Dynamic Properties of a Rectangular Cantilever Aqueduct with a Baffle Considering Soil–Structure Interaction
Abstract
1. Introduction
2. Soil–Aqueduct–Liquid–Baffle Coupling Model
2.1. Model Assumption
2.2. Aqueduct–Liquid–Baffle Coupling Model
2.2.1. Subdomain Method for Liquid Sloshing
2.2.2. Orthogonality of Coupling Mode Shapes
2.2.3. Equivalent Dynamic Model for Liquid Sloshing
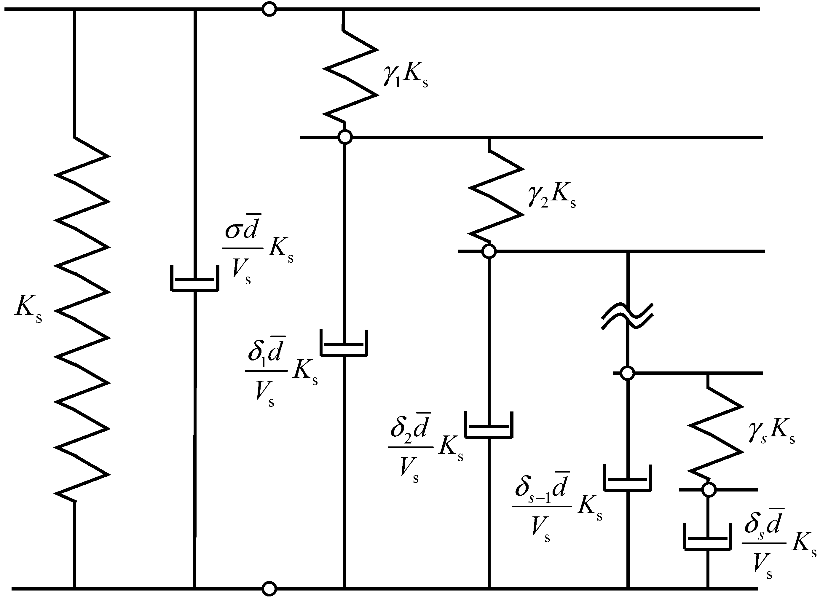
2.3. Soil–Foundation Interaction Model
2.4. Coupling Dynamic Model
3. Verification of the Analytical Model
4. Parameter Analysis
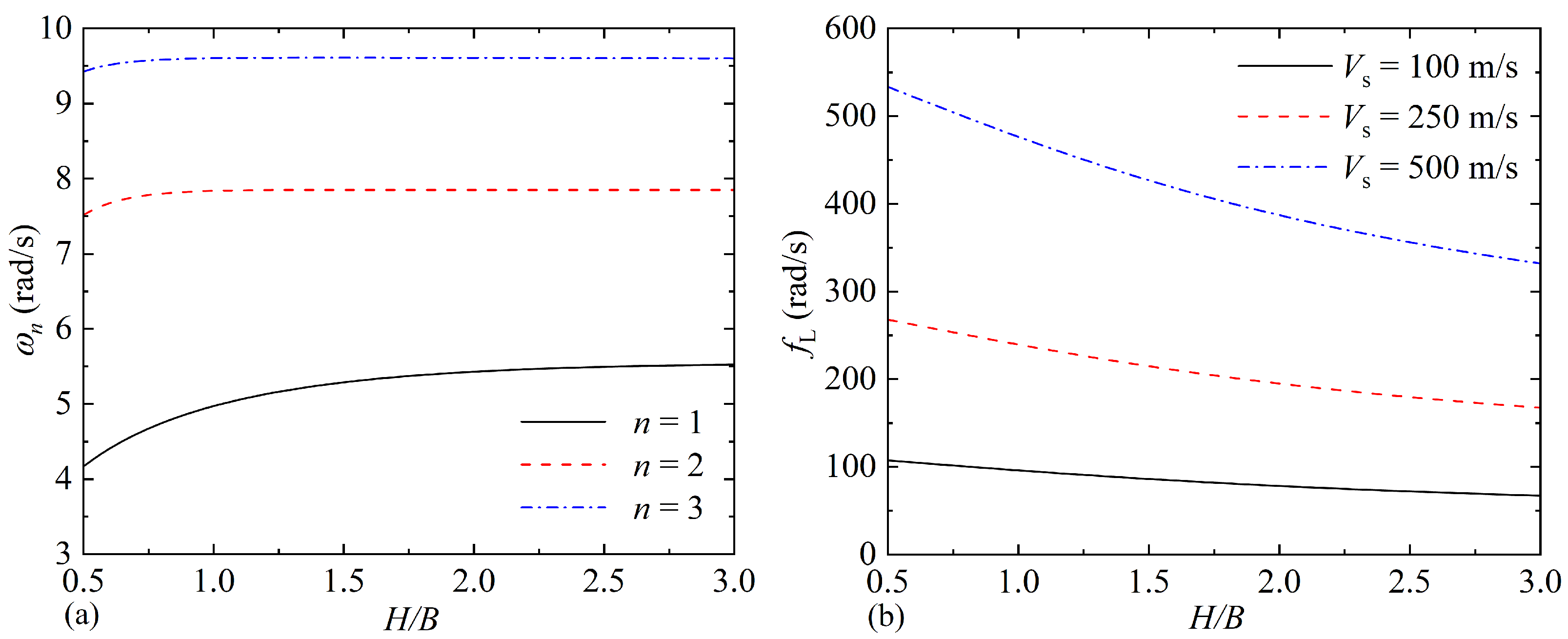
4.1. The Influence of Shear Wave Velocity of Soil
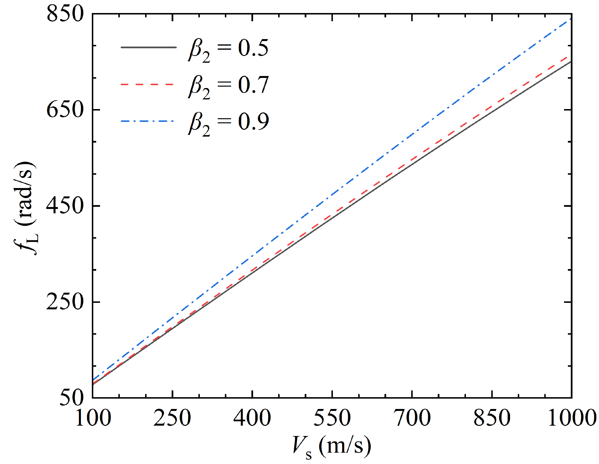
4.2. The Influence of the Baffle Position and Height
4.3. The Influence of Liquid Height
5. Conclusions
Author Contributions
Funding
Data Availability Statement
Conflicts of Interest
Appendix A
References
- Xu, F.; Xu, C.; El Naggar, M.H.; Du, X. Seismic Performance of Large Underground Water Tank Structures Considering Fluid-Structure Interaction. Buildings 2025, 15, 2643. [Google Scholar] [CrossRef]
- Li, F.; Chen, G. Nonlinear Seismic Response Characteristics of CAP1400 Nuclear Island Structure on Soft Rock Sites. Sci. Technol. Nucl. Install. 2020, 2020, 8867026. [Google Scholar] [CrossRef]
- Brunesi, E.; Nascimbene, R. Evaluating the Seismic Resilience of Above-Ground Liquid Storage Tanks. Buildings 2024, 14, 3212. [Google Scholar] [CrossRef]
- Jing, W.; Chen, P.; Song, Y. Shock absorption of concrete liquid storage tank with different kinds of isolation measures. Earthq. Struct. 2020, 18, 467–480. [Google Scholar] [CrossRef]
- Zhang, Q.; Shui, B.; Zhu, H.H. Study on Sloshing Characteristics in a Liquid Cargo Tank under Combination Excitation. J. Mar. Sci. Eng. 2022, 10, 1100. [Google Scholar] [CrossRef]
- Wang, H.B.; Li, C.L.; Zhao, L.J. Experimental Study on Dynamic Interaction between Large U-Shape Aqueduct and Water. KSCE J. Civ. Eng. 2022, 26, 1203–1213. [Google Scholar] [CrossRef]
- Meng, X.; Zhou, D.; Kim, M.K.; Lim, Y.M. Free vibration and dynamic response analysis of liquid in a rectangular rigid container with an elastic baffle. Ocean. Eng. 2020, 216, 108119. [Google Scholar] [CrossRef]
- Jin, X.; Zheng, H.; Liu, M.; Zhang, F.; Yang, Y.; Ren, L. Damping effects of dual vertical baffles on coupled surge-pitch sloshing in three-dimensional tanks: A numerical investigation. Ocean. Eng. 2022, 261, 112130. [Google Scholar] [CrossRef]
