Compressive Strength of Concrete-Filled Steel Pipe Pile Head with Inner Ribs
Abstract
1. Introduction
1.1. Research Backgound
1.2. Related Previous Research and Issues for Consideration
- The stress transfer mechanism via inner ribs transferring forces from the steel pipe to the filled concrete and the load-bearing mechanism of the steel pipe pile head section when the local buckling of the steel pipe and the damage to the infill concrete progress simultaneously.
- The evaluation of the local buckling strength of the steel pipe and whether the filled concrete provides a restraining effect against buckling progression.
- The evaluation of the bearing strength of the infill concrete under pressure from the inner ribs.
- In related references, the stress transfer mechanism from the steel pipe to the filled concrete via inner ribs has remained unclear.
- In the presence of concrete on the side surface of the thin-plate steel element, it has been noted in reference [30] that the progression of local buckling is restrained, leading to an increase in the strength of the steel pipe. However, in references [24,25,26,27], the local buckling restraint effect of the filled concrete has not been clearly identified, nor has it been explicitly addressed.
- Under the current guidelines, the bearing capacity of filled concrete for shear connectors adopts the bearing capacity formula based on the results of concrete push-out tests from references [28], and the bearing capacity is considered for the number of inner ribs. However, in the concrete-filled steel pipe pile head shown in Figure 1, the stress in the steel pipe is not entirely transferred to the infill concrete, as in push-out