Experimental Study on the Uplift Correction of Raft Foundations in Saturated Silty Clay
Abstract
1. Introduction
2. Materials and Methods
2.1. Theoretical Analysis
2.2. Experiment Materials
2.3. Experiment Equipment
2.4. Experiment Process
3. Results and Discussion
3.1. Surface Displacement
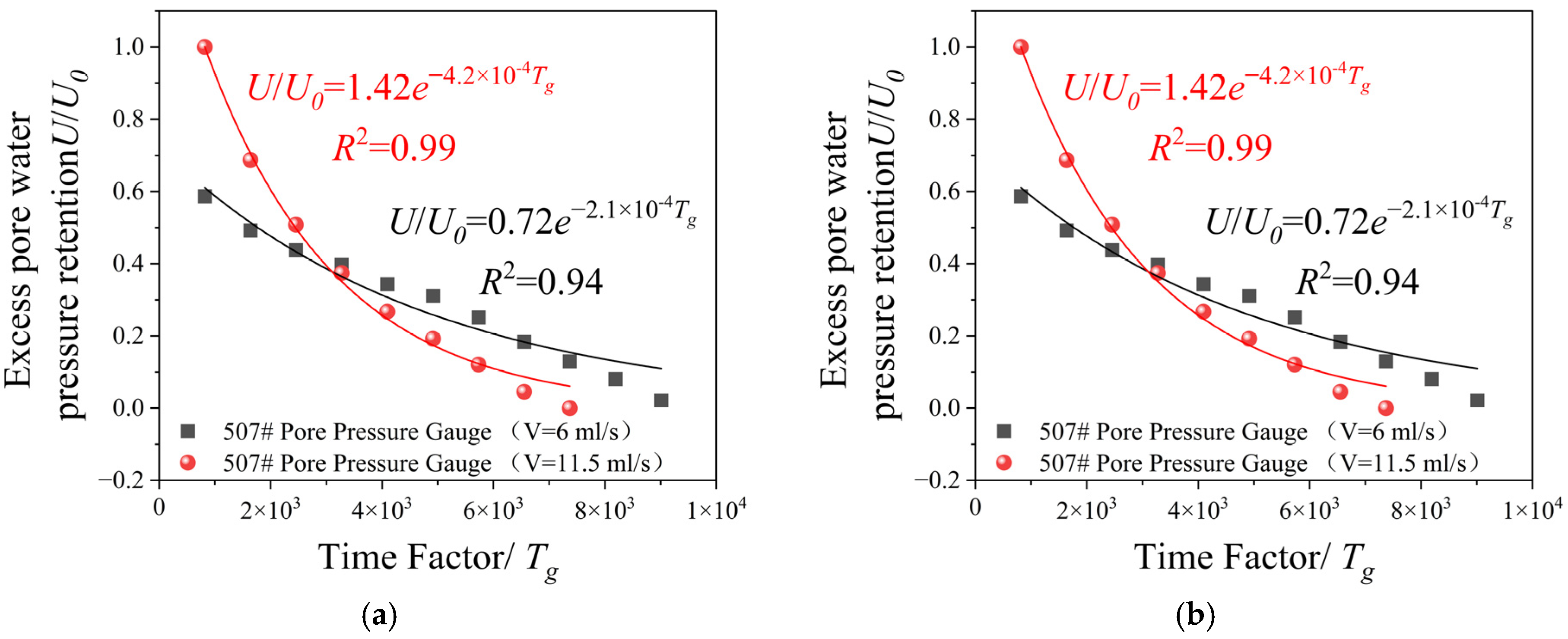
3.2. Excess Pore Water Pressure
3.3. Substrate-Additional Pressure
3.4. Grouting Volume
3.5. Grouting Pressure
3.6. Limitations and Prospects of the Study
4. Conclusions
- The magnitude of excess pore water pressure generated by grouting decreases with increasing distance from the grouting center, following a power function. Within a range of 2Rc, the excess pore water pressure attenuates most rapidly. The dissipation of excess pore water pressure over time conforms to an exponential function. The dissipation of excess pore water pressure leads to reduced grouting efficiency and partial recovery of the building’s tilt angle.
- The grouting rate has a greater impact on grouting efficiency and foundation-additional pressure than the grouting depth. The grouting volume is positively correlated with grouting depth but negatively correlated with grouting rate. Regardless of grouting depth, grouting pressure consistently increases with higher injection rates.
