Study on Mix Proportion Optimization and Multi-Scale Mechanism of High-Volume Aeolian Sand Cement-Fly Ash Stabilized Gravel Base
Abstract
1. Introduction
2. Materials and Methods
2.1. Materials
2.2. Methods
2.2.1. Overall Procedure
2.2.2. Mechanical Properties Test
2.2.3. DIC Test
2.2.4. Microscopic Test
2.3. RSM-Based Mix Proportion Design
3. Analysis of Mix Proportion Optimization
3.1. ANOVA of the Predictive Models
3.2. Verification of the Prediction Model
3.3. Influences of Various Factors and Their Interaction on Responses
3.3.1. UCS
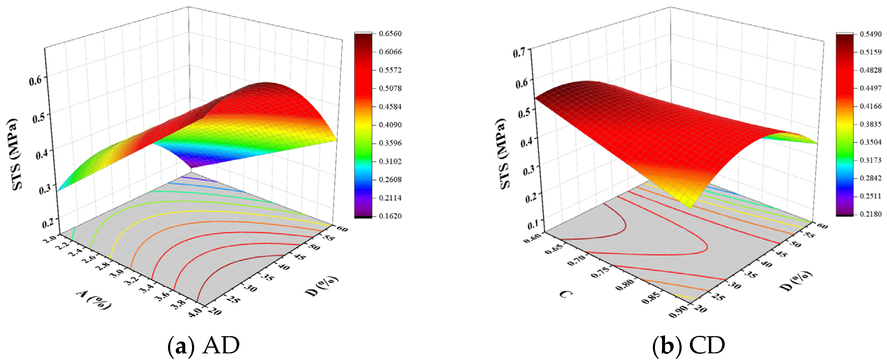
3.3.2. STS
3.4. Validation of Predicted Models
4. Analysis of Multi-Scale Mechanism
4.1. Analysis of DIC Test Results
4.1.1. Analysis of Stress–Strain Curves
4.1.2. Analysis of Horizontal Strain in UCS
4.1.3. Analysis of Horizontal Strain in STS
4.1.4. Analysis of STS Damage Evolution
4.2. Analysis of Microscopic Test Results
4.2.1. SEM–EDS
4.2.2. XRD
5. Discussion
5.1. Mechanism of Aeolian Sand Content on Cracking Evolution
5.2. Economic and Feasibility Analysis
5.3. Limitations and Future Work
6. Conclusions
- (1)
- RSM predicted the 7-d UCS and STS reliably. UCS was dominated by aeolian sand content; STS was mainly controlled by the cement content and cement-to-fly ash ratio. Interactions were non-negligible and supported multi-objective optimization.
- (2)
- At fixed optimized binder parameters, a higher aeolian sand content reduced both the 7-d UCS and STS and weakened the stress–strain load-bearing response. Excess aeolian sand thus degrades the binder–aggregate skeleton and hastens failure.
- (3)
- Mixtures with excessive aeolian sand showed earlier strain localization and more dispersed microcracking, leading to premature failure. In splitting, the shift from crack initiation to propagation occurred near 0.9 Pmax, providing a practical crack evolution threshold.
- (4)
- Strength loss stems from higher porosity, poorer paste continuity, and ITZ weakening at elevated aeolian sand contents. Moderate aeolian sand enables denser C-S-H filling, whereas excess sand leaves insufficient hydration products.