tests. Instead, the steel pipe and the infill concrete act as parallel springs. Therefore, it remains unclear whether the bearing stress carried by the inner ribs at the ultimate state of the concrete-filled steel pipe pile head reaches the concrete bearing strength specified in reference [28].
1.3. Research Purpose
2. Compression Loading Tests on the Concrete-Filled Steel Pipe Pile Head
2.1. Test Setup and Test Parameters
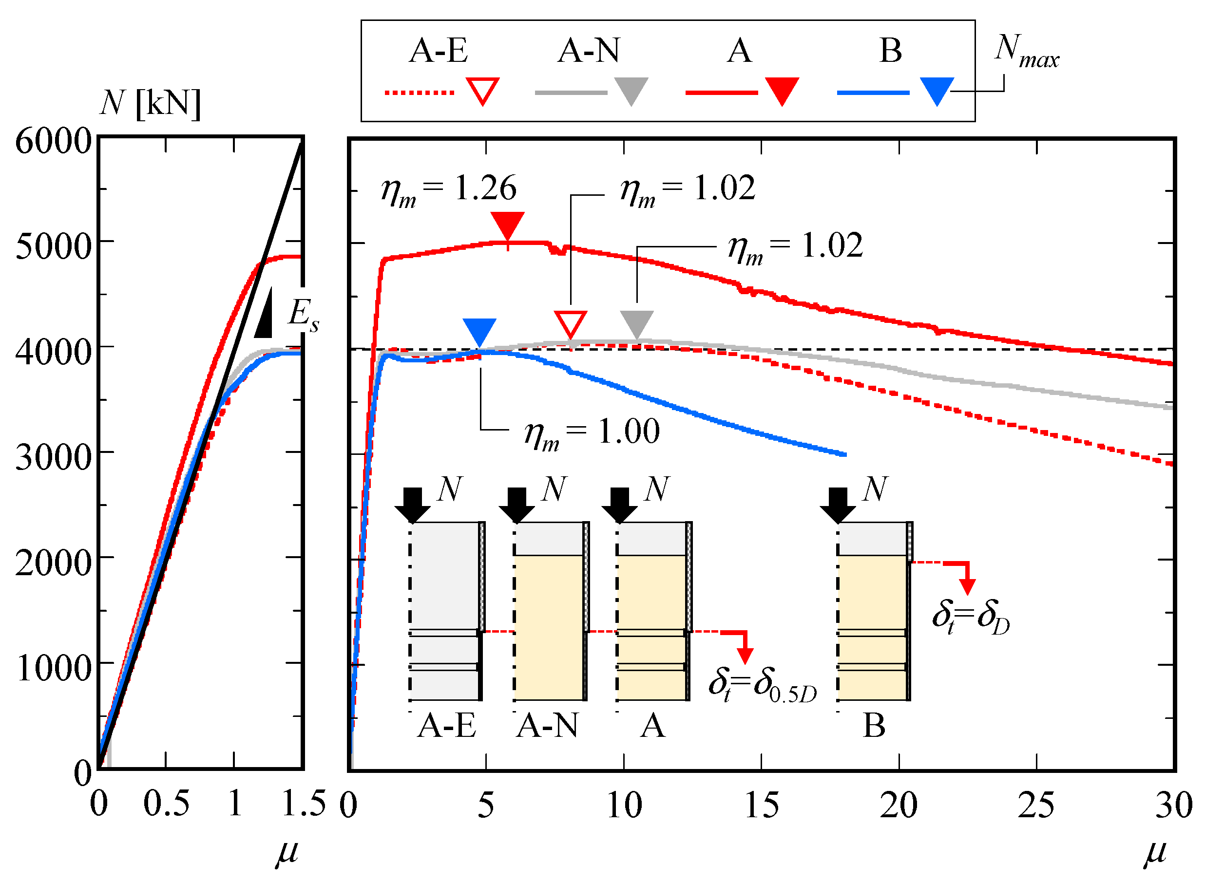
- Specimen A-E, a hollow steel pipe with two inner ribs and a TEST Section length of l = 0.5D, which corresponds to Specimen A without infill concrete.
- Specimen A-N, a hollow steel pipe without inner ribs but filled with concrete, corresponding to Specimen A without inner ribs.
- Specimen B, a variation of Specimen A where the length of the TEST Section is increased to l = 1.0D.
2.2. Maximum Strength and Failure Mode
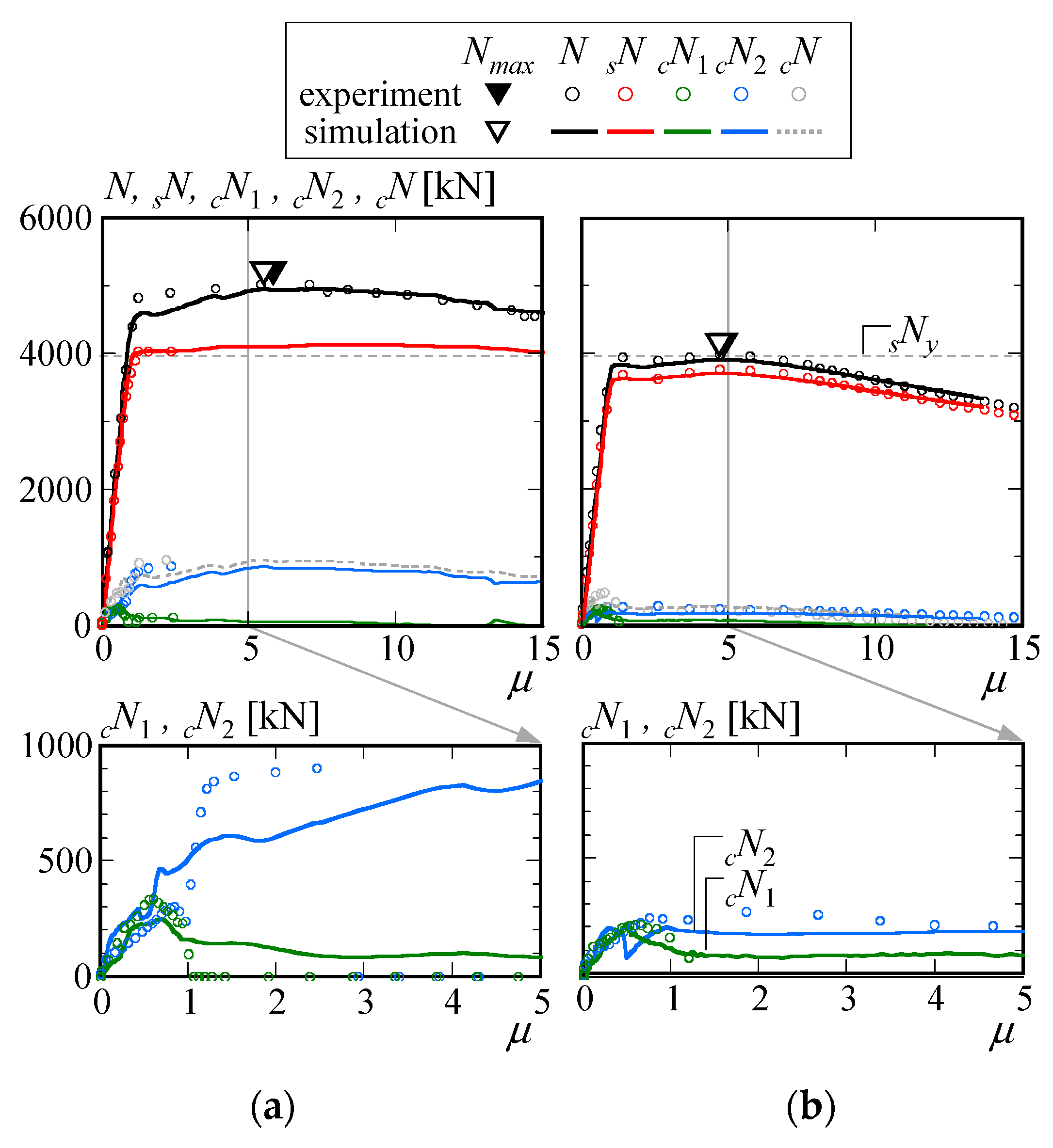
2.3. Stress Transfer Mechanism Between Steel Pipe and Infill Concrete
3. Analytical Model to Simulate Compressive Behavior of the Concrete-Filled Steel Pipe Pile Head
3.1. Configuration of Analytical Model
3.2. Interface Modeling Between Steel and Infill Concrete
3.3. Constitutive Models for Infill Concrete and Steel Pipe
3.4. Initial Imperfection
3.5. Reproduction Analysis Results and Stress Transmission from Steel Pipe to Infill Concrete
4. Simulation Analysis of Concrete Bearing Strength Under Inner Rib-Induced Pressure Based on Previous Push-out Test
4.1. Configuration of Analytical Model
4.2. Simulation Analysis Results of Push-out Test
5. Evaluation of Compressive Strength for the Concrete-Filled Steel Pipe Pile Head
5.1. Simulation Parameters
