Next Article in Journal
Preparation of Red Mud-Electrolytic Manganese Residue Paste: Properties and Environmental Impact
Previous Article in Journal
Children’s Well-Being of Physical Activity Space Design in Primary School Campus from the Perspective of Basic Psychological Needs
 
 
Font Type:
Arial Georgia Verdana
Font Size:
Aa Aa Aa
Line Spacing:
Column Width:
Background:
Technical Note

Sedimaging-Based Analysis of Granular Soil Compressibility for Building Foundation Design and Earth–Rock Dam Infrastructure

1
Tianshengqiao I Hydropower Development Co., Ltd., Hydroelectric Power Plant, Xingyi 562400, China
2
Changjiang Spatial Information Technology Engineering Co., Ltd., Wuhan 430010, China
3
School of Civil and Hydraulic Engineering, Huazhong University of Science and Technology, Wuhan 430074, China
*
Author to whom correspondence should be addressed.
Buildings 2026, 16(1), 223; https://doi.org/10.3390/buildings16010223
Submission received: 21 November 2025 / Revised: 19 December 2025 / Accepted: 21 December 2025 / Published: 4 January 2026
(This article belongs to the Topic Resilient Civil Infrastructure, 2nd Edition)

Abstract

This technical note presents a quantitative image-based framework for evaluating the packing and compressibility of granular soils, specifically applied to building foundation design in civil infrastructure projects. The Sedimaging system replicates hydraulic sedimentation in a controlled column, equipped with a high-resolution camera, to visualize particle orientation after deposition. Grayscale images of the settled bed are analyzed using Haar Wavelet Transform (HWT) decomposition to quantify directional intensity gradients. A new descriptor, termed the sediment index (B), is defined as the ratio of vertical to horizontal wavelet energy at the dominant scale, representing the preferential alignment and anisotropy of particles during sedimentation. Experimental investigations were conducted on fifteen granular materials that include natural sands, tailings, glass beads and rice grains with different shapes. The results demonstrate strong correlations between B and both microscopic shape ratios (d1/d2 and d1/d3) and macroscopic properties. Linear relationships predict the limiting void ratios (emax, emin) with mean absolute differences of 0.04 and 0.03, respectively. A power-law function relates B to the compression index (Cc) with an average deviation of 0.02. These findings confirm that the sediment index effectively captures the morphological influence of particle shape on soil packing and compressibility. Compared with conventional physical testing, the Sedimaging-based approach offers a rapid, non-destructive, and high-throughput solution for estimating soil packing and compressibility of cohesionless, sand-sized granular soils directly from post-settlement imagery, making it particularly valuable for preliminary site assessments, geotechnical screening, and intelligent monitoring of granular materials in building foundation design and other infrastructure applications, such as earth–rock dams.

1. Introduction

The shape of soil particles plays a critical role in determining the packing structure and compressibility of granular soils, which are essential parameters for building foundation design and infrastructure development [1,2,3,4,5]. Elongated or flat particles tend to form open frameworks during deposition, leading to higher void ratios and increased compressibility, which can affect the stability and settlement behavior of building foundations and embankment structures [6]. Traditional methods for characterizing particle morphology, such as microscopy or physical measurement, are often labor-intensive and limited in the number of particles analyzed, making them less efficient for large-scale geotechnical applications [5,7].
In recent years, with the increasing need for rapid, high-throughput characterization in geotechnical engineering, there has been growing interest in image-based approaches. These methods offer an efficient way to quantify particle shape and directly relate it to bulk soil behavior, providing a faster and more scalable alternative to conventional techniques. In the context of building design and infrastructure projects, such image-based methodologies hold significant promise for real-time soil characterization, facilitating more informed decision making in the early stages of construction, site assessments, and materials screening [3,5,8]. These image-based techniques represent the current state-of-the-art in high-throughput particle morphology characterization, as they significantly improve efficiency and reproducibility compared to traditional laboratory methods.
Recent developments have further enhanced the capability of image-based systems. For instance, Wei et al. [9] quantified grain angularity and flatness from 2D images of calcareous sand using fractal descriptors, while Lendzioch et al. [10] applied UAV imagery and CNN-based segmentation (GRAINet) to automate mean particle diameter extraction. Islam et al. [7] and Wang et al. [8] also compared digital imaging with classical sieving and microscopy, showing that modern imaging methods offer greater consistency and scalability in morphological characterization.
In parallel, machine learning (ML) approaches have emerged as powerful tools for predicting geotechnical properties. Baghbani et al. [11] combined genetic programming and XGBoost to predict the compression index of clays from index properties with high accuracy. Liu et al. [12] trained ANN, random forest, and SVM models to estimate compressibility of soft soils, while Li and Wang [13] used recurrent neural networks to simulate stress–strain response in DEM-modeled granular media. These approaches reduce reliance on physical testing and enable rapid screening of soil properties. A broader review by Wang et al. [14] and a signal-based CNN approach by Byun et al. [15] further illustrate the expanding landscape of ML-driven soil mechanics. While these ML-based models demonstrate strong predictive capability, most of them rely on conventional index properties or numerical simulations and do not explicitly incorporate image-derived particle orientation or anisotropy information.
Extensive research has also investigated empirical correlations between the void-ratio limits of granular soils and grain-size parameters. Classical studies reported that both e m a x and e m i n tend to decrease with increasing median grain size D 50 , and several authors proposed logarithmic or linear functions of the form e = a + b l n D 50 to describe these trends [16,17]. Cubrinovski and Ishihara [18] further demonstrated, based on a large database of natural sands, that the void-ratio range is jointly governed by gradation characteristics and particle angularity. More recently, Çetin and Ilgaç [19] proposed probabilistic predictive models incorporating D 50 , uniformity coefficient C u , curvature coefficient C c , fines content, and shape descriptors. Wu et al. [20] introduced multivariate empirical expressions combining roundness and grading indices, highlighting that particle shape can significantly shift both e m a x and e m i n even for sands with similar particle-size distributions. More recently, Zeng et al. [21] proposed an equivalent-based framework to estimate the compression behavior of granular soils by explicitly accounting for initial density effects. While these empirical correlations offer valuable insights into packing behavior, they rely primarily on particle-size data and do not capture particle orientation or anisotropy that develops during sedimentation processes. This gap highlights a key limitation of current state-of-the-art empirical approaches and motivates the development of image-based frameworks that can explicitly capture particle orientation and anisotropy in addition to size and shape effects.
Recent state-of-the-art reviews further emphasize that particle shape plays a fundamental role in governing the mechanical behavior of granular soils across different loading conditions and length scales. Hatefi et al. [22] systematically summarized experimental, numerical, and theoretical studies on particle shape effects and pointed out that existing predictive approaches remain fragmented and often rely on indirect shape descriptors, highlighting the need for more unified and physically interpretable characterization frameworks.
Accordingly, the Sedimaging system was developed as a state-of-the-art experimental imaging platform to replicate hydraulic sedimentation under controlled laboratory conditions [3,23,24]. Originally proposed by Ohm and Hryciw [25], the system consists of a tall water-filled sedimentation column equipped with a high-resolution camera and a transparent viewing window at the base. Soil particles are introduced at the top of the column and allowed to settle freely through the water. Larger particles settle faster, resulting in natural size segregation. Once deposition is complete, a high-resolution grayscale image of the sediment bed is captured. The original implementation of the system focused on determining particle size distribution from the final image.
Within the evolution of Sedimaging-based techniques, existing studies have primarily focused on particle size estimation and gradation characterization. However, the role of particle orientation and shape anisotropy during sedimentation has not been explicitly quantified within this framework. This limitation provides the motivation for extending Sedimaging beyond size-based analysis toward orientation-aware and shape-sensitive characterization.
In this study, the application of the Sedimaging system is extended to analyze particle orientation and shape from grayscale image features. A new index, termed the sediment index (B), is introduced based on the directional energy of grayscale variations. This index reflects the preferential alignment of elongated particles during settling and serves as a proxy for particle shape anisotropy. The tested materials span a wide range of particle shapes, sizes and surface textures, ensuring that the proposed framework is evaluated under diverse morphological conditions.
By combining image-derived sediment indices with laboratory test results from a range of natural sands, tailings and reference materials with markedly different shapes, this study investigates the relationship between particle shape and key macroscopic soil properties. Predictive models are proposed to estimate index void ratios (emax, emin) and compression index (Cc) directly from image analysis. The results demonstrate the potential of this approach as a rapid and practical tool for characterizing granular soils in geotechnical engineering.
Although this study focuses on the packing and compressibility characteristics of granular soils, these parameters are particularly important in the context of building foundation design and infrastructure engineering. The stability and settlement behavior of foundation materials, including granular soils used in embankments and other structural foundations, depend significantly on particle shape, packing density, and compressibility [26,27]. Therefore, the Sedimaging-based framework developed in this study offers great potential for non-destructive monitoring and digital characterization of soil materials, enabling more efficient and accurate soil assessment in construction sites and supporting future intelligent monitoring systems for building foundation integrity and broader infrastructure safety, including earth–rock dams.