- Sanapala, V.S.; Rajkumar, M.; Velusamy, K.; Patnaik, B.S.V. Numerical simulation of parametric liquid sloshing in a horizontally baffled rectangular container. J. Fluids Struct. 2018, 76, 229–250. [Google Scholar] [CrossRef]
- Zang, Q.; Liu, J.; Lu, L.; Lin, G. A NURBS-based isogeometric boundary element method for analysis of liquid sloshing in axisymmetric tanks with various porous baffles. Eur. J. Mech. B Fluids 2020, 81, 129–150. [Google Scholar] [CrossRef]
- Biswal, K.C.; Bhattacharyya, S.K.; Sinha, P.K. Free-vibration analysis of liquid-filled tank with baffles. J. Sound Vib. 2003, 259, 177–192. [Google Scholar] [CrossRef]
- Biswal, K.C.; Bhattacharyya, S.K.; Sinha, P.K. Dynamic response analysis of a liquid-filled cylindrical tank with annular baffle. J. Sound Vib. 2004, 274, 13–37. [Google Scholar] [CrossRef]
- Biswal, K.C.; Bhattacharyya, S.K. Dynamic response of structure coupled with liquid sloshing in a laminated composite cylindrical tank with baffle. Finite Elem. Anal. Des. 2010, 46, 966–981. [Google Scholar] [CrossRef]
- Gavrilyuk, I.; Hermann, M.; Trotsenko, Y.; Timokha, A. Studying the coupled eigenoscillations of an axisymmetric tower-elevated tank system by the multimodal method. J. Fluids Struct. 2013, 42, 152–165. [Google Scholar] [CrossRef]
- Wang, Z.-H.; Jiang, S.-C.; Bai, W.; Li, J.-X. Liquid sloshing in a baffled rectangular tank under irregular excitations. Ocean. Eng. 2023, 278, 114472. [Google Scholar] [CrossRef]
- Xue, M.-A.; He, Y.; Yuan, X.; Cao, Z.; Odoom, J.K. Numerical and experimental study on sloshing damping effects of the porous baffle. Ocean. Eng. 2023, 285, 115363. [Google Scholar] [CrossRef]
- Liu, W.; Xiao, C.; Zhou, H.; Wang, C.Y. Experimental investigation of liquid-tank interaction effects on full containment LNG storage tanks through shaking table tests. Thin-Walled Struct. 2024, 196, 111527. [Google Scholar] [CrossRef]
- Vimal, P.P.A.; Regin, J.D.J.; Jinu, G.T.R.; Chettiar, C.G. Experimental investigation on elevated water tanks with base isolation—Response Spectrum Approach. J. Theor. Appl. Mech. 2020, 58, 885–899. [Google Scholar] [CrossRef]
- Haroun, M.A.; Abou-Izzeddine, W. Parametric study of seismic soil-tank interaction. I: Horizontal excitation. J. Struct. Eng. 1992, 118, 783–797. [Google Scholar] [CrossRef]
- Livaoglu, R.; Dogangun, A. Seismic evaluation of fluid-elevated tank-foundation/soil systems in frequency domain. Struct. Eng. Mech. 2005, 21, 101–119. [Google Scholar] [CrossRef]
- Livaoglu, R.; Dogangun, A. Effect of foundation embedment on seismic behavior of elevated tanks considering fluid-structure-soil interaction. Soil Dyn. Earthq. Eng. 2007, 27, 855–863. [Google Scholar] [CrossRef]