5.2. Stress Increase Ratio of Steel Pipes for Concrete-Infill Steel Pipe Pile Head
5.3. Adjustment Factor for Bearing Strength of Infill Concrete Under Rib-Induced Pressure
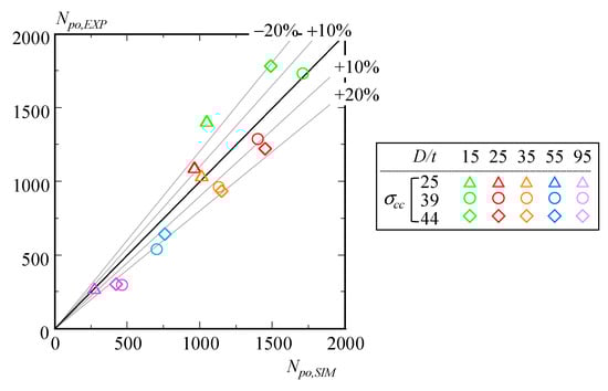
5.4. Ultimate Compressive Strength of the Concrete-Filled Steel Pipe Pile Heads
6. Conclusions
- (1)
- The compression experiments (Section 2) and numerical simulations (Section 3) conducted on the concrete-filled steel pipe pile head (D/t = 54) with two inner ribs arranged in accordance with Japanese specifications [33] demonstrated the compressive strength of the pile head significantly increases when inner ribs are installed inside the steel pipe. It was observed that the local buckling of the steel pipe occurred between the two ribs, and the infill concrete beneath inner rib 2, located farther from the pile head, experienced bearing failure due to the bearing pressure transmitted from the inner rib. The experiments and simulations revealed that under conditions where yielding and local buckling of the steel pipe progressed, inner rib 2 primarily transmitted stress to the filled concrete, while inner rib 1 contributed minimally to compressive force transmission.
- (2)
- Based on the compression experiments in Section 2 and the numerical simulations in Section 5, within the scope of this study, no significant effect was observed on the local buckling strength of the steel pipe due to the presence of filled concrete or the welding of inner ribs to the inner surface of the steel tube. The steel tube section at the concrete-filled steel pipe pile head with inner ribs was found to fully demonstrate the ultimate compressive strength equivalent to that of the steel pipe alone.