Author Contributions
Funding
Data Availability Statement
Conflicts of Interest
Abbreviations
| Grouting pressure | |
| Grouting pressure in case of cone breakage | |
| radius of a bubble | |
| The angle between the damaged surface and the horizontal plane | |
| The volume above the grouting body resembles an inverted round table. | |
| The upward force exerted by the pulp bubble | |
| Self-weight of the cone above the pulp bubble | |
| Shear resistance on conical surfaces | |
| The soil gravity | |
| The undrained shear strength of the soil mass | |
| The lateral area of the inverted circular table above the grout body | |
| H | Grouting depth |
| σz | The total additional stress |
| ρ | Mass density |
| ω | Water content |
| e | Pore ratio |
| ωL | Liquid limit |
| ωp | Plastic limit |
| IP | Plasticity index |
| Es | Compression modulus |
| Cc | Cohesion |
| φ | The angle of internal friction |
| K | Coefficient of permeability |
| h | The grouting depth |
| V | The grouting rate |
| η | The grouting efficiency |
| The surface displacement after excess pore water pressure dissipation | |
| The surface displacement after grouting | |
| The significant level | |
| The maximum excess pore water pressure | |
| Fitting coefficients | |
| The distance between the grouting hole center and the pore pressure gauge | |
| The radius of the grout bulb formed in the soil | |
| 2 | Coefficient of determination |
| A function of the normalized time factor | |
| The enclosing pressure | |
| Time | |
| The expansion index of the clay in the Cambridge model | |
| The heaviness of the water | |
| The distance between the calculation point and the grouting hole | |
| The excess pore water pressure in the soil in the dissipation process | |
| The excess pore water pressure in the soil after grouting |
References
- Heping, Y. Research of Treatment for Inclinationof Building on Soft Soil Foundation. Master’s Thesis, China University of Geosciences, Beijing, China, 2008. [Google Scholar]
- Vesić, A.S.; Clough, G.W. Behavior of granular materials under high stresses. J. Soil Mech. 1968, 94, 661–688. [Google Scholar] [CrossRef]
- Sagaseta, C. Analysis of undrained soil deformation due to ground loss. Geotechnique 1987, 37, 301–320. [Google Scholar] [CrossRef]
- El-Kelesh, A.M.; Mossaad, M.E.; Basha, I.M. Model of compaction grouting. J. Geotech. Geoenviron. Eng. 2001, 127, 955–964. [Google Scholar] [CrossRef]
- Kummerer, C.; Gollegger, J.; Schweiger, H.; Conzales, C.; Sagaseta, C. Numerical and analytical studies of the effects of compensation grouting. In Proceedings of the NUMOG VIII, Rome, Italy, 10–12 April 2002; pp. 379–384. [Google Scholar] [CrossRef]
- Ni, J.C.; Cheng, W.-c. Using fracture grouting to lift structures in clayey sand. J. Zhejiang Univ.-Sci. A 2010, 11, 879–886. [Google Scholar] [CrossRef]
- Ni James, C.; Cheng, W.-C. Monitoring and Modeling Grout Efficiency of Lifting Structure in Soft Clay. Int. J. Geomech. 2010, 10, 223–229. [Google Scholar] [CrossRef]
- Tang, Z.; Zhao, C.; Zhang, D. Design of displacement grouting and prediction of the effect for construction of underground structures. Tumu Gongcheng Xuebao (China Civ. Eng. J.) 2007, 40, 79–84. [Google Scholar] [CrossRef]
- Tang, Z.-W.; Zhao, C.-G. Mechanisms of ground heave by grouting and analytical solutions & numerical modeling. Rock Soil Mech. 2008, 29, 1512–1516. [Google Scholar]
- Basu, P.; Madhav, M.; Prezzi, M. Estimation of heave due to inclined compaction grouting. In Advances in Ground Improvement: Research to Practice in the United States and China; The American Society of Civil Engineers: Orlando, FL, USA, 2009; pp. 234–241. [Google Scholar]
- Guo, F.; Liu, X.; Tong, W.; Shan, Z. Prediction of ground surface displacement caused by grouting. J. Cent. S. Univ. 2015, 22, 3564–3570. [Google Scholar] [CrossRef]