2. Sedimaging System and Sediment Index

The Sedimaging system simulates hydraulic sedimentation under controlled laboratory conditions, allowing visualization of soil particle behavior during deposition. The apparatus consists of a square aluminum column measuring 64 × 64 × 2134 mm, filled with water and equipped with a transparent glass window at the bottom. Soil specimens are introduced at the top using a pre-segregation and release mechanism. As particles settle under gravity, larger particles fall faster, resulting in vertical segregation by size. An overview of the Sedimaging system and the image-based analysis workflow is illustrated in Figure 1. After approximately 5 to 7 min, once all particles have come to rest, a high-resolution image (4096 × 1024 pixels) is captured through the viewing window using a 36-megapixel digital camera. The camera resolution was selected to provide sufficient spatial detail for identifying particle boundaries and capturing grayscale variations required for wavelet-based analysis, while maintaining a practical balance between image quality, data volume, and processing efficiency. This resolution allows both particle-scale features and macroscopic sediment structures to be clearly resolved in the final images.
The dimensions of the sedimentation column were selected to ensure sufficient settling distance for particles to achieve stable orientation and natural size segregation under hydraulic deposition, while minimizing wall effects and boundary interference. The column height allows particles with different sizes and shapes to fully settle and align before image acquisition, which is essential for reliable characterization of particle orientation and sediment structure.
The system shares the same conceptual design as the Sedimaging setup previously employed for dynamic particle size estimation [23], but the present study focuses on static post-deposition analysis and structural anisotropy characterization.
Long-grain rice was used as a model material to illustrate particle alignment during settling because of its highly elongated geometry, which has been widely adopted as a surrogate material for investigating particle orientation and anisotropy in image-based sedimentation studies [23,25]. The resulting images reveal a clear preferential alignment of particles after settling. This directional structure manifests as grayscale gradients in the image, which can be analyzed using image processing techniques.
Directional changes in grayscale intensity are quantified using a Haar Wavelet Transform (HWT) applied to the captured sediment image. At the first level of decomposition, the original image A0 is divided into 2 × 2 pixel blocks. Each block yields four components: A1(I, j) (average grayscale (approximation)), H1(I, j) (horizontal edge component), V1(I,j) (vertical edge component), and D1(I, j) (diagonal contrast).
Assuming the four numbers in an (I, j) area are:
A 0 i , j = a b c d , i = 1 , 2 , , 2048   , j = 1 , 2 , , 512
The HWT computes four values A1(I, j), H1(I, j), V1(I, j), and D1(I, j). The A1(I, j) is twice the average of the four numbers:
A 1 i ,   j = a + b + c + d 2
H1(I, j) is the average difference between two columns:
H 1 i ,   j = a + c b + d 2
V1(I, j) is the average difference between two rows:
V 1 i ,   j = a + b c + d 2
D1(I, j) is the average difference between two diagonals:
D 1 i ,   j = a + d b + c 2
The A1(I, j), H1(I, j), V1(I, j), and D1(I, j) values assemble four 2048 × 512 matrices: A1, H1, V1, and D1. The physical meanings A1, H1, and V1 are straightforward. The matrix A1 is a smoothed approximation of the original image, while H1 and V1 quantify horizontal and vertical grayscale transitions, respectively. The diagonal component D1 is not used further in this study.
The HWT is applied recursively to the approximation matrices, generating a multi-level decomposition: A2, A3, …, A10. Each level halves the image resolution, filtering out local texture while retaining dominant structure. Example results of the first several decomposition levels are illustrated in Figure 2.
The decomposition continues until the final approximation image A10, which is a 4 × 1 pixel matrix. At each decomposition level k, the grayscale variation in the horizontal and vertical directions is quantified by summing the squared values of the Hk and Vk components. These values are denoted as EHk and EVk, and the results are plotted in Figure 3. Both curves exhibit a bell-shaped trend and reach their peaks at level 5.
This trend can be explained by examining the nature of grayscale variation in real sediment images. Grayscale changes occur not only at particle boundaries but also within particles due to surface texture. However, the internal variations are typically much weaker than those at the edges. As the image is progressively approximated through wavelet decomposition, the internal texture is gradually filtered out while the dominant edge features become more prominent. This explains the increasing trend of EHk and EVk up to level 5. Beyond that point, even the stronger edge gradients begin to diminish due to over-smoothing, and the images become increasingly blurred. As a result, both energy values decrease with higher levels of decomposition.
The peak values of EHk and EVk at level 5 represent the dominant directional grayscale transitions. Since elongated particles tend to produce stronger vertical gradients and weaker horizontal gradients, the ratio of vertical to horizontal energy at the peak scale serves as an indicator of particle shape. The sediment index B is defined as shown in Equation (6):
B = E V , max E H , max
This index serves as a proxy for particle anisotropy. For example, long-grain rice produces a sediment index of 3.70, reflecting its pronounced elongation and horizontal alignment in the sediment layer.
At this point, it is worth clarifying the rationale for selecting the Haar Wavelet Transform within the Sedimaging framework. A variety of texture analysis methods have been applied in particle characterization studies, including gray-level co-occurrence matrices (GLCM), Fourier-based spectral analysis, and local binary patterns (LBP). GLCM descriptors are effective for capturing second-order grayscale statistics but are often sensitive to parameter selection and provide limited physical interpretability in terms of directional particle alignment. Fourier-based methods emphasize global frequency content and are less suitable for resolving spatially localized anisotropic structures. LBP approaches are computationally efficient for micro-texture analysis but are primarily designed for local intensity patterns and may be sensitive to image noise.
In contrast, the Haar Wavelet Transform provides a compact multi-resolution representation with explicit directional components, allowing direct separation of horizontal and vertical grayscale gradients that naturally arise from particle alignment during sedimentation. This directional sensitivity, combined with low computational cost and clear physical interpretation, makes the Haar wavelet particularly well suited to post-settlement Sedimaging images, where the objective is to quantify dominant geometric and textural anisotropy rather than fine-scale surface roughness. It should be noted that the Haar-based analysis remains an image-level proxy and does not resolve three-dimensional particle contacts or force transmission; however, within the constraints of two-dimensional sedimentation imagery, it offers a robust and physically meaningful balance between simplicity, interpretability, and efficiency.
The evaluation process used In this study follows a consistent workflow based on the data extracted from the final sediment bed image. The system first identifies particle boundaries and computes the projected axes required for calculating geometric shape ratios. Directional grayscale gradients obtained from the Haar wavelet decomposition are then used to compute the sediment index B. These quantities together form the basis for predicting the limiting void ratios and compression index. This workflow provides a unified data path from raw imaging to particle-scale metrics and finally to the macroscopic soil parameters evaluated in this study.

3. Prediction of Soil Macroscopic Properties

The macroscopic soil parameters analyzed in this section include the index void ratios (emax and emin), relative density (Dr), and compression index (Cc). The index void ratios were determined following standard index density testing procedures reported in the literature, which define the loosest and densest packing states achievable under controlled laboratory conditions and directly influence deposition behavior [18]. Particle size parameters were obtained from standard sieve analysis, and particle shape descriptors were derived from image-based measurements as described in Section 2. Compression indices were determined from one-dimensional oedometer tests conducted under controlled loading conditions following established procedures [21].
After defining the sediment index B from directional grayscale analysis, its correlation with fundamental macroscopic soil properties is explored. This section presents the predictive relationships between B and key soil behavior parameters, including the index void ratios (emax, emin) and the compression index (Cc). The results are derived from a combination of Sedimaging-based image analysis and complementary laboratory testing, aiming to establish a rapid and quantitative framework for estimating soil compressibility and packing characteristics based solely on post-settlement imagery.

