Influence of Bracing Systems on Pile Design Parameters: A Structure–Soil–Pile Interaction Approach
Abstract
1. Introduction
2. Materials and Methods
2.1. Experimental Setup
2.2. Response Spectrum of the Model and Selection of Earthquake Records
2.3. Shaking Table Experiments
2.3.1. Shaking Table Experiments Using Steel Diagonal Support Members
2.3.2. Numerical Soil–Pile Interaction Analysis
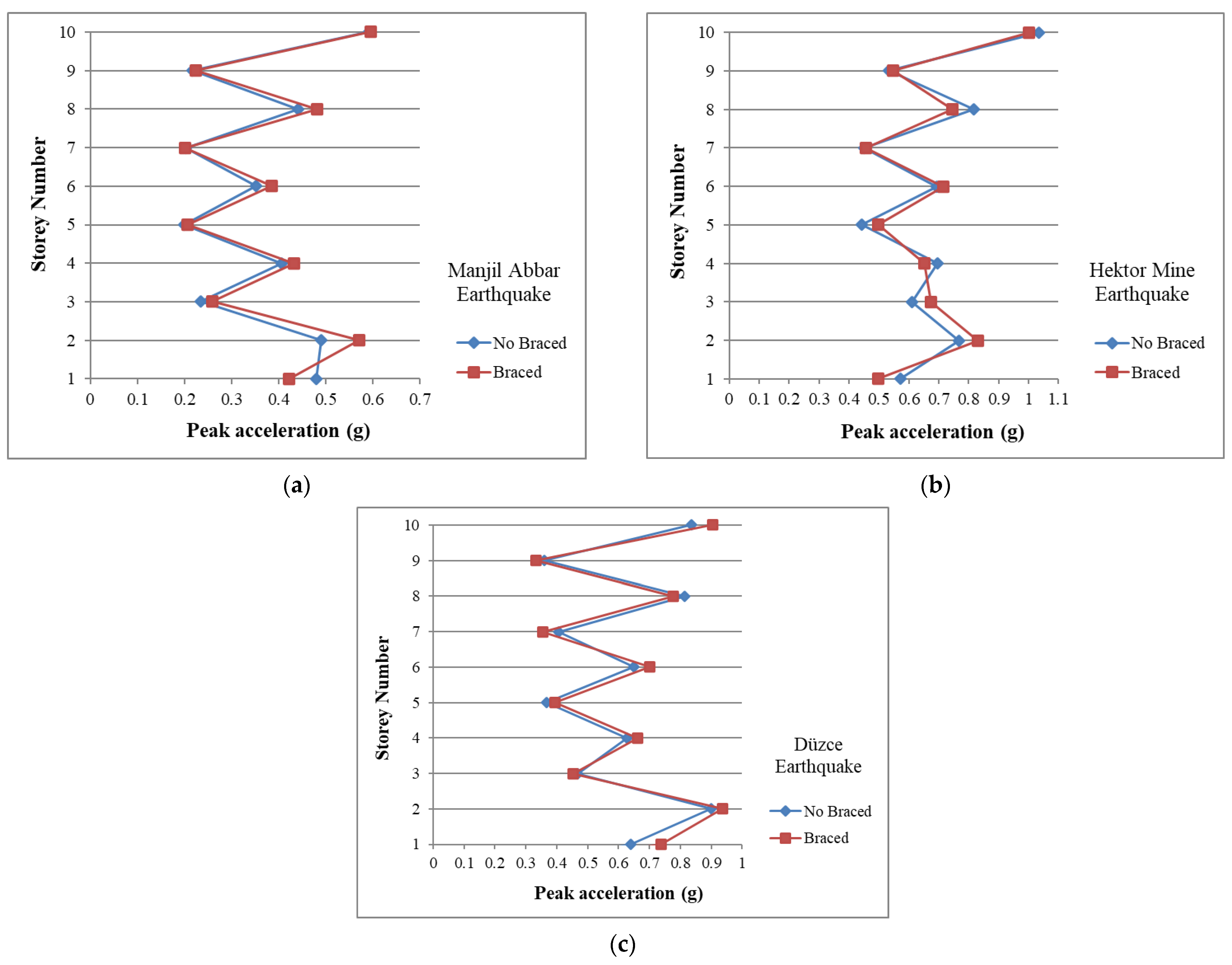
3. Test Results and Discussions
4. Conclusions
- The soil conditions and design conditions of the structure will affect the performance of the structure. The shear force at the base of a structure is affected by the properties of the bracings used, the mass of the structure, and the soil conditions in which the structure will be built [13]. In addition, the change in the base shear force in the structure is a very important parameter in the kinematic interaction analysis and the design phase. As a result, although the use of X steel diagonal bracing systems seems sufficient in terms of structural design, in terms of earthquake-resistant building reinforcement, it can negatively affect foundation designs because it increases base shear forces in terms of structure–soil interaction;
- Kinematic interaction effects are more dominant than inertial interaction effects on the pile raft system. Therefore, the change in the braced system of the structure does not directly affect the pile raft system very much. On the other hand, at different earthquake effects, the design parameters of the piles showed variability. The main reason for this situation can be explained, and the characterizations and behaviors of the earthquakes used in this study are different from each other. The accelerations, velocities, frequencies, and duration of the earthquakes used in this study are different from each other. For this reason, the effects of the earthquakes vary in a wide range;
- Similarly, when the distance between piles was increased by s/d, increases in bending moment and shear forces were observed under different earthquake forces. When s/d ratio effects are evaluated, the increase in the s/d ratio with respect to the length of the piles does not have considerable effects on the pile design parameters. This can be explained as the damping ratio effect of the soil profile on absorbing earthquake effects under kinematic interaction conditions. In other words, the soil profile may absorb more earthquake energy for this case condition;
- In this study, a three-layered soil profile was defined. Therefore, when the length of the pile increases, the small part of the piles is embedded to the other soil profile, as it is commonly known that the kinematic interactions increase with the increase in the number of soil profiles in which piles are embedded [46]. A similar behavior was also observed in this study. While pile length increased, the design parameters of the piles also increased for all conditions defined in this study.
