Next Article in Journal
Boundary Strategies Enhance Spatial Cognitive Efficiency in Indoor Navigation: A VR-Based Investigation
Previous Article in Journal
Optimized Fiber Element Modeling Strategy for Concrete-Encased Steel Composite Columns: Focusing on Material Nonlinearity and Confinement Effects
 
 
Font Type:
Arial Georgia Verdana
Font Size:
Aa Aa Aa
Line Spacing:
Column Width:
Background:
Article

Investigating the Impact of Gray-Green Space Exposure Ratio and Spatial Openness Level on Social–Emotional Responses of Older Adults Using EEG Data: A Case Study of Streets in Wuhan

1
School of Civil Engineering, Architecture and Environment, Hubei University of Technology, Wuhan 430068, China
2
Key Laboratory of Intelligent Health Perception and Ecological Restoration of Rivers and Lakes, Ministry of Education, Hubei University of Technology, Wuhan 430068, China
3
Innovation Demonstration Base of Ecological Environment Geotechnical and Ecological Restoration of Rivers and Lakes, Wuhan 430068, China
*
Author to whom correspondence should be addressed.
Buildings 2026, 16(5), 1000; https://doi.org/10.3390/buildings16051000
Submission received: 5 January 2026 / Revised: 24 February 2026 / Accepted: 27 February 2026 / Published: 4 March 2026
(This article belongs to the Section Architectural Design, Urban Science, and Real Estate)

Abstract

Two major global trends shaping 21st-century society are population aging and urbanization. Consequently, the living conditions of older adults have become an increasing focus of societal attention. Social–Emotional Responses play a crucial role in the mental health, emotional well-being, and social identity of older adults. Urban streets, as key sites for walking and social activity among older adults, can be seen as extensions of their homes—places where they regularly interact with neighbors and build new connections. Compared to built environments often termed “gray spaces,” exposure to green spaces has been shown to offer greater benefits to residents’ well-being. Among streetscape features, the Spatial Openness Level is closely associated with the psychological well-being of elderly individuals. Visual-spatial features correlate with an EEG-derived proxy for emotional state during exposure to street scenes. The Gray-Green space Exposure Ratio (GER) and Spatial Openness Level (SOL) serve as key indicators for evaluating streetscape quality. Designing age-friendly streets requires evidence-based tools that link visual features to emotional well-being. This study provides such a tool by combining EEG measurements with configurational analysis of street visual dimensions: SOL and GER. In this study, conducted in Wuhan City, objective physiological monitoring of brainwave activity was employed to examine the responses of older adults to variations in GER and SOL. The results indicate that SOL significantly influences the emotional states of older adults (correlation coefficient R2 = 0.7262, p < 0.01). The results indicate that the effect of GER on the emotional states of older adults was moderated by gender. Specifically, GER exerted a significant effect on the emotional states of females (correlation coefficient R2 = 0.6262, p < 0.01), whereas no significant effect was observed in males (p > 0.01). These results allow us to rank the nine tested scenes. For example, Scene L-3 (open space with abundant vegetation) scored highest on emotional well-being, while Scene H-1 (enclosed gray space) scored lowest. The difference is explained by the configurational logic: greenery delivers emotional benefits only when combined with sufficient openness. The findings will enable EEG data to extend beyond serving as a unique standalone outcome and integrate into a more comprehensive explanatory model. This model aims to elucidate how urban morphology influences the micro-foundations of social activity in later life. Furthermore, it seeks to equip urban designers and policymakers with an evidence-based tool for creating age-friendly environments, facilitating a shift from intuition-driven to evidence-based design. Future research should incorporate additional environmental factors to establish a more comprehensive assessment framework for age-friendly urban spaces.

1. Introduction

Social interaction plays a crucial role in the mental health, emotional well-being, and social identity of older adults [1]. It serves not only as a channel for emotional exchange and support but also as a foundation for an individual’s sense of belonging and social identity [2]. With rapid social development and urbanization, particularly in East Asian regions such as China, Japan, and South Korea, a distinct “aging society” phenomenon has emerged [3]. The lifestyles, psychological states, and social behaviors of older adults have thus attracted widespread attention and research [3].
Two major global trends shaping the 21st century are population aging and urbanization [4]. The age distribution of the world’s population is undergoing profound change [5]. As mortality and fertility rates decline, the population structure is gradually shifting toward older age groups. Over the next 45 years, the global population aged 60 and above is projected to double [6]. By 2050, one-third of Europe’s population will be over 60 years old [5]. In low- and middle-income countries, the growth rate of the older population is even faster than in high-income countries [5]. According to the latest 2020 census in China, the proportion of the population aged 65 and above has reached nearly 14%, indicating that China is entering an aging society [6].
The World Health Organization (WHO) emphasizes the street as an indispensable space for local aging, as most active living behaviors among older adults revolve around and depend on urban streets [7]. Active behaviors such as walking and cycling, as well as social interaction, are widely recognized as beneficial to the physical and mental health of older adults [8]. Increased social interaction among older adults can reduce feelings of isolation and lower the risks of depression, anxiety, and chronic diseases. Urban streets, as key sites for walking and social activity among older adults, can be seen as extensions of their homes—places where they regularly interact with neighbors and build new connections [9]. In densely populated cities, especially in China, streets play an even more vital role in promoting social interaction and physical activity among older adults, thereby significantly contributing to their overall well-being [9]. Therefore, how to plan and design urban streets to enhance their vibrancy and appeal is essential for fostering active lifestyles among older adults. Yet, urban design guidelines often rely on generic principles—“add more green” and “widen sidewalks”—without evidence-based tools to predict which configurations actually benefit older users.
The quality of the physical street environment, including its built and natural elements, directly influences residents’ walking preferences [10]. Urban gray space, defined as areas composed of non-natural surfaces such as built-up areas, is where residents are primarily exposed to negative environmental factors, including air pollution resulting from urbanization driven by land-use changes, human settlement patterns, and behavioral practices [11]. Streets, serving as the primary public spaces for outdoor activities in cities, are a key representation of urban gray space [12]. In contrast, green space, characterized by natural elements such as vegetation, can mitigate the negative effects of exposure to gray environments and provide residents with a sense of well-being and other positive benefits [13]. Land partially or fully covered by grass, trees, shrubs, or other vegetation is generally classified as green space [14]. Over the past three decades, a substantial body of research, though not entirely conclusive, suggests that exposure to green spaces has positive effects on human health and well-being [15].
Existing studies often use the Gray-Green space Exposure Ratio (GER) to assess street quality, while Spatial Openness Level (SOL) serves as another important metric [11]. Spatial Openness Level, measured by sky visibility, determines ambient brightness and significantly affects visual perception [16]. For instance, Li et al. evaluated Spatial Openness Level (SOL) using sky view factor. Enhancing Spatial Openness Level can increase the attractiveness of street scenes and improve the comfort of public activities [17]. Areas with low SOL are typically surrounded by buildings, corresponding to central business districts and other urban cores [18]. Both the GER and SOL can quantify urban street quality by reflecting the relative exposure to artificial versus natural spaces and their imbalanced relationship—a measure that may reveal whether older adults face reduced access to natural environments amid rapid urbanization [19].
Previous research has employed population-weighted exposure assessment methods to quantify Chinese urban residents’ exposure to gray and green spaces in the early 21st century (2000–2019) [11]. This approach effectively accounts for spatial heterogeneity in environmental supply and demand, as well as uneven population distribution, thereby accurately reflecting the actual exposure levels of large populations. Based on a survey assessing environmental conditions and interactive behaviors among older adults in the Netherlands, participatory video research has been shown to yield rich data on the age-friendliness of cities and the experiences, preferences, and needs of older residents, confirming the link between urban landscapes and the lived experience of aging [20]. By combining the KJ method and CFA, one study concluded that lower residential density, better aesthetic quality, and higher street connectivity encourage older adults to walk more frequently [21]. However, few studies have concurrently analyzed the relationship between the Gray-Green space Exposure Ratio (GER) and Spatial Openness Level (SOL), nor have they used emotional responses of older adults to evaluate street quality.
Electroencephalography (EEG) has been widely applied in architectural and environmental design research, offering significant advantages. For example, Khosla et al. [22] used EEG to identify user preferences for architectural design images, assisting designers in evaluating design proposals. Erkan [23] employed VR and EEG to investigate factors influencing users’ wayfinding behavior in buildings. One of the earliest EEG-based emotion recognition methods was proposed by Musha et al. [24], who defined an emotion matrix to transform EEG features into quaternion emotion vectors corresponding to four basic emotions, enabling real-time emotion analysis with a maximum temporal resolution of 0.64 s. Karandinou et al. [25] explored the relationship between physical attributes around buildings and participants’ brain activity through synchronized EEG and video recording. Relevant neuroscience studies indicate that current EEG devices can analyze brainwaves across frequencies such as δ, θ, α, β, and γ, with the α/β ratio considered a suitable indicator for environmental responsiveness [22]. Dai used α and β band analysis to assess the attractiveness of public landscapes, highlighting the importance of fragmentation scale in evaluating visual richness, building density, or urban composition [21]. Chen et al. applied EEG technology in multi-scene experiments, comparing psychological changes in urban versus natural environments using EEG, and preliminarily established an experimental framework for identifying cognitive patterns during landscape traversal [26].
Despite growing evidence underscoring the importance of street environments in supporting active lifestyles, few studies have explored the relationship between EEG variations and social interaction among older adults living in these environments [27,28,29]. Although substantial research exists on the benefits of urban streets and social interaction for older adults, few investigations have quantitatively examined the relationship between the Gray-Green space Exposure Ratio (GER), Spatial Openness Level (SOL), and their specific effects on older adults—particularly in terms of environmental attractiveness and emotional impact—from an EEG perspective. This study employs EEG monitoring to analyze fluctuations in emotional responses among older adults to changes in GER and SOL, thereby contributing to the promotion of healthy aging and the planning of age-friendly cities.
The postulated influence of GER and SOL on emotional states can be grounded in well-established psychological and neurophysiological frameworks. Firstly, the degree of visual enclosure is fundamentally linked to perceived safety and spatial legibility. Environments with moderate to high enclosure provide clear boundaries and a sense of refuge, which can reduce environmental uncertainty and lower the need for sustained vigilance. This is hypothesized to down-regulate threat-responsive neural circuits (e.g., amygdala activity) and sympathetic arousal, promoting a state of relaxation measurable through physiological indicators. Secondly, GER engages mechanisms described by Attention Restoration Theory (ART) and Stress Reduction Theory (SRT) [22]. ART posits that natural elements capture attention effortlessly (“soft fascination”), allowing top-down directed attention networks, mediated by the prefrontal cortex, to rest and recover from cognitive fatigue [23]. SRT, in contrast, suggests that exposure to nature elicits an innate, rapid calming response, potentially mediated by the parasympathetic nervous system and linked to increased activity in prefrontal and limbic regions associated with positive affect and emotional regulation [24]. Consequently, lower GER is expected to correlate with reduced stress and cognitive load, and improved attentional function. For older adults, whose motivational priorities shift towards emotional regulation and familiarity according to Socioemotional Selectivity Theory, these environmental influences on safety and restoration may be particularly salient [25]. In EEG, the power of the alpha band is enhanced during resting states, such as during meditation or relaxation. The frontal lobe, as the most advanced region of the developing brain, governs functions including behavior, cognition, executive control, emotion, and motor activity. Beta waves represent a primary EEG component underlying logical analysis; this frequency band is generated during active thinking and periods of high emotional arousal [26]. Several studies have reported a significant positive correlation between beta activity and attentional intensity. The occipital lobe, located at the posterior end of the cerebral hemisphere, is relatively small in volume yet responsible for critical functions such as language, sensorimotor integration, abstract conceptualization, and—most notably—visual information processing. The neural pathway that transmits visual information from photoreceptors to the visual center in the occipital lobe is termed the visual pathway [27]. Research by Choi et al. indicated that participants in low-stress environments exhibit relatively higher alpha activity. An increase in the α/β ratio generally reflects a positive affective state, suggesting that the individual is experiencing relaxation and reduced stress at that moment. Our study integrates these theoretical pathways by employing EEG to capture the downstream neurophysiological correlates—indexed as attention and meditation/relaxation—of exposure to systematically varied visual street environments defined by GER and SOL.
This study aims to investigate the effects of the Gray-Green space Exposure Ratio (GER) and Spatial Openness Level (SOL) in urban streets on emotional interactions among older adults, and to understand how street landscapes can be linked to their psychological well-being to maximize benefits. This study aims to provide a more scientific basis for the planning and design of urban streets, thereby enhancing the quality of life for older adults and addressing mental health challenges. Furthermore, it seeks to equip urban designers and policymakers with an evidence-based tool for creating age-friendly environments, facilitating a shift from intuition-driven to evidence-based design. In this study, we adopt a two-tiered approach to evidence [28]. First, we use confirmatory analyses to test hypotheses about the main effects of SOL and GER, as well as the influence of demographic covariates. Second, we employ exploratory techniques (including post hoc interaction tests and random forest modeling) to generate hypotheses about more complex, potentially nonlinear or context-dependent relationships. Findings from the exploratory tier are explicitly treated as preliminary and hypothesis-generating; they do not carry the same evidential weight as the confirmatory results and require validation in future research. Based on this, the specific scientific issues explored in this paper are as follows:
(1)
Does the Gray-Green space Exposure Ratio (GER) significantly influence emotional variations in older adults?
(2)
Does Spatial Openness Level (SOL) significantly affect the emotions of older adults?