3.1. Index Void Ratio Prediction

The sediment index B, derived from image-based energy ratios, reflects the degree of particle elongation and orientation. Since particle shape strongly influences packing efficiency, B is hypothesized to correlate with the limiting void ratios emax and emin. Because the index void ratios define the limiting packing states of granular soils, the adopted index density procedures play a critical role in characterizing deposition behavior and subsequent compressibility responses [18].
Figure 4 displays the captured sediment images for fourteen representative soils and granular materials, ranging from glass beads to natural sands and rice particles of different shapes. All images are standardized at 4096 × 1024 pixels. A total of fifteen granular materials were tested in this study, and their grading parameters, limiting void ratios, and sediment index values are summarized in Table 1. Figure 4 presents sedimentation images for fourteen of these materials (a–n). The long-grain rice sample (o) was analyzed separately in Figure 2 to illustrate particle alignment during settling and is therefore not included in Figure 4. The computed B values for each material are shown in Table 1.
The natural sands tested in this study were selected from well-documented sources commonly used in geotechnical research, including coastal, dune, and inland sands from different regions of the United States. These materials have been widely reported in previous experimental studies and collectively represent a broad range of particle sizes, gradation characteristics, and particle shapes typically encountered in engineering practice. Their basic physical properties, including grain-size parameters, limiting void ratios, and shape-related indices, are summarized in Table 1, ensuring that the selected materials provide a representative and consistent basis for evaluating the proposed image-based framework.
The results in Table 1 include basic particle size parameters (D50, Cu, R), limiting void ratios, and the calculated sediment index B. For seven coarse materials with particle size exceeding 2 mm, the principal dimensions (d1, d2, d3) were measured using a caliper, where d1, d2, and d3 represent the long, intermediate, and short principal axes of particles, respectively, allowing computation of shape ratios (d1/d3, d1/d2, and d2/d3). Particle size distribution parameters were obtained from standard sieve analysis and limiting void ratios were determined following established index density test procedures reported in the literature [18]. Compression indices were obtained from one-dimensional oedometer tests conducted under incremental vertical loading in accordance with standard testing procedures [21]. No intentional deviations from the standard index density or oedometer testing methods were introduced in this study.
The grain shape ratios listed in Table 1 were derived from the projected geometry of individual particles in the final sedimentation image. For each particle, the major axis d 1 corresponds to the longest dimension of the projection, while d 2 is the perpendicular minor axis; when applicable, an intermediate axis d 3 was obtained by fitting an equivalent ellipse to the particle boundary. These ratios quantify the degree of elongation and flatness relevant to particle alignment during settling and therefore provide a direct basis for evaluating the relationship between shape and the sediment index.
Figure 5 illustrates the relationships between sediment index B and shape ratios. A positive correlation is found between B and both d1/d2 and d1/d3, confirming the ability of B to capture shape anisotropy. No strong trend is observed for d2/d3, indicating that horizontal elongation dominates the sediment structure.
The sediment index B is also plotted against index void ratios emax and emin in Figure 6. Both void ratios increase with increasing B. Physically, an increase in sediment index B is associated with looser particle packing and higher porosity. This trend can be interpreted as an anisotropy-induced mechanism in which particles with greater shape anisotropy are hypothesized to promote local interlocking or arching during deposition.
The glass beads (B = 1.00) are used as a reference with known values e max = 0.75 and e min = 0.50. Linear scaling relations are proposed:
e max = B 0.3 e max
e min = B 0.4 e min
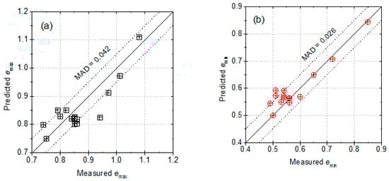
Equations (7) and (8) are used to predict emax and emin of all the soils in Table 1. The results are shown in Figure 7a,b. Most predictions are within ±0.05 (shown as dashed lines).
Prediction accuracy is quantified using the mean absolute difference (MAD), defined as the average absolute difference between predicted and measured values across all tested materials. The MAD for emax and emin are 0.04 and 0.03, respectively.
As shown in Figure 7, most predictions of emax and emin fall within ±0.05 of the measured values, which is comparable to the scatter typically reported for empirical correlations based solely on grain-size parameters.

3.2. Compressibility Index Prediction

The compressibility of granular soils under one-dimensional loading is commonly represented by the compression index Cc. This parameter characterizes the amount of volume reduction that occurs as effective stress increases in normally consolidated conditions. Although Cc is affected by factors such as mineral composition, grain size distribution, and initial packing density, particle shape also exerts a significant influence due to its effect on particle interlocking, contact orientation, and load transmission.
In this study, the sediment index B is evaluated as a predictor of Cc, based on the premise that elongated particles, which correspond to larger values of B, tend to generate higher initial void ratios and exhibit greater susceptibility to rearrangement under loading. These characteristics often translate into increased compressibility.
The compression index Cc was obtained from one-dimensional oedometer tests performed under effective stresses ranging from 10 to 300 kPa, following standard testing procedures reported in the literature [21]. For materials with low compression index values, relatively larger prediction errors are observed. This is primarily attributed to the small absolute magnitude of Cc, where minor experimental variations can result in relatively large normalized errors. From an engineering perspective, these discrepancies are less critical, as very small Cc values correspond to materials with limited compressibility and minimal deformation under typical loading conditions.
Table 2 lists the measured compression index Cc for eleven natural sands and glass beads, under dense, medium-dense, and loose packing conditions. Among the fifteen tested materials, only twelve natural sands and tailings were used for regression model development (Table 2). Glass beads and the three rice samples were excluded because they do not possess engineering properties such as limiting void ratios and compressibility indices required for model calibration. The values were obtained from one-dimensional oedometer tests performed under effective stresses, ranging from 10 to 300 kPa.
Figure 8 presents the measured values of Cc plotted against the sediment index B for a subset of tested materials, including both natural sands and reference particles. The data show a clear positive trend, indicating that materials with greater anisotropy, as reflected by higher B, tend to be more compressible. This observation is consistent with physical expectations, since elongated particles often align in less stable configurations that collapse more readily when subjected to external loads.
To formalize this trend, a power function model is proposed as follows:
C c = B 3 C c D r 20 % B 2 C c D r < 20 %
where C c = 0.10 represents the baseline compressibility of glass beads (isotropic spheres with B = 1.00), and α = 1.2 is a shape sensitivity exponent determined via regression analysis. This formulation reflects how compressibility increases with directional anisotropy.
The predicted Cc values from Equation (9) are compared with measured results in Figure 9. Most predictions lie within ±0.02 of the observed values, demonstrating satisfactory agreement. The mean absolute difference (MAD) across all tests is 0.017, indicating that the sediment index B can serve as a reliable predictor of compressibility across a wide range of natural and artificial granular materials.
In summary, the use of image-derived sediment index B allows for efficient, quantitative estimation of compression behavior in granular soils without direct mechanical testing. This enables high-throughput assessment of soil compressibility based solely on post-settlement image analysis.
Given the limited number of tested materials and the illustrative purpose of this Technical Note, simple regression forms were intentionally adopted to highlight the primary influence of particle shape on void ratio limits and compressibility, rather than establishing a fully optimized or universally applicable predictive model.

