Next Article in Journal
Artificial Intelligence (AI) in Construction Safety: A Systematic Literature Review
Previous Article in Journal
Vitality-Oriented Commercial Street Design Strategies: A Multi-Dimensional Quantitative Analysis of Chunxi Road, Chengdu, China
 
 
Font Type:
Arial Georgia Verdana
Font Size:
Aa Aa Aa
Line Spacing:
Column Width:
Background:
Article

Strategies of Metaverse Safety Training in Highway Construction Projects: A Tripartite Evolutionary Game

1
School of Civil and Architectural Engineering, Hunan Institute of Technology, Hengyang 421001, China
2
College of Harbour and Coastal Engineering, Jimei University, Xiamen 361021, China
*
Author to whom correspondence should be addressed.
Buildings 2025, 15(22), 4083; https://doi.org/10.3390/buildings15224083
Submission received: 17 July 2025 / Revised: 11 October 2025 / Accepted: 21 October 2025 / Published: 13 November 2025
(This article belongs to the Section Construction Management, and Computers & Digitization)

Abstract

Metaverse safety training (MST) is popular in highway construction projects (HCPs). While researchers have statically examined the influence of MST, one of the essential gaps is that the interaction among stakeholders on how to improve MST effect is neglected. This paper adopts a game theory approach to illustrate the dynamics among stakeholders, namely, contractors, subcontractors, and construction crews, regarding MST within the framework of HCPs. A tripartite evolutionary game model is developed to analyze the interaction among contractors, subcontractors, and construction crews. The evolutionary stability of the stakeholders’ strategies and the equilibrium point were elucidated by solving the proposed model. A numerical simulation was conducted to validate the rationality of the results. The results show that the choice of behavioral strategies and their evolutionary paths for each stakeholder are closely related to the behavioral strategies of other stakeholders in the game, with significant differences in effects on each other’s initial strategies. The incentive mechanism must match the incentive measures provided to subcontractors and construction crews, ensuring a stable MST. The reward and penalty system implemented by contractors heightens the awareness of subcontractors and construction crews partly. This model provides practical recommendations to enhance training interactions, optimize strategies, increase security awareness, and streamline resource allocation.