- (3)
- It was demonstrated that the bearing resistance of the concrete, provided by the inner ribs, at the ultimate state of the concrete-filled steel pipe pile head under compressive force does not reach the push-out resistance obtained from push-out tests on concrete-filled steel pipes with inner ribs (Equation (14) [28]). This is because, in the concrete-filled steel pipe pile head, the steel pipe and the infill concrete share the compressive force in a parallel spring mechanism. Equation (15) was proposed as the evaluation formula for the bearing resistance of concrete provided by the inner ribs in the compressive strength of the concrete-filled steel pipe pile head.
- (4)
- The compressive strength of the concrete-filled steel pipe pile head can be evaluated as the sum of the steel pipe’s compressive strength and the bearing resistance provided by a single layer of inner ribs (Equations (16)–(18)). In Section 5, the average stress increase ratio ηs,m derived from previous experimental results (Equation (8) [53]) was adopted to evaluate the compressive strength of the steel pipe alone. However, for design purposes, it is recommended to use a formula that, in some cases, provides a lower bound.
Author Contributions
Funding
Data Availability Statement
Acknowledgments
Conflicts of Interest
References
- Kaneko, O.; Nakai, S.; Abe, A.; Iiba, M.; Kuze, N.; Hirade, T. Situations and Analysis of Damage to Pile Foundation of Buildings in 2011 Great East Japan Earthquake. Jpn. Geotech. Soc. J. 2012, 62, 16–19. (In Japanese) [Google Scholar]
- TECHNICAL NOTE National Institute for Land and Infrastructure Management. Quick Report of the Field Survey and the Building Damage by the 2024 Noto Peninsula Earthquake. 2024. Available online: https://www.nilim.go.jp/lab/bcg/siryou/tnn/tnn1296.htm (accessed on 22 January 2025). (In Japanese).
- Tamura, M.; Niita, R. Why did the 7-story RC building in Wajima over turn? -Secondary bearing capacity of pipe caps and foundation beams. In Summaries of Technical Papers of Annual Meeting of Architectural Institute of Japan, Structure I; The Architectural Institute of Japan: Tokyo, Japan, 2024; pp. 397–398. (In Japanese) [Google Scholar]
- Architectural Institute of Japan (AIJ). Recommendation for Design of Building Foundation; Maruzen Publishing Co., Ltd.: Tokyo, Japan, 2019. (In Japanese) [Google Scholar]
- Architectural Institute of Japan (AIJ). Strength and Deformation Capacity of Foundation Structural Members; Maruzen Publishing Co., Ltd.: Tokyo, Japan, 2022. (In Japanese) [Google Scholar]
- Kimura, Y.; Tokimatsu, K. Buckling Stress of Slender Piles with Rotational Restraint at the Pile Head in Liquefied Soil. J. Struct. Constr. Eng. (Trans. AIJ) 2009, 74, 721–730. (In Japanese) [Google Scholar] [CrossRef]
- Kimura, Y.; Tokimatsu, K. Ultimate Vertical Strength and Ultimate Flexural Moment of Steel Pile subjected to Vertical and Horizontal Load in Liquefied Soil. J. Struct. Constr. Eng. (Trans. AIJ) 2012, 77, 775–781. (In Japanese) [Google Scholar] [CrossRef]
- Kimura, Y.; Kishino, Y.; Tamura, S. Dynamic Flexural Buckling for Circular Tube Piles based on Centrifuge Tests of Superstructure-Pile-Liquefied Soil system. J. Struct. Constr. Eng. (Trans. AIJ) 2015, 80, 1707–1716. (In Japanese) [Google Scholar] [CrossRef]