- Livaoglu, R. Soil interaction effects on sloshing response of the elevated tanks. Geomech. Eng. 2013, 5, 283–297. [Google Scholar] [CrossRef]
- Wang, J.; Zhou, D.; Liu, W.Q.; Wang, S.G. Nested Lumped-Parameter Model for Foundation with Strongly Frequency-dependent Impedance. J. Earthq. Eng. 2016, 20, 975–991. [Google Scholar] [CrossRef]
- Sun, Y.; Zhou, D.; Wang, J. An equivalent mechanical model for fluid sloshing in a rigid cylindrical tank equipped with a rigid annular baffle. Appl. Math. Model. 2019, 72, 569–587. [Google Scholar] [CrossRef]
- Sun, Y.; Zhou, D.; Amabili, M.; Wang, J.D.; Han, H.X. Liquid Sloshing in a Rigid Cylindrical Tank Equipped with a Rigid Annular Baffle and on Soil Foundation. Int. J. Struct. Stab. Dyn. 2020, 20, 2050030. [Google Scholar] [CrossRef]
- Housner, G.W. Dynamic pressures on accelerated fluid containers. Bull. Seismol. Soc. Am. 1957, 47, 15–35. [Google Scholar] [CrossRef]
- Housner, G.W. The dynamic behavior of water tanks. Bull. Seismol. Soc. Am. 1963, 53, 381–387. [Google Scholar] [CrossRef]
- Li, Y.; Di, Q.; Gong, Y. Equivalent mechanical models of sloshing fluid in arbitrary-section aqueducts. Earthq. Eng. Struct. Dyn. 2012, 41, 1069–1087. [Google Scholar] [CrossRef]
- Baghban, M.H.; Tosee, S.V.R.; Valerievich, K.A.; Najafi, L.; Faridmehr, I. Seismic Analysis of Baffle-Reinforced Elevated Storage Tank Using Finite Element Method. Buildings 2022, 12, 549. [Google Scholar] [CrossRef]
- Wang, J.D.; Zhou, D.; Liu, W.Q. Sloshing of liquid in rigid cylindrical container with a rigid annular baffle. Part I: Free vibration. Shock Vib. 2012, 19, 1185–1203. [Google Scholar] [CrossRef]
- Wang, J.D.; Zhou, D.; Liu, W.Q. Sloshing of liquid in rigid cylindrical container with a rigid annular baffle. Part II: Lateral excitation. Shock Vib. 2012, 19, 1205–1222. [Google Scholar] [CrossRef]
- Zhou, D.; Wang, J.D.; Liu, W.Q. Nonlinear sloshing of liquid in rigid cylindrical container with a rigid annular baffle: Free vibration. Nonlinear Dyn. 2014, 78, 2557–2576. [Google Scholar] [CrossRef]
- Cao, Z.; Xue, M.-A.; Yuan, X.; Zheng, J. A fast semi-analytic solution of liquid sloshing in a 2-D tank with dual elastic vertical baffles and walls. Ocean Eng. 2023, 273, 113951. [Google Scholar] [CrossRef]
- Ying, L.; Meng, X.; Zhou, D.; Xu, X.; Zhang, J.; Li, X. Sloshing of fluid in a baffled rectangular aqueduct considering soil-structure interaction. Soil Dyn. Earthq. Eng. 2019, 122, 132–147. [Google Scholar] [CrossRef]