2. Methods

This study employed a within-subjects experimental design to examine how urban public spaces influence the emotional perception of older adults. The experiment combined electroencephalographic (EEG) monitoring and subjective psychological assessment. Data were collected from January to June 2025, with older adults recruited from 20 communities in Wuhan, Hubei Province.

2.1. Study Area and Pathways

The research path of this study specifically consists of three aspects: identifying the object of study, data acquisition and processing, and analysis of the experimental procedures. The flowchart is shown in Figure 1.
Wuhan, the capital city of Hubei Province, China, has a population of approximately 10 million and covers an area of about 8500 square kilometers. From economic, cultural, and historical perspectives, it serves as a central hub in central China and is recognized as an International Wetland City [20]. In Wuhan, the population aged 65 and above is around 1.6 million, classifying the city overall as moderately aging. From 2005 to 2025, the level of urban greening in Wuhan grew rapidly, significantly exceeding the national average; furthermore, the per capita growth rate of park green space in Wuhan is also higher than the national average. These conditions make the levels of the Gray-Green space Exposure Ratio (GER) and Spatial Openness Level (SOL) in Wuhan’s urban streets worthy of investigation and analysis. Based on the above context, this study focuses on older adults aged 60 and above in Wuhan, with the GER and SOL of more than 20 streets selected as research samples (Figure 2).

2.2. Study Subjects

The research team selected experimental sites from over 40 streets in Wuhan, Hubei Province, based on two key spatial elements: Spatial Openness Level (SOL) and the Gray-Green space Exposure Ratio (GER). SOL was categorized into three types according to spatial enclosure characteristics: open space, semi-open space, and closed space. The classification was defined based on the presence of buildings within specific radii from the camera’s central point: a space was defined as closed if buildings surrounded the area within a 5 m radius; as semi-open if buildings were present within a 5- to 10 m radius; and as open if no buildings were present within a 10 m radius [30,31]. The Gray-Green space Exposure Ratio (GER) was categorized by comparing the proportional areas of buildings versus vegetation in the visual field, resulting in three types: grey space, semi-grey and semi-green space, and green space. This was done following predefined environmental variable criteria and visual element composition ratios [11] (Table 1).
Both SOL and GER are conceptualized and measured as visual exposure metrics derived from street-level imagery, rather than as invariant physical properties of the urban fabric. SOL is assessed based on the visual enclosure created by building facades within a 5 m or 10 m radius from the camera viewpoint, while GER is computed as the ratio of gray to green elements identified via semantic segmentation of the same imagery. As such, both measures are inherently dependent on the camera’s height, orientation, season, and temporary occlusions (e.g., vehicles, pedestrians). Consequently, streets with identical built form may yield different SOL/GER values under different visual conditions, whereas visually similar streets with distinct physical layouts may obtain comparable scores. This perspective aligns with our goal of capturing pedestrian visual experience rather than abstract geometric properties.
In the literature, SOL is often quantified via Sky View Factor (SVF), which measures the geometric proportion of visible sky from a given point. In this study, however, SOL is operationalized as a visual enclosure index based on building presence within specified radial distances. While both approaches capture aspects of street openness, they follow different logics: SVF reflects a hemispherical geometric openness, whereas our radius-based SOL emphasizes the immediate perceptual enclosure experienced by a pedestrian at eye level (Figure 3). The two are correlated but not equivalent. This choice is intentional, as our aim is to measure visual exposure as it is directly framed in street-view images. We acknowledge that future work could compare radius-based enclosure with SVF-derived openness to further validate the perceptual relevance of our approach.

2.3. Participant Recruitment Criteria

To ensure sufficient statistical significance and test power, the sample size for this study was estimated using G*Power software (version 3.1). The calculation was based on an effect size of 0.25, a significance level (α) of 0.05, and a test power (1-β) of 0.80 for an independent samples t-test. The result indicated a minimum requirement of 28 participants per group. Accordingly, 30 participants were ultimately recruited, meeting the sample size requirement and providing adequate data support for subsequent analyses.
All participants were aged between 60 and 85 years, aligning with the internationally recognized definition of older adults [32]. They were recruited through community outreach between March and April 2024. A self-reported health screening questionnaire was administered during recruitment to ensure that candidates met basic health criteria. Before the experiment, all participants were instructed to abstain from vigorous physical activity, staying up late, and the consumption of nicotine or alcohol for at least 24 h, and to avoid caffeinated beverages for at least 2 h beforehand.
The study controlled for gender and age group during sampling but did not systematically collect information on participants’ socioeconomic status (e.g., education, income, occupation, type of residential community). This decision was made primarily because the primary aim of this preliminary study was to test the basic biopsychological link between the visual environment and emotional response, and the sample size (N = 30) limited the ability to conduct meaningful stratified analyses across multiple social dimensions. We acknowledge, however, that this omission constitutes an important limitation. Socioeconomic status could act as a confounding or moderating variable through multiple pathways—for example, by shaping an individual’s familiarity with green spaces, aesthetic preferences, or baseline perceptions of safety in public settings. Consequently, the “average effects” observed in this study may not equally represent older adults from different socioeconomic backgrounds. Future research must incorporate these variables in larger samples to examine the equity of age-friendly environmental benefits.

2.3.1. Semantic Segmentation Processing

The Fully Convolutional Network (FCN) model was applied to perform semantic segmentation on the scene images, assigning a semantic category label to each pixel [33,34]. Based on the Gray-Green space Exposure Ratio (GER) and Spatial Openness Level (SOL), the experimental scenes were categorized into nine types (Figure 4, Table 2). Building surfaces, sidewalks, and roads were classified as grey space, representing areas within the urban environment that lack natural elements (Table 3) [11]. Vegetation, trees, lawns, and green areas were classified as green space, referring to natural or semi-natural vegetated areas [12]. GER was calculated by comparing the proportional area of buildings to that of green elements within the visual field, leading to the classification of spaces as grey space, semi-grey and semi-green space, or green space (Figure 5, Figure 6 and Figure 7). The specific Equation (1) is as follows:
G E R = i = 1 n G r a y i i = 1 n G r e e n i
Grayi denotes the grey space coverage ratio within a 10 m radius of the i-th grid, while Greeni represents the green space coverage ratio within the same spatial extent.

2.3.2. Video Recording

Based on environmental variable criteria and the proportional composition of visual-spatial elements (Table 1), the research team evaluated and selected nine representative sampling points. Video recording and image capture were performed using a DJI Osmo Pocket 2 camera (DJI Innovations Inc., Shenzhen, China). Equipped with a three-axis mechanical gimbal, the device assists in recording stable footage by minimizing shake and vibration.
To standardize conditions, all recordings were conducted during clear daytime weather. For each of the nine points, videos were captured representing three levels of the GER and three levels of SOL (Table 3). To approximate a natural human perspective, the camera was positioned at a height of approximately 1.65 m. A slow, continuous panning motion was employed within a 160° field of view. After filming, all footage was reviewed and edited. Since this study focuses solely on the influence of visual perception on emotional states, all audio tracks were removed during editing. The final experimental material consisted of nine one-minute video clips, one for each unique condition across the nine sampling points.