Author Contributions
Funding
Data Availability Statement
Conflicts of Interest
Abbreviations
| RSM | Response surface methodology |
| DIC | Digital image correlation |
| SEM | Scanning electron microscopy |
| XRD | X-ray diffraction |
| ITZ | Interfacial transition zone |
| CFSAG | Cement-fly ash stabilized aeolian sand gravel |
| UCS | Unconfined compressive strength |
| STS | Splitting tensile strength |
References
- Che, J.; Wang, D.; Liu, H.; Zhang, Y. Mechanical Properties of Desert Sand-Based Fiber Reinforced Concrete (DS-FRC). Appl. Sci. 2019, 9, 1857. [Google Scholar] [CrossRef]
- Zhu, S.; Ji, X.; Liu, J.; Hu, C.; Pu, C.; Wu, T.; Luo, J.; Lin, Y. Study on the Decay Laws and Deterioration Mechanism of Mechanical Properties of Cement-Stabilized Gravel under Water-Heat-Salt Coupled Conditions. Constr. Build. Mater. 2024, 453, 139142. [Google Scholar] [CrossRef]
- Wang, X.; Zhu, S.; Zhang, M.; Song, L.; Zhang, X. Macro-micro Study on Arch Expansion of Cement Stabilized Gravel Material in Desert Area with Large Temperature Difference. J. Chongqing Jiaotong Univ. Nat. Sci. 2022, 41, 87–95. [Google Scholar] [CrossRef]
- Khan, I.H. Soil Studies for Highway Construction in Arid Zones. Eng. Geol. 1982, 19, 47–62. [Google Scholar] [CrossRef]
- Cui, Q.; Liu, G.; Zhang, Z.; Fang, Y.; Gu, X. Experimental Investigation on the Strength and Microscopic Properties of Cement-Stabilized Aeolian Sand. Buildings 2023, 13, 395. [Google Scholar] [CrossRef]
- Lopez-Querol, S.; Arias-Trujillo, J.; GM-Elipe, M.; Matias-Sanchez, A.; Cantero, B. Improvement of the Bearing Capacity of Confined and Unconfined Cement-Stabilized Aeolian Sand. Constr. Build. Mater. 2017, 153, 374–384. [Google Scholar] [CrossRef]
- Jin, S.; Yang, Y.; Sun, Y.; Xu, L.; Xu, J. Experimental Research on Anti-Freezing and Thawing Performance of Basalt Fiber Reinforced Fly Ash Concrete in the Corrosive Conditions. KSCE J. Civ. Eng. 2023, 27, 3455–3470. [Google Scholar] [CrossRef]
- Liu, J.; Xu, X.; Wang, B.; Dong, G.; Si, W. Study on the Macro-micro Properties of High Volume Aeolian Sand-cement Fly Ash Stabilized Gravel. China J. Highw. Transp. 2025, 4, 54–68. [Google Scholar] [CrossRef]
- Liu, J.; Wang, B.; Hu, C.; Chen, J.; Zhu, S.; Xu, X. Multiscale Study of the Road Performance of Cement and Fly Ash Stabilized Aeolian Sand Gravel Base. Constr. Build. Mater. 2023, 397, 131842. [Google Scholar] [CrossRef]
- Revilla-Cuesta, V.; Skaf, M.; Faleschini, F.; Manso, J.M.; Ortega-López, V. Self-Compacting Concrete Manufactured with Recycled Concrete Aggregate: An Overview. J. Clean. Prod. 2020, 262, 121362. [Google Scholar] [CrossRef]
- Gowripalan, N.; Shakor, P.; Rocker, P. Pressure Exerted on Formwork by Self-Compacting Concrete at Early Ages: A Review. Case Stud. Constr. Mater. 2021, 15, 00642. [Google Scholar] [CrossRef]
- Chu, H.; Wang, F.; Wang, L.; Feng, T.; Wang, D. Mechanical Properties and Environmental Evaluation of Ultra-High-Performance Concrete with Aeolian Sand. Materials 2020, 13, 3148. [Google Scholar] [CrossRef] [PubMed]
- Ghoddousi, P.; Javid, A.A.S.; Sobhani, J. A Fuzzy System Methodology for Concrete Mixture Design Considering Maximum Packing Density and Minimum Cement Content. Arab. J. Sci. Eng. 2015, 40, 2239–2249. [Google Scholar] [CrossRef]
- Box, G.E.P.; Wilson, K.B. On the Experimental Attainment of Optimum Conditions. In Breakthroughs in Statistics; Springer Series in Statistics; Springer: New York, NY, USA, 1992. [Google Scholar] [CrossRef]