- Jing, W.; Shen, J.; Cheng, X.; Yang, W. Seismic responses of a liquid storage tank considering structure-soil-structure interaction. Structures 2022, 45, 2137–2150. [Google Scholar] [CrossRef]
- Hashemi, S.; Kianoush, R.; Khoubani, M. A mechanical model for soil-rectangular tank interaction effects under seismic loading. Soil Dyn. Earthq. Eng. 2022, 153, 107092. [Google Scholar] [CrossRef]
- Wang, J.; Lo, S.H.; Zhou, D.; Xu, B.Q. Frequency-dependent impedance of a strip foundation group and its representation in time domain. Appl. Math. Model. 2015, 39, 2861–2881. [Google Scholar] [CrossRef]
- Wu, W.H.; Lee, W.H. Nested lumped-parameter models for foundation vibrations. Earthq. Eng. Struct. Dyn. 2004, 33, 1051–1058. [Google Scholar] [CrossRef]
- Hu, Z.; Zhang, X.; Li, X.; Li, Y. On natural frequencies of liquid sloshing in 2-D tanks using Boundary Element Method. Ocean. Eng. 2018, 153, 88–103. [Google Scholar] [CrossRef]
- Ren, Y.R.; Xue, M.A.; Lin, P.Z. Experimental study of sloshing characteristics in a rectangular tank with elastic baffles. J. Fluids Struct. 2023, 122, 103984. [Google Scholar] [CrossRef]











| Parameters | Detailed Expressions |
|---|---|
| n | N = 4 | N = 7 | N = 10 | N = 13 | N = 16 | N = 19 | N = 22 | N = 25 | N = 28 | |
|---|---|---|---|---|---|---|---|---|---|---|
| 0.5 | 1 | 2.999 | 3.031 | 3.036 | 3.039 | 3.041 | 3.042 | 3.042 | 3.043 | 3.043 |
| 2 | 6.079 | 6.219 | 6.250 | 6.262 | 6.268 | 6.271 | 6.273 | 6.274 | 6.275 | |
| 3 | 9.369 | 9.409 | 9.418 | 9.421 | 9.422 | 9.423 | 9.423 | 9.424 | 9.424 | |
| 4 | 12.082 | 12.448 | 12.516 | 12.538 | 12.549 | 12.554 | 12.557 | 12.560 | 12.561 | |
| 0.8 | 1 | 2.509 | 2.526 | 2.530 | 2.534 | 2.536 | 2.537 | 2.538 | 2.539 | 2.539 |
| 2 | 6.111 | 6.123 | 6.124 | 6.126 | 6.126 | 6.127 | 6.127 | 6.127 | 6.127 | |
| 3 | 9.419 | 9.421 | 9.420 | 9.420 | 9.420 | 9.420 | 9.420 | 9.420 | 9.420 | |
| 4 | 12.561 | 12.564 | 12.564 | 12.563 | 12.563 | 12.563 | 12.562 | 12.562 | 12.562 |
| n | N = 4 | N = 7 | N = 10 | N = 13 | N = 16 | N = 19 | N = 22 | N = 25 | N = 28 | |
|---|---|---|---|---|---|---|---|---|---|---|
| 0.5 | 1 | 2.942 | 2.988 | 2.996 | 3.001 | 3.003 | 3.004 | 3.005 | 3.006 | 3.006 |
| 2 | 6.283 | 6.283 | 6.283 | 6.283 | 6.283 | 6.283 | 6.283 | 6.283 | 6.283 | |
| 3 | 8.870 | 9.257 | 9.347 | 9.381 | 9.396 | 9.405 | 9.410 | 9.413 | 9.416 | |
| 4 | 12.566 | 12.566 | 12.566 | 12.566 | 12.566 | 12.566 | 12.566 | 12.566 | 12.566 | |