1. Introduction

Highway construction projects (HCPs) are regarded as the “lifeline” of national economic development and have consistently attracted global attention. According to data from the Federal Highway Administration, the total investment of America in HCPs reached approximately $150 billion in 2019. The Ministry of Transport reported that the total length of highways in China had reached 5.4368 million kilometers by the end of 2023, with the mileage of expressways exceeding 170,000 km, ranking first in the world. In recent years, the global expansion of HCPs has become evident, such as the Trans-European Transport Network, the reconstruction of the Interstate Highway 5 bridges, the Silk City project in Kuwait, and the Phnom Penh–Siem Reap–Poipet Highway in Cambodia. The implementation of these projects requires the use of various large-scale equipment and high-risk operations [1]. Construction workers in HCPs are constantly at the risk of exposure to complicated working sites and fatigue production, which can lead to casualties and accidents [2,3]. In 2020, a fatal fall from height incident occurred at the construction site of the Chaoshan Ring Road project, resulting in one death. In short, HCPs are notorious for a high mortality rate worldwide, making the health and safety of construction workers unarguably the critical aspect [4,5].
The best approach to mitigate incidents in the context of HCPs is to impart safety knowledge and skills within safety training to construction workers regularly [6,7]. Historically, safety training is taught with classroom lectures, hands-on training, and simulation drilling. These approaches include a straightforward evaluation where the construction workers are examined through examinations. However, traditional safety training is mainly unidirectional teaching [8,9]. The low participation makes construction workers passive, which in turn affects the safety training effect [10].
The advancement of digital technologies, particularly the emergence of the metaverse, presents significant opportunities for enhancing safety training [11]. Metaverse safety training (MST) is defined as an innovative approach to safety training, characterized by absolute, repeatable, targeted, interactive, high-security, cost-effective, and immersive qualities [12,13,14,15,16]. In comparison to traditional safety training methods, this approach effectively addresses issues such as difficulties in comprehending written language, inadequate visual representation in safety manuals, and the monotony of meetings [17]. It utilizes digital technologies to enhance stakeholders’ safety awareness and competence [18]. Recent efforts have focused on developing digital and intelligent solutions for MST. For example, several studies are integrating artificial intelligence and digital twin technology to create an intelligent safety training management platform [19,20,21,22]. This platform utilizes cloud technology to collaboratively develop intelligent terminals for diverse application scenarios, thereby establishing a pervasive intelligent learning environment.
However, social influence, convenient conditions, and perceived trust significantly constrain stakeholders’ willingness to adopt MST [16]. For instance, to mitigate uncertainty, contractors and subcontractors prefer to adopt a skeptical approach and opt for traditional safety training. Previous studies have identified the following three primary stakeholders involved in HCPs: contractors, subcontractors, and construction crews [23]. Given their diverse interests and demands, stakeholders exhibit varying preferences in the context of HCPs. Contractors are responsible for coordinating various resources on the metaverse platform, including virtual environments, tools, and equipment that enable subcontractors and construction crews to be trained [24]. Subcontractors pay more attention on the guidance, supervision, and evaluation of construction crews [25]. Construction crews, consisting of workers with relatively low educational background, try to use the specific equipment and software through real-time interaction and collaboration with contractors and subcontractors [26]. Due to the bounded rationality, stakeholders adjust their strategies adopting MST based on experiential knowledge, available information, environmental changes, and the dynamic choices of others [27]. Consequently, the strategies enhancing the effective adoption of MST in HCPs should be made considering the interactions among these three stakeholders. Although prior studies have illustrated the effectiveness of MST [26], fragmented stakeholder behaviors lead to duplicated investment, inconsistent safety awareness, and limited cross-organizational learning [26]. These reveal that neglecting the interaction mechanism among contractors, subcontractors, and construction crews is not merely a theoretical omission but a practical barrier to realizing the potential of MST.
Despite the growing interest in MST, several research gaps must be addressed. Previous studies have explored the individual roles of stakeholders (e.g., contractors, subcontractors, and construction crews) in safety training [28]. However, most of them focus on static analyses of stakeholder behavior, neglecting the dynamic interactions that influence the effectiveness of MST [29]. Since the strategic choices of one stakeholder directly affect the payoffs of others, including subcontractors’ compliance and workers’ participation, this interdependence renders static or single-agent analyses inadequate for identifying the complexity of interactions. Evolutionary game theory overcomes this limitation by modeling bounded rationality and iterative behavioral adaptation, offering a rigorous framework to reveal how equilibrium outcomes emerge through sustained interaction, thereby directly addressing the previously overlooked dynamics among stakeholders.
On the other hand, evolutionary game theory effectively captures the dynamism and complexity of strategy choices and adaptation processes among stakeholders in uncertain environments, revealing the evolving patterns of interactions through simulation [28]. It examines the conditions under which stakeholders’ strategic choices converge to an equilibrium state by identifying evolutionarily stable strategies [29,30]. To understand the long-term stability of stakeholder relationships within MST, it is necessary to formulate MST strategies of stakeholders applying evolutionary game theory. This study fills this gap by developing a tripartite evolutionary game model examining the strategic interactions among contractors, subcontractors, and construction crews, providing insights into the conditions under which stakeholders’ strategic choices converge to an equilibrium state. While owners play a key initiating and supervisory role in HCPs, their influence on MST operates through institutional mechanisms, such as policy guidance, financial incentives, and regulatory oversight. In this study, owners are treated as an external boundary condition shaping the training environment, not as direct participants in strategic interactions. The analysis focuses on contractors, subcontractors, and construction crews, who are directly responsible for MST design, implementation, and participation.
Based on the aforementioned analysis, this study develops a tripartite game model that encompasses contractors, subcontractors, and construction crews. Utilizing evolutionary game theory, the stakeholders’ MST strategies and the game equilibrium solution are analyzed. Additionally, the tripartite game is simulated to explore the implementation effect of different strategies on the game process and equilibrium. The results of this paper offer a novel perspective on MST in HCPs. They illuminate the dynamic evolution patterns of complex relationships among stakeholders, contributing to the development of a more efficient, comprehensive, and practical safety training system that ultimately enhances training effectiveness.
The remainder of this study is organized as follows: Section 2 provides a background study on related works on metaverse safety training, interactions among stakeholders’ safety training in HCPs, and evolutionary games in AEC industry. Section 3 introduces the evolutionary game analysis of MST in HCPs. Section 4 depicts the strategy simulation results. Further discussions and conclusions are presented in Section 5 and Section 6.