4. Discussion

This section evaluates the applicability, accuracy, and limitations of the proposed image-based framework for predicting soil compressibility and packing behavior, emphasizing its potential for practical geotechnical applications. The correlations established in Section 3, derived from grayscale texture analysis, offer an efficient and quantitative means for characterizing granular soil behavior.

4.1. Interpretation of the Sediment Index

The sediment index B, defined as the ratio of directional energy components extracted from Haar wavelet decomposition, effectively captures the degree of particle anisotropy. Its consistent correlation with void ratios and compression index suggests that directional grayscale gradients in post-settlement images are a reliable proxy for particle alignment and shape effects. This supports the underlying hypothesis that elongated particles, which tend to lie horizontally during hydraulic deposition, contribute to increased pore volume and structural instability under loading.
The comparisons shown in Figure 7 provide direct validation of the Sedimaging-based predictions. The predicted and measured values follow the same overall trends for both e m a x and e m i n , and the deviations remain small across all samples. This confirms that the sediment index captures morphological features that are strongly linked to packing behavior. When viewed alongside the typical scatter reported in earlier empirical studies that correlate void ratios with grain-size parameters, the level of agreement observed here is consistent with what is generally considered acceptable for preliminary geotechnical assessment. These points together indicate that the proposed image-based framework provides a reliable basis for estimating limiting void ratios directly from sedimentation images.
The linear relationships observed between B and the limiting void ratios (emax, emin) are consistent with physical expectations: anisotropic particle arrangements tend to result in less efficient packing, which can be physically interpreted as being associated with arching or interlocking effects. It should be noted that such arching or interlocking effects are invoked here as an interpretive hypothesis, since the Sedimaging analysis captures post-settlement geometric and textural anisotropy rather than directly resolving contact-force chains or force-transmission networks. The power-law trend between B and compression index Cc similarly reflects the role of shape-induced contact mechanics and rearrangement potential during compression. These findings establish a practical image-based methodology for linking micro-scale morphological features to macro-scale geotechnical behavior, with broad implications for rapid, field-adaptable soil classification.
Although many particle shape descriptors have been proposed in previous studies, including indices based on surface area or three-dimensional form, these metrics cannot be reliably obtained from the two-dimensional sedimentation image used in this work. The projected long and short axes extracted from the final sediment image provide a direct and robust representation of the particle aspect ratio, which governs alignment and packing during settling. Therefore, simple geometric ratios were chosen because they best reflect the morphological features that influence the void-ratio limits and compressibility of the tested sands.
While a wide range of particle shape descriptors has been proposed in the literature, many of the surface-area based indices require three-dimensional measurements or high-resolution particle scans. These quantities cannot be reliably extracted from the two-dimensional sedimentation image produced by the Sedimaging system, whose grayscale variations primarily reflect particle projection geometry and preferential alignment that develops during settling. For this reason, direct shape ratios such as the elongation or flatness ratio provide a more appropriate descriptor in this context. These ratios capture the dominant aspect of particle form that influences packing behavior, namely the contrast between the major and minor axes of the projected grain shape. The consistent correlations observed in this study suggest that the simple geometric ratios are sufficient to represent the morphological features that control the limiting void ratios and compression behavior of the tested sands.

4.2. Prediction Accuracy and Engineering Relevance

The proposed predictive models for emax, emin, and Cc yield mean absolute differences (MAD) of less than ±0.05, which is within the acceptable range for preliminary site characterization. For instance, most predictions for void ratios fall within ±0.03 of measured values (Figure 7a,b), while compressibility predictions maintain an average MAD of 0.017 (Figure 9). These accuracies are comparable to those of empirical charts or empirical formulae commonly used in practice, while requiring significantly less time and labor.
In addition to the direct comparison with laboratory measurements, it is helpful to view the results in the broader context of empirical equations that relate void ratio to grain-size parameters. Many established correlations predict e m a x and e m i n from characteristic diameters such as D 50 or from gradation indices such as C u and C c . These equations often show substantial scatter when compared with experimental measurements because they rely solely on size information and do not capture particle morphology. The differences between predicted and measured void ratios observed in this study fall within the same general range as those commonly reported for size-based empirical models. This indicates that the sediment index, which incorporates information related to both particle size and shape, provides predictive accuracy that is consistent with widely cited approaches in the literature.
This performance highlights the potential of Sedimaging as a non-invasive and rapid screening method for estimating soil behavior parameters, particularly in early-stage geotechnical investigations or regions where traditional testing is limited.
In practical terms, this allows engineers to estimate packing and compressibility parameters from simple sediment images, enabling faster material classification on construction sites or in remote surveys. This image-based method holds particular promise for rapid decision making in time-sensitive geotechnical applications such as natural hazard response or preliminary site appraisal.
In addition, beyond the laboratory evaluation, the proposed Sedimaging-based framework has direct implications for preliminary and supporting geotechnical applications. Because the method provides rapid estimates of the limiting void ratios and compression index, it can serve as an efficient screening tool during early-stage site investigations, particularly where conventional testing is time-consuming or limited by sample availability. The ability to derive particle-shape information and packing characteristics from a single sedimentation image also makes the technique suitable for quality control of granular fill materials, assessment of sand source variability, and preliminary evaluation of embankment or foundation performance. These practical uses highlight the potential of the method to support real-time decision making in construction and geotechnical engineering.

