Towards Zero-Energy Buildings: A Comparative Techno-Economic and Environmental Analysis of Rooftop PV and BIPV Systems
Abstract
1. Introduction
- We investigate simultaneous energy production from both rooftop PV and BIPV systems, evaluating the feasibility and benefits of integrating these systems for enhanced energy generation.
- We compare three energy generation systems (standalone rooftop PV, standalone BIPV, and a hybrid system combining both) from energy, economic, and environmental perspectives. The evaluation criteria include the amount of electrical energy production, levelized cost of energy (LCOE), and the reduction of carbon dioxide emissions.
2. Methods
2.1. Case Study
2.2. Energy Model
2.3. Economic Model
2.4. Environmental Model
3. Results
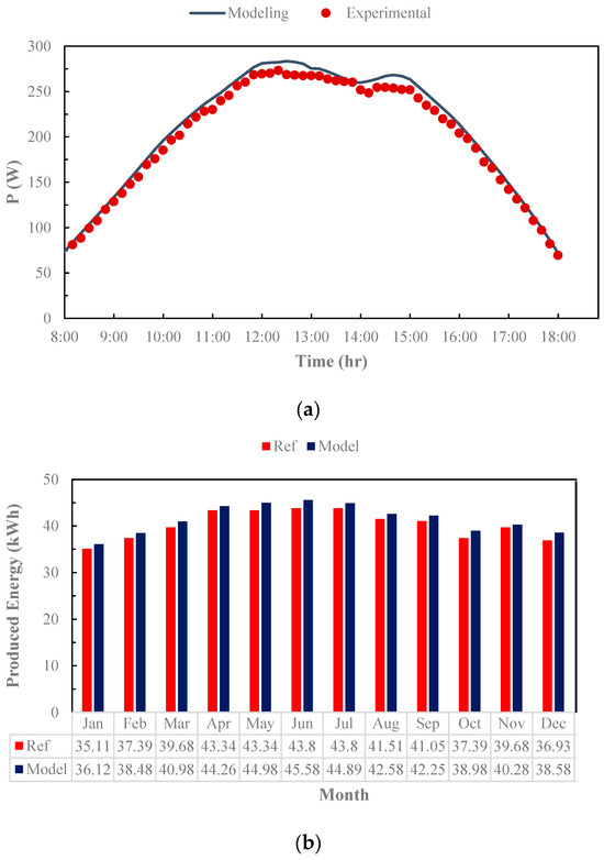
3.1. Validation
3.2. Model Results
3.2.1. Rooftop PV
3.2.2. BIPV System
3.2.3. Rooftop PV and BIPV System
3.2.4. Comparison of the Systems
4. Conclusions
Author Contributions
Funding
Data Availability Statement
Acknowledgments
Conflicts of Interest
Nomenclature
| Area () | |
| Heat transfer () | |
| Specific heat capacity () | |
| Discount rate () | |
| Hour angle () | |
| Thermal conductivity () | |
| Radiation () | |
| Latitude () | |
| Power () | |
| Velocity () | |
| Thermal resistance () | |
| Life of the system (year) | |
| Temperature () | |
| Time () | |
| Azimuth () | |
| Greek symbols | |
| Absorptivity | |
| Transmissivity | |
| Emissivity | |
| Efficiency () | |
| Albedo or Density () | |
| Tilt (); Temperature coefficient of power (%·°C−1) | |
| Declination (); Thickness () | |
| Stefan Boltzmann () | |
| Incident () | |
| Zenith () | |
| Scripts | |
| Ambient | |
| Conduction | |
| Convection | |
| db | Dry bulb |
| EVA1 | Top EVA |
| EVA2 | Bottom EVA |
| Glass | |
| Ground | |
| Operating and maintenance | |
| Radiation | |
| Reference | |
| si | Silicon |
| sky | Sky |
| Tedlar | |
| w | Wind |
| wb | Wet bulb |
| Abbreviation | |
| Audio frequency injection control | |
| Apparent solar time | |
| Building integrated photovoltaic | |
| Diffiuse horizontal irradiance | |
| Ethylene vinyl acetate | |
| Global horizontal irradiance | |
| Heterojunction with Intrinsic Thin-layer | |
| Life cycle cost | |
| Levelized cost of electricity | |
| Purchase cost | |
| Phase change material | |
| Produced energy | |
| Photovoltaic | |
| Peresent worth | |
| Released carbon dioxide | |
| Semi-transparent photovoltaics | |
| Unreleased carbon dioxide |
References
- Zarei, A.; Mousavi, Y.; Mosalanezhad, R.; Atazadegan, M.H. Robust voltage control in inverter-interfaced microgrids under plug-and-play functionalities. IEEE Syst. J. 2019, 14, 2813–2824. [Google Scholar]
- Benchenina, Y.; Zemmit, A.; Bouzaki, M.M.; Loukriz, A.; Elsayed, S.K.; Alzaed, A.; Ali, G.; Ghoneim, S.S.M. Advancing green hydrogen production in Algeria with opportunities and challenges for future directions. Sci. Rep. 2025, 15, 5559. [Google Scholar] [CrossRef] [PubMed]
- Ghanaee, E.; Rahimiyan, M. Strategic offering of a virtual power plant in energy markets under contingency conditions: A hybrid stochastic robust optimization approach. In Proceedings of the 2022 30th International Conference on Electrical Engineering (ICEE), Tehran, Iran, 17–19 May 2022; pp. 242–248. [Google Scholar]
- Sheikh, M.; Fassadi Chimeh, A.; Zokaee Ashtiani, F.; Fouladitajar, A.; Yavarzadeh, N. Mathematical Modeling of Direct Contact Membrane Distillation (DCMD) using Knudsen-Diffusion Model for PVDF Membranes. J. Membr. Sci. Res. 2025, in press. [CrossRef]