Author Contributions
Funding
Data Availability Statement
Conflicts of Interest
References
- Siyahi, B.; Çetin, K.Ö.; Bilge, H.T. A critical view on soil-foundation-structure interaction from the perspective of geotechnical earthquake engineering. Turk. Eng. News 2013, 484, 41–50. [Google Scholar]
- EN 1998-5; Eurocode 8: Design of Structures for Earthquake Resistance–Part 5: Foundations, Retaining Structures and Geotechnical Aspects. European Union: Brussels, Belgium, 2003.
- FEMA 440; Improvement of Nonlinear Static Seismic Analysis Procedures. Federal Emergency Management Agency: Washington, DC, USA, 2005.
- Kawashima, K.; Unjoh, S. Specification for Highway Bridges: Seismic Design; Japanese Road Association: Tokyo, Japan, 1996. [Google Scholar]
- Ghosh, B.; Lubkowski, Z. Modelling dynamic soil structure interaction under seismic loads. In Design of Foundations in Seismic Areas: Principles and Applications; Bhattacharya, S., Ed.; NICEE, IIT Kanpur: Kanpur, Indiam, 2007; pp. 118–198. [Google Scholar]
- Meymand, P.J. Shaking Table Scale Model Tests of Nonlinear Soil-Pile Superstructure Interaction in Soft Clay. Ph.D. Dissertation, University of California, Berkeley, CA, USA, 1998. [Google Scholar]
- Mylonakis, G.; Gazetas, G. Seismic soil-structure interaction: Beneficial or detrimental? J. Earthq. Eng. 2000, 4, 277–301. [Google Scholar] [CrossRef]
- Kaynia, M.A.; Mahzoon, P.S. Forces in pile foundations under seismic loading. J. Eng. Mech. 1996, 122, 46–53. [Google Scholar] [CrossRef]
- Nogami, T.; Novak, M. Soil-pile interaction in vertical vibration. Earthq. Eng. Struct. Dyn. 1976, 4, 277–294. [Google Scholar] [CrossRef]
- Novak, M. Dynamic stiffness and damping of piles. Can. Geotech. J. 1974, 11, 574–598. [Google Scholar] [CrossRef]
- Wolf, J. Dynamic Soil-Structure Interaction; Prentice Hall, Inc.: Hoboken, NJ, USA, 1985. [Google Scholar]
- Moncarz, P.; Krawinkler, H. Theory and Application of Experimental Model Analysis in Earthquake Engineering; Rep. No. 50; John, A., Ed.; Stanford University: Stanford, CA, USA, 1981. [Google Scholar]
- Nassani, D.E.; Hussein, A.K.; Mohammed, A.H. Comparative response assessment of steel frames with different bracing systems under seismic effect. In Structures; Elsevier: Amsterdam, The Netherlands, 2017; Volume 11, pp. 229–242. [Google Scholar]
- Moghaddam, H.; Hajirasouliha, I. An investigation on the accuracy of pushover analysis for estimating the seismic deformation of braced steel frames. Constr. Steel Res. 2006, 62, 343–351. [Google Scholar] [CrossRef]
- Asgarian, B.; Moradi, S. Seismic response of steel braced frames with shape memory alloy braces. Constr. Steel Res. 2011, 67, 65–74. [Google Scholar] [CrossRef]