4.3. Limitations and Future Considerations

While the results are encouraging, several limitations should be acknowledged to ensure proper interpretation of the proposed framework. The sediment index B is derived from two-dimensional grayscale images and therefore may not fully capture three-dimensional particle morphology, especially for irregular or angular grains. As a result, some aspects of particle interlocking and spatial contact geometry may not be explicitly represented. In addition, the accuracy of predictions may be affected by variations in image quality, lighting conditions, or sedimentation dynamics.
The applicability of the proposed Sedimaging-based model is primarily confined to cohesionless granular soils dominated by sand-sized particles, for which hydraulic sedimentation leads to stable particle alignment and well-defined sediment structures. Soils with high clay content or significant amounts of fines may exhibit physicochemical interactions, such as interparticle attraction, flocculation, and delayed settling behavior. In such cases, fine particles may form aggregates or remain suspended for extended periods during sedimentation, and the resulting sediment structures may not be adequately characterized by the directional grayscale features used to define the sediment index B. These effects are not explicitly accounted for in the current model.
Particle degradation and crushing were not observed within the applied stress range of the oedometer tests conducted in this study. However, for materials with low particle strength or high crushability, particle breakage may significantly influence packing behavior and compressibility. The potential impact of particle degradation is therefore recognized as an important issue that warrants further investigation beyond the scope of the present work.
Very coarse particles may also introduce size-related effects associated with limited sample representativeness, boundary constraints, or scale dependence during sedimentation. Such effects may influence particle orientation and packing behavior in ways that differ from those observed for sand-sized materials under controlled laboratory conditions. Moreover, due to the empirical nature of the proposed relationships, recalibration may be required when applying the framework to materials with substantially different mineralogy or surface characteristics, such as synthetic grains or agricultural products.
Future improvements may include extending the image analysis framework to incorporate color information, three-dimensional imaging, or machine-learning-based feature extraction techniques. Furthermore, integrating the Sedimaging approach with complementary image-based tools, such as particle size analyzers or surface roughness quantification methods, may lead to more comprehensive soil characterization systems. The development of portable Sedimaging devices combined with automated image processing pipelines could further enhance the applicability of the method in field-based and real-time engineering applications.

5. Conclusions

This technical note demonstrates that the sediment index B, derived from grayscale directional analysis using Haar wavelet decomposition, is a robust predictor of the packing and compressibility characteristics of granular soils. These properties are crucial not only for building foundation design but also for broader infrastructure applications, including earth–rock dams. Sediment index B exhibits strong linear correlations with the index void ratios emax and emin, as well as a power-law relationship with the compression index Cc. These results indicate that the sediment index effectively captures the morphological influence of particle shape and provides a practical image-based approach for evaluating granular soil behavior.
The proposed methodology offers several advantages for construction and geotechnical practice. Compared with conventional mechanical testing, the Sedimaging-based approach is faster, non-destructive, and capable of high-throughput soil characterization with minimal laboratory effort. Deriving soil parameters directly from post-settlement imagery enables rapid and cost-effective assessment during early-stage construction planning, site evaluation, and material screening, particularly for building foundations and other infrastructure systems.
Beyond conventional laboratory testing, the proposed technique shows strong potential for integration into intelligent monitoring frameworks for construction sites and large-scale civil engineering projects. For example, Sedimaging can be combined with UAV-based or optical monitoring technologies to support rapid, image-based screening and qualitative evaluation of soil compaction and deformation trends in foundation zones, embankments, and earth–rock dams, where granular material behavior plays a critical role in long-term performance.
Future developments may further enhance the applicability of the Sedimaging method by incorporating three-dimensional imaging, machine learning techniques, and real-time monitoring capabilities for continuous tracking of granular soil behavior during construction. Such advances would support more automated, efficient, and field-adaptable solutions for modern geotechnical engineering and infrastructure management.
At its current stage, the proposed method is intended to complement, rather than replace, conventional laboratory or field testing, serving primarily as a rapid screening and preliminary assessment tool in engineering practice.
In summary, this study demonstrates the feasibility of using image-based analysis to predict key soil properties relevant to building foundation design and infrastructure systems such as earth–rock dams. With its potential for large-scale application, the proposed method can improve the efficiency, cost-effectiveness, and reliability of geotechnical investigations and construction site monitoring, thereby contributing to safer and more sustainable development in both urban and hydraulic engineering environments.

Author Contributions

Conceptualization, J.Z. and H.T.; methodology, S.L. and H.T.; software, S.L.; validation, Z.H. and B.Z.; formal analysis, B.Z. and J.Z.; investigation, T.C., Z.H. and X.X.; resources, S.L.; data curation, T.C.; writing—original draft preparation, T.C. and J.Z.; writing—review and editing, S.L., J.Z. and H.T.; visualization, T.C. and B.Z.; supervision, Z.L. and H.T.; project administration, H.T. All authors have read and agreed to the published version of the manuscript.

Funding

This research received no external funding.

Data Availability Statement

The original contributions presented in this study are included in the article. Further inquiries can be directed to the corresponding author.

Conflicts of Interest

Authors Tengteng Cao, Zhaogen Hu and Xin Xu were employed by the company Tianshengqiao I Hydropower Development Co., Ltd. Author Shuangping Li, Bin Zhang and Zuqiang Liu were employed by the company Changjiang Spatial Information Technology Engineering Co., Ltd. The remaining authors declare that the research was conducted in the absence of any commercial or financial relationships that could be construed as a potential conflict of interest.