2.3.3. EEG Measurement

This study employed a portable EEG device equipped with the TGAM microchip (manufactured by NeuroSky, Wuxi, China) for data collection. The device recorded brainwave signals at a sampling rate of 512 Hz. Advanced noise-filtering technology was integrated to effectively minimize interference from ambient noise and electrical sources. Collected raw EEG signals were converted from the time domain to power spectra across different frequency bands using a Fast Fourier Transform (FFT) algorithm, and the processed data were then transmitted to a computer via Bluetooth. All participants provided written informed consent prior to the experiment and were asked to follow a detailed “artifact minimization protocol.” During the recordings, participants were instructed to remain physically still, avoid frequent blinking, swallowing, and facial muscle movements, and the experiment was conducted in a quiet, low-electromagnetic-interference environment. The reliability and validity of this device in EEG research have been established in previous studies [35,36]. Research using power ratios of EEG frequency bands has indicated that α/β and θ/β ratios are negatively correlated with stress levels [37,38]. In this study, the emotional indicator was derived from the ratio of α-wave to β-wave power, calculated using the following Equation (2):
R A B = P o w e r α   P o w e r β
This study employed the ratio of frontal alpha to beta wave power (α/β) as a neurophysiological index of emotional valence. The selection of this metric is supported by existing evidence indicating that a higher relative alpha power, reflecting cortical inhibition or a relaxed state, coupled with lower beta power, associated with alertness or cognitive activation, correlates with positive emotional states and emotion regulation processes [22]. Although alpha and beta waves are individually linked to relaxation and resting attention (alpha) as well as concentration and cognitive load (beta), the pattern of change in their ratio has been validated in multiple studies as an effective means of distinguishing valence differences elicited by emotional stimuli [25,26,27]. Therefore, within the controlled passive-viewing paradigm adopted in this study, systematic variations in the α/β ratio are primarily interpreted as emotional valence responses evoked by street visual stimuli.

2.4. Experimental Procedure

The experiment was conducted entirely in an empty classroom. To minimize the potential influence of temperature fluctuations on participants’ emotional states [14], the room temperature was maintained at a constant 25 °C using air conditioning throughout the experimental sessions. Furthermore, to reduce potential dizziness and eliminate interference from external light sources on participants’ perception, a darkroom environment measuring 1 m × 1 m × 2 m was constructed within the classroom. The darkroom was equipped with a desk, a chair, and a display screen. The experimental procedure consisted of three phases: pre-experiment preparation, perception of urban scenes, and viewing a 15 min video. A single experimental session lasted approximately 20 min (Figure 8).
Prior to the experiment, participants were guided into the testing environment and seated approximately 60 cm away from a Dell monitor (Dell Technologies Inc., Round Rock, TX, USA). After being informed about the non-invasive and safe nature of the EEG equipment and other experimental guidelines, participants were instructed to carefully read and sign an informed consent form. They were then asked to review and adhere to a detailed “artifact minimization protocol.” Subsequently, a 2 min eyes-open resting-state recording was performed, followed by a 2 min eyes-closed resting-state recording. The eyes-closed resting data were used later to verify whether the device could detect the expected increase in alpha wave (8–13 Hz) power, serving as a physiological check of proper device function.
Participants then completed a basic demographic questionnaire. Following this, they were fitted with a portable EEG headband (NeuroSky Inc., San Jose, CA, USA) and Sony WH-1000XM4 noise-canceling headphones (Sony Corporation, Tokyo, Japan). Once all equipment was properly adjusted, the researcher confirmed the start of the experiment with the participant and turned off all lights.
In the urban scene perception task, participants were required to watch nine pre-recorded experimental videos consecutively. The presentation order of the videos was randomized for each participant using a computer-generated sequence to counterbalance potential order or fatigue effects. Before the formal task began, participants rested in the darkroom environment for 3 min to acclimatize. During the final minute of this adaptation period, the recording port of the portable EEG device was activated to record baseline data. The experimental videos were then played according to the randomized sequence. After each video, a 10 s black screen was shown as a rest interval before proceeding to the next video. This procedure was repeated until all nine videos had been presented (Figure 9).
Upon completion of the experiment, the researcher removed the EEG headband and headphones from the participant. After a brief rest period, basic post-experiment information was registered, and the process was documented using a DJI Osmo Pocket 2 camera. After confirming the completeness of the collected data, all equipment was cleaned and disinfected for subsequent experimental sessions.
This study employed a laboratory-controlled video playback paradigm designed to examine the independent effects of street visual elements—specifically, SOL and GER—on emotional responses with high internal validity. This experimental design offers several key advantages: (1) Precise Control: It eliminates confounding variables inherent in real street environments, such as weather, traffic, pedestrian density, and noise, ensuring that emotional reactions can be reliably attributed to the targeted visual stimuli; (2) Ethical and Safety Considerations: It avoids exposing participants—particularly those wearing EEG equipment—to potential traffic hazards or weather-related discomfort; (3) Data Quality: It ensures stable EEG signal acquisition by minimizing motion artifacts.

2.5. Potential Interaction Between GER and SOL

In addition to the confirmatory analyses described above, we conducted an exploratory investigation into whether the effect of GER on emotional valence might depend on SOL [37]. This analysis is explicitly exploratory and hypothesis-generating in nature; its results are not intended as confirmatory evidence. Due to the limited sample size and the primary focus of this study on establishing main effects, we did not pre-register a specific hypothesis regarding a GER × SOL interaction. The interaction term was examined post hoc using a linear mixed-effects model identical in structure to the confirmatory model but with the inclusion of the SOL × GER product term. All results from this exploratory analysis are presented with appropriate caution and should be interpreted as preliminary clues requiring validation in future studies with larger, pre-registered designs.

3. Results

3.1. Descriptive Statistical Analysis of Results

Table 4 presents the descriptive statistics of the participants, experimental scenes, and measurement results. This study enrolled a total of 30 participants, evenly distributed by gender (15 males [50%] and 15 females [50%]). The age of participants ranged from 60 to 80 years, with a specific distribution as follows: 14 participants (47%) were aged 60–70 years, and 16 participants (53%) were aged 71–80 years. Regarding educational background, 14 participants (47%) had completed high school education, and 16 participants (53%) had completed junior high school education. According to post-experiment questionnaire results, all participants (N = 30) ranked the degree of spatial openness in a manner consistent with the experimental site categorization, indicating no cognitive discrepancy between participants and researchers regarding spatial scale. The experiment yielded one type of outcome metric: the RAB (Relative Alpha/Beta power ratio). This study employed a within-subjects design, with each participant (N = 30) viewing all nine street scenes, yielding a total of 270 observations. Since these observations were clustered within individuals and thus not statistically independent, we used a Repeated-Measures Analysis of Variance (RM-ANOVA) as the primary analytical framework to conduct valid statistical inference while accounting for between-participant variability. Emotional valence served as the dependent variable. Fixed effects included the core visual variables (SOL and GER), their interaction, and potential control variables (e.g., scene presentation order was included as a covariate to control for fatigue effects). Participants were included as random intercepts to absorb baseline differences in emotional levels. In line with theoretical interest, we also explored the inclusion of random slopes for SOL and GER to examine individual differences in responsiveness to these visual features.
To explore potential nonlinear relationships among variables, we conducted a complementary random forest regression analysis [38]. We explicitly treat this analysis as exploratory and descriptive rather than as a tool for formal statistical inference. To respect the clustered structure of the data and evaluate the model’s generalizability, we employed leave-one-participant-out cross-validation: in each iteration, all data from one participant were held out as the test set, while data from the remaining participants were used for training. We report the average predictive performance across folds and the mean feature importance calculated across all iterations. This validation strategy was designed to prevent the model from learning participant-specific patterns, thereby better revealing generalizable environmental effects.

