Optimization and Characterization of Mechanical Properties in Straw-Reinforced Cementitious Composites
Abstract
1. Introduction
2. Test Content
2.1. Test Materials
2.2. Test Program
3. Test Results and Analysis
3.1. Analysis of Standard Consistency Water Consumption and Setting Time
3.2. Analysis of Flexural and Compressive Strength
3.3. Pore Characterization
3.4. Analysis of Hydration Products
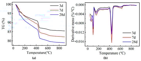
3.4.1. Thermogravimetric Test Analysis
3.4.2. X-Ray Diffraction Test Analysis
4. Conclusions
Author Contributions
Funding
Data Availability Statement
Conflicts of Interest
References
- Ren, J.; Yu, P.; Xu, X. Straw Utilization in China—Status and Recommendations. Sustainability 2019, 11, 1762. [Google Scholar] [CrossRef]
- Yang, W.; Li, X.; Zhang, Y. Research Progress and the Development Trend of the Utilization of Crop Straw Biomass Resources in China. Front. Chem. 2022, 10. [Google Scholar] [CrossRef] [PubMed]
- Jiang, D.; An, P.; Cui, S.; Sun, S.; Zhang, J.; Tuo, T. Effect of Modification Methods of Wheat Straw Fibers on Water Absorbency and Mechanical Properties of Wheat Straw Fiber Cement-Based Composites. Adv. Mater. Sci. Eng. 2020, 2020, 5031025. [Google Scholar] [CrossRef]
- Shan, A.; Pan, J.; Kang, K.J.; Pan, M.; Wang, G.; Wang, M.; He, Z.; Yang, X. Effects of straw return with N fertilizer reduction on crop yield, plant diseases and pests and potential heavy metal risk in a Chinese rice paddy: A field study of 2 consecutive wheat-rice cycles. Environ. Pollut. 2021, 288, 117741. [Google Scholar] [CrossRef] [PubMed]
- Seglah, P.A.; Wang, Y.; Wang, H.; Bi, Y. Estimation and Efficient Utilization of Straw Resources in Ghana. Sustainability 2019, 11, 4172. [Google Scholar] [CrossRef]
- Shen, L.; Gao, T.; Zhao, J.; Wang, L.; Wang, L.; Liu, L.; Chen, F.; Xue, J. Factory-level measurements on CO2 emission factors of cement production in China. Renew. Sustain. Energy Rev. 2014, 34, 337–349. [Google Scholar] [CrossRef]
- Chen, J.; Elbashiry, E.M.A.; Yu, T.; Ren, Y.; Guo, Z.; Liu, S. Research progress of wheat straw and rice straw cement-based building materials in China. Mag. Concr. Res. 2018, 70, 84–95. [Google Scholar] [CrossRef]
- Niu, B.; Kim, B.H. Method for Manufacturing Corn Straw Cement-Based Composite and Its Physical Properties. Materials 2022, 15, 3199. [Google Scholar] [CrossRef] [PubMed]
- Petrella, A.; Spasiano, D.; Liuzzi, S.; Ayr, U.; Cosma, P.; Rizzi, V.; Petrella, M.; Di Mundo, R. Use of cellulose fibers from wheat straw for sustainable cement mortars. J. Sustain. Cem.-Based Mater. 2019, 8, 161–179. [Google Scholar] [CrossRef]
- Katman, H.Y.B.; Khai, W.J.; Bheel, N.; Kırgız, M.S.; Kumar, A.; Khatib, J.; Benjeddou, O. Workability, Strength, Modulus of Elasticity, and Permeability Feature of Wheat Straw Ash-Incorporated Hydraulic Cement Concrete. Buildings 2022, 12, 1363. [Google Scholar] [CrossRef]
- Yang, L.; Wang, S.; Yang, L.; Wu, Y.; Liu, Y. Towards net zero carbon buildings: Potential use of gypsum-based highland barley straw concrete in solar energy enrichment area of China. Build. Environ. 2025, 271, 112586. [Google Scholar] [CrossRef]
- Prabhakar, V.; Alam, M.; Wankhade, R.L. Evaluation of strength and modulus of elasticity (Ec) of concrete incorporated with recycled aggregate and rice straw ash (RSA). Constr. Build. Mater. 2024, 448, 138016. [Google Scholar] [CrossRef]
- Li, Y.; Zhu, N.; Chen, J. Straw characteristics and mechanical straw building materials: A review. J. Mater. Sci. 2023, 58, 2361–2380. [Google Scholar] [CrossRef]
- Wu, B.; Zhang, S.; Zhao, Y.; Cui, T.; Xu, Y. Dynamic compressive properties of rubberized mortar reinforced with straw-fiber additive. Constr. Build. Mater. 2023, 408, 133679. [Google Scholar] [CrossRef]