- Tremblay, R. Inelastic seismic response of steel bracing members. J. Constr. Steel Res. 2002, 58, 665–701. [Google Scholar] [CrossRef]
- Bharmal, P.P.; Kumbhar, P.D.; Gumaste, K.S. Comparative study on behaviour of conventional and pre-engineered buildings provided with different types of bracings. Asian J. Civ. Eng. 2024, 25, 451–459. [Google Scholar] [CrossRef]
- Bouderradji, M. Seismic performance assessment of deficient RC structures retrofitted with different steel bracing systems. J. Eng. Exact Sci. 2023, 9, 16884-01e. [Google Scholar] [CrossRef]
- Liu, X.; Zhou, X.; Zhang, A.; Tian, C.; Zhang, X.; Tan, Y. Design and compilation of specifications for a modular-prefabricated high-rise steel frame structure with diagonal braces. Part I: Integral structural designd. Struct. Des. Tall Spec. Build. 2017, 27, e1415. [Google Scholar] [CrossRef]
- Roshan, P.; Meena, R.K.; Singh, I. Analyzing the effectiveness of bracing patterns in high-rise buildings. In Hydraulic and Civil Engineering Technology VIII; IOS Press: Amsterdam, The Netherlands, 2023. [Google Scholar] [CrossRef]
- Qiu, C.; Zhu, S. Shake table test and numerical study of self-centering steel frame with SMA braces. Earthq. Eng. Struct. Dyn. 2016, 46, 117–137. [Google Scholar] [CrossRef]
- Erochko, J.; Christopoulos, C.; Tremblay, R.; Kim, H. Shake table testing and numerical simulation of a self-centering energy dissipative braced frame. Earthq. Eng. Struct. Dyn. 2013, 42, 1617–1635. [Google Scholar] [CrossRef]
- Goggins, J.; Jiang, Y.; Broderick, B.; Salawdeh, S.; O’Reilly, G.; Elghazouli, A.; Markovski, I. Shake table testing of self-centering concentrically braced frames. Ce/Papers 2021, 4, 1949–1956. [Google Scholar] [CrossRef]
- Aydin, E.; Boduroglu, M.H. Optimal placement of steel diagonal braces for upgrading the seismic capacity of existing structures and its comparison with optimal dampers. J. Constr. Steel Res. 2008, 64, 72–86. [Google Scholar] [CrossRef]
- Anoyatis, G.; Laora, R.; Mandolini, A.; Mylonakis, G. Kinematic response of single piles for different boundary conditions: Analytical solutions and normalization schemes. Soil Dyn. Earthq. Eng. 2013, 44, 183–195. [Google Scholar] [CrossRef]
- Maugeri, M.; Motta, E.; Raciti, E.; Ardita, D. Kinematic interaction of a single pile in heterogeneous soil. WIT Trans. Built Environ. 2009, 104, 95–104. [Google Scholar] [CrossRef]
- Garala, T.; Madabhushi, G. Influence of phase difference between kinematic and inertial loads on seismic behavior of pile foundations in layered soils. Can. Geotech. J. 2021, 58, 1005–1022. [Google Scholar] [CrossRef]
- Chidichimo, A.; Cairo, R.; Dente, G.; Taylor, C.; Mylonakis, G. 1-g Experimental investigation of bi-layer soil response and kinematic pile bending. Soil Dyn. Earthq. Eng. 2014, 67, 219–232. [Google Scholar] [CrossRef]