- Kimura, Y.; Goto, T.; Matoba, M.; Tamura, S. Dynamic Collapse Mechanism and Ultimate Strength for Circular Tube Pile based on Centrifuge Tests of Superstructure-Pile-Liquefied Soil System. Struct. Constr. Eng. (Trans. AIJ) 2016, 81, 2079–2089. (In Japanese) [Google Scholar] [CrossRef]
- Kimura, Y.; Matoba, M.; Goto, T.; Tamura, S. Dynamic Ultimate Strength for Circular Pile Stiffened at Pile Head based on Centrifuge Tests of Superstructure-Pile-Liquefied Soil System. J. Struct. Constr. Eng. (Trans. AIJ) 2017, 82, 1221–1231. (In Japanese) [Google Scholar] [CrossRef][Green Version]
- Kimura, Y.; Matoba, M.; Tamura, S. Collapse Mechanism of Steel Piles in Liquefied Soil Based on Centrifugal Tests of Superstructure-pile Foundation and Liquefied Soil System with High Height-To-Width Aspect Ratio of Building. J. Struct. Constr. Eng. (Trans. AIJ) 2021, 86, 53–63. (In Japanese) [Google Scholar] [CrossRef]
- Matoba, M.; Kimura, Y.; Tamura, S. Cumulative Damage Evaluation For Collapse of Steel Pile in Liquefied Soil Subjected to Multiple Earthquakes Based on Centrifugal Tests of Superstructure-pile Foundation and Liquefied Soil System. J. Struct. Constr. Eng. (Trans. AIJ) 2021, 86, 749–760. (In Japanese) [Google Scholar] [CrossRef]
- Kimura, Y.; Suzuki, A. Flexural buckling load of steel pipe piles with rotational end restraints in liquefied soil. Soil Dyn. Earthq. Eng. 2025, 190, 109217. [Google Scholar] [CrossRef]
- EN 1998-1; Eurocode-8: Design of Structures for Earthquake Resistance—Part 5: Foundation Retaining Structures and Geotechnical Aspects. European Committee for Standardization: Brussels, Belgium, 2004.
- Japan Road Association. Specifications for Highway Bridges Part 4: Foundation; Maruzen Publishing Co., Ltd.: Tokyo, Japan, 2017. (In Japanese) [Google Scholar]
- Barnwell, N.V. Experimental Testing of Shallow Embedded Connections Between Steel Columns and Concrete Footings. Master’s Thesis, Department of Civil and Environmental Engineering, Brigham Young University, Provo, UT, USA, 2015. [Google Scholar]
- Architectural Institute of Japan (AIJ). Recommendation for Design of Building Foundation; Maruzen Publishing Co., Ltd.: Tokyo, Japan, 2001. (In Japanese) [Google Scholar]
- Shiozaki, Y.; Nakao, T.; Ozutsumi, O.; Miyashita, K. A Numerical Simulation of Open-Type Wharves on Vertical Piles by the Two-Dimensional Effective Stress Analysis Considering Local Buckling. J. Jpn. Soc. Civ. Eng. 2015, 71, I-537–I-546. (In Japanese) [Google Scholar] [CrossRef]
- Shiozaki, Y.; Ohya, Y.; Kohama, E.; Kawabata, Y. M-Φ Characteristics of Steel Pipe Piles Considering Local Buckling. J. Jpn. Soc. Civ. Eng. 2017, 73, I-372–I-377. (In Japanese) [Google Scholar] [CrossRef]
- Shiozaki, Y.; Ohya, Y.; Kohama, E. M-Φ Characteristics of High-Strength Steel Pipe Piles Considering Local Buckling. J. Jpn. Soc. Civ. Eng. 2018, 74, I-847–I-863. (In Japanese) [Google Scholar] [CrossRef] [PubMed]
- EN 1994-1-1; Eurocode-4: Design of Composite Steel and Concrete Structures—Part 1-1: General Rules and Rules for Buildings. European Committee for Standardization: Brussels, Belgium, 2004.