- Soltani, M.; Moayedfar, R.; Vun, C.V. Using Response Surface Methodology to Assess the Performance of the Pervious Concrete Pavement. Int. J. Pavement Res. Technol. 2023, 16, 576–591. [Google Scholar] [CrossRef]
- Li, H.; Wu, Y.; Zhou, A.; Zhao, C.; Deng, L.; Lu, F. Experimental Study on Self-Healing Performance of Tunnel Lining Concrete Based on Response Surface Methodology. Constr. Build. Mater. 2024, 425, 136105. [Google Scholar] [CrossRef]
- Ma, J.; Cui, Y.; Xing, Y.; Chen, X.; Wu, J. Optimization and Pavement Performance of Buton-Rock-Asphalt Modified Asphalt Mixture with Basalt-Fibre. Case Stud. Constr. Mater. 2024, 21, e03429. [Google Scholar] [CrossRef]
- Li, Z.; Lu, D.; Gao, X. Optimization of Mixture Proportions by Statistical Experimental Design Using Response Surface Method—A Review. J. Build. Eng. 2021, 36, 102101. [Google Scholar] [CrossRef]
- Özkılıç, Y.O.; Başaran, B.; Aksoylu, C.; Karalar, M.; Zeybek, Ö.; Althaqafi, E.; Beskopylny, A.N.; Stel’makh, S.A.; Shcherban’, E.M.; Umiye, O.A. Bending Performance of Reinforced Concrete Beams with Partial Waste Glass Aggregate Replacement Assessed by Experimental, Theoretical and Digital Image Correlation Analyses. Sci. Rep. 2025, 15, 36737. [Google Scholar] [CrossRef]
- Aksoylu, C.; Başaran, B.; Karalar, M.; Zeybek, Ö.; Althaqafi, E.; Beskopylny, A.N.; Stel’makh, S.A.; Shcherban’, E.M.; Umiye, O.A.; Özkılıç, Y.O. Experimental, Theoretical and Digital Image Correlation Methods to Assess Bending Performance of RC Beams with Recycled Glass Powder Replacing Cement. Sci. Rep. 2025, 15, 25163. [Google Scholar] [CrossRef]
- Karalar, M.; Başaran, B.; Aksoylu, C.; Zeybek, Ö.; Althaqafi, E.; Beskopylny, A.N.; Stel’makh, S.A.; Shcherban’, E.M.; Umiye, O.A.; Özkılıç, Y.O. Utilizing Recycled Glass Powder in Reinforced Concrete Beams: Comparison of Shear Performance. Sci. Rep. 2025, 15, 6919. [Google Scholar] [CrossRef]
- JTG E51; Test Methods of Materials Stabilized with Inorganic Binders for Highway Engineering. Beijing COC Tech Co., Ltd.: Beijing, China, 2009.
- Song, Y.; Sun, Y. Low-Temperature Crack Resistance of Basalt Fiber-Reinforced Phase-Change Asphalt Mixture Based on Digital-Image Correlation Technology. J. Mater. Civ. Eng. 2023, 35, 4023141. [Google Scholar] [CrossRef]
- Zhao, P.; Li, L.; Zhou, S.; Qiu, L.; Qian, Z.; Liu, X.; Cao, X.; Zhang, H. TPGS Functionalized Mesoporous Silica Nanoparticles for Anticancer Drug Delivery to Overcome Multidrug Resistance. Mater. Sci. Eng. C 2018, 84, 108–117. [Google Scholar] [CrossRef]
- Qin, W.; Zhao, Y.; Jin, A.; Chen, S.; Liu, J. Analysis of Precursor and Failure Mechanisms of Granite under High Temperature: Based on Acoustic Emission and 3D-DIC Perspectives. Constr. Build. Mater. 2025, 473, 141049. [Google Scholar] [CrossRef]
- Schreier, H.; Orteu, J.-J.; Sutton, M.A. Image Correlation for Shape, Motion and Deformation Measurements: Basic Concepts, Theory and Applications; Springer: Boston, MA, USA, 2009. [Google Scholar]
- Shi, C.; Yu, H.; Qian, G.; Li, X.; Zhu, X.; Yao, D.; Zhang, C. Research on the Characteristics of Asphalt Mixture Gradation Curve Based on Weibull Distribution. Constr. Build. Mater. 2023, 366, 130151. [Google Scholar] [CrossRef]
- JTG/T F20; The Technical Guidelines for Construction of Highway Roadbases. China Communications Press Co., Ltd.: Beijing, China, 2015.