- Mousavi, Y.; Bevan, G.; Kucukdemiral, I.B.; Fekih, A. Observer-based high-order sliding mode control of DFIG-based wind energy conversion systems subjected to sensor faults. IEEE Trans. Ind. Appl. 2023, 60, 1750–1759. [Google Scholar]
- Mousavi, Y.; Alfi, A.; Kucukdemiral, I.B. Enhanced fractional chaotic whale optimization algorithm for parameter identification of isolated wind-diesel power systems. IEEE Access 2020, 8, 140862–140875. [Google Scholar]
- Kolahi, M.; Abdollahzadeh, A.H.; Noori, R. Holistic management approach for social-ecological systems in Iran. Environ. Rev. 2024, 33, 1–15. [Google Scholar]
- Nazaralizadeh, S.; Banerjee, P.; Srivastava, A.K.; Famouri, P. Battery Energy Storage Systems: A Review of Energy Management Systems and Health Metrics. Energies 2024, 17, 1250. [Google Scholar] [CrossRef]
- Pirali zefrehei, A.R.; Kolahi, M.; Fisher, J. Ecological-environmental challenges and restoration of aquatic ecosystems of the Middle-Eastern. Sci. Rep. 2022, 12, 17229. [Google Scholar]
- Khodayar Sahebi, H.; Hoseinzadeh, S.; Ghadamian, H.; Ghasemi, M.H.; Esmaeilion, F.; Garcia, D.A. Techno-Economic Analysis and New Design of a Photovoltaic Power Plant by a Direct Radiation Amplification System. Sustainability 2021, 13, 11493. [Google Scholar] [CrossRef]
- Mohammadagha, M.; Najafi, M.; Kaushal, V.; Jibreen, A.M.A. Machine Learning Models for Reinforced Concrete Pipes Condition Prediction: The State-of-the-Art Using Artificial Neural Networks and Multiple Linear Regression in a Wisconsin Case Study. arXiv 2025, arXiv:2502.00363. [Google Scholar]
- Aguacil, S.; Duque, S.; Lufkin, S.; Rey, E. Designing with building-integrated photovoltaics (BIPV): A pathway to decarbonize residential buildings. J. Build. Eng. 2024, 96, 110486. [Google Scholar] [CrossRef]
- Nasution, A.D.; Larasati, D.; Nadia, S.; Ferels, A.; Indartono, Y.S.; Kurniawan, H. Optimization of BIPV utilization with parametric approach: Case study on Nearly Zero Carbon Building Studio Design in Medan, Indonesia. Int. J. Adv. Sci. Eng. Inf. Technol. 2024, 14, 1383–1394. [Google Scholar] [CrossRef]
- Mianabadi, A.; Davary, K.; Kolahi, M.; Fisher, J. Water/climate nexus environmental rural-urban migration and coping strategies. J. Environ. Plan. Manag. 2022, 65, 852–876. [Google Scholar] [CrossRef]
- Karimi, S.; Nazaralizadeh, S.; Srivastava, A.; Salem, A.; Famouri, P. Real Time Modeling and Control Algorithm of a Grid-Connected Battery Energy Storage System. TechRxiv 2025. [Google Scholar] [CrossRef]
- Nazaralizadeh, S.; Banerjee, P.; Karimi, S.; Srivastava, A.K.; Famouri, P. Very-Short-Term Solar Power Prediction Using a Suboptimal Multiple Fading Kalman Filter. TechRxiv 2025. [Google Scholar] [CrossRef]
- Amini, A.; Abedi, M.; Nesari, E.; Daryadel, E.; Kolahi, M.; Mianabadi, H.; Fisher, J. The Paris Agreement’s approach toward climate change loss and damage. World Aff. 2023, 186, 46–80. [Google Scholar] [CrossRef]
- Antoniolli, A.F.; Naspolini, H.F.; de Abreu, J.F.; Rüther, R. Development of technical and statistical algorithm using Business Intelligence tools for energy yield assessment of large rooftop photovoltaic system ensembles. Sustain. Energy Technol. Assess. 2022, 49, 101686. [Google Scholar] [CrossRef]
- Zublie, M.F.M.; Hasanuzzaman, M.; Rahim, N.A. Modeling, Energy Performance and Economic Analysis of Rooftop Solar Photovoltaic System for Net Energy Metering Scheme in Malaysia. Energies 2023, 16, 723. [Google Scholar] [CrossRef]