2. Literature Review

2.1. Metaverse Safety Training

Metaverse is an ecosystem that integrates digital twins, augmented reality, virtual reality, artificial intelligence, and other technologies [31]. Professor Jeremy N. Bailenson from Stanford University sees education as the “killer app” of the metaverse for the foreseeable future [32]. Similarly, some scholars have pointed out that the most extensive potential area for metaverse applications is education and training. Cross-organizational cooperation offers sustainable social services through the metaverse platforms. In the context of safety management, metaverse reconstructs the training scene, the model, the relationship, and the evaluation, whose core is online, digital, and intelligent [33,34]. With the help of video, animation, virtual reality, artificial intelligence, and other career forms, MST has enriched digital training resources [18]. MST has established a secure learning environment for construction workers, effectively addressing the constraints of time and space [16,35,36]. Immersive training enhances construction workers’ engagement and interest, thereby facilitating a deeper retention of knowledge and reducing the incidence of safety accidents [17].
Studies have attempted to examine the factors affecting MST in the architecture, construction, and engineering industry, based on different aspects, such as construction workers behavior [37], leader management style [38], and complex construction site [39]. For example, the telepresence experienced through the virtual reality and the risk perception of the trainees regarding occupational accidents significantly affect their satisfaction and effectiveness [40]. Alcoa, a global aluminum company, has implemented training programs that allow its employees to practice in a virtual environment, thereby reducing the risk of accidents. Mercury Engineering, a leading European company specializing in construction solutions and engineering services, has also introduced training initiatives where workers can practice in a risk-free, realistic virtual environment. This enables them to understand the dangers and consequences of height-related incidents without real-world risks. The workers trained via building information modeling simulation showed a higher level of understanding than the group of workers who were trained conventionally [41]. When safety training supervisors perceive that they have the knowledge, skills, and confidence to make changes, they may better fulfill their role as a safety leader [24].
Thus far, a few research efforts have been made to assess the stakeholders’ MST using various approaches. For example, [22] proposed a training platform based on the virtual reality to assess the safety training process of human–robot cooperation using the workers’ physiological signal. Scholars applied generalized linear mixed modeling for statistical analysis to the immersive virtual reality safety program in construction industry workplace [37]. Quantitative dominant mixed methods were selected to analyze whether the virtual reality-based training was associated with a significant increase in knowledge, operational skills, and safety behavior in robotic teleoperation [42].
Although a few previous studies have explored MST from the micro-level perspectives of construction workers and managers, none of them were focused on the interrelationships among a broader spectrum of stakeholders, such as owners, contractors, and subcontractors. By analyzing interactions among them, shared interests and potential conflicts can be identified, thereby facilitating the design of more effective collaborative mechanisms fostering win-win outcomes and cooperation.

2.2. Interactions Among Stakeholders’ Safety Training in HCPs

Due to the high risk of the projects, safety training is the basis of safety production in HCPs [5]. It is designed to enhance the safety awareness and safety skills of stakeholders (i.e., owners, contractors, subcontractors, and construction crews), enabling them to avoid potential risks and choose appropriate strategies [10].
Owners are usually local governments (i.e., the United States and China) or private enterprises (i.e., Japan and Germany) in HCPs. They are responsible for initiating the project, issuing safety policies, and providing financial support for safety management. However, they do not directly design, supervise, or implement training in MST. Their influence is indirect, mediated through policy directives, contracts, and resource allocation to contractors. In this study, they are external institutional actors who shape contractor and subcontractor behavior through binding tender documents [24,43]. When the contractors and subcontractors do not severely supervise or implement MST, the construction crews will reduce safety awareness, resulting in potential safety risks for HCPs. The interactive mechanism of MST strategies for contractors, subcontractors, and construction crews is shown in Figure 1.
In the context of MST, while owners serve as important initiators and financiers throughout the project life cycle, it is more direct and critical to examine the relationships among contractors, subcontractors, and construction crews. There are various reasons. First, the primary objective of MST is to enhance the safety awareness and skills of construction workers, who are typically part of construction crews and are directly supervised by subcontractors [44]. Consequently, a thorough understanding of the relationships among contractors, subcontractors, and construction crews is essential for ensuring that the training content is closely aligned with real-world scenarios.
Further, the delineation of responsibilities among contractors, subcontractors, and construction crews is explicitly defined in HCPs. Contractors are responsible for the overall coordination and management, while subcontractors are assigned to construct specific sections [45]. Construction crews execute the construction tasks [46]. The apparent distribution of responsibilities facilitates a precise identification of training subjects and content, thereby maximizing training effectiveness.
Another notable advantage of MST is its capacity to simulate real construction environments, which significantly enhances crews’ practical skills and their ability to respond to emergencies. This immersive aspect of MST not only improves individual performance but also fosters better communication and collaboration among contractors, subcontractors, and construction crews. The efficiency of communication and collaboration among contractors, subcontractors, and construction crews significantly influences the overall progress and quality of projects [47]. Consequently, emphasizing the relationships among these three parties during the training process is vital for fostering effective communication and collaboration, ultimately improving the outcomes of training initiatives.
Last, when developing an MST program, it is essential to consider the efficient allocation of training resources. As owners typically do not directly engage in specific operations during the construction process, resource allocation emphasizes contractors, subcontractors, and construction crews, who are the primary executors of the work [48]. A comprehensive understanding of the relationships among these can enable more rational planning of training resources.
Organization and management are crucial methods for contractors [49,50,51]. Contractors often make a safety training plan and arrange for the safety manager to supervise the implementation of MST, which ensures the necessary safety training is conducted [52]. Due to the uncertainties of MST, contractors are still required to attach importance to subcontractors’ attitudes. However, contractors may be hostile to supervision to pursