Study on the Optimal Construction Time of Adjacent Pile Foundation Considering the Thermal Stability of the Existing Pile Foundation
Abstract
1. Introduction
2. Geometric Model and Method
2.1. Geometric Model
2.2. Governing Equations
2.3. Boundary Conditions
2.4. Initial Condition
2.5. Concrete Hydration Heat
3. Results and Analysis
3.1. Temperature Field Distribution of Pile Foundations
3.2. Effect of Thermal Disturbance of New Pile Construction on Existing Pile Foundations
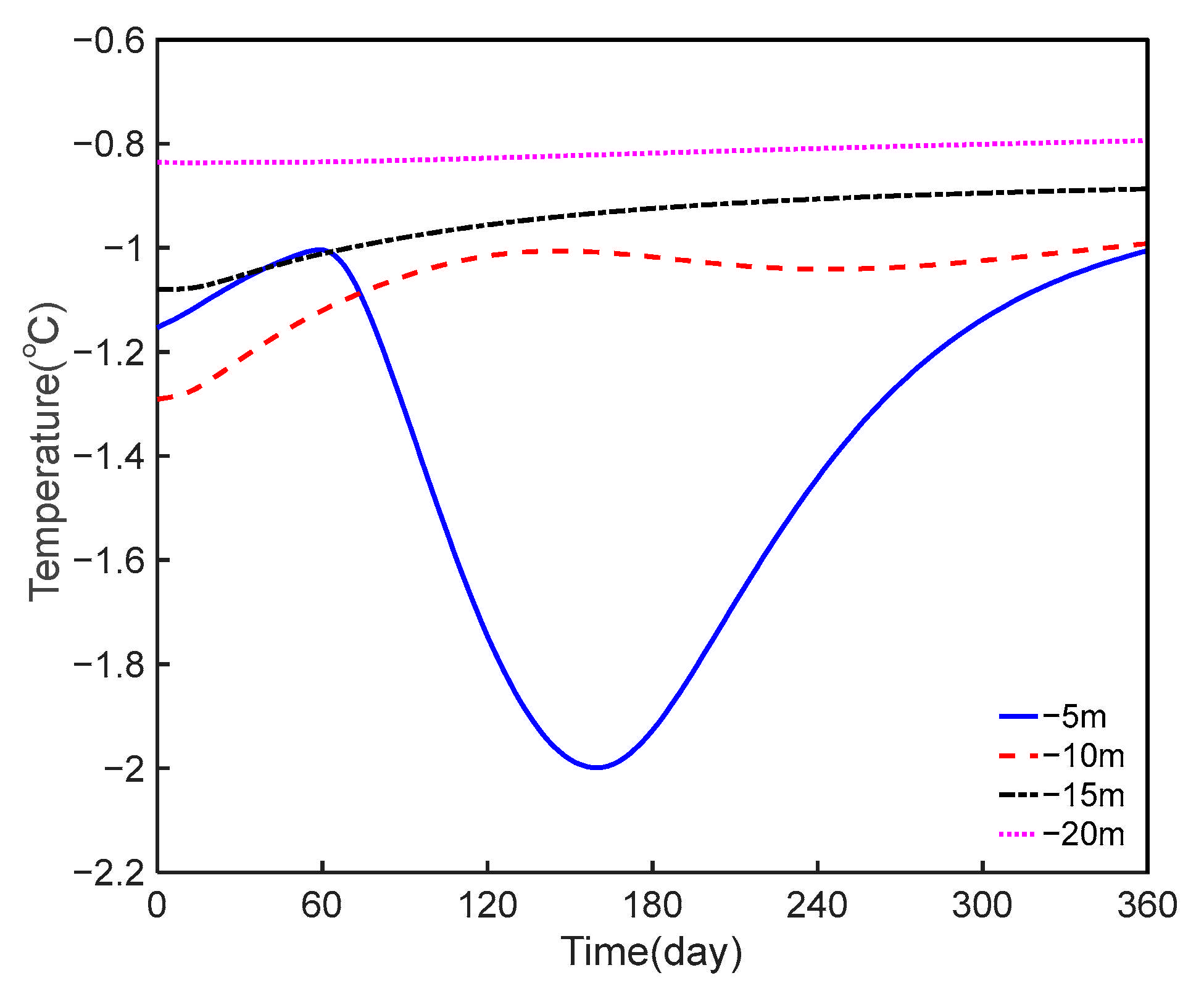
3.3. Temperature Variation Characteristics at Different Depths of Existing Pile Foundations over Time
3.4. Temperature Variation Characteristics of New Pile Foundations over Time
4. Discussion
5. Conclusions
Author Contributions
Funding
Data Availability Statement
Acknowledgments
Conflicts of Interest
References
- Cheng, G.; Sun, Z.; Niu, F. Application of the Roadbed Cooling Approach in Qinghai–Tibet Railway Engineering. Cold Reg. Sci. Technol. 2008, 53, 241–258. [Google Scholar] [CrossRef]
- Wang, S.; Chen, J.; Zhang, J.; Li, Z. Development of Highway Constructing Technology in the Permafrost Region on the Qinghai-Tibet Plateau. Sci. China Ser. E-Technol. Sci. 2009, 52, 497–506. [Google Scholar] [CrossRef]
- Zhang, S.; Niu, F.; Wang, S.; Sun, Y.; Wang, J.; Dong, T. Risk Assessment of Engineering Diseases of Embankment–Bridge Transition Section for Railway in Permafrost Regions. Permafr. Periglac. Process. 2022, 33, 46–62. [Google Scholar] [CrossRef]
- Guo, D.; Wang, H. Permafrost Degradation and Associated Ground Settlement Estimation under 2 °C Global Warming. Clim. Dyn. 2017, 49, 2569–2583. [Google Scholar] [CrossRef]
- Biskaborn, B.K.; Smith, S.L.; Noetzli, J.; Matthes, H.; Vieira, G.; Streletskiy, D.A.; Schoeneich, P.; Romanovsky, V.E.; Lewkowicz, A.G.; Abramov, A.; et al. Permafrost Is Warming at a Global Scale. Nat. Commun. 2019, 10, 264. [Google Scholar] [CrossRef]
- Jin, H.-J.; Wu, Q.-B.; Romanovsky, V.E. Degrading Permafrost and Its Impacts. Adv. Clim. Change Res. 2021, 12, 1–5. [Google Scholar] [CrossRef]
- Dourado, J.B.d.O.L.; Deng, L.; Chen, Y.; Chui, Y.-H. Foundations in Permafrost of Northern Canada: Review of Geotechnical Considerations in Current Practice and Design Examples. Geotechnics 2024, 4, 285–308. [Google Scholar] [CrossRef]
- Allen, J.; Huck, R.W. Frost Heaving of Piles in Permafrost; American Society of Civil Engineers: New York, NY, USA, 1972. [Google Scholar]