- Alnaser, N.W. A domestic rooftop PV system: A step towards retrofitting the built environment to combat climate change in Bahrain. Front. Built Environ. 2023, 9, 1178512. [Google Scholar] [CrossRef]
- Muttaqi, K.M.; Rahman, O.; Sutanto, D.; Lipu, M.S.H.; Abdolrasol, M.G.M.; Hannan, M.A. High-Frequency Ripple Injection Signals for the Effective Utilization of Residential EV Storage in Future Power Grids With Rooftop PV System. IEEE Trans. Ind. Appl. 2022, 58, 6655–6665. [Google Scholar] [CrossRef]
- Zhu, X.; Lv, Y.; Bi, J.; Jiang, M.; Su, Y.; Du, T. Techno-Economic Analysis of Rooftop Photovoltaic System under Different Scenarios in China University Campuses. Energies 2023, 16, 3123. [Google Scholar] [CrossRef]
- Khan, M.A.; Islam, N.; Abdul Mateen Khan, M.; Irshad, K.; Hanzala, M.; Ali Pasha, A.; Mursaleen, M. Experimental and simulation analysis of grid-connected rooftop photovoltaic system for a large-scale facility. Sustain. Energy Technol. Assess. 2022, 53, 102773. [Google Scholar] [CrossRef]
- Abdullah, A.; Amlus, M.; Azizan, N.; Sali, I.; Rahim, M. Performance Analysis of Different Type PV Module for 3kW Residential Roof Top PV System using PVSyst Simulation tool. J. Phys. Conf. Ser. 2022, 2312, 012042. [Google Scholar]
- Kabalci, E.; Kabalci, Y.; Gokkus, G. Dual DC-DC converter design for string inverters used in solar plants. In Proceedings of the 2015 International Conference on Renewable Energy Research and Applications (ICRERA), Palermo, Italy, 22–25 November 2015; pp. 115–119. [Google Scholar]
- Lin, Y.; Zhong, S.; Yang, W.; Hao, X.; Li, C.-Q. Multi-objective design optimization on building integrated photovoltaic with Trombe wall and phase change material based on life cycle cost and thermal comfort. Sustain. Energy Technol. Assess. 2021, 46, 101277. [Google Scholar] [CrossRef]
- Gholami, H.; Nils Røstvik, H. Levelised Cost of Electricity (LCOE) of Building Integrated Photovoltaics (BIPV) in Europe, Rational Feed-In Tariffs and Subsidies. Energies 2021, 14, 2531. [Google Scholar] [CrossRef]
- Bhattacharya, S.; Sadhu, P.K.; Sarkar, D. Performance evaluation of building integrated photovoltaic system arrays (SP, TT, QT, and TCT) to improve maximum power with low mismatch loss under partial shading. Microsyst. Technol. 2024, 30, 583–597. [Google Scholar] [CrossRef]
- Skandalos, N.; Karamanis, D. An optimization approach to photovoltaic building integration towards low energy buildings in different climate zones. Appl. Energy 2021, 295, 117017. [Google Scholar] [CrossRef]
- Samarasinghalage, T.I.; Wijeratne, W.M.P.U.; Yang, R.J.; Wakefield, R. A multi-objective optimization framework for building-integrated PV envelope design balancing energy and cost. J. Clean. Prod. 2022, 342, 130930. [Google Scholar] [CrossRef]
- Li, S.; Zhang, T.; Liu, X.; Xue, Z.; Liu, X. Performance investigation of a grid-connected system integrated photovoltaic, battery storage and electric vehicles: A case study for gymnasium building. Energy Build. 2022, 270, 112255. [Google Scholar] [CrossRef]
- Gonçalves, J.E.; van Hooff, T.; Saelens, D. Simulating building integrated photovoltaic facades: Comparison to experimental data and evaluation of modelling complexity. Appl. Energy 2021, 281, 116032. [Google Scholar] [CrossRef]
- Ko, J.; Jeong, J.-W. Annual performance evaluation of thermoelectric generator-assisted building-integrated photovoltaic system with phase change material. Renew. Sustain. Energy Rev. 2021, 145, 111085. [Google Scholar] [CrossRef] [PubMed]