- Aldimashki, M.; Brownjohn, J.; Bhattacharya, S. Experimental and Analytical Study of Seismic Soil-Pile-Structure Interaction in Layered Soil Half-Space. J. Earthq. Eng. 2014, 18, 655–673. [Google Scholar] [CrossRef][Green Version]
- Padrón, L.; Aznárez, J.; Maeso, O. Dynamic analysis of piled foundations in stratified soils by a BEM-FEM model. Soil Dyn. Earthq. Eng. 2008, 28, 333–346. [Google Scholar] [CrossRef]
- Li, Z.; Escoffier, S.; Kotronis, P. Centrifuge modeling of batter pile foundations under sinusoidal dynamic excitation. Bull. Earthq. Eng. 2016, 14, 673–697. [Google Scholar] [CrossRef]
- Hokmabadi, A.S.; Fatahi, B.; Samali, B. Physical modeling of seismic soil-pile-structure interaction for buildings on soft soils. Int. J. Geomech. 2015, 15, 04014046. [Google Scholar] [CrossRef]
- Hashash, Y.M.A.; Musgrove, M.I.; Harmon, J.A.; Groholski, D.R.; Phillips, C.A.; Park, D. DEEPSOIL 6.1, User Manual; Board of Trustees of University of Illinois at Urbana-Champaign: Urbana, IL, USA, 2016. [Google Scholar]
- Al Atik, L.; Abrahamson, N. An improved method for nonstationary spectral matching. Earthq. Spectra 2010, 26, 601–617. [Google Scholar] [CrossRef]
- SeismoMatch. Earthquake Software for Response Spectrum Matching; Seismosoft: Pavia, Italy, 2020. [Google Scholar]
- Ozbulut, O.; Hurlebaus, S.; DesRoches, R. Seismic response control using shape memory alloys: A review. J. Intell. Mater. Syst. Struct. 2011, 22, 1531–1549. [Google Scholar] [CrossRef]
- Araki, Y.; Shrestha, K.; Maekawa, N.; Koetaka, Y.; Omori, T.; Kainuma, R. Shaking table tests of steel frame with superelastic cu–al–mn sma tension braces. Earthq. Eng. Struct. Dyn. 2015, 45, 297–314. [Google Scholar] [CrossRef]
- Subramanya, K.G.; Govindaraju, L.; Babu, R.R. Shake Table Studies on the Dynamic Response of Pile Supported Framed Structure in Soft Soil. Civ. Eng. Archit. 2020, 8, 1313–1324. [Google Scholar]
- Chopra, A.K. Dynamics of Structures: Theory and Applications to Earthquake Engineering, 4th ed.; Prentice Hall: Englewood Cliffs, NJ, USA, 2012. [Google Scholar]
- Tao, X.; Kagawa, T.; Minowa, C.; Abe, A. Verification of dynamic soil-pile interaction. In Geotechnical Earthquake Engineering and Soil Dynamics, 3rd ed.; ASCE: New York, NY, USA, 1998; pp. 1199–1210. [Google Scholar]
- Bao, Y.; Ye, G.; Ye, B.; Zhang, F. Seismic evaluation of soil–foundation–superstructure system considering geometry and material nonlinearities of both soils and structures. Soils Found. 2012, 52, 257–278. [Google Scholar] [CrossRef]
- Chau, K.T.; Shen, C.Y.; Guo, X. Nonlinear seismic soil-pile structure interactions: Shaking table tests and FEM analyses. Soil. Dyn. Earthq. Eng. 2009, 29, 300–310. [Google Scholar] [CrossRef]
- Reese, L.C.; Cox, W.R.; Koop, F.D. Analysis of laterally loaded piles in sand. In Proceedings of the 6th Annual Offshore Technology Conference, Houston, TX, USA, 6–8 May 1974; Volume 2, pp. 473–485. [Google Scholar]