- Architectural Institute of Japan (AIJ). Recommendations for Design and Construction of Concrete Filled Steel Tubular Structures; Maruzen Publishing Co., Ltd.: Tokyo, Japan, 2008. (In Japanese) [Google Scholar]
- Matoba, M.; Goto, H.; Endo, S.; Kimura, Y. Evaluation for Ultimate Strength of Concrete Filled Steel Tube Pile Collapses with Dynamic Buckling in Liquefied Soil Based on Centrifugal Test. J. Struct. Constr. Eng. (Trans. AIJ) 2022, 87, 1036–1046. (In Japanese) [Google Scholar] [CrossRef]
- Goto, Y.; Kumar, G.; Kawanishi, N. FEM Analysis for Hysteretic Behavior of CFT Bridge Piers Considering Interaction Between Steel Tube and Infilled Concrete. J. Jpn. Soc. Civ. Eng. A 2009, 66, 487–504. [Google Scholar] [CrossRef]
- Goto, Y.; Kumar, G.; Kawanishi, N. Nonlinear Finite-Element Analysis for Hysteretic Behavior of Thin-Walled Circular Steel Columns with In-Filled Concrete. J. Struct. Eng. 2010, 136, 1413–1422. [Google Scholar] [CrossRef]
- Goto, Y.; Ebisawa, T.; Lu, X. Local Buckling Restraining Behavior of Thin-Walled Circular CFT Columns under Seismic Loads. J. Struct. Eng. 2013, 140, 04013105. [Google Scholar] [CrossRef]
- Hirose, T.; Yanagi, Y.; Ichikawa, K.; Takano, K.; Kimura, Y. Evaluation of Ultimate Bending Strength and Deformation Capacity at Concrete Filled Part of Steel Pipe Pile. Struct. Constr. Eng. (Trans. AIJ) 2022, 798, 737–750. (In Japanese) [Google Scholar] [CrossRef]
- Miyao, T.; Nakamura, N.; Sugiyama, T. Evaluation of Bearing Strength of Backing Rings for Concrete Filled Tube. J. Technol. Des. (Trans. AIJ) 1997, 4, 51–61. (In Japanese) [Google Scholar] [CrossRef]
- Toyama, M.; Yanagi, Y.; Hirose, T.; Masuda, T.; Takano, K.; Suzuki, M.; Wakiya, Y. Studies of Rigid Pile Head Connection for Steel Pipe Pile (No. 5–7). In Summaries of Technical Papers of Annual Meeting of Architectural Institute of Japan, Structure I; The Architectural Institute of Japan: Tokyo, Japan, 2007; pp. 547–552. (In Japanese) [Google Scholar]
- Chen, R.-S.; Zhang, H.-Y.; Hao, X.-K.; Yu, H.-X.; Shi, T.; Zhou, H.-S.; Wang, R.-B.; Zhao, Z.-F.; Wang, P. Experimental Study on Ultimate Bearing Capacity of Short Thin-Walled Steel Tubes Reinforced with High-Ductility Concrete. Structures 2024, 68, 107109. [Google Scholar] [CrossRef]
- JIS G 3101:2015; Rolled Steels for General Structure. Japanese Standards Association: Tokyo, Japan, 2010. (In Japanese)
- JIS G 3444:2015; Carbon Steel Tubes for General Structure. Japanese Standards Association: Tokyo, Japan, 2010. (In Japanese)
- Japanese Technical Association for Steel Pipe Piles and Sheet Piles (JASPP). Standardization of Accessories for Steel Pipe Piles and Steel Pipe Sheet Piles, 10th ed.; Japanese Technical Association: Tokyo, Japan, 2015. (In Japanese) [Google Scholar]
- JIS Z 2241:2011; Metallic Materials-Tensile Testing-Method of Test at Room Temperature. Japanese Standards Association: Tokyo, Japan, 2011. (In Japanese)
- Architectural Institute of Japan (AIJ). Standard for Structural Calculation of Steel Reinforced Concrete Structures—Based on Allowable Stress Concept and Lateral Load Carrying Capacity; Maruzen Publishing Co., Ltd.: Tokyo, Japan, 2015. (In Japanese) [Google Scholar]
- Dassault Systèmes. ABAQUS/Standard User’s Manual, Version 6.14-2; Dassault Systèmes: Vélizy-Villacoublay, France, 2014. [Google Scholar]
- Hu, H.-T.; Huang, C.-S.; Wu, M.-H.; Wu, Y.-M. Nonlinear Analysis of Axially Loaded Concrete-Filled Tube Columns with Confinement Effect. J. Struct. Eng. 2003, 129, 1322–1329. [Google Scholar] [CrossRef]