- Zhang, M.; Wang, X.-h.; Wang, Y. Mechanism of grout bulb expansion and its effect on ground uplifting. J. Cent. S. Univ. Technol. 2011, 18, 874–880. [Google Scholar] [CrossRef]
- Fu, Y.; Chen, X.; Wu, P. Analysis on Mechanism of Longitudinal Grouting Uplift of Existing Metro Tunnel. Mod. Tunn. Technol. 2020, 57, 184–192. [Google Scholar] [CrossRef]
- Zhang, S.; Liu, R.; Li, S.; Zhang, L.; Jiang, P. Experimental Study on Ground Surface Heave Affected by Grouting in Sandy Soil Layer. Chin. J. Undergr. Space Eng. 2018, 14, 1097–1104. [Google Scholar]
- Cui, X. Analysis of the influence of the top load on the lifting effect of compact grouting. Energy Rep. 2024, 12, 5473–5481. [Google Scholar] [CrossRef]
- Dai, X.; Huang, F.; Wang, G.; Cui, T.; Cui, X.; Guo, F. Displacement prediction of inclined existing buildings with a raft foundation restored by compaction grouting in clay. J. Build. Eng. 2024, 91. [Google Scholar] [CrossRef]
- Wang, Y.; Wang, X.H.; Zhang, M.J.A.M.R. Research on mechanisms and ground uplifting effects by grouting taken the grouting-soil-building interaction into account. Adv. Mater. Res. 2011, 163, 3488–3498. [Google Scholar] [CrossRef]
- Cheng, W.; Ni, J.C.; Hwang, H. Jacking tilted building by automatic multiple grouting. In Characterization, Modeling, and Evaluation of Geotechnical Engineering Systems; ASCE: Orlando, FL, USA, 2014; pp. 50–57. [Google Scholar]
- Cui, X. Nondestructive controllable grouting: A novel method to correct deviation of building foundation. Adv. Civ. Eng. 2023, 2023, 1835403. [Google Scholar] [CrossRef]
- Jafari, M.; Au, S.; Soga, K.; Bolton, M.; Karim, U.; Komiya, K. Experimental and numerical investigation of compensation grouting in clay. In Proceedings of the ISRM International Symposium, Melbourne, Australia, 19 November 2000; p. ISRM–IS-2000-2327. [Google Scholar]
- Soga, K.; Au, S.K.A.; Jafari, M.R.; Bolton, M.D. Laboratory investigation of multiple grout injections into clay. Géotechnique 2004, 54, 81–90. [Google Scholar] [CrossRef]
- Au, S.K.A.; Soga, K.; Jafari, M.R.; Bolton, M.D.; Komiya, K. Factors Affecting Long-Term Efficiency of Compensation Grouting in Clays. J. Geotech. Geoenviron. Eng. 2003, 129, 254–262. [Google Scholar] [CrossRef]
- Soga, K.; Bolton, M.D.; Au, S.K.A.; Komiya, K.; Hamelin, J.P.; Cotthem, A.V.; Buchet, G.; Michel, J.P. Development of compensation grouting modelling and control system. In Proceedings of the Geotechnical Aspects of Underground Construction in Soft Ground, Tokyo, Japan, 19–21 July 1999; pp. 425–430. [Google Scholar]
- Cheong, M.; Soga, K. Influence of underground excavation on compensation grouting in clays; Small-scale laboratory experiments. In Proceedings of the Geotechnical Aspects of Underground Construction in Soft Ground: Proceedings of the 5th International Symposium TC28, Amsterdam, The Netherlands, 15–17 June 2005; p. 369. [Google Scholar]
- Zheng, G.; Zhang, X.; Diao, Y.; Lei, H.J.G. Engineering. Experimental study on the performance of compensation grouting in structured soil. Geomech. Eng. 2016, 10, 335–355. [Google Scholar] [CrossRef]
- Zheng, G.; Zhang, X.; Diao, Y.; Lei, H. Experimental study on grouting in underconsolidated soil to control excessive settlement. Nat. Hazards 2016, 83, 1683–1701. [Google Scholar] [CrossRef]
- Li, M.; Zhang, X.; Li, S.; Zhang, Q.; Zuo, J.; Lan, X. Grouting lifting numerical methods based on numerical simulation and model experiment. J. Harbin Inst. Technol. 2019, 51, 159–166. [Google Scholar] [CrossRef]
- Cheng, X.; Zhao, L.; Pan, J.; Zheng, G.; Jia, J.; Jiao, Y. Research on Deformation Laws of Soil Caused by Grouting and Grouting Efficiency. Ind. Constr. 2023, 53, 171–179. [Google Scholar] [CrossRef]