- Obaid, H.A.; Eltwati, A.; Hainin, M.R.; Al-Jumaili, M.A.; Enieb, M. Modeling and Design Optimization of the Performance of Stone Matrix Asphalt Mixtures Containing Low-Density Polyethylene and Waste Engine Oil Using the Response Surface Methodology. Constr. Build. Mater. 2024, 446, 138037. [Google Scholar] [CrossRef]
- Yaro, N.S.A.; Napiah, M.B.; Sutanto, M.H.; Usman, A.; Saeed, S.M. Modeling and Optimization of Mixing Parameters Using Response Surface Methodology and Characterization of Palm Oil Clinker Fine Modified Bitumen. Constr. Build. Mater. 2021, 298, 123849. [Google Scholar] [CrossRef]
- Montgomery, D.C. Design and Analysis of Experiments; John wiley & Sons: Hoboken, NJ, USA, 2017. [Google Scholar]
- Bala, N.; Napiah, M.; Kamaruddin, I. Nanosilica Composite Asphalt Mixtures Performance-Based Design and Optimisation Using Response Surface Methodology. Int. J. Pavement Eng. 2020, 21, 29–40. [Google Scholar] [CrossRef]
- Rafiq, W.; Napiah, M.; Habib, N.Z.; Sutanto, M.H.; Alaloul, W.S.; Khan, M.I.; Musarat, M.A.; Memon, A.M. Modeling and Design Optimization of Reclaimed Asphalt Pavement Containing Crude Palm Oil Using Response Surface Methodology. Constr. Build. Mater. 2021, 291, 123288. [Google Scholar] [CrossRef]
- Yaro, N.S.A.; Sutanto, M.H.; Habib, N.Z.; Napiah, M.; Usman, A.; Muhammad, A. Comparison of Response Surface Methodology and Artificial Neural Network Approach in Predicting the Performance and Properties of Palm Oil Clinker Fine Modified Asphalt Mixtures. Constr. Build. Mater. 2022, 324, 126618. [Google Scholar] [CrossRef]
- Long, X.; Cai, L.; Li, W. RSM-Based Assessment of Pavement Concrete Mechanical Properties under Joint Action of Corrosion, Fatigue, and Fiber Content. Constr. Build. Mater. 2019, 197, 406–420. [Google Scholar] [CrossRef]
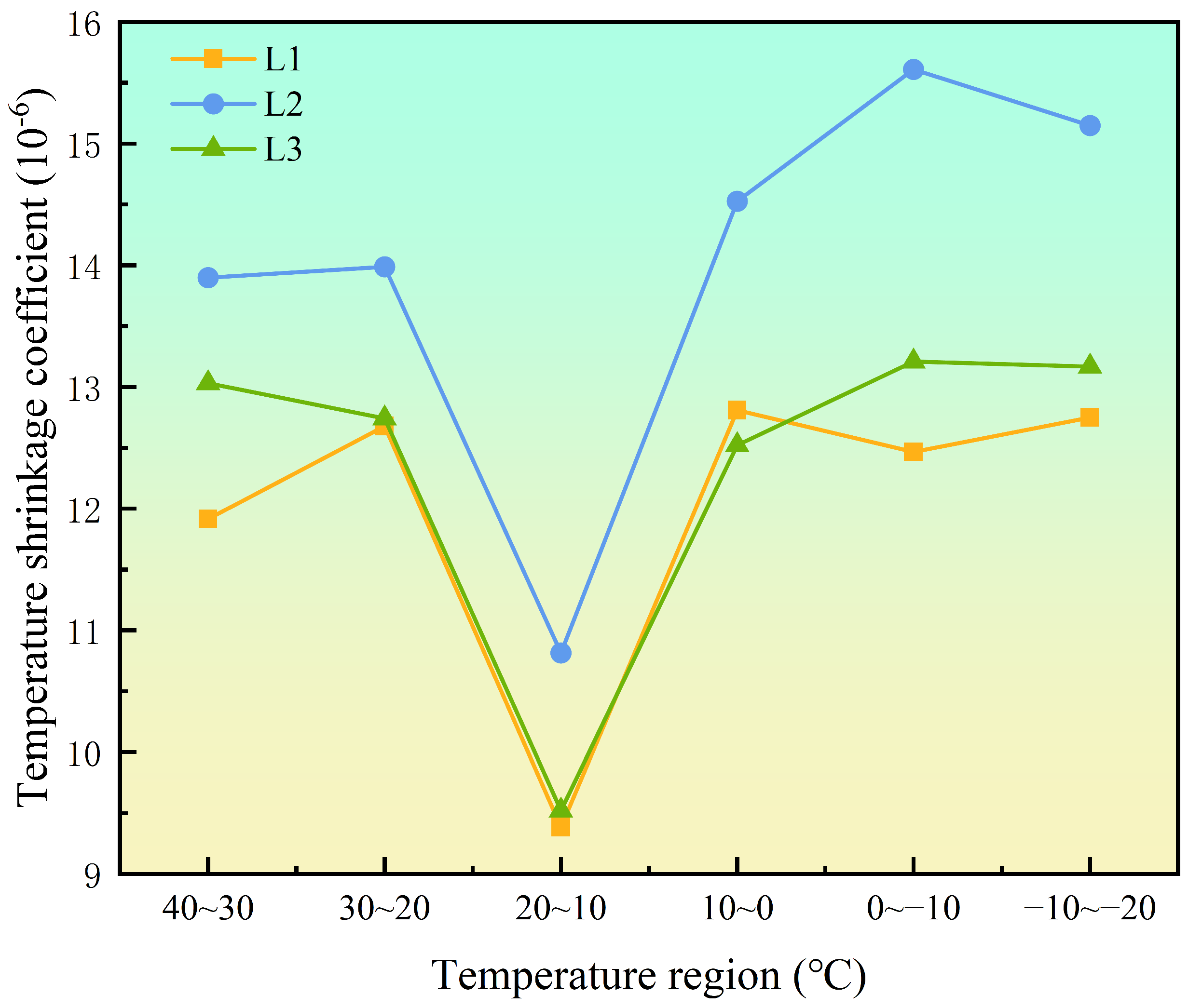
- Chen, X.; Deng, C.; Zhai, X.; Di, W.; Cao, X.; Guan, B. Study on Anti-Segregation Performance of Cement Stabilized Macadam and Its Impact on Mechanical and Shrinkage Properties. Front. Mater. 2024, 11, 1411558. [Google Scholar] [CrossRef]
- Fang, M.; Park, D.; Singuranayo, J.L.; Chen, H.; Li, Y. Aggregate Gradation Theory, Design and Its Impact on Asphalt Pavement Performance: A Review. Int. J. Pavement Eng. 2019, 20, 1408–1424. [Google Scholar] [CrossRef]