- Wang, Z.-B.; Tao, Z.; Han, L.-H.; Uy, B.; Lam, D.; Kang, W.-H. Strength, Stiffness, and Ductility of Concrete-Filled Steel Columns under Axial Compression. Eng. Struct. 2017, 135, 209–221. [Google Scholar] [CrossRef]
- Ozkan, I.F.; Mohareb, M. Testing and Analysis of Steel Pipes under Bending, Tension, and Internal Pressure. J. Struct. Engineering. 2009, 135, 187–197. [Google Scholar] [CrossRef]
- Huang, H.; Guo, M.; Zhang, W.; Zeng, J.; Yang, K.; Bai, H. Numerical investigation on the bearing capacity of RC columns strengthened by HPFL-BSP under combined loadings. J. Build. Eng. 2021, 39, 102266. [Google Scholar] [CrossRef]
- Zhou, X.; Lu, D.; Du, X.; Wang, G.; Meng, F. A 3D non-orthogonal plastic damage model for concrete. Comput. Methods Appl. Mech. Eng. 2020, 360, 112716. [Google Scholar] [CrossRef]
- Lee, J.; Fenves, G.L. Plastic-Damage Model for Cyclic Loading of Concrete Structures. J. Eng. Mech. ASCE 1998, 124, 892–900. [Google Scholar] [CrossRef]
- Suzuki, A.; Kimura, Y. Mechanical Performance of Stud Connection in Steel-Concrete Composite Beam under Reversed Stress. Eng. Struct. 2021, 249, 113338. [Google Scholar] [CrossRef]
- Nguyen, H.; Kim, S. Finite Element Modeling of Push-Out Tests for Large Stud Shear Connectors. J. Constr. Steel Res. 2009, 65, 1909–1920. [Google Scholar] [CrossRef]
- Nishimoto, D.; Shioya, S.; Masuda, Y. Numerical Simulation of Stress Distribution of Concrete-Filled Square Steel Pipe Subjected to Uniaxial Force. Proc. Jpn. Concr. Inst. 2006, 28, 121–126. (In Japanese) [Google Scholar] [CrossRef]
- Uchida, Y.; Rokugo, K.; Koyanagi, W. Determination of Tension Softening Diagrams of Concrete by Means of Bending Tests. J. Jpn. Soc. Civ. Eng. A 1991, 426, 203–212. [Google Scholar] [CrossRef]
- Tachibana, Y.; Nakamura, S.; Mihashi, H. Fundamental Evaluation Method of Bilinear Tension Softening Curve of Concrete. Proc. Jpn. Concr. Inst. 1998, 20. (In Japanese) [Google Scholar]
- Architectural Institute of Japan (AIJ). Standard for Structural Calculation of Reinforced Concrete Structures; Maruzen Publishing Co., Ltd.: Tokyo, Japan, 2018. [Google Scholar]
- EN 1992-1-1; Eurocode-2: Design of Concrete Structures—Part 1-1: General Rules and Rules for Buildings. European Committee for Standardization: Brussels, Belgium, 2004.
- Tanigawa, Y.; Hatanaka, S. Stress-Strain Curve Formula for Stress Degrading Stage of Various Types of Concrete. Summ. Tech. Pap. Annu. Meet. Archit. Inst. Jpn. 1979, 54, 107–108. (In Japanese) [Google Scholar]
- Noguchi, T.; Tomosawa, F. Relationship between Compressive Strength and Various Mechanical Properties of High-Strength Concrete. Struct. Constr. Eng. (Trans. AIJ) 1995, 472, 11–16. (In Japanese) [Google Scholar] [CrossRef]
- Kato, T.; Akiyama, H.; Suzuki, H. Inelastic Local Buckling of Steel Circular Tubes Under Pure Compression. J. Struct. Constr. Eng. (Trans. AIJ) 1973, 204, 9–17. (In Japanese) [Google Scholar] [CrossRef]
- Ochi, K.; Kurobane, Y. Statistical Evaluation of Load-Carrying and Deformation Capacities of Cold-Formed Circular Tubular Members. J. Struct. Constr. Eng. (Trans. AIJ) 1998, 391, 691–714. (In Japanese) [Google Scholar] [CrossRef]
- Architectural Institute of Japan (AIJ). Standard for Structural Design and Construction of Prestressed Concrete Structures; Maruzen Publishing Co., Ltd.: Tokyo, Japan, 2009. [Google Scholar]
- ACI 318-08; Building Code Requirements for Structural Concrete. American Concrete Institute (ACI): Farmington Hills, MI, USA, 2019.
