3.2. Analysis of the Correlations Between GER, SOL, and RAB

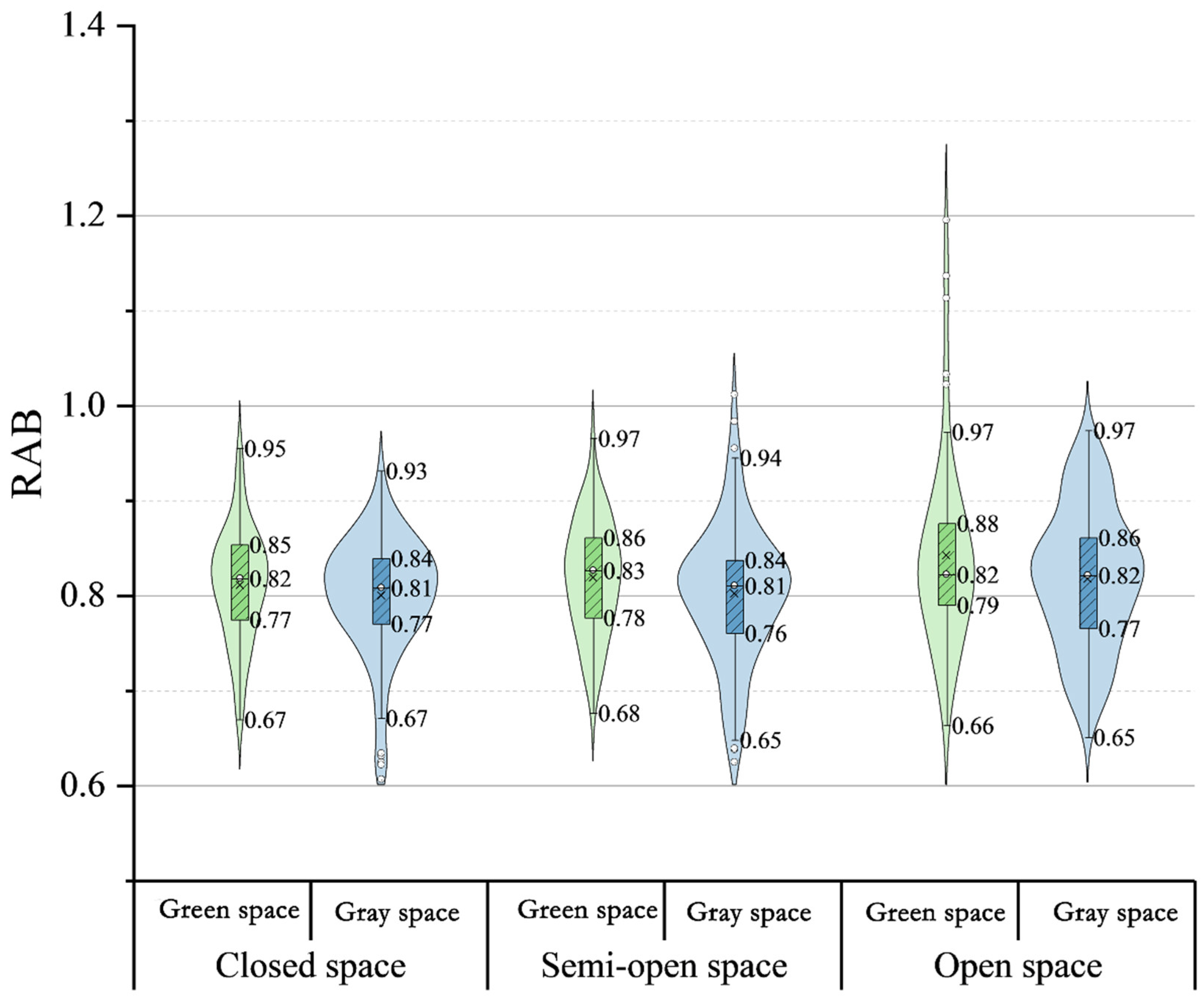
To visualize the relationship between the nine experimental scenes and the EEG-based emotional responses of older adults, the experimental data were analyzed using SPSS 27 statistical software and random forest regression analysis to examine the effects of SOL and Gray-Green space Exposure Ratio (GER) on the physiological-emotional index RAB (Relative Alpha/Beta ratio) in older individuals. Scatter plots of the relevant data were generated using SPSS 27. The horizontal coordinates represent GER and SOL, while the vertical coordinate represents the RAB (α/β ratio). As indicated by the baseline trend in the figure, an approximate linear correlation exists between GER, SOL, and the EEG-based ratio in older adults (Figure 10).
A multifactorial analysis of variance (ANOVA) was performed on the RAB data across different groups, with the results presented in Table 5.
Although the effect of gender on emotion scores reached statistical significance (p < 0.01), the effect size was very small (partial η2 = 0.013). According to Cohen’s [14] guidelines, this effect size is well below the threshold for a medium effect (η2 = 0.06), indicating that gender accounts for only a minimal proportion of the variance in emotion scores (approximately 1.3%). The observed statistical significance is likely attributable to the statistical power afforded by the sample size. As shown in Figure 11, the mean RAB value for females (M = 0.82) was higher than that for males (M = 0.81), a pattern that was consistently observed across all three levels of environmental openness. Furthermore, the results demonstrated that the degree of spatial openness had a significant effect on the participants’ emotional states (p < 0.01). As illustrated in Table 5 and Figure 11, the highest mean RAB value was recorded in open spaces (M = 0.83), followed by semi-open spaces (M = 0.81), while closed spaces yielded the lowest mean RAB value (M = 0.80). In the analysis of variance (ANOVA) of the EEG data, SOL showed a significant effect (p < 0.01), while the effect of GER was gender-specific: no significant difference was observed in males (p > 0.01), whereas it reached statistical significance in females (p < 0.01).

3.3. GER Correlation Analysis

The analysis of variance (ANOVA) results indicated that the independent main effect of GER was not significant (p = 0.908). This suggests that, within the present study design, overall mean differences in GER levels did not significantly account for variance in emotion scores when potential interactions or nonlinear relationships with other variables were not considered. To explore more complex dependencies among variables, we further employed regression analysis and random forest modeling. These approaches are capable of capturing interaction effects and nonlinear predictive relationships. Within this modeling framework, GER emerged as a significant predictor or feature. This finding implies that the influence of GER on emotion may not manifest as an independent, linear main effect, but rather through interactions with other environmental variables (such as SOL), or in a nonlinear, conditional manner. As shown in Figure 12, the mean RAB was highest in areas with a high GER (M = 0.76), followed by semi-grey semi-green spaces (M = 0.73), and lowest in areas with the lowest GER (M = 0.72).
Furthermore, the results indicated that different visual-spatial grey-green compositions significantly influenced emotional states (p < 0.01). As illustrated in Figure 12, the mean RAB in green spaces (M = 0.72) was significantly lower than that in grey spaces (M = 0.74). This finding was consistent across experiments conducted in environments with different SOL (Figure 13 and Figure 14). The results indicated that the effect of GER on the emotional states of older adults was moderated by gender. As illustrated in Figure 11, GER exerted a significant effect on the emotional states of females (correlation coefficient R2 = 0.6262, p < 0.01), whereas no significant effect was observed in males (p > 0.01).
To further explore nonlinear relationships among variables, assess their relative importance, and supplement the results from ANOVA and linear regression, we implemented a Random Forest regression model as a complementary analytical approach. The model used emotional valence scores as the dependent variable, with SOL and GER as predictors. Feature importance was quantified based on the mean decrease in Gini impurity; a higher value indicates that the feature contributes more substantially to node splitting and error reduction within the model. The application of Random Forest here is intended to offer a perspective distinct from conventional parametric tests, with its main advantage being the ability to capture complex variable interactions without presuming linearity. The results serve to complement and cross-validate the primary analyses (Table 6).
The coefficient of determination (R2) indicates the explanatory power of the model, representing the proportion of variance in the dependent variable accounted for by the independent variables. As a measure of goodness-of-fit, R2 ranges from 0 to 1, with values closer to 1 reflecting a better model fit. As shown in the table above, the cross-validation results and R2 values demonstrate that the Random Forest regression model achieves high predictive accuracy and effectively captures interactions and nonlinear relationships among the variables, supporting its applicability in visual-spatial analysis.

3.4. SOL Correlation Analysis

A significant positive correlation was observed between the degree of openness and the emotional states of older adults (correlation coefficient R2 = 0.7262, p < 0.01). Among the tested conditions, open spaces yielded the highest mean RAB. The results of the data model indicated no significant difference compared to the model for the Gray-Green space Exposure Ratio (GER), though the goodness-of-fit, regression coefficients, and correlation showed a slight improvement (Table 7).
Regarding the emotional responses of older adults to varying degrees of spatial openness, specifically, the goodness-of-fit R2 for the GER regression model was 0.6818, indicating a positive relationship. Both GER and SOL showed significant positive correlations with the positive emotions of older adults at the 0.01 and 0.05 levels (p = 0.023 and p = 0.001, respectively). Furthermore, the magnitude of influence of these two indicators on positive emotions was similar: a one-unit increase in the SOL score was associated with a 0.305-unit increase in positive emotion, while a one-unit increase in the GER score corresponded to a 0.275-unit increase (Figure 13 and Figure 14).
Compared to the regression results for the GER data, the R2 value in the openness (SOL) regression model increased by approximately 0.2, and the model’s predictive performance also improved. This comparison suggests that the positive influence of spatial openness on the positive emotions of older adults was more pronounced.

3.5. Exploratory Findings: GER × SOL Interaction

As an exploratory analysis, we added the SOL × GER interaction term to the linear mixed-effects model. The estimated coefficient for the interaction was negative and approached but did not reach statistical significance (β = −0.35, p = 0.052). It tentatively suggests that the emotional response to GER may be stronger in high-SOL environments, but the present study cannot provide confirmatory evidence for a conditional effect of GER. Future research with larger samples and a pre-registered hypothesis is needed to rigorously test this potential interaction. In parallel, the random forest model identified GER as the second most important predictor of emotional valence under leave-one-subject-out cross-validation. This pattern is consistent with the possibility of a nonlinear or interaction-based effect, but again remains within the realm of exploratory observation.

4. Discussion

4.1. The Correlation Between Age and Gender

The findings indicate that older adults’ perception of street environments and their emotional responses are associated with both gender and age, primarily due to differences in social roles, behavioral patterns, and perceptual preferences. While a statistically significant main effect of gender was observed, its practical significance appears limited due to the very small effect size (η2 = 0.013). This suggests that gender accounts for only a minimal proportion of the variance in emotional responses within the context of this study, and its influence is substantially less critical than that of key physical and visual environmental variables, such as SOL and GER. When the Gray-Green space Exposure Ratio (GER) was held constant, the RAB scores of males and females diverged across different Spatial Openness Level (SOL). The data suggest that women are more sensitive to changes in GER than men, exhibiting a 2% greater amplitude in emotional variation. This observation aligns with broader evidence indicating that women often demonstrate heightened sensitivity and distinct attentional foci toward environmental attributes such as safety, complexity, and social potential [37,38].
For example, when street conditions changed (e.g., through widened pavement or reduced enclosure), the decline in attentional concentration was more pronounced among women than men. Older women tend to engage in more emotionally responsive activities and frequently use green spaces such as community gardens and pocket parks for socializing, conversation, and childcare. Consequently, in environments with a low Green Exposure Ratio, the quality of “emotional affordance”—including the provision of comfortable seating and perceived safety—becomes particularly important for them. Older women generally exhibit greater sensitivity to environmental security [39]. In summary, women show a preference for spaces that balance visibility and enclosure, offering both safety and social comfort, whereas men more frequently occupy open activity and fitness zones, reflecting greater tolerance for exposure and more flexible spatial use patterns [40]. Therefore, a green space with a low GER, even if its nominal greening rate is high, may significantly deter use by older women if poorly designed—for example, with overly dense vegetation (limiting visibility), inadequate lighting, and low pedestrian activity [41,42]. Older men, by contrast, are less concerned with such factors.
The statistical findings regarding the association between GER and gender provide a valuable nuanced perspective. Contrary to the simple linear assumption that “more is better,” our data imply that the benefits of openness and greenery are context-specific and may involve trade-offs. This apparent discrepancy is statistically interpretable: ANOVA evaluates the significance of the average effect of GER across all experimental conditions, while random forest modeling is more sensitive in detecting GER’s contribution to emotion within specific contexts—for example, when combined with particular SOL levels or when gender varies. Therefore, the results collectively indicate that GER may not be a strong independent driver of emotion, but it serves as an important contextual, conditional, or interactive component in shaping street-level emotional experience. Its impact must be understood within a more complex network of variable relationships.
Regarding age, the study found that adults aged 60–70 are generally more sensitive to GER variations than those aged 71–80. Shifts in physical capability, health status, and life priorities lead to differing dependencies and demands on the GER environment. A functional distinction often emerges around age 75, roughly separating the “young-old” from the “old-old.” For the latter group, green space use often shifts from dynamic activity to static engagement. Their needs center on safe, comfortable, shaded resting points where they can sit and observe others. The benefits of green spaces for them transition from promoting physical exercise more toward stress relief, sensory stimulation, cognitive maintenance, and social participation through passive observation—helping to alleviate loneliness and depression. The younger cohort, being relatively healthier and more physically active during their “active aging” phase, tends to use green spaces more for leisure, exercise, and active socialization.