- Elipe, M.G.M.; López-Querol, S. Aeolian Sands: Characterization, Options of Improvement and Possible Employment in Construction—The State-of-the-Art. Constr. Build. Mater. 2014, 73, 728–739. [Google Scholar] [CrossRef]
- Cho, Y.K.; Jung, S.H.; Choi, Y.C. Effects of Chemical Composition of Fly Ash on Compressive Strength of Fly Ash Cement Mortar. Constr. Build. Mater. 2019, 204, 255–264. [Google Scholar] [CrossRef]
- Huang, K.; Huang, S.; Ding, X.; Zhang, Y.; Liu, Z.; Han, G.; Dai, Z. Mechanical Behavior and Failure Characteristics of Limestone-Concrete Specimens with Different Prefabricated Fracture Angles under Compressive-Shear Loading. Constr. Build. Mater. 2025, 476, 141284. [Google Scholar] [CrossRef]
- Elmrabet, R.; El Harfi, A.; El Youbi, M.S. Study of Properties of Fly Ash Cements. Mater. Today Proc. 2019, 13, 850–856. [Google Scholar] [CrossRef]
- Chen, X.-F.; Zhang, X.-C.; Peng, Y. Multi-Scale Investigation of Fly Ash Aggregates (FAAs) in Concrete: From Macroscopic Physical–Mechanical Properties to Microscopic Structure of Hydration Products. Materials 2025, 18, 2651. [Google Scholar] [CrossRef]
- Ruan, B.; Zheng, S.; Ding, H.; Nie, R.; Ruan, C.; Chen, D. Experimental study on unconfined compressive strength of cement-stabilized aeolian sand cured at low temperature. J. Railw. Sci. Eng. 2020, 17, 2540–2548. [Google Scholar] [CrossRef]
- Sun, Q.; Zhang, J.; Zhou, N. Early-Age Strength of Aeolian Sand-Based Cemented Backfilling Materials: Experimental Results. Arab. J. Sci. Eng. 2018, 43, 1697–1708. [Google Scholar] [CrossRef]
- Ye, J.; Cui, C.; Yu, J.; Yu, K.; Xiao, J. Fresh and Anisotropic-Mechanical Properties of 3D Printable Ultra-High Ductile Concrete with Crumb Rubber. Compos. Part B Eng. 2021, 211, 108639. [Google Scholar] [CrossRef]
- Gümüş, M. Introducing a Novel LLD-CMOD Equivalence Fracture Model for Quasi-Brittle Materials Exposed to Three-Point Bending. Eng. Fract. Mech. 2024, 297, 109869. [Google Scholar] [CrossRef]
- Ren, Z.; Dong, W.; Dong, X. Analysis of Fractal and Erosion Characteristics of Aeolian Sand Concrete Pore Structure under Capillary Absorption. J. Build. Eng. 2025, 104, 112258. [Google Scholar] [CrossRef]


























| Size (mm) | Apparent Density (g·cm−3) | Crush Value (%) | Needle-like Content (%) | Mud Content (%) |
|---|---|---|---|---|
| 4.75–9.5 | 2.649 | / | 9.8 | 0.94 |