- Ivanin, A.S.; Kumallagov, V.A.; Smirnov, N.V. Field and Laboratory Studies of the Effect of Frost Heaving Tangential Forces on Pile Foundations. Sci. Technol. Oil Oil Prod. Pipeline Transp. 2020, 10, 460–469. [Google Scholar] [CrossRef]
- Lai, Y.; Xu, X.; Dong, Y.; Li, S. Present Situation and Prospect of Mechanical Research on Frozen Soils in China. Cold Reg. Sci. Technol. 2013, 87, 6–18. [Google Scholar] [CrossRef]
- Penner, E.; Gold, L.W. Transfer of Heaving Forces by Adfreezing to Columns and Foundation Walls in Frost-Susceptible Soils. Can. Geotech. J. 1971, 8, 514–526. [Google Scholar] [CrossRef]
- Mi, W. Study on Stability of Bridge Pile Foundation in Permafrost Area along Qinghai-Tibet Railway. J. Railw. Eng. Soc. 2010, 27, 15–19. [Google Scholar]
- Cao, Y. Study on Design of Pile Foundation in Permafrost Area on Qinghai-Tibet Railway Line. J. Railw. Eng. Soc. 2004, 21, 127–131. [Google Scholar]
- Yaping, W.; Luxin, Z.; Shiyun, Z. Nonlinear Analysis of Ground Refreezing Processfor Pile Group Bridge Foundation in Permafrost. China Civ. Eng. J. 2006, 39, 78–84. [Google Scholar]
- Wu, Q.; Ma, W.; Lai, Y.; Cheng, G. Permafrost Degradation Threatening the Qinghai–Xizang Railway. Engineering, 2024; in press. [Google Scholar] [CrossRef]
- Chen, K.; Yu, Q.; Guo, L.; Zhang, G.; Zhang, D. A Fast-Freezing System to Enhance the Freezing Force of Cast-in-Place Pile Quickly in Permafrost Regions. Cold Reg. Sci. Technol. 2020, 179, 103140. [Google Scholar] [CrossRef]
- Aksenov, V.I.; Kistanov, O.G. Estimation of Resistance Components to an Axial Load on Piles Embedded in Permafrost. Soil Mech. Found. Eng. 2008, 45, 71–75. [Google Scholar] [CrossRef]
- Shang, Y.; Niu, F.; Wu, X.; Liu, M. A Novel Refrigerant System to Reduce Refreezing Time of Cast-in-Place Pile Foundation in Permafrost Regions. Appl. Therm. Eng. 2018, 128, 1151–1158. [Google Scholar] [CrossRef]
- Jin, H.; Huang, Y.; Bense, V.F.; Ma, Q.; Marchenko, S.S.; Shepelev, V.V.; Hu, Y.; Liang, S.; Spektor, V.V.; Jin, X.; et al. Permafrost Degradation and Its Hydrogeological Impacts. Water 2022, 14, 372. [Google Scholar] [CrossRef]
- Shi, X.; Li, D.; Zhang, Z. Research on Bearing Capacity of Pile Foundation with Impact of Subpermafrost Water; Springer International Publishing: Cham, Switzerland, 2018. [Google Scholar]