4.1.1. Significance and Value of the Study

Using video-based street scene imagery, this study investigates the relationship between the Gray-Green space Exposure Ratio (GER), Spatial Openness Level (SOL), and the psychological perception of older adults, revealing a correlation between visual-spatial characteristics and their psychological and emotional states. By applying brainwave measurement techniques to street scene evaluation, a framework of urban visual-spatial characteristics and corresponding metrics was developed. Using these visual-spatial metrics as independent variables, a semantic segmentation analysis was performed on nine categories of street perception. Statistical analysis confirmed that these visual indicators significantly influence psychological perception.
Electroencephalography (EEG) results indicated a positive correlation between the degree of street enclosure and residents’ perceived positive affect. According to the environmental psychology literature, positive emotional states are commonly associated with higher perceptions of environmental safety and stronger social-affiliative tendencies. Therefore, our findings may suggest that such street visual environments have the potential to enhance perceived safety and foster a positive social atmosphere. However, this interpretation requires future research involving direct measurement of safety perceptions and social behaviors for validation. Although specific social behavioral outcomes cannot be directly inferred from emotional data alone, positive emotion itself serves as a significant affective foundation for promoting social interaction and place attachment. Consequently, designing street visual qualities that elicit positive emotions can be regarded as a potential affective precondition for supporting street-level social vitality. This finding aligns with Naik et al., who reported that well-enclosed streets enhance the sense of security and foster social interaction opportunities [43]. Similarly, Cai and Wang observed a higher sense of security among residents in urban centers in China [29]. Spatial Openness Level (SOL) is closely associated with the density of surrounding buildings and trees. Highly enclosed streets are typically characterized by tall buildings and mature trees, often corresponding to urban cores. For moderately enclosed streets, we recommend activating building frontages by encouraging ground-floor public functions, such as retail, cafes, and community service centers and increasing the proportion of transparent façades (e.g., glass storefronts). These active interfaces can provide continuous natural surveillance, significantly enhancing positive emotional responses among older adults. Furthermore, visually engaging streetscapes can stimulate walking interest and mitigate feelings of loneliness.
The study also found that dense green spaces can effectively alleviate depressive feelings, though they may simultaneously increase stress responses. This suggests that a lower GER is not invariably preferable. Given the limited cognitive resources—such as attention and working memory—in older adults, complex street environments can impose a heavy cognitive load. Conversely, increased road width was associated with heightened anticipation of upcoming street segments, leading to brainwave patterns indicative of greater relaxation. This aligns with Van Hessel and De Vries, who demonstrated that urban greening enhances pleasure and emotional well-being [36], and with Tang and Long, who found that street openness improves landscape attractiveness and activity comfort [16,39].
Prolonged exposure to negative environmental features, such as blank walls, dilapidated building façades, or parking garage entrances located along primary pedestrian routes, is associated with significantly elevated stress levels in older adults [14,37,38]. Where such interfaces are unavoidable, mitigation through vertical greening, mural art, or informational displays is recommended [40,41,42].
Integrating GER and SOL analysis, the study identifies traditional tree-lined arcade streets as the most favorable model for older adults. Enclosure provides spatial definition, while ample greenery improves microclimate and visual quality. Active street-level interfaces—such as shops—combined with comfortable walking environments encourage spontaneous lingering and social conversation [43,44]. Spatial enclosure supplies the structural framework and psychological boundaries necessary for social behavior, determining a space’s stayability. GER fills this framework, supplying the physical comfort, sensory stimulation, and conversational content that determine a space’s attractiveness and comfort.
This study offers tentative insight into the potentially nonlinear and context-dependent influence of SOL and GER on affective responses. Nevertheless, these patterns remain preliminary and require replication in future research. Contrary to a simple “more-is-better” linear optimization assumption, our data indicate that the benefits of openness and greenery are context-dependent and may involve trade-offs. For example, while high greenery density (low GER) is associated with positive emotional valence, in contexts of high openness (high SOL) it may reduce the sense of enclosure, potentially evoking arousal or stress-related affective responses (reflected in changes in physiological arousal). This strongly suggests that urban ecological design is fundamentally a configurational issue: the key lies in identifying specific combinations of SOL, GER, interface activity, and other elements that work synergistically to support multiple objectives—such as safety, comfort, and sociability—rather than pursuing the maximization of any single factor in isolation.

4.1.2. Translating Findings into Design Practice

Based on the mixed-effects model, the nine scenes can be ranked by their predicted emotional benefit (α/β ratio), see Table 8.
Based on the combined consideration of the main effect of SOL and the SOL × GER interaction, Scene L-3 was identified as the optimal configuration. This condition combines a relatively high SOL (openness) with a low GER (dense greenery). The findings collectively suggest that if a street is designed to be open, the addition of dense vegetation can maximize affective returns. Scene H-1 yielded the least favorable outcomes among all tested conditions. This configuration was characterized by a lack of both openness and greenery. The findings suggest that merely increasing vegetation in highly enclosed streets may not be beneficial. Instead, resource allocation should prioritize enhancing perceived safety, spatial legibility, and the activation of street-level interfaces.
SOL had a significant main effect (p < 0.01) across all conditions. This means that increasing spatial openness—through building setbacks, widened sightlines, reduced visual obstruction—will reliably improve emotional well-being, regardless of what else you do. For designers, this is the highest-return intervention. The SOL × GER interaction (p > 0.01) shows that greenery delivers emotional benefits only where openness is already sufficient. In open streets (Scene L-3), dense vegetation amplifies positive affect. In enclosed streets (Scene L-1), adding greenery is unlikely to improve emotional outcomes. For streets that are already open or can be made open, investing in dense, high-quality vegetation will maximize emotional payoff. This is well illustrated by Scene L-3, where the combination of a wide-open view and abundant greenery was associated with higher levels of positive affect among older participants. The industrial approach to urban design assumes that positive design elements—such as greenery, width, and lighting—can be added independently and will invariably yield benefits [45,46,47]. However, our findings challenge this assumption: greenery is not universally beneficial; its value is context-dependent. This aligns with a broader shift in urban theory toward configurational thinking, which posits that outcomes emerge from specific combinations of elements rather than from individual components in isolation [48].
For architecture and urban design practitioners, this implies moving beyond checklist-based approaches—such as simply “adding 20% more greenery”—toward a diagnostic, context-specific design methodology. This involves first assessing the degree of openness and subsequently determining where vegetation can genuinely make a difference. Such an approach is not only more nuanced but also more efficient, enabling limited resources to be strategically allocated where they can exert the greatest impact on public health.

4.2. Limitations and Future Research

Several limitations of this study should be acknowledged, which also inform avenues for future research. First, predicting urban perception solely through visual indicators is inherently limited, as it cannot fully encapsulate the multidimensional influences of geographical context, individual psychological states, and building typologies. Second, since the street sample was drawn exclusively from the central urban area of Wuhan, extending the findings to a broader spatial scope would require analysis across multiple urban districts. We have subsequently collected street view imagery from diverse districts in Wuhan to facilitate such extended analysis. Third, dynamic elements and ambient sound within street environments also shape the perceptual experiences of older adults. Future work will therefore incorporate audio analysis from video recordings to examine its correlation with psychological responses, comparing these results with the present visually driven model. Fourth, while the street-view semantic segmentation method provides objective and consistent measurements at the environmental level, it does not capture inter-individual differences in subjective perception. Subsequent research will focus on analyzing cognitive variations among older adult subgroups, stratified by factors such as age, occupation, and income. Although our sample was balanced in basic demographic characteristics, it did not cover a broad socioeconomic spectrum. This limits the external validity of our conclusions. More importantly, from a planning ethics perspective, promoting ‘age-friendly’ interventions based solely on such ‘average’ findings derived from undifferentiated socioeconomic backgrounds risks exacerbating existing spatial inequalities. For example, positive emotional responses to highly greened, highly open streets may be more pronounced among middle- to high-income older adults accustomed to such environments, whereas for older adults in resource-limited communities, primary concerns may be basic safety and accessibility—the same design could yield different or weaker benefits. Therefore, our findings should be interpreted as revealing a potential design mechanism, not as a universal blueprint. Translating this mechanism into equitable policy requires follow-up research that deliberately includes older subgroups with varying income, education, ethnicity, and residential backgrounds, exploring their differentiated needs and response patterns. This is essential to ensure that age-friendly urbanism becomes an inclusive public good, not a ‘luxury’ serving only advantaged groups. Fifth, the inference of emotional states relies on a single neurophysiological metric—the frontal α/β power ratio. Although its association with emotional valence is supported by theoretical foundations and prior research, we must acknowledge the inherent ambiguity of this measure. Both alpha and beta wave activities are also influenced by attentional allocation, cognitive load, and resting arousal levels. Therefore, the observed changes in the α/β ratio in this study may reflect a neural state that blends emotion, attention, and basic cognitive processes. While the experimental design aimed to minimize differences in cognitive demand, it could not fully isolate these confounding factors. Future studies could improve inferential specificity through multi-method approaches, for example, by integrating facial electromyography (EMG, such as zygomatic muscle activity), galvanic skin response (GSR), or self-reports to triangulate emotional responses—or by adopting more refined experimental paradigms to disentangle the independent contributions of emotion and cognitive load to the EEG spectrum. Finally, this study employed a laboratory-controlled video playback paradigm designed to examine the independent effects of street visual elements. While this setup sacrifices a degree of ecological validity—for instance, by lacking multisensory immersion and active navigation—it provides a rigorous, replicable experimental platform for establishing causal relationships between visual features and neuro-emotional responses. These findings can be cautiously interpreted as follows: specific street visual compositions have the potential to evoke particular emotional tendencies when a pedestrian’s attention is focused on the visual environment. However, they cannot be directly equated with the full emotional experience or long-term behavioral choices (such as route selection or lingering) that occur during complex, multisensory street walking. Future research could employ mobile EEG, eye-tracking, and immersive virtual reality (VR) technologies to validate and extend these preliminary findings in more ecologically valid contexts.
Throughout the research, we have noted that the influence of GER on emotional valence might be contingent on SOL. We must emphasize that this remains a hypothesis, not a conclusion of the present study. The exploratory analysis revealed a trend toward a SOL × GER interaction that did not reach the conventional threshold for statistical significance (p > 0.01). Therefore, any discussion of GER’s “conditional” or “context-dependent” effects should be read as speculative, grounded in theoretical reasoning and exploratory data patterns, but not as confirmatory findings. This cautious interpretation is essential for two reasons. First, it maintains intellectual honesty regarding the evidential strength of our data. Second, it properly frames the contribution of this work: not as providing definitive answers about the nature of GER’s effect, but as generating a clearly articulated, theoretically grounded hypothesis that can be rigorously tested in future research. We encourage subsequent studies to adopt a confirmatory design with an a priori power analysis and a pre-registered interaction hypothesis, using larger and more diverse samples.
In light of these findings, we propose the following street design principles to support the psychological well-being of older adults in urban settings:
Guiding Transitions at Key Nodes: Approaching important street nodes, deliberate variation in path width can be used to form pre-nodal spaces that serve a guiding function. For example, a gradual transition from a narrower to a wider section can build visual and psychological anticipation for the area ahead.
Alleviating Confinement in Old Neighborhoods: In the renovation of older residential areas, appropriately widening street sections and providing dedicated zones for non-motorized vehicle parking can mitigate the sense of disorder and isolation associated with excessively narrow corridors.
Strategic Greening and Openness: To reduce oppressive feelings and enhance well-being, urban interventions should prioritize increasing green space proportions and enhancing visual openness in targeted areas. Implementing vertical greening along community streets, for instance, could be an effective strategy to alleviate depressive moods and improve neighborhood livability.
Finally, two methodological considerations warrant mention. Although the computational extraction of GER and SOL enhances objectivity, it depends on the accuracy of the underlying semantic segmentation model. Despite using a state-of-the-art model with verification, misclassification of complex urban elements (e.g., glass facades, green walls) may introduce minor measurement errors. Furthermore, as noted in the Methods, the current laboratory-based analysis does not account for potential geographic spatial autocorrelation between sampling points, as the primary focus was on the universal effect of visual features rather than location-specific patterns.