| 9.5–19 | 2.661 | 17.9 | 11.5 | 0.57 |
| 19–31.5 | 2.670 | / | 13.1 | 0.16 |
| Factor | Code | Code Levels | ||
|---|---|---|---|---|
| −1 | 0 | 1 | ||
| Cement content (%) | A | 2 | 3 | 4 |
| Cement–fly ash ratio | B | 0.2 | 0.35 | 0.5 |
| k-value | C | 0.6 | 0.75 | 0.9 |
| Aeolian sand content (%) | D | 20 | 40 | 60 |
| Run | Code | Optimum Moisture Content (%) | Maximum Dry Density (g/cm3) | Responses | ||||
|---|---|---|---|---|---|---|---|---|
| A | B | C | D | UCS (MPa) | STS (MPa) | |||
| 1 | −1 | −1 | 0 | 0 | 6.07 | 2.2871 | 4.77 | 0.413 |
| 2 | 1 | −1 | 0 | 0 | 6.76 | 2.2683 | 8.08 | 0.740 |
| 3 | −1 | 1 | 0 | 0 | 6.06 | 2.3156 | 3.13 | 0.245 |
| 4 | 1 | 1 | 0 | 0 | 6.07 | 2.2894 | 7.55 | 0.538 |
| 5 | 0 | 0 | −1 | −1 | 5.01 | 2.4010 | 6.94 | 0.547 |
| 6 | 0 | 0 | 1 | −1 | 5.03 | 2.4035 | 8.49 | 0.394 |
| 7 | 0 | 0 | −1 | 1 | 6.98 | 2.1373 | 2.61 | 0.214 |
| 8 | 0 | 0 | 1 | 1 | 6.98 | 2.1519 | 3.34 | 0.361 |
| 9 | −1 | 0 | 0 | −1 | 5.11 | 2.4684 | 6.35 | 0.281 |
| 10 | 1 | 0 | 0 | −1 | 5.29 | 2.4870 | 10.24 | 0.605 |
| 11 | −1 | 0 | 0 | 1 | 6.96 | 2.1464 | 1.98 | 0.161 |
| 12 | 1 | 0 | 0 | 1 | 7.36 | 2.1093 | 5.38 | 0.378 |
| 13 | 0 | −1 | −1 | 0 | 6.03 | 2.3132 | 5.33 | 0.675 |
| 14 | 0 | 1 | −1 | 0 | 5.83 | 2.2479 | 4.08 | 0.424 |
| 15 | 0 | −1 | 1 | 0 | 6.08 | 2.2884 | 6.81 | 0.616 |
| 16 | 0 | 1 | 1 | 0 | 5.99 | 2.2598 | 5.21 | 0.351 |
| 17 | −1 | 0 | −1 | 0 | 6.04 | 2.3112 | 4.13 | 0.319 |
| 18 | 1 | 0 | −1 | 0 | 6.42 | 2.2773 | 6.33 | 0.597 |
| 19 | −1 | 0 | 1 | 0 | 6.04 | 2.3015 | 3.73 | 0.305 |
| 20 | 1 | 0 | 1 | 0 | 6.17 | 2.2717 | 9.16 | 0.615 |
| 21 | 0 | −1 | 0 | −1 | 4.99 | 2.3816 | 8.55 | 0.542 |
| 22 | 0 | 1 | 0 | −1 | 4.78 | 2.3874 | 7.4 | 0.333 |
| 23 | 0 | −1 | 0 | 1 | 7.59 | 2.1491 | 3.1 | 0.357 |
| 24 | 0 | 1 | 0 | 1 | 6.89 | 2.0460 | 2.69 | 0.222 |
| 25 | 0 | 0 | 0 | 0 | 6.09 | 2.2750 | 3.98 | 0.501 |
| 26 | 0 | 0 | 0 | 0 | 6.09 | 2.2750 | 3.91 | 0.481 |
| 27 | 0 | 0 | 0 | 0 | 6.09 | 2.2750 | 3.89 | 0.469 |
| 28 | 0 | 0 | 0 | 0 | 6.09 | 2.2750 | 3.78 | 0.469 |
| 29 | 0 | 0 | 0 | 0 | 6.09 | 2.2750 | 3.66 | 0.471 |
| Source | Sum of Squares | Free Degree | Mean Square | F-Value | p-Value | |
|---|---|---|---|---|---|---|
| UCS (MPa) | ||||||
| Model | 138.56 | 12 | 11.55 | 347.32 | <0.0001 | significant |
| A | 42.75 | 1 | 42.75 | 1285.98 | <0.0001 | |