| Specimen | TEST Section | LODATING Section | Inner Rib | Concrete | ||||||
|---|---|---|---|---|---|---|---|---|---|---|
| D | t | D/t | l | D’ | t’ | l’ | s | w | ||
| A-E | 488 | 9 | 54 | 244 | 508 | 19 | 294 | 6 | 25 | NAN |
| A-N | NAN | 1.0D | ||||||||
| A | 6 | 25 | 1.0D | |||||||
| B | 488 | 50 | 6 | 25 | 1.0D | |||||
| Steel Pile (TEST Section) | ||
| Young’s Modulus Es (×103 N/mm2) | yield Strength σsy (N/mm2) | Ultimate Strength σsu (N/mm2) |
| 200 | 298 | 431 |
| Concrete | ||
| Compressive Strength σcc (N/mm2) | Slitting Tensile Strength σcs (N/mm2) | |
| 28.8 | 3.7 | |
| Tension | Compression | |||||
|---|---|---|---|---|---|---|
| ascending region | Linear with stiffness of Ec | Euro Code [49] | ||||
| (3) | ||||||
| descending region | Uchida, et al. [46] | Modified Popovics [50] | ||||
| (1) | (4) | |||||
| (2) | [47] | m = 0.5: normal concrete | ||||
| n = 6.5: W/C = 65% | ||||||
| lel: representative element length | ||||||
| (5) | [51] | |||||
| Diameter-Thickness Ratio D/t | Compressive Strength σcc (N/mm2) |
|---|---|
| 15, 25, 35, 55, 95 | 25, 39, 44 |
| Model | Test Part | Inner Rib | Concrete | |||
|---|---|---|---|---|---|---|
| L | D | D/t | s | w | σcc | |
| Specimen model | 0.5D | 400 | 40, 54, 70, 120 | 6 | 25 | 20, 30, 40 |
| 488 | 6, 8 | 25 | ||||
| 600 | 6 | 32 | ||||
| Model | Test Part | Inner Rib | Concrete | |||
|---|---|---|---|---|---|---|
| L | D | D/t | s | w | σcc | |
| L3.0-rNAN | 3.0D | 500 | 30, 40, 45, 54, 70, 90, 120 | NAN | NAN | |
| L0.5-rNAN | 0.5D | NAN | ||||
| L0.5-r6 1 | 0.5D | 6 | 25 | |||
Disclaimer/Publisher’s Note: The statements, opinions and data contained in all publications are solely those of the individual author(s) and contributor(s) and not of MDPI and/or the editor(s). MDPI and/or the editor(s) disclaim responsibility for any injury to people or property resulting from any ideas, methods, instructions or products referred to in the content. |
© 2025 by the authors. Licensee MDPI, Basel, Switzerland. This article is an open access article distributed under the terms and conditions of the Creative Commons Attribution (CC BY) license (https://creativecommons.org/licenses/by/4.0/).
Share and Cite
Furukawa, S.; Sato, M.; Hirose, T.; Kimura, Y. Compressive Strength of Concrete-Filled Steel Pipe Pile Head with Inner Ribs. Buildings 2025, 15, 449. https://doi.org/10.3390/buildings15030449
Furukawa S, Sato M, Hirose T, Kimura Y. Compressive Strength of Concrete-Filled Steel Pipe Pile Head with Inner Ribs. Buildings. 2025; 15(3):449. https://doi.org/10.3390/buildings15030449
Chicago/Turabian StyleFurukawa, Sachi, Mutsuki Sato, Toshiharu Hirose, and Yoshihiro Kimura. 2025. "Compressive Strength of Concrete-Filled Steel Pipe Pile Head with Inner Ribs" Buildings 15, no. 3: 449. https://doi.org/10.3390/buildings15030449
APA StyleFurukawa, S., Sato, M., Hirose, T., & Kimura, Y. (2025). Compressive Strength of Concrete-Filled Steel Pipe Pile Head with Inner Ribs. Buildings, 15(3), 449. https://doi.org/10.3390/buildings15030449