- Farooqi, M.U.; Ali, M. Effect of pre-treatment and content of wheat straw on energy absorption capability of concrete. Constr. Build. Mater. 2019, 224, 572–583. [Google Scholar] [CrossRef]
- Lu, J.-X. Recent advances in high strength lightweight concrete: From development strategies to practical applications. Constr. Build. Mater. 2023, 400, 132905. [Google Scholar] [CrossRef]
- Charai, M.; Mezrhab, A.; Moga, L.; Karkri, M. Hygrothermal, mechanical and durability assessment of vegetable concrete mixes made with Alfa fibers for structural and thermal insulating applications. Constr. Build. Mater. 2022, 335, 127518. [Google Scholar] [CrossRef]
- Zhang, J.; Guo, X.; Tang, X.; A, L. Experimental and numerical simulation of seismic behavior of reinforced concrete frames infilled with refractory straw blocks. Structures 2024, 69, 107475. [Google Scholar] [CrossRef]
- Wu, Z.; Wang, X.; Chen, Z. Experimental study on preparation and performance of the Corn Straw Fiber (CSF) reinforced EPS concrete. J. Build. Eng. 2024, 89, 109378. [Google Scholar] [CrossRef]
- Farooqi, M.U.; Ali, M. Durability evaluation of wheat straw reinforced concrete for sustainable structures. J. Build. Eng. 2024, 82, 108400. [Google Scholar] [CrossRef]
- Lu, X.-y.; Zhao, Z. Effect of Rape Straw Fiber on Mechanical Properties and Microstructure of Fly Ash Concrete. Adv. Civ. Eng. 2022, 2022, 3002430. [Google Scholar] [CrossRef]
- Deng, J.-X.; Li, X.; Li, X.-J.; Wei, T.-B. Analysis of the Performance of Recycled Insulation Concrete and Optimal Mix Ratio Design Based on Orthogonal Testing. Materials 2023, 16, 5688. [Google Scholar] [CrossRef] [PubMed]
- Deng, J.-X.; Li, X.; Li, X.-J.; Wei, T.-B. Research on the Performance of Recycled-Straw Insulating Concrete and Optimization Design of Matching Ratio. Sustainability 2023, 15, 9608. [Google Scholar] [CrossRef]
- Al-mulali, M.Z.; Awang, H.; Abdul Khalil, H.P.S.; Aljoumaily, Z.S. The incorporation of oil palm ash in concrete as a means of recycling: A review. Cem. Concr. Compos. 2015, 55, 129–138. [Google Scholar] [CrossRef]
- Zhao, Y.; Sun, S.; Liu, Y.; Liu, M. Study on performance deterioration and life prediction of reed straw-recycled brick aggregate concrete after freeze-thaw cycle. Case Stud. Constr. Mater. 2024, 21, e03728. [Google Scholar] [CrossRef]
- Wu, B.; Yang, L.; Mei, Y.; Sun, Y.; Shen, J. Dynamic tensile properties of straw fiber reinforced rubber concrete. J. Build. Eng. 2024, 96, 110455. [Google Scholar] [CrossRef]
- Shah, I.; Li, J.; Yang, S.; Zhang, Y.; Anwar, A. Experimental Investigation on the Mechanical Properties of Natural Fiber Reinforced Concrete. J. Renew. Mater. 2021, 10, 1307–1320. [Google Scholar] [CrossRef]
- Farooqi, M.U.; Ali, M. Contribution of plant fibers in improving the behavior and capacity of reinforced concrete for structural applications. Constr. Build. Mater. 2018, 182, 94–107. [Google Scholar] [CrossRef]
- Wang, G.; Han, Y. Research on the Performance of Straw Fiber Concrete. IOP Conf. Ser. Mater. Sci. Eng. 2018, 394, 032080. [Google Scholar] [CrossRef]
- Ashour, T.; Morsy, M.; Korjenic, A.; Fischer, H.; Khalil, M.; Sesto, E.; Orabi, M.; Yehia, I. Engineering Parameters of Rice Straw Concrete with Granulated Blast Furnace Slag. Energies 2021, 14, 343. [Google Scholar] [CrossRef]
- Xie, X.; Gou, G.; Wei, X.; Zhou, Z.; Jiang, M.; Xu, X.; Wang, Z.; Hui, D. Influence of pretreatment of rice straw on hydration of straw fiber filled cement based composites. Constr. Build. Mater. 2016, 113, 449–455. [Google Scholar] [CrossRef]
- ASTM C187-23; Standard Test Method for Amount of Water Required for Normal Consistency of Hydraulic Cement Paste. ASTM International: West Conshohocken, PA, USA, 2023.