- Tang, L.; Wang, K.; Deng, L.; Yang, G.; Chen, J.; Jin, L. Axial Loading Behaviour of Laboratory Concrete Piles Subjected to Permafrost Degradation. Cold Reg. Sci. Technol. 2019, 166, 102820. [Google Scholar] [CrossRef]
- Chen, Z. Thermal Stability of Fabricated Foundations with Different Warming Patterns in Permafrost Regions. China Earthq. Eng. J. 2013, 35, 876–884. [Google Scholar]
- You, Y.; Wang, J.; Wu, Q.; Yu, Q.; Pan, X.; Wang, X.; Guo, L. Causes of pile foundation failure in permafrost regions: The case study of a dry bridge of the Qinghai-Tibet Railway. Eng. Geol. 2017, 230, 95–103. [Google Scholar] [CrossRef]
- Qiu, K.; Yu, W.; Kong, X.; Han, F.; Zhao, Y. Investigation on the bearing capacity evolution of building pile foundation during permafrost degradation. Cold Reg. Sci. Technol. 2024, 221, 104152. [Google Scholar] [CrossRef]
- Hou, X.; Chen, J.; Yang, B.; Wang, J.; Dong, T.; Rui, P.; Mei, Q. Monitoring and simulation of the thermal behavior of cast-in-place pile group foundations in permafrost regions. Cold Reg. Sci. Technol. 2022, 196, 103486. [Google Scholar] [CrossRef]
- Zhi, W.; Yu, S.; Wei, M.; Jilin, Q.; Wu, J. Analysis on Effect of Permafrost Protection by Two-Phase Closed Thermosyphon and Insulation Jointly in Permafrost Regions. Cold Reg. Sci. Technol. 2005, 43, 150–163. [Google Scholar] [CrossRef]
- Niu, F.; Shang, Y.; Luo, J.; Liu, M.; Gao, Z.; Yuan, K.; Chen, D. Cooling Effect of Two-Phase Closed Thermosyphons on a Cast-In-Place Pile Foundation in a Permafrost Region. J. Cold Reg. Eng. 2025, 39, 04024042. [Google Scholar] [CrossRef]
- Comini, G.; Guidice, S.D.; Lewis, R.W.; Zienkiewicz, O.C. Finite Element Solution of Non-linear Heat Conduction Problems with Special Reference to Phase Change. Int. J. Numer. Methods Eng. 1974, 8, 613–624. [Google Scholar] [CrossRef]
- Shi, X. Study on the Thermostability of Pile Foundation Under Subpermafrost Water. Master’s Thesis, Lanzhou Jiaotong University, Lanzhou, China, 2016. [Google Scholar]
- Zhu, L.N. Study of the Adherent Layer on Different Types of Ground in Permafrost Regions on the Qinghai-Xizang Plateau. J. Glaciol. Geocryol. 1988, 10, 8–14. [Google Scholar]
- Ballim, Y.; Graham, P.C. A Maturity Approach to the Rate of Heat Evolution in Concrete. Mag. Concr. Res. 2003, 55, 249–256. [Google Scholar] [CrossRef]
- Kramer, S.L. Geotechnical Earthquake Engineering; Prentice Hall: Upper Saddle River, NJ, USA, 1996; p. 07458. [Google Scholar]