References

  1. Hu, J.; Wu, H.; Gu, X.; Zhou, Q. Particle shape effects on dynamic properties of granular soils: A DEM study. Comput. Geotech. 2023, 161, 105578. [Google Scholar] [CrossRef]
  2. Chen, H.; Zhao, S.; Zhao, J.; Zhou, X. The microscopic origin of K0 on granular soils: The role of particle shape. Acta Geotech. 2021, 16, 2089–2109. [Google Scholar] [CrossRef]
  3. Gao, L.; Wang, D.; Miao, Y. A review of two-dimensional image-based technologies for size and shape characterization of coarse-grained granular soils. Powder Technol. 2024, 436, 120115. [Google Scholar] [CrossRef]
  4. Ning, F.; Zou, D.; Cui, G.; Liu, J.; Li, D.; Fu, Y. The effect of particle shape on particle breakage and shape evolution in gravelly soils. Transp. Geotech. 2025, 51, 101538. [Google Scholar] [CrossRef]
  5. Ulusoy, U. A review of particle shape effects on material properties for various engineering applications: From macro to nanoscale. Minerals 2023, 13, 91. [Google Scholar] [CrossRef]
  6. Ma, C.; Peng, M.; Zhang, L.; Shi, Z.; Zhou, J.; Chen, H.; Li, Z. Erosion, deposition and breach evolution of landslide dams composed of various dam material types based on flume tests. Eng. Geol. 2024, 337, 107598. [Google Scholar] [CrossRef]
  7. Islam, S.F.; Hawkins, S.M.; Meyer, J.L.; Sharman, A.R. Evaluation of different particle size distribution and morphology characterization techniques. Addit. Manuf. Lett. 2022, 3, 100077. [Google Scholar] [CrossRef]
  8. Wang, L.; Yao, Y.; Li, J.; Tao, Y.; Liu, K. Review of visualization technique and its application of road aggregates based on morphological features. Appl. Sci. 2022, 12, 10571. [Google Scholar] [CrossRef]
  9. Wei, X.; Lu, Y.; Liu, X.; Zhang, B.; Luo, M.; Zhong, L. Particle shape analysis of calcareous sand based on digital images. Sci. Rep. 2024, 14, 18465. [Google Scholar] [CrossRef]
  10. Lendzioch, T.; Langhammer, J.; Sheshadrivasan, V.K. Automated mapping of the mean particle diameter characteristics from UAV imagery using the CNN-based GRAINet model. J. Hydroinformatics 2023, 25, 1861–1883. [Google Scholar] [CrossRef]
  11. Baghbani, A.; Kiany, K.; Abuel-Naga, H.; Lu, Y. Predicting the compression index of clayey soils using a hybrid genetic programming and XGBoost model. Appl. Sci. 2025, 15, 1926. [Google Scholar] [CrossRef]
  12. Liu, H.; Lin, P.; Wang, J. Machine learning approaches to estimation of the compressibility of soft soils. Front. Earth Sci. 2023, 11, 1147825. [Google Scholar] [CrossRef]
  13. Li, X.; Wang, J. Predicting constitutive behaviour of idealized granular soils using recurrent neural networks. Appl. Sci. 2025, 15, 9495. [Google Scholar] [CrossRef]
  14. Wang, M.; Kumar, K.; Feng, Y.T.; Qu, T.; Wang, M. Machine learning aided modeling of granular materials: A review. arXiv 2024, arXiv:2410.14767. [Google Scholar] [CrossRef]
  15. Byun, Y.H.; Son, J.; Yun, J.; Choo, H.; Won, J. Machine learning-based pattern recognition of bender element signals for predicting sand particle size. Sci. Rep. 2025, 15, 6949. [Google Scholar] [CrossRef]
  16. Mujtaba, H.; Farooq, K.; Sivakugan, N.; Das, B.M. Laboratory and field investigations in granular soils to correlate relative density, relative compaction and grain size. J. S. Afr. Inst. Civ. Eng. 2020, 62, 12–21. [Google Scholar] [CrossRef]
  17. Dorador, L.; Besio, G. Some considerations about geotechnical characterization on soils with oversize. In Proceedings of the 5th International Young Geotechnical Engineers Conference, Marne-la-Vallée, France, 31 August–1 September 2013. [Google Scholar]
  18. Cubrinovski, M.; Ishihara, K. Maximum and minimum void ratio characteristics of sands. Soils Found. 2002, 42, 65–78. [Google Scholar] [CrossRef]
  19. Çetin, K.; Ilgaç, Ş. Probabilistic assessments of void ratio limits and their range for cohesionless soils. Soil Dyn. Earthq. Eng. 2021, 142, 106481. [Google Scholar] [CrossRef]
  20. Wu, T.; Zhu, D.; Chang, C.; Huang, Y. Modeling of minimum and maximum void ratios of granular soils. Math. Probl. Eng. 2021, 1, 5092612. [Google Scholar]
  21. Zeng, Y.; Shi, X.; Zhao, J.; Bian, X.; Liu, J. Estimation of compression behavior of granular soils considering initial density effect based on equivalent concept. Acta Geotech. 2025, 20, 1035–1048. [Google Scholar] [CrossRef]
  22. Hatefi, M.H.; Arabani, M.; Payan, M.; Ranjbar, P.Z.; Keawsawasvong, S.; Jamsawang, P. The role of particle shape in the mechanical behavior of granular soils: A state-of-the-art review. Results Eng. 2024, 22, 103572. [Google Scholar] [CrossRef]
  23. Ventola, A. Development of Lab, Field, and In-Situ Image Collection Systems and Analysis Methods for Soil Characterization. Ph.D. Dissertation, Michigan State University, East Lansing, MI, USA, 2022. [Google Scholar]
  24. Li, S.; Gao, L.; Zhang, B.; Liu, Z.; Zhang, X.; Guan, L.; Tang, H. Soil particle size estimation via optical flow and potential function analysis for dam seepage and building monitoring. Buildings 2025, 15, 1800. [Google Scholar] [CrossRef]