| B | 3.61 | 1 | 3.61 | 108.53 | <0.0001 | |
| C | 4.47 | 1 | 4.47 | 134.31 | <0.0001 | |
| D | 69.46 | 1 | 69.46 | 2089.26 | <0.0001 | |
| AB | 0.3080 | 1 | 0.3080 | 9.27 | 0.0077 | |
| AC | 2.61 | 1 | 2.61 | 78.46 | <0.0001 | |
| BD | 0.1369 | 1 | 0.1369 | 4.12 | 0.0594 | |
| CD | 0.1681 | 1 | 0.1681 | 5.06 | 0.0390 | |
| A2 | 10.81 | 1 | 10.81 | 325.15 | <0.0001 | |
| B2 | 3.89 | 1 | 3.89 | 117.09 | <0.0001 | |
| C2 | 3.24 | 1 | 3.24 | 97.57 | <0.0001 | |
| D2 | 4.37 | 1 | 4.37 | 131.49 | <0.0001 | |
| Residual | 0.5319 | 16 | 0.0332 | |||
| Lack of Fit | 0.4690 | 12 | 0.0391 | 2.48 | 0.1967 | not significant |
| Pure Error | 0.0629 | 4 | 0.0157 | |||
| Cor Total | 139.09 | 28 | ||||
| STS (MPa) | ||||||
| Model | 0.5903 | 7 | 0.0843 | 91.76 | <0.0001 | significant |
| A | 0.2549 | 1 | 0.2549 | 277.36 | <0.0001 | |
| B | 0.1261 | 1 | 0.1261 | 137.17 | <0.0001 | |
| C | 0.0015 | 1 | 0.0015 | 1.63 | 0.2159 | |
| D | 0.0848 | 1 | 0.0848 | 92.31 | <0.0001 | |
| AD | 0.0029 | 1 | 0.0029 | 3.11 | 0.0922 | |
| CD | 0.0225 | 1 | 0.0225 | 24.48 | <0.0001 | |
| D2 | 0.0976 | 1 | 0.0976 | 106.23 | <0.0001 | |
| Residual | 0.0193 | 21 | 0.0009 | |||
| Lack of Fit | 0.0186 | 17 | 0.0011 | 5.83 | 0.0500 | not significant |
| Pure Error | 0.0007 | 4 | 0.0002 | |||
| Cor Total | 0.6096 | 28 | ||||
| Responses | Std. Dev. | Mean | C.V. (%) | R2 | Adj-R2 | Pre-R2 | Adeq Precision |
|---|---|---|---|---|---|---|---|
| UCS | 0.1823 | 5.33 | 3.42 | 0.9962 | 0.9933 | 0.9867 | 70.338 |
| STS | 0.0303 | 0.435 | 6.96 | 0.9683 | 0.9578 | 0.9394 | 35.744 |
| Number | A (%) | B | C | D (%) | Optimum Moisture Content (%) | Maximum Dry Density (g/cm3) |
|---|---|---|---|---|---|---|
| L1 | 3 | 1:3 | 0.9 | 40 | 5.69 | 2.2191 |
| L2 | 3 | 1:3 | 0.9 | 50 | 6.11 | 2.1773 |
| L3 | 3 | 1:3 | 0.9 | 60 | 6.63 | 2.0914 |
| Responses | Number | Predicted Value (MPa) | Actual Value (MPa) | Error (%) |
|---|---|---|---|---|
| UCS (MPa) | L1 | 5.232 | 5.349 | 2.19 |
| L2 | 4.123 | 4.317 | 4.49 | |
| L3 | 3.421 | 3.517 | 2.73 | |
| STS (MPa) | L1 | 0.484 | 0.499 | 3.01 |
| L2 | 0.450 | 0.461 | 2.39 | |
| L3 | 0.357 | 0.359 | 0.56 |
| Sample | Quartz (%) | Mullite (%) | Calcite (%) | Ca(OH)2 (%) |
|---|---|---|---|---|
| L1 | 77.2 | 1.7 | 19.0 | 2.0 |
| L2 | 73.5 | 1.7 | 22.4 | 2.4 |
| L3 | 75.9 | 1.8 | 20.5 | 1.8 |