- Javadijam, R.; Shahverdian, M.H.; Sohani, A.; Sayyaadi, H. A 4E Comparative Study between BIPV and BIPVT Systems in Order to Achieve Zero-Energy Building in Cold Climate. Buildings 2023, 13, 3028. [Google Scholar] [CrossRef]
- Wilcox, S.; Marion, W. Users Manual for TMY3 Data Sets; NREL: Golden, CO, USA, 2008. [Google Scholar]
- Kalogirou, S.A. Solar Energy Engineering: Processes and Systems; Academic Press: Cambridge, MA, USA, 2013. [Google Scholar]
- Habte, A.; Sengupta, M.; Lopez, A. Evaluation of the National Solar Radiation Database (NSRDB): 1998–2011. Renew. Energy 2014, 71, 497–507. [Google Scholar] [CrossRef]
- Shahverdian, M.H.; Sayyaadi, H.; Sohani, A. Multi-layer Modeling of Bifacial Photovoltaic Panels: Evaluating the Accuracy of One-, Three-, and Five-layer Models. Energy Convers. Manag. X 2025, 25, 100879. [Google Scholar] [CrossRef]
- Gu, W.; Ma, T.; Ahmed, S.; Zhang, Y.; Peng, J. A comprehensive review and outlook of bifacial photovoltaic (bPV) technology. Energy Convers. Manag. 2020, 223, 113283. [Google Scholar]
- Kalogirou, S.A. Solar Energy Engineering: Processes and Systems; Elsevier: Amsterdam, The Netherlands, 2023. [Google Scholar]
- Mousavi, R.; Mousavi, A.; Mousavi, Y.; Tavasoli, M.; Arab, A.; Kucukdemiral, I.B.; Alfi, A.; Fekih, A. Revolutionizing solar energy resources: The central role of generative AI in elevating system sustainability and efficiency. Appl. Energy 2025, 382, 125296. [Google Scholar] [CrossRef]
- Duffie, J.A.; Beckman, W.A.; Blair, N. Solar Engineering of Thermal Processes, Photovoltaics and Wind; John Wiley & Sons: Hoboken, NJ, USA, 2020. [Google Scholar]
- Shahverdian, M.H.; Sayyaadi, H.; Sohani, A. A detailed optical thermo-electrical model for better thermal analysis of bifacial PV systems. Energy Convers. Manag. X 2024, 24, 100817. [Google Scholar] [CrossRef]
- Shahsavar, A.; Rajabi, Y. Exergoeconomic and enviroeconomic study of an air based building integrated photovoltaic/thermal (BIPV/T) system. Energy 2018, 144, 877–886. [Google Scholar] [CrossRef]
- Kaplani, E.; Kaplanis, S. Thermal modelling and experimental assessment of the dependence of PV module temperature on wind velocity and direction, module orientation and inclination. Sol. Energy 2014, 107, 443–460. [Google Scholar]
- Gu, W.; Ma, T.; Li, M.; Shen, L.; Zhang, Y. A coupled optical-electrical-thermal model of the bifacial photovoltaic module. Appl. Energy 2020, 258, 114075. [Google Scholar]
- Notton, G.; Cristofari, C.; Mattei, M.; Poggi, P. Modelling of a double-glass photovoltaic module using finite differences. Appl. Therm. Eng. 2005, 25, 2854–2877. [Google Scholar] [CrossRef]
- Gu, W.; Ma, T.; Shen, L.; Li, M.; Zhang, Y.; Zhang, W. Coupled electrical-thermal modelling of photovoltaic modules under dynamic conditions. Energy 2019, 188, 116043. [Google Scholar] [CrossRef]
- De Bastiani, M.; Larini, V.; Montecucco, R.; Grancini, G. The levelized cost of electricity from perovskite photovoltaics. Energy Environ. Sci. 2023, 16, 421–429. [Google Scholar] [CrossRef] [PubMed]
- Ghanaee, E.; Pérez-Díaz, J.I.; Fernández-Muñoz, D.; Nájera, J.; Chazarra, M.; Castaño-Solis, S. Optimal Scheduling of a Hybrid Wind–Battery Power Plant in the Day-Ahead and Reserve Markets Considering Battery Degradation Cost. In Proceedings of the 2024 International Conference on Smart Energy Systems and Technologies (SEST), Torino, Italy, 10–12 September 2024; pp. 1–6. [Google Scholar]