- Nghiem, H. Soil-Pile-Structure Interaction Effects on High Rises Under Seismic Shaking. Ph.D. Thesis, University of Colorado, Denver, CO, USA, 2009. [Google Scholar]
- Mendoza, M.; Romo, M. Behavior of building foundations in Mexico City during the 1985 Earthquake: Second stage. In Lessons Learned from the 1985 Mexico Earthquake; Earthquake Engineering Research Institute: El Cerrito, CA, USA, 1989; pp. 66–70. [Google Scholar]
- Yiğit, M.A.; Onur, M.İ.; Balaban, E. Investigation of soil pile interaction parameters in piled foundations. J. Fac. Eng. Archit. Gazi Univ. 2022, 37, 625–639. [Google Scholar]












| Parameter | Scaling Relationship |
|---|---|
| Mass density | 1 |
| Force | λ3 |
| Stiffness | λ2 |
| Modulus | λ |
| Acceleration | 1 |
| Shear-wave velocity | λ1/2 |
| Time | λ1/2 |
| Frequency | λ−1/2 |
| Length | λ |
| Stress | λ |
| Strain | 1 |
| EI | λ5 |
| Earthquake | Year | Peak Ground Acceleration PGA (g) | Magnitude (R) | Duration (s) | Hypo Central Distance (km) |
|---|---|---|---|---|---|
| Manjil Abbar | 1990 | 0.215 | 7.37 | 45.3 | 12.55 |
| Hektor Mine | 1998 | 0.296 | 7.13 | 53.5 | 11.66 |
| Düzce | 1999 | 0.190 | 7.14 | 30.00 | 4.21 |
| Soil Properties | Symbol | Unit | 1. Layer (SM) | 2. Layer (SW) | 3. Layer (GM-SM) | Rock | Period | Frequency | |
|---|---|---|---|---|---|---|---|---|---|
| T (s) | f (Hz) | ||||||||
| Real Soil | Layer thickness | h | m | 30 | 30 | 30 | - | 1.333 | 0.75 |
| Mass density | ρ | kg/m3 | 1600 | 1800 | 2000 | 2200 | |||
| Shear wave velocity | Vs | m/s | 150 | 350 | 630 | 760 | |||
| Cohesion | c | kPa | 60 | 5 | 512 | - | |||
| Modulus of Elasticity | E | kN/m2 | 5000 | 25,000 | 5 × 106 | - | |||
| Poisson Ratio | v | - | 0.42 | 0.38 | 0.25 | - | |||
| Shear strength angle | φ | ° | 6° | 28° | 23° | - | |||
| Model (to scale) Soil | Layer thickness | h | m | 2 | 2 | 2 | - | 0.344 | 2.904 |
| Mass density | ρ | kg/m3 | 1600 | 1800 | 2000 | 2200 | |||
| Shear wave velocity | Vs | m/s | 38.73 | 90.37 | 162.66 | 196.21 | |||
| Cohesion | c | kPa | 60 | 5 | 512 | - | |||
| Modulus of Elasticity | E | kN/m2 | 5000 | 25,000 | 5 × 106 | - | |||
| Poisson Ratio | v | - | 0.42 | 0.38 | 0.25 | - | |||
| Shear strength angle | φ | ° | 6° | 28° | 23° | - |
| Pile Properties | Symbol | Unit | Real Pile | Model (to Scale) Pile |
|---|---|---|---|---|
| Diameter | D | m | 0.8 | 0.053 |
| Length | L | m | 12 | 0.8 |
| 36 | 2.4 | |||
| Moment of inertia | I | m4 | 0.02 | 3.87 × 10−7 |
| Flexural rigidity | E | kN/m2 | 32 × 106 | 2170.5 |
| Distance Between Piles and Pile Length | |||||
|---|---|---|---|---|---|
| Real Pile | Scaled Pile | ||||
| S/D = 2.5 m | S/D = 4 m | S/D = 0.167 m | S/D = 0.26 m | ||
![]() | ![]() | ![]() | ![]() | ![]() | ![]() |
| Manjil Abbar Earthquake Base Shear (kN) | Hektor Mine Earthquake Base Shear (kN) | Düzce Earthquake Base Shear (kN) | |
|---|---|---|---|
| No braced | 3.035 | 6.521 | 1.576 |