- Graf Edward, D. Compaction Grouting Technique and Observations. J. Soil Mech. Found. Div. 1969, 95, 1151–1158. [Google Scholar] [CrossRef]
- Zheng, G.; Ruozhan, W.; Cheng, X. In situ test study of influence of grouting on horizontal deformation of adjacent soil. J. Tianjin Univ. 2019, 52, 959–968. [Google Scholar] [CrossRef]
- Graf, E.D. Compaction grout. In Grouting, Soil Improvement and Geosynthetics; ASCE: Orlando, FL, USA, 1992; pp. 275–287. [Google Scholar]
- Wang, Z.; Shen, S.; Ho, C.; Kim, Y. Investigation of field-installation effects of horizontal twin-jet grouting in Shanghai soft soil deposits. Can. Geotech. J. 2013, 50, 288–297. [Google Scholar] [CrossRef]
- Wu, H.; Zhang, P.; Chen, R.; Lin, X.; Liu, Y. Ground Response to Horizontal Spoil Discharge Jet Grouting with Impacts on the Existing Tunnels. J. Geotech. Geoenvironmental Eng. 2020, 146. [Google Scholar] [CrossRef]
- Guo, J.; Zheng, G.; Zhao, L.; Pan, J.; Zhang, Z.; Zhou, Q.; Cheng, X. Experimental study of soil deformation and pore pressure caused by multi-row grouting. Rock Soil Mech. 2023, 44, 896–907. [Google Scholar]

















| Title 1 Property | Value |
|---|---|
| Mass density ρ (g/cm3) | 1.75 |
| Water content ω (%) | 39.86 |
| Pore ratio e (%) | 0.76 |
| Liquid limit ωL (%) | 26.61 |
| Plastic limit ωp (%) | 15.52 |
| Plasticity index IP | 11.10 |
| Compression modulus Es (MPa) | 5.62 |
| Cohesion Cc (kPa) | 25.63 |
| The angle of internal friction φ (°) | 15.82 |
| Coefficient of permeability K (cm/s) | 2.34 × 10−6 |
| Source of Variation | Degrees of Freedom | F-Value | p-Value | Significance (α = 0.05) |
|---|---|---|---|---|
| Grouting depth (h) | 1 | 3.50 | 0.098 | Not significant |
| Injection rate (V) | 1 | 77.90 | <0.001 | Significant |
| Interaction (h × V) | 1 | 2.15 | 0.180 | Not significant |
| Source of Variation | Degrees of Freedom | F-Value | p-Value | Significance (α = 0.05) |
|---|---|---|---|---|
| Grouting depth (h) | 1 | 4.12 | 0.068 | Not significant |
| Injection rate (V) | 1 | 19.15 | <0.001 | Significant |
| Interaction (h × V) | 1 | 1.09 | 0.317 | Not significant |
| Source of Variation | Degrees of Freedom | F-Value | p-Value | Significance (α = 0.05) |
|---|---|---|---|---|
| Grouting depth (h) | 1 | 27.45 | <0.001 | significant |
| Injection rate (V) | 1 | 3.12 | 0.105 | Not Significant |
| Interaction (h × V) | 1 | 1.28 | 0.284 | Not significant |
Disclaimer/Publisher’s Note: The statements, opinions and data contained in all publications are solely those of the individual author(s) and contributor(s) and not of MDPI and/or the editor(s). MDPI and/or the editor(s) disclaim responsibility for any injury to people or property resulting from any ideas, methods, instructions or products referred to in the content. |
© 2025 by the authors. Licensee MDPI, Basel, Switzerland. This article is an open access article distributed under the terms and conditions of the Creative Commons Attribution (CC BY) license (https://creativecommons.org/licenses/by/4.0/).
Share and Cite
Cui, T.; Shi, Y.; Huang, F. Experimental Study on the Uplift Correction of Raft Foundations in Saturated Silty Clay. Buildings 2025, 15, 1415. https://doi.org/10.3390/buildings15091415
Cui T, Shi Y, Huang F. Experimental Study on the Uplift Correction of Raft Foundations in Saturated Silty Clay. Buildings. 2025; 15(9):1415. https://doi.org/10.3390/buildings15091415
Chicago/Turabian StyleCui, Tengyue, Yingguang Shi, and Feng Huang. 2025. "Experimental Study on the Uplift Correction of Raft Foundations in Saturated Silty Clay" Buildings 15, no. 9: 1415. https://doi.org/10.3390/buildings15091415
APA StyleCui, T., Shi, Y., & Huang, F. (2025). Experimental Study on the Uplift Correction of Raft Foundations in Saturated Silty Clay. Buildings, 15(9), 1415. https://doi.org/10.3390/buildings15091415