| 0.8 | 1 | 2.312 | 2.333 | 2.339 | 2.344 | 2.346 | 2.348 | 2.349 | 2.350 | 2.350 |
| 2 | 6.283 | 6.283 | 6.283 | 6.283 | 6.283 | 6.283 | 6.283 | 6.283 | 6.283 | |
| 3 | 9.348 | 9.374 | 9.377 | 9.378 | 9.378 | 9.379 | 9.379 | 9.379 | 9.379 | |
| 4 | 12.566 | 12.566 | 12.566 | 12.566 | 12.566 | 12.566 | 12.566 | 12.566 | 12.566 |
| H (m) | B (m) | Literature Solution (Hz) | Present Solution (Hz) | Relative Error |
|---|---|---|---|---|
| 0.20 | 1.0 | 0.64 | 0.646 | 0.94% |
| 0.25 | 1.0 | 0.595 | 0.601 | 1.01% |
| 0.15 | 0.5 | 1.07 | 1.075 | 0.44% |
| 0.20 | 0.5 | 1.12 | 1.132 | 1.05% |
| (m/s) | 100 | 200 | 250 | 500 | 1000 | Rigid |
|---|---|---|---|---|---|---|
| 5.4292 | 5.4297 | 5.4299 | 5.4300 | 5.4301 | 5.4301 | |
| 7.8510 | 7.8510 | 7.8510 | 7.8510 | 7.8510 | 7.8510 | |
| 9.6090 | 9.6094 | 9.6096 | 9.6096 | 9.6097 | 9.6097 | |
| 78.1315 | 117.1222 | 194.8805 | 386.8789 | 751.5735 | - |
Disclaimer/Publisher’s Note: The statements, opinions and data contained in all publications are solely those of the individual author(s) and contributor(s) and not of MDPI and/or the editor(s). MDPI and/or the editor(s) disclaim responsibility for any injury to people or property resulting from any ideas, methods, instructions or products referred to in the content. |
© 2025 by the authors. Licensee MDPI, Basel, Switzerland. This article is an open access article distributed under the terms and conditions of the Creative Commons Attribution (CC BY) license (https://creativecommons.org/licenses/by/4.0/).
Share and Cite
Hao, F.; Xu, S.; Sun, Y.; Gu, Z.; Meng, X.; Zhang, Z.; Wang, J. Dynamic Properties of a Rectangular Cantilever Aqueduct with a Baffle Considering Soil–Structure Interaction. Buildings 2025, 15, 4335. https://doi.org/10.3390/buildings15234335
Hao F, Xu S, Sun Y, Gu Z, Meng X, Zhang Z, Wang J. Dynamic Properties of a Rectangular Cantilever Aqueduct with a Baffle Considering Soil–Structure Interaction. Buildings. 2025; 15(23):4335. https://doi.org/10.3390/buildings15234335
Chicago/Turabian StyleHao, Fangzheng, Shuo Xu, Ying Sun, Zhenyuan Gu, Xun Meng, Zhong Zhang, and Jue Wang. 2025. "Dynamic Properties of a Rectangular Cantilever Aqueduct with a Baffle Considering Soil–Structure Interaction" Buildings 15, no. 23: 4335. https://doi.org/10.3390/buildings15234335
APA StyleHao, F., Xu, S., Sun, Y., Gu, Z., Meng, X., Zhang, Z., & Wang, J. (2025). Dynamic Properties of a Rectangular Cantilever Aqueduct with a Baffle Considering Soil–Structure Interaction. Buildings, 15(23), 4335. https://doi.org/10.3390/buildings15234335