| Braced | 3.879 | 8.427 | 2.371 |
| No Braced | Braced | |||||||
|---|---|---|---|---|---|---|---|---|
| Pile Spacing (m) | Earthquakes | Pile Length (m) | M (Nm) | V (N) | D (mm) | M (Nm) | V (N) | D (mm) |
| s/d = 0.167 | Manjil Abbar | 0.8 | 11.71 | 83.15 | 6.698 | 11.80 | 83.47 | 6.698 |
| 2.4 | 16.56 | 140.14 | 6.735 | 16.65 | 140.46 | 6.736 | ||
| 29.29% | 40.67% | 0.55% | 29.13% | 40.57% | 0.56% | |||
| Hektor Mine | 0.8 | 15.31 | 110.48 | 7.336 | 15.51 | 111.20 | 7.337 | |
| 2.4 | 54.83 | 463.46 | 7.473 | 55.03 | 464.17 | 7.475 | ||
| 72.08% | 76.16% | 1.83% | 71.82% | 76.04% | 1.85% | |||
| Düzce | 0.8 | 8.88 | 70.60 | 4.764 | 8.97 | 70.90 | 4.764 | |
| 2.4 | 26.05 | 323.59 | 4.832 | 26.13 | 323.89 | 4.833 | ||
| 65.91% | 78.18% | 1.41% | 65.67% | 78.11% | 1.43% | |||
| s/d = 0.26 | Manjil Abbar | 0.8 | 11.88 | 84.15 | 6.696 | 11.97 | 84.47 | 6.696 |
| 2.4 | 17.26 | 141.14 | 6.722 | 17.35 | 141.46 | 6.723 | ||
| 31.17% | 40.38% | 0.39% | 31.01% | 40.29% | 0.40% | |||
| Hektor Mine | 0.8 | 15.51 | 112.47 | 7.333 | 15.71 | 113.20 | 7.334 | |
| 2.4 | 54.93 | 463.45 | 7.456 | 55.13 | 464.17 | 7.457 | ||
| 71.76% | 75.73% | 1.65% | 71.50% | 75.61% | 1.65% | |||
| Düzce | 0.8 | 9.01 | 71.60 | 4.762 | 9.09 | 71.90 | 4.762 | |
| 2.4 | 26.05 | 323.59 | 4.820 | 26.14 | 323.89 | 4.823 | ||
| 65.42% | 77.87% | 1.20% | 65.23% | 77.80% | 1.26% | |||
Disclaimer/Publisher’s Note: The statements, opinions and data contained in all publications are solely those of the individual author(s) and contributor(s) and not of MDPI and/or the editor(s). MDPI and/or the editor(s) disclaim responsibility for any injury to people or property resulting from any ideas, methods, instructions or products referred to in the content. |
© 2025 by the authors. Licensee MDPI, Basel, Switzerland. This article is an open access article distributed under the terms and conditions of the Creative Commons Attribution (CC BY) license (https://creativecommons.org/licenses/by/4.0/).
Share and Cite
Teberik, S.; Celik, F.; Aydin, E. Influence of Bracing Systems on Pile Design Parameters: A Structure–Soil–Pile Interaction Approach. Buildings 2025, 15, 764. https://doi.org/10.3390/buildings15050764
Teberik S, Celik F, Aydin E. Influence of Bracing Systems on Pile Design Parameters: A Structure–Soil–Pile Interaction Approach. Buildings. 2025; 15(5):764. https://doi.org/10.3390/buildings15050764
Chicago/Turabian StyleTeberik, Seyma, Fatih Celik, and Ersin Aydin. 2025. "Influence of Bracing Systems on Pile Design Parameters: A Structure–Soil–Pile Interaction Approach" Buildings 15, no. 5: 764. https://doi.org/10.3390/buildings15050764
APA StyleTeberik, S., Celik, F., & Aydin, E. (2025). Influence of Bracing Systems on Pile Design Parameters: A Structure–Soil–Pile Interaction Approach. Buildings, 15(5), 764. https://doi.org/10.3390/buildings15050764