- Chimeh, A.F.; Kocaefe, D.; Kocaefe, Y.; Robert, Y.; Bernier, J. Mathematical modelling of a semi-dry SO2 scrubber based on a Lagrangian-Eulerian approach. J. Hazard. Mater. 2024, 469, 134065. [Google Scholar] [CrossRef]
- Soltanifar, F.; Bahrami, A.; Sohani, A. A green energy-economic optimized solar driven solution for power, methanol, and hydrogen production together. Fuel 2025, 386, 134147. [Google Scholar] [CrossRef]
- Sohani, A. Time-dependent energy, economic, and environmental assessment of a PV-hydrogen integrated power system. Int. J. Hydrogen Energy, 2025, in press. [CrossRef]
- Shahverdian, M.H.; Sohani, A.; Sayyaadi, H. Water-energy nexus performance investigation of water flow cooling as a clean way to enhance the productivity of solar photovoltaic modules. J. Clean. Prod. 2021, 312, 127641. [Google Scholar] [CrossRef]
- Hoseinzadeh, P.; Assadi, M.K.; Heidari, S.; Khalatbari, M.; Saidur, R.; Sangin, H. Energy performance of building integrated photovoltaic high-rise building: Case study, Tehran, Iran. Energy Build. 2021, 235, 110707. [Google Scholar] [CrossRef]















| Item | Value |
|---|---|
| Windows | 2.8 |
| Internal wall | 1.42 |
| Roof | 0.6 |
| External wall | 1.01 |
| Floor | 0.67 |
| City | Summer | Winter | Lat (°N) | Lon (°E) | ||
|---|---|---|---|---|---|---|
| Tdb (°C) | Twb (°C) | Tdb (°C) | Climate Type | |||
| Kerman | 37.6 | 19.5 | −10.1 | 30.28 | 57.08 | Cold Desert |
| Layer | Value |
|---|---|
| Glass | 3.2 |
| Top EVA | 0.5 |
| Silicon | 0.4 |
| Bottom EVA | 0.5 |
| Tedlar | 0.33 |
| Wall | 0.3 |
Disclaimer/Publisher’s Note: The statements, opinions and data contained in all publications are solely those of the individual author(s) and contributor(s) and not of MDPI and/or the editor(s). MDPI and/or the editor(s) disclaim responsibility for any injury to people or property resulting from any ideas, methods, instructions or products referred to in the content. |
© 2025 by the authors. Licensee MDPI, Basel, Switzerland. This article is an open access article distributed under the terms and conditions of the Creative Commons Attribution (CC BY) license (https://creativecommons.org/licenses/by/4.0/).
Share and Cite
Shahverdian, M.H.; Najaftomaraei, M.; Fassadi Chimeh, A.; Yavarzadeh, N.; Sohani, A.; Javadijam, R.; Sayyaadi, H. Towards Zero-Energy Buildings: A Comparative Techno-Economic and Environmental Analysis of Rooftop PV and BIPV Systems. Buildings 2025, 15, 999. https://doi.org/10.3390/buildings15070999
Shahverdian MH, Najaftomaraei M, Fassadi Chimeh A, Yavarzadeh N, Sohani A, Javadijam R, Sayyaadi H. Towards Zero-Energy Buildings: A Comparative Techno-Economic and Environmental Analysis of Rooftop PV and BIPV Systems. Buildings. 2025; 15(7):999. https://doi.org/10.3390/buildings15070999
Chicago/Turabian StyleShahverdian, Mohammad Hassan, Mohammadreza Najaftomaraei, Arash Fassadi Chimeh, Negin Yavarzadeh, Ali Sohani, Ramtin Javadijam, and Hoseyn Sayyaadi. 2025. "Towards Zero-Energy Buildings: A Comparative Techno-Economic and Environmental Analysis of Rooftop PV and BIPV Systems" Buildings 15, no. 7: 999. https://doi.org/10.3390/buildings15070999
APA StyleShahverdian, M. H., Najaftomaraei, M., Fassadi Chimeh, A., Yavarzadeh, N., Sohani, A., Javadijam, R., & Sayyaadi, H. (2025). Towards Zero-Energy Buildings: A Comparative Techno-Economic and Environmental Analysis of Rooftop PV and BIPV Systems. Buildings, 15(7), 999. https://doi.org/10.3390/buildings15070999