  25. Ohm, H.S.; Hryciw, R.D. Size distribution of coarse-grained soil by Sedimaging. J. Geotech. Geoenviron. Eng. 2014, 140, 04013053. [Google Scholar] [CrossRef]
  26. Seyyedan, S.M.; Mirghasemi, A.A.; Mohammadi, S. DEM–XFEM study of particle shape effect on particle breakage of granular materials. Geotech. Geol. Eng. 2023, 41, 3115–3137. [Google Scholar] [CrossRef]
  27. Yang, F.; Liu, H.; Xiao, Y.; Shi, J.; Peng, Y.; Ding, X.; Yang, X. Mechanical degradation and particle breakage of sandstone rockfill material under wetting–drying cycles. Acta Geotech. 2025, 20, 2237–2255. [Google Scholar] [CrossRef]
  28. Zheng, J.; Hryciw, R.D. Traditional soil particle sphericity, roundness and surface roughness by computational geometry. Géotechnique 2015, 65, 494–506. [Google Scholar] [CrossRef]
Figure 1. Overview of the Sedimaging system and image-based analysis workflow.
Figure 1. Overview of the Sedimaging system and image-based analysis workflow.
Buildings 16 00223 g001
Figure 2. Haar Wavelet Transform decomposition of the rice sediment image: (a) original image A0; (b) first-level approximation A1; (c) second-level A2; (d) third-level A3; (e) fourth-level A4; (f) fifth-level A5; (g) sixth-level A6.
Figure 2. Haar Wavelet Transform decomposition of the rice sediment image: (a) original image A0; (b) first-level approximation A1; (c) second-level A2; (d) third-level A3; (e) fourth-level A4; (f) fifth-level A5; (g) sixth-level A6.
Buildings 16 00223 g002
Figure 3. The energy ratio at each decomposition level.
Figure 3. The energy ratio at each decomposition level.
Buildings 16 00223 g003
Figure 4. Sedimaging images of fourteen representative granular materials (an).
Figure 4. Sedimaging images of fourteen representative granular materials (an).
Buildings 16 00223 g004
Figure 5. Relationship between B and particle shapes.
Figure 5. Relationship between B and particle shapes.
Buildings 16 00223 g005
Figure 6. The relationship between oblique aspect ratio and emax and emin.
Figure 6. The relationship between oblique aspect ratio and emax and emin.
Buildings 16 00223 g006
Figure 7. Comparisons between observed values and model predictions for index void ratios: (a) emax using Equation (7); (b) emin using Equation (8).
Figure 7. Comparisons between observed values and model predictions for index void ratios: (a) emax using Equation (7); (b) emin using Equation (8).
Buildings 16 00223 g007
Figure 8. The relationships between B and compression index.
Figure 8. The relationships between B and compression index.
Buildings 16 00223 g008
Figure 9. Comparisons between observed values and model predictions for index void ratios by Equation (9).
Figure 9. Comparisons between observed values and model predictions for index void ratios by Equation (9).
Buildings 16 00223 g009
Table 1. The computed ER and flatness.
Table 1. The computed ER and flatness.
No.SoilsD50CuRemaxeminBd1/d3d2/d3d1/d2
(a)Glass beads0.971.11.00.750.501.001.001.001.00
(b)Ottawa 20–300.711.40.750.740.491.23--1.22
IMichigan Dunes0.301.50.620.850.561.25--1.39
(d)Treasure island0.251.80.560.840.561.35--1.39
IOakland County, Michigan0.311.60.650.860.531.27--1.39
(f)Class IIA, Michigan0.211.90.620.860.561.34--1.45
(g)Scotts Valley, California0.331.50.400.940.601.38--1.37
(h)Rincon, New Mexico0.363.00.550.800.511.40--1.22
(i)Chesterton, Indiana beach0.642.90.640.850.541.392.661.891.43
(j)Upper Peninsula, Michigan0.602.80.510.850.541.363.041.881.64
(k)Michigan 2NS0.502.30.530.820.541.542.451.641.53
(l)Griffin, Indiana0.744.30.600.790.511.533.642.281.65
(m)Short-grain rice1.911.1-0.970.651.922.601.461.78
(n)Medium-grain rice1.621.1-1.010.722.383.171.472.15
(o)Long-grain rice1.511.1-1.080.853.703.951.333.00
Note: the d1/d2 values for soils (a) to (h) are determined by image processing due to their small particle sizes; the d1/d2 values for soils (i) to (o) are determined by manual measurement using a caliper; the R values are determined by computational geometry developed by Zheng and Hryciw [28].
Table 2. The relationship between B and compressibility.
Table 2. The relationship between B and compressibility.
No.SoilsDenseMedium DenseLoose
DrCcDrCcDrCc
(a)Glass beads0.920.00220.500.01000.080.0200
(b)Ottawa 20–300.920.00350.640.01500.080.0300
(c)Michigan Dunes0.970.00480.520.02400.170.0360
(d)Treasure island0.930.00460.460.02600.000.0350
(e)Oakland County, Michigan0.940.00420.330.02100.030.0340
(f)Class IIA, Michigan0.900.00420.570.02500.100.0320
(g)Scotts Valley, California0.970.00700.560.02800.180.0320
(h)Rincon, New Mexico0.900.00730.620.02200.170.0360
(i)Chesterton, Indiana beach0.870.00600.550.01600.130.0360
(j)Upper Peninsula, Michigan0.940.00650.480.02200.100.0380
(k)Michigan 2NS1.000.00410.460.01900.140.0320
(l)Griffin, Indiana0.930.00610.430.02600.000.0380
Disclaimer/Publisher’s Note: The statements, opinions and data contained in all publications are solely those of the individual author(s) and contributor(s) and not of MDPI and/or the editor(s). MDPI and/or the editor(s) disclaim responsibility for any injury to people or property resulting from any ideas, methods, instructions or products referred to in the content.