5. Conclusions

The primary contribution of this study lies in its methodological integration of objective physiological monitoring (EEG) to capture participant responses across varying levels of the Gray-Green space Exposure Ratio (GER) and Spatial Openness Level (SOL). The results indicate that SOL significantly influences the emotional states of older adults (correlation coefficient R2 = 0.7262, p < 0.01). The results indicate that the effect of GER on the emotional states of older adults was moderated by gender. Specifically, GER exerted a significant effect on the emotional states of females (correlation coefficient R2 = 0.6262, p < 0.01), whereas no significant effect was observed in males (p > 0.01). These results allow us to rank the nine tested scenes. For example, Scene L-3 (open space with abundant vegetation) scored highest on emotional well-being, while Scene H-1 (enclosed gray space) scored lowest. The difference is explained by the configurational logic: greenery delivers emotional benefits only when combined with sufficient openness. The findings will enable EEG data to extend beyond serving as a unique standalone outcome and integrate into a more comprehensive explanatory model. This model aims to elucidate how urban morphology influences the micro-foundations of social activity in later life. Furthermore, it seeks to equip urban designers and policymakers with an evidence-based tool for creating age-friendly environments, facilitating a shift from intuition-driven to evidence-based design. Future research should incorporate additional environmental factors to establish a more comprehensive assessment framework for age-friendly urban spaces.
The analysis yielded several key results. Environments characterized by high green coverage and openness are associated with increased positive emotions and reduced depressive feelings in older adults. Tree density and spatial openness are positively correlated with perceived positive emotions and relaxation levels. Green, open settings enhance aesthetic appreciation while mitigating negative psychological states. Furthermore, dense street layouts enhance urban vitality, while appropriate street greenery fosters positive emotions. These effects may also be considered relevant to the promotion of well-being among older adults. Additional visual-spatial indicators also shape perception; for instance, visible sky (“blue space”) alleviates depression by reducing the sense of enclosure—a finding consistent with prior research on the mental health benefits of green space exposure for older adults [45,46,47]. Gender differences were also evident, with women showing greater sensitivity to SOL than to GER, and highly enclosed spaces proving less conducive to social interaction among women and older adults.
Building on these findings, future research should incorporate a broader range of factors and examine GER and SOL from multidimensional perspectives to further elucidate their relationship with the psychological well-being of older urban residents. In practical terms, the results can inform human-centered urban design guidelines aimed at fostering social interaction. For instance, the introduction of pocket parks in built-up areas, the development of small-scale and vertical greening in elderly communities, and the strategic integration of greenery around commercial and office buildings can create more engaging outdoor spaces. In streets with limited width and insufficient ground-level greenery, vertical greening can effectively improve the Gray-reen space Exposure Ratio (GER) and deliver emotional restoration benefits through visual connection with nature. However, its type and maintenance regime must be carefully considered [47]. Modular green walls with integrated irrigation systems are more reliable and sustainable in the long term than climbing plants dependent on manual watering, though they entail higher upfront costs and require specialized maintenance (including pruning, irrigation system checks, and plant replacement). Public agencies can promote and sustain such ecological infrastructure through governance models such as subsidies, standardized technical packages, or partnerships with community-based maintenance organizations.
In summary, creating age-friendly street visual environments requires a configurative mindset that integrates design with governance. This means that while design should precisely apply combinations of SOL and GER to modulate emotional and behavioral mechanisms, it must be accompanied at the policy level by corresponding incentives, maintenance funding arrangements, and community participation mechanisms. Only in this way can the design intent be realized throughout the built lifecycle and benefit different neighborhoods equitably. Such interventions not only encourage pedestrians to linger—thereby enhancing neighborhood commercial diversity—but may also establish a positive feedback loop between foot traffic and local business vitality.

Author Contributions

L.M. was responsible for the experimental design, data collection, data analysis, and the initial drafting of the paper. W.S. was responsible for providing the research concept, supervising the entire project, guiding the data analysis, making crucial revisions, and finalizing the draft of the paper. All authors have read and agreed to the published version of the manuscript.

Funding

This paper was funded by the Key Laboratory of Intelligent Health Perception and Ecological Restoration of Rivers and Lakes, Ministry of Education, Hubei University of Technology. This paper was funded by the Innovation Demonstration Base of Ecological Environment Geotechnical and Ecological Restoration of Rivers and Lakes (2020EJB004).

Institutional Review Board Statement

This study strictly adhered to the Helsinki Declaration and relevant ethical regulations. This experimental plan has been approved by the Research Ethics and Science and Technology Safety Committee of Hubei University of Technology. Approval Number: HBUT20250053, Date of Approval: 5 March 2025.

Informed Consent Statement

All participants were volunteers and signed written informed consent forms before the experiment. The data will be anonymized and will not be used for commercial purposes. Written informed consent has been obtained from the patient(s) to publish this paper.

Data Availability Statement

Data are provided within the manuscript. Requests for materials should be addressed to W.S.

Conflicts of Interest

The authors declare no competing interests.