- GB/T17671-2021; Test Method of Cement Sand Strength (ISO Method). National Standard of the People’s Republic of China: Beijing, China, 2021.
- He, J.; Sun, C.; Wang, X. Mechanical Properties and Microanalytical Study of Concrete Reinforced with Blended Corn Straw and Scrap Steel Fibers. Materials 2024, 17, 3844. [Google Scholar] [CrossRef] [PubMed]
- Liu, L.; Yang, J.; She, Y.; Lv, S.; Yang, Z.; Zhang, J. Resourceful Utilization of Cow Hair in the Preparation of Iron Tailing-Based Foam Concrete. Materials 2022, 15, 5739. [Google Scholar] [CrossRef] [PubMed]
- Nazari, A.H.; Riahi, S. Effects of CuO Nanoparticles on Microstructure, Physical, Mechanical and Thermal Properties of Self-Compacting Cementitious Composites. J. Mater. Sci. Tech. 2011, 27, 81–92. [Google Scholar] [CrossRef]








| SiO2 | Al2O3 | Fe2O3 | CaO | MgO | SO3 | Na2Oeq | f-CaO | Loss | Cl− |
|---|---|---|---|---|---|---|---|---|---|
| 20.08 | 5.09 | 3.81 | 63.41 | 2.06 | 2.83 | 0.55 | 0.88 | 1.72 | 15.59 |
Disclaimer/Publisher’s Note: The statements, opinions and data contained in all publications are solely those of the individual author(s) and contributor(s) and not of MDPI and/or the editor(s). MDPI and/or the editor(s) disclaim responsibility for any injury to people or property resulting from any ideas, methods, instructions or products referred to in the content. |
© 2025 by the authors. Licensee MDPI, Basel, Switzerland. This article is an open access article distributed under the terms and conditions of the Creative Commons Attribution (CC BY) license (https://creativecommons.org/licenses/by/4.0/).
Share and Cite
Liu, B.; Han, D.; Zhang, F.; Zhang, J.; Fang, L. Optimization and Characterization of Mechanical Properties in Straw-Reinforced Cementitious Composites. Buildings 2025, 15, 767. https://doi.org/10.3390/buildings15050767
Liu B, Han D, Zhang F, Zhang J, Fang L. Optimization and Characterization of Mechanical Properties in Straw-Reinforced Cementitious Composites. Buildings. 2025; 15(5):767. https://doi.org/10.3390/buildings15050767
Chicago/Turabian StyleLiu, Baohua, Dongping Han, Fan Zhang, Junqi Zhang, and Liang Fang. 2025. "Optimization and Characterization of Mechanical Properties in Straw-Reinforced Cementitious Composites" Buildings 15, no. 5: 767. https://doi.org/10.3390/buildings15050767
APA StyleLiu, B., Han, D., Zhang, F., Zhang, J., & Fang, L. (2025). Optimization and Characterization of Mechanical Properties in Straw-Reinforced Cementitious Composites. Buildings, 15(5), 767. https://doi.org/10.3390/buildings15050767