- Avilés, J.; Suárez, M. Effective Periods and Dampings of Building-Foundation Systems Including Seismic Wave Effects. Eng. Struct. 2002, 24, 553–562. [Google Scholar] [CrossRef]
- Forcellini, D. A Novel Framework to Assess Soil Structure Interaction (SSI) Effects with Equivalent Fixed-Based Models. Appl. Sci. 2021, 11, 10472. [Google Scholar] [CrossRef]









| Lithology | Depth (m) | (%) | (kJ/(m3·K)) | (kJ/(m3·K)) | (W/(m·K)) | (W/(m·K)) |
|---|---|---|---|---|---|---|
| Fine angular gravel | −1.0–0 | 18.0 | 1911 | 1577 | 1.11 | 1.26 |
| Fine sand | −5.0–−1.0 | 15.0 | 1834 | 1525 | 1.29 | 1.43 |
| Weathered bedrock | −20.0–−5.0 | 12.0 | 2549 | 2140 | 1.49 | 1.61 |
| −50.0–−20.0 | 10.0 | 2390 | 2021 | 1.52 | 1.63 |
| Month | 1 | 3 | 5 | 7 | 9 | 11 |
|---|---|---|---|---|---|---|
| /2 | /6 | /6 | /2 | /6 | /6 |
Disclaimer/Publisher’s Note: The statements, opinions and data contained in all publications are solely those of the individual author(s) and contributor(s) and not of MDPI and/or the editor(s). MDPI and/or the editor(s) disclaim responsibility for any injury to people or property resulting from any ideas, methods, instructions or products referred to in the content. |
© 2025 by the authors. Licensee MDPI, Basel, Switzerland. This article is an open access article distributed under the terms and conditions of the Creative Commons Attribution (CC BY) license (https://creativecommons.org/licenses/by/4.0/).
Share and Cite
Shi, X.; Wang, Y.; Zhou, Z.; Huang, L. Study on the Optimal Construction Time of Adjacent Pile Foundation Considering the Thermal Stability of the Existing Pile Foundation. Buildings 2025, 15, 684. https://doi.org/10.3390/buildings15050684
Shi X, Wang Y, Zhou Z, Huang L. Study on the Optimal Construction Time of Adjacent Pile Foundation Considering the Thermal Stability of the Existing Pile Foundation. Buildings. 2025; 15(5):684. https://doi.org/10.3390/buildings15050684
Chicago/Turabian StyleShi, Xiangyang, Yunxing Wang, Ziqiang Zhou, and Long Huang. 2025. "Study on the Optimal Construction Time of Adjacent Pile Foundation Considering the Thermal Stability of the Existing Pile Foundation" Buildings 15, no. 5: 684. https://doi.org/10.3390/buildings15050684
APA StyleShi, X., Wang, Y., Zhou, Z., & Huang, L. (2025). Study on the Optimal Construction Time of Adjacent Pile Foundation Considering the Thermal Stability of the Existing Pile Foundation. Buildings, 15(5), 684. https://doi.org/10.3390/buildings15050684