References

  1. Xia, Z.; Wang, X.; Wang, H.; Jiang, J.; Chen, S.; Cao, H. Age-Friendly Street Construction: The Synergy of the Physical Environment in Old Urban Communities in Suzhou. Buildings 2024, 14, 3378. [Google Scholar] [CrossRef]
  2. Bzdok, D.; Dunbar, R.I.M. Social isolation and the brain in the pandemic era. Nat. Hum. Behav. 2022, 6, 1333–1343. [Google Scholar] [CrossRef] [PubMed]
  3. Von dem Knesebeck, O. Health inequalities in ageing societies. Int. J. Public Health 2010, 55, 523–524. [Google Scholar] [CrossRef] [PubMed]
  4. Yu, Y.; Yu, L. Productive engagement patterns and their association with life satisfaction among the elderly sandwich generation. Sci. Rep. 2025, 15, 37266. [Google Scholar] [CrossRef]
  5. Reutter, L.; Kushner, K.E. Health equity through action on the social determinants of health: Taking up the challenge in nursing. Nurs. Inq. 2010, 17, 269–280. [Google Scholar] [CrossRef]
  6. Wang, Z.; Han, P.; Chen, W. Unravelling the combination of medical and elderly care in China: A comprehensive policy analysis. Humanit. Soc. Sci. Commun. 2025, 12, 1463. [Google Scholar] [CrossRef]
  7. World Health Organization (WHO). Global Age-Friendly Cities: A Guide. 2007. Available online: https://www.who.int/publications/i/item/9789241547307 (accessed on 5 October 2007).
  8. Wang, Z.; Ettema, D.; Helbich, M. Age as effect modifier of the associations between the physical environment and adults’ neighborhood walking in the Netherlands. Cities 2023, 135, 104194. [Google Scholar] [CrossRef]
  9. Yang, H.; Zhang, Q.; Helbich, M.; Lü, Y.; He, D.; Ettema, D.; Chen, L. Examining non-linear associations between built environments around workplace and adults’ walking behaviour in Shanghai, China. Transp. Res. Part A Policy Pract. 2022, 155, 234–246. [Google Scholar] [CrossRef]
  10. Bempong, A.E.; Asiamah, N. Neighbourhood walkability as a moderator of the associations between older Ghanaians’ social activity, and the frequency of walking for transportation: A cross-sectional study with sensitivity analyses. Arch. Gerontol. Geriatr. 2022, 100, 104660. [Google Scholar] [CrossRef]
  11. Hu, J.; Zhang, F.; Qiu, B.; Zhang, X.; Yu, Z.; Mao, Y.; Wang, C.; Zhang, J. Green-gray imbalance: Rapid urbanization reduces the probability of green space exposure in early 21st-century China. Sci. Total Environ. 2024, 933, 173168. [Google Scholar] [CrossRef]
  12. Martinez, A.D.L.I.; Labib, S.M. Demystifying normalized difference vegetation index (NDVI) for greenness exposure assessments and policy interventions in urban greening. Environ. Res. 2023, 220, 115155. [Google Scholar] [CrossRef] [PubMed]
  13. Ma, X.; Ma, C.; Wu, C.; Xi, Y.; Yang, R.; Peng, N.; Zhang, C.; Ren, F. Measuring human perceptions of streetscapes to better inform urban renewal: A perspective of scene semantic parsing. Cities 2021, 110, 103086. [Google Scholar] [CrossRef]
  14. Chen, J.; Kinoshita, T.; Li, H.; Luo, S.; Su, D.; Yang, X.; Hu, Y. Toward green equity: An extensive study on urban form and green space equity for shrinking cities. Sustain. Cities Soc. 2023, 90, 104395. [Google Scholar] [CrossRef]
  15. Chen, Y.; Huang, X.; White, M. A study on street walkability for older adults with different mobility abilities combining street view image recognition and deep learning-The case of Chengxianjie Community in Nanjing (China). Comput. Environ. Urban Syst. 2024, 112, 102151. [Google Scholar] [CrossRef]
  16. Tang, J.; Long, Y. Measuring visual quality of street space and its temporal variation: Methodology and its application in the Hutong area in Beijing. Landsc. Urban Plan. 2019, 191, 103436. [Google Scholar] [CrossRef]
  17. Chen, J.; Li, H.; Luo, S.; Su, D.; Xie, J.; Zang, T.; Kinoshita, T. Estimating changes in inequality of ecosystem services provided by green exposure: From a human health perspective. Sci. Total Environ. 2024, 908, 168265. [Google Scholar] [CrossRef]
  18. Park, K.; Ewing, R.; Sabouri, S.; Larsen, J. Street life and the built environment in an auto-oriented US region. Cities 2019, 88, 243–251. [Google Scholar] [CrossRef]
  19. Jia, J.; Zlatanova, S.; Liu, H.; Aleksandrov, M.; Zhang, K. A design-support framework to assess urban green spaces for human wellbeing. Sustain. Cities Soc. 2023, 98, 104779. [Google Scholar] [CrossRef]
  20. von Faber, M.; Tavy, Z.; van der Pas, S. Engaging older people in age-friendly cities through participatory video design. Int. J. Environ. Res. Public Health 2020, 17, 8977. [Google Scholar] [CrossRef] [PubMed]
  21. Dai, L.; Zheng, C.; Dong, Z.; Yao, Y.; Wang, R.; Zhang, X.; Ren, S.; Zhang, J.; Song, X.; Guan, Q. Analyzing the correlation between visual space and residents’ psychology in Wuhan, China, using street-view images and a deep-learning technique. City Environ. Interact. 2021, 11, 100069. [Google Scholar] [CrossRef]
  22. Khosla, A.; Khandnor, P.; Chand, T. A comparative analysis of signal processing and classification methods for different applications based on EEG signals. J. Biocybern. Biomed. Eng. 2020, 40, 649–690. [Google Scholar] [CrossRef]
  23. Erkan, İ. Examining Wayfinding Behaviours in Architectural Spaces Using Brain Imaging with Electroencephalography (EEG). Archit. Sci. Rev. 2018, 61, 410–428. [Google Scholar] [CrossRef]
  24. Musha, T.; Terasaki, Y.; Haque, H.A.; Ivanitsky, G.A. Feature Extraction from EEGs Associated with Emotions. Artif. Life Robot. 1997, 1, 15–19. [Google Scholar] [CrossRef]
  25. Karandinou, A.; Turner, L. Architecture and Neuroscience; What Can the EEG Recording of Brain Activity Reveal about a Walk through Everyday Spaces? Int. J. Parallel Emergent Distrib. Syst. 2017, 32, S54–S65. [Google Scholar] [CrossRef]
  26. Chen, Z.; He, Y.J.; Yu, Y.G. Enhanced functional connectivity properties of human brains during in-situ nature experience. Peer J. 2016, 4, e2210. [Google Scholar] [CrossRef]
  27. Khushaba, R.N.; Greenacre, L.; Kodagoda, S.; Louviere, J.; Burke, S.; Dissanayake, G. Choice modeling and the brain: A study on the Electroencephalogram (EEG) of preferences. Expert Syst. Appl. 2012, 39, 12378–12388. [Google Scholar] [CrossRef]
  28. Paikan, E.; Pourjafar, M.R.; Ranjbar, E. The Effects of Physical-Spatial Measures of Urban Streets on Pedestrians’ Emotional Responses Using EEG. Motaleate Shahri 2022, 11, 47–62. [Google Scholar]
  29. Wang, R.; Helbich, M.; Yao, Y.; Zhang, J.; Liu, P.; Yuan, Y.; Liu, Y. Urban greenery and mental well-being in adults: Cross-sectional mediation analyses on multiple pathways across different greenery measures. Environ. Res. 2019, 176, 108535. [Google Scholar] [CrossRef] [PubMed]
  30. Wang, R.; Lu, Y.; Zhang, J.; Liu, P.; Yao, Y.; Liu, Y. The relationship between visual enclosure for neighbourhood street walkability and elders’ mental health in China: Using street view images. J. Transp. Health 2019, 13, 90–102. [Google Scholar] [CrossRef]
  31. Lu, Y.; Chen, Y.; Zhao, D.; Chen, J. Graph-FCN for image semantic segmentation. In International Symposium on Neural Networks; Springer International Publishing: Cham, Switzerland, 2019; pp. 97–105. [Google Scholar]
  32. Deng, L.; Li, X.; Luo, H.; Fu, E.-K.; Ma, J.; Sun, L.-X.; Huang, Z.; Cai, S.-Z.; Jia, Y. Empirical study of landscape types, landscape elements and landscape components of the urban park promoting physiological and psychological restoration. Urban For. Urban Green. 2020, 48, 126488. [Google Scholar] [CrossRef]
  33. Little, S.; Pogosyan, A.; Kuhn, A.; Brown, P. Beta band stability over time correlates with Parkinsonian rigidity and bradykinesia. Exp. Neurol. 2012, 236, 383–388. [Google Scholar] [CrossRef] [PubMed]
  34. Wen, T.Y.; Aris, S.A.M. Electroencephalogram (EEG) stress analysis on alpha/beta ratio and theta/beta ratio. Indones. J. Electr. Eng. Comput. Sci. 2020, 17, 175–182. [Google Scholar] [CrossRef]
  35. Babiloni, C.; Arakaki, X.; Azami, H.; Bennys, K.; Blinowska, K.; Bonanni, L.; Bujan, A.; Carrillo, M.C.; Cichocki, A.; de Frutos-Lucas, J.; et al. Measures of resting state EEG rhythms for clinical trials in Alzheimer’s disease: Recommendations of an expert panel. Alzheimer’s Dement. 2021, 17, 1528–1553. [Google Scholar] [CrossRef] [PubMed]
  36. Van Hoof, J.; Dikken, J.; Buttigieg, S.C.; van den Hoven, R.; Kroon, E.; Martson, H.R. Age-friendly cities in the Netherlands: An explorative study of facilitators and hindrances in the built environment and ageism in design. Indoor Built Environ. 2020, 29, 417–437. [Google Scholar] [CrossRef]
  37. Wu, S.; Wu, S.; Chen, J.; Pan, C. An Interpretable Machine Learning Approach to Studying Environmental Safety Perception Among Elderly Residents in Pocket Parks. Buildings 2025, 15, 3411. [Google Scholar] [CrossRef]
  38. Li, F.; Wang, R.; Paulussen, J.; Liu, X. Comprehensive concept planning of urban greening based on ecological principles: A case study in Beijing, China. Landsc. Urban Plan. 2005, 72, 325–336. [Google Scholar] [CrossRef]
  39. Ewing, R.; Handy, S. Measuring the unmeasurable: Urban design qualities related to walkability. J. Urban. Des. 2009, 14, 65–84. [Google Scholar] [CrossRef]
  40. Jiang, B.; Larsen, L.; Deal, B.; Sullivan, W.C. A dose–response curve describing the relationship between tree cover density and landscape preference. Landsc. Urban Plan. 2015, 139, 16–25. [Google Scholar] [CrossRef]
  41. Dong, J.; Guo, R.; Guo, F.; Guo, X.; Zhang, Z. Pocket parks—A systematic literature review. Environ. Res. Lett. 2023, 18, 083003. [Google Scholar] [CrossRef]
  42. Bai, X.; Yu, Z.; Wang, B.; Zhang, Y.; Zhou, S.; Sha, X.; Li, S.; Yao, X.; Geng, X. Quantifying threshold and scale response of urban air and surface temperature to surrounding landscapes under extreme heat. Build. Environ. 2024, 247, 111029. [Google Scholar] [CrossRef]
  43. Naik, N.; Kominers, S.D.; Raskar, R.; Glaeser, E.L.; Hidalgo, C. Do People Shape Cities, or Do Cities Shape People? The Co-Evolution of Physical, Social, and Economic Change in Five Major US Cities; National Bureau of Economic Research: Cambridge, MA, USA, 2015. [Google Scholar] [CrossRef]
  44. Li, M.; Luo, J. Investigating Women’s Preferences for Urban Green Spaces by Using the Fuzzy-Set Quantitative Comparative Analysis Method: The Case of Chengdu, China. Land 2025, 14, 716. [Google Scholar] [CrossRef]
  45. Zhang, Z.; Tan, Y.; Shi, B.; Shi, Y.; Lin, S.; Zhang, X.; Zhang, Z.; Chen, D.; Xia, G.; Zhang, C. Spatiotemporal Variation in Spatial Vitality Reveals Gender Differences in Park Usage: An Empirical Study from Dalian, China. Land 2025, 14, 2186. [Google Scholar] [CrossRef]
  46. Wang, A.; Meng, Z.; Zhao, B.; Zhang, F. Using Social Media Data to Research the Impact of Campus Green Spaces on Students’ Emotions: A Case Study of Nanjing Campuses. Sustainability 2024, 16, 691. [Google Scholar] [CrossRef]
  47. Le Galès, P. Governing the Large Metropolis: What Is Governed and Not Governed? Talk Presented at Scholar in Residence Lecture. Köln. 2 April 2013. Available online: https://pure.mpg.de/view/item_1956291 (accessed on 10 May 2023).
  48. Liu, Y.; Mezei, J.; Kostakos, V.; Li, H. Applying configurational analysis to IS behavioural research: A methodological alternative for modelling combinatorial complexities. Inf. Syst. J. 2017, 27, 59–89. [Google Scholar] [CrossRef]
Figure 1. Flowchart of the research process.
Figure 1. Flowchart of the research process.
Buildings 16 01000 g001
Figure 2. Research site.
Figure 2. Research site.
Buildings 16 01000 g002
Figure 3. Framing angle illustration.
Figure 3. Framing angle illustration.
Buildings 16 01000 g003
Figure 4. The nine video scenarios used for the experiment.
Figure 4. The nine video scenarios used for the experiment.
Buildings 16 01000 g004
Figure 5. The proportion of each element.
Figure 5. The proportion of each element.
Buildings 16 01000 g005
Figure 6. Example of extracting SOL.
Figure 6. Example of extracting SOL.
Buildings 16 01000 g006
Figure 7. Example of extracting the gray-green space exposure ratio elements.
Figure 7. Example of extracting the gray-green space exposure ratio elements.
Buildings 16 01000 g007
Figure 8. Scene layout diagram.
Figure 8. Scene layout diagram.
Buildings 16 01000 g008
Figure 9. Experimental procedure.
Figure 9. Experimental procedure.
Buildings 16 01000 g009
Figure 10. Scatterplot analysis of the relationship between GER, SOL and positive emotions of older adults (RAB).
Figure 10. Scatterplot analysis of the relationship between GER, SOL and positive emotions of older adults (RAB).
Buildings 16 01000 g010
Figure 11. RAB score of different gender (Note: ** p < 0.01).
Figure 11. RAB score of different gender (Note: ** p < 0.01).
Buildings 16 01000 g011
Figure 12. RAB scores across scenarios with varying GER.
Figure 12. RAB scores across scenarios with varying GER.
Buildings 16 01000 g012
Figure 13. RAB score in spaces with different SOL (Note: * p < 0.05, ** p < 0.01).
Figure 13. RAB score in spaces with different SOL (Note: * p < 0.05, ** p < 0.01).
Buildings 16 01000 g013
Figure 14. RAB scores in spaces with different SOL and GER.
Figure 14. RAB scores in spaces with different SOL and GER.
Buildings 16 01000 g014
Table 1. Predefined environmental variable criteria.
Table 1. Predefined environmental variable criteria.
CategoryVariable NameDescription
Spatial Openness Level
Closed spaceSOL (=1)A space enclosed by buildings within a 5 m radius.
Semi-open spaceSOL (=2)A space enclosed by buildings within a 5 to 10 m radius.
Open spaceSOL (=3)A space without building enclosures within a 10 m radius.
Gray-Green Space Exposure Ratio
Green spaceGER (=1)The proportion of buildings in the visual space is smaller than that of plants.
Semi-grey and semi-green spacesGER (=0)The proportion of buildings in the visual space is equal to that of plants.
Gray spaceGER (=−1)The proportion of buildings in the visual space is greater than that of plants.
Table 2. Semantic Segmentation Labels.
Table 2. Semantic Segmentation Labels.
SceneElementTag
H-1enclosed on three sides, resulting in a low degree of openness, sidewalks, street lights, and small patches of grass.Gray space, Closed space
H-2enclosed on two sides, sidewalks,
ornamental trees, and pedestrians.
Gray space, Semi-open space
H-3enclosed only on one side, abundant vegetation, trees,Gray space, Open space
M-1enclosed on three sides, pedestrians, trees, seating areas, and exposed sky views.Semi-grey and semi-green spaces, Closed space
M-2enclosed on two sides, sidewalks,
ornamental trees, and pedestrians.
Semi-grey and semi-green spaces, Semi-open space
M-3enclosed on two sides, movable objects, trees, pavement, distant viewSemi-grey and semi-green spaces, Open space
L-1enclosed on two sides, ornamental,
trees, movable objects, pavement
Green space, Closed space
L-2enclosed only on one side, abundant vegetation, and treesGreen space, Semi-open space
L-3open space, abundant vegetation,
pavement
Green space, Open space
Table 3. Scene classification based on visual-spatial proportions.
Table 3. Scene classification based on visual-spatial proportions.
PictureThe Gray-Green Space Exposure RatioLevelThe Degree of Street EnclosureLevel
H-178.2% ***Higher76.3% ***Higher
H-265.3%Higher55.2%Medium
H-360.1%Higher20.3%Lower
M-145.8%Medium 70.6%Higher
M-253.7%Medium52.2%Medium
M-351.2%Medium38.5%Lower
L-120.2%Lower 68.2%Higher
L-215.3%Lower48.3%Medium
L-310.1%Lower10.2%Lower
Note: *** When the value is between 10% and 40%,it is defined as “Lower”. When the value is between 40% and 60%, it is defined as “Medium”. When the value is between 60% and 80%, it is defined as “Higher”.
Table 4. Characteristics of the study population, scenes, and outcome measurements.
Table 4. Characteristics of the study population, scenes, and outcome measurements.
CategoryVariable NameMean ± S.D. or n (%)
Characteristics of participants (N = 30)
Gender
MaleGender (=1)15 (50)
FemaleGender (=0)15 (50)
Age
60–70Age (=1)14 (47)
71–80Age (=2)16 (53)
Education Background
High School DegreeEducation (=1)14 (47)
Junior High School DegreeEducation (=2)16 (53)
Characteristics of the 9 scenes
Spatial Openness Level
Closed spaceSOL (=1)6 (33)
Semi-open spaceSOL (=2)6 (33)
Open spaceSOL (=3)6 (33)
Gray-Green Ratio
Green space
Semi-grey and semi-green spaces
GER (=1)
GER (=0)
9 (33)
9 (33)
Gray spaceGGR (=−1)9 (33)
Characteristics of outcome measurements
Electroencephalography (EEG) (N = 270)
α waves (8–13 Hz)α32.02 ± 2.247
β waves (14–30 Hz)β39.57 ± 2.184
The ratio of α waves to β wavesRAB0.81 ± 0.07
Table 5. ANOVA of RAB data.
Table 5. ANOVA of RAB data.
ItemSSdfMSFpη2_Partial
GENDER0.03710.0376.8230.009 **0.013
SOL0.05420.0275.0010.007 **0.019
GER1
GER2
7.137 × 10−5
0.038
1
1
7.137 × 10−5
0.028
0.013
5.003
0.908
0.008 **
0.000
0.017
Note: ** p < 0.01.
Table 6. Random forest evaluation parameters (1).
Table 6. Random forest evaluation parameters (1).
Evaluation IndicatorFormulaNumerical Value
RAB R A B = 1 n i = 1 n | y i y ^ i | 0.4532
GER G E R = 1 n i = 1 n ( y i y ^ i ) 2 0.7918
R 2 R 2 = 1 i = 1 n ( y i y ^ i ) 2 i = 1 n ( y i y - ) 2 0.6062
Table 7. Random forest evaluation parameters (2).
Table 7. Random forest evaluation parameters (2).
Evaluation IndicatorFormulaNumerical Value
RAB R A B = 1 n i = 1 n | y i y ^ i | 0.4532
SOL S O L = 1 n i = 1 n ( y i y ^ i ) 2 0.6818
R 2 R 2 = 1 i = 1 n ( y i y ^ i ) 2 i = 1 n ( y i y - ) 2 0.7262
Table 8. Ranking of the nine scenes by score.
Table 8. Ranking of the nine scenes by score.
RankSceneSOLGERPredicted Emotional BenefitReason
1L-3Open spaceGreen spaceHighestCombines universal openness benefit with conditional greenery benefit
2M-3Semi-open spaceSemi-grey and semi-green spacesHighOpenness alone delivers
3L-2Semi-open spaceGreen spaceMedium-HighGreenery helps, but openness is moderate
4M-2Semi-open spaceSemi-grey and semi-green spacesMediumBalanced configuration
5H-3Open spaceGray spaceMediumOpenness helps despite lack of greenery
6L-1Closed spaceGreen spaceMedium-LowGreenery in closed space offers no extra benefit
7M-1Closed spaceSemi-grey and semi-green spacesLowNo openness, no greenery advantage
8H-2Semi-open spaceGray spaceLowGray dominant, openness moderate
9H-1Closed spaceGray spaceLowestLacks both openness and greenery
Disclaimer/Publisher’s Note: The statements, opinions and data contained in all publications are solely those of the individual author(s) and contributor(s) and not of MDPI and/or the editor(s). MDPI and/or the editor(s) disclaim responsibility for any injury to people or property resulting from any ideas, methods, instructions or products referred to in the content.