| Scheme | Material | Unit | Quantity | Unit Price (CNY) | Cost (CNY) |
|---|---|---|---|---|---|
| CFSAG (L2) | Cement | t | 17.163 | 367.52 | 6307.75 |
| Fly ash | t | 51.487 | 145.63 | 7498.05 | |
| Aeolian sand | m3 | 238.366 | 2.50 | 595.92 | |
| Gravel (4 cm) | m3 | 51.314 | 61.17 | 3138.88 | |
| Gravel (2 cm) | m3 | 121.697 | 63.11 | 7680.30 | |
| Water | m3 | 39.114 | 2.72 | 106.39 | |
| Total | 25,327.29 | ||||
| Unit cost | CNY/m2 | 25.3 | |||
| Conventional (cement-stabilized sand gravel) | Cement | t | 28.9 | 367.52 | 10,615.61 |
| Sand gravel | m3 | 641.9 | 46.6 | 29,911.45 | |
| Water | m3 | 28.9 | 2.72 | 78.63 | |
| Total | 40,605.69 | ||||
| Unit cost | CNY/m2 | 40.6 |
Disclaimer/Publisher’s Note: The statements, opinions and data contained in all publications are solely those of the individual author(s) and contributor(s) and not of MDPI and/or the editor(s). MDPI and/or the editor(s) disclaim responsibility for any injury to people or property resulting from any ideas, methods, instructions or products referred to in the content. |
© 2026 by the authors. Licensee MDPI, Basel, Switzerland. This article is an open access article distributed under the terms and conditions of the Creative Commons Attribution (CC BY) license.
Share and Cite
Wu, B.; Zheng, P.; Wang, B.; Pu, C.; Zhu, S.; Liu, J. Study on Mix Proportion Optimization and Multi-Scale Mechanism of High-Volume Aeolian Sand Cement-Fly Ash Stabilized Gravel Base. Buildings 2026, 16, 590. https://doi.org/10.3390/buildings16030590
Wu B, Zheng P, Wang B, Pu C, Zhu S, Liu J. Study on Mix Proportion Optimization and Multi-Scale Mechanism of High-Volume Aeolian Sand Cement-Fly Ash Stabilized Gravel Base. Buildings. 2026; 16(3):590. https://doi.org/10.3390/buildings16030590
Chicago/Turabian StyleWu, Bo, Ping Zheng, Bin Wang, Chao Pu, Shiyu Zhu, and Jie Liu. 2026. "Study on Mix Proportion Optimization and Multi-Scale Mechanism of High-Volume Aeolian Sand Cement-Fly Ash Stabilized Gravel Base" Buildings 16, no. 3: 590. https://doi.org/10.3390/buildings16030590
APA StyleWu, B., Zheng, P., Wang, B., Pu, C., Zhu, S., & Liu, J. (2026). Study on Mix Proportion Optimization and Multi-Scale Mechanism of High-Volume Aeolian Sand Cement-Fly Ash Stabilized Gravel Base. Buildings, 16(3), 590. https://doi.org/10.3390/buildings16030590