Share and Cite

MDPI and ACS Style

Cao, T.; Li, S.; Hu, Z.; Zhang, B.; Zheng, J.; Liu, Z.; Xu, X.; Tang, H. Sedimaging-Based Analysis of Granular Soil Compressibility for Building Foundation Design and Earth–Rock Dam Infrastructure. Buildings 2026, 16, 223. https://doi.org/10.3390/buildings16010223

AMA Style

Cao T, Li S, Hu Z, Zhang B, Zheng J, Liu Z, Xu X, Tang H. Sedimaging-Based Analysis of Granular Soil Compressibility for Building Foundation Design and Earth–Rock Dam Infrastructure. Buildings. 2026; 16(1):223. https://doi.org/10.3390/buildings16010223

Chicago/Turabian Style

Cao, Tengteng, Shuangping Li, Zhaogen Hu, Bin Zhang, Junxing Zheng, Zuqiang Liu, Xin Xu, and Han Tang. 2026. "Sedimaging-Based Analysis of Granular Soil Compressibility for Building Foundation Design and Earth–Rock Dam Infrastructure" Buildings 16, no. 1: 223. https://doi.org/10.3390/buildings16010223

APA Style

Cao, T., Li, S., Hu, Z., Zhang, B., Zheng, J., Liu, Z., Xu, X., & Tang, H. (2026). Sedimaging-Based Analysis of Granular Soil Compressibility for Building Foundation Design and Earth–Rock Dam Infrastructure. Buildings, 16(1), 223. https://doi.org/10.3390/buildings16010223

Note that from the first issue of 2016, this journal uses article numbers instead of page numbers. See further details here.

Article Metrics

Back to TopTop