |
| Insufficient utilities on-site (electricity, water, etc.) disrupting construction activities. | 1 |
| Causes | Frequency |
|---|---|
| The owner delays issuing interim decisions on extensions of time or compensation. | 12 |
| The Contractor submits exaggerated or unrealistic claims. | 9 |
| Parties fail to understand or comply with contractual obligations. | 7 |
| Owner or Engineer bureaucracy delays inspections or approvals. | 6 |
| Engineer staff responds slowly to Contractor inquiries or site issues. | 6 |
| Claims are incomplete, poorly drafted, or lack supporting evidence. | 3 |
| Parties provide inadequate responses to contractual or technical issues. | 3 |
| Parties lack staff capable of identifying or managing claims. | 2 |
| Failure to provide timely contractual notifications regarding changes, approvals, or required actions. | 2 |
| Parties fail to record events or prepare required reports. | 2 |
| Causes | Frequency |
|---|---|
| Defects are identified after the defects liability period ends. | 2 |
| The Owner increases the scope after practical completion. | 1 |
| Final or interim payments are delayed during project close-out. | 1 |
| The Owner fails to settle final payments. | 1 |
Disclaimer/Publisher’s Note: The statements, opinions and data contained in all publications are solely those of the individual author(s) and contributor(s) and not of MDPI and/or the editor(s). MDPI and/or the editor(s) disclaim responsibility for any injury to people or property resulting from any ideas, methods, instructions or products referred to in the content. |
© 2026 by the authors. Licensee MDPI, Basel, Switzerland. This article is an open access article distributed under the terms and conditions of the Creative Commons Attribution (CC BY) license.
Share and Cite
Olaimat, A.R.A.; Marey-Perez, M. Lifecycle-Based Analysis of Construction Dispute Causes: A Semi-Automated Systematic Review. Buildings 2026, 16, 944. https://doi.org/10.3390/buildings16050944
Olaimat ARA, Marey-Perez M. Lifecycle-Based Analysis of Construction Dispute Causes: A Semi-Automated Systematic Review. Buildings. 2026; 16(5):944. https://doi.org/10.3390/buildings16050944
Chicago/Turabian StyleOlaimat, Ahmed R. A., and Manuel Marey-Perez. 2026. "Lifecycle-Based Analysis of Construction Dispute Causes: A Semi-Automated Systematic Review" Buildings 16, no. 5: 944. https://doi.org/10.3390/buildings16050944
APA StyleOlaimat, A. R. A., & Marey-Perez, M. (2026). Lifecycle-Based Analysis of Construction Dispute Causes: A Semi-Automated Systematic Review. Buildings, 16(5), 944. https://doi.org/10.3390/buildings16050944