Share and Cite

MDPI and ACS Style

Min, L.; Shang, W. Investigating the Impact of Gray-Green Space Exposure Ratio and Spatial Openness Level on Social–Emotional Responses of Older Adults Using EEG Data: A Case Study of Streets in Wuhan. Buildings 2026, 16, 1000. https://doi.org/10.3390/buildings16051000

AMA Style

Min L, Shang W. Investigating the Impact of Gray-Green Space Exposure Ratio and Spatial Openness Level on Social–Emotional Responses of Older Adults Using EEG Data: A Case Study of Streets in Wuhan. Buildings. 2026; 16(5):1000. https://doi.org/10.3390/buildings16051000

Chicago/Turabian Style

Min, Lu, and Wei Shang. 2026. "Investigating the Impact of Gray-Green Space Exposure Ratio and Spatial Openness Level on Social–Emotional Responses of Older Adults Using EEG Data: A Case Study of Streets in Wuhan" Buildings 16, no. 5: 1000. https://doi.org/10.3390/buildings16051000

APA Style

Min, L., & Shang, W. (2026). Investigating the Impact of Gray-Green Space Exposure Ratio and Spatial Openness Level on Social–Emotional Responses of Older Adults Using EEG Data: A Case Study of Streets in Wuhan. Buildings, 16(5), 1000. https://doi.org/10.3390/buildings16051000

Note that from the first issue of 2016, this journal uses article numbers instead of page numbers. See further details here.

Article Metrics

Back to TopTop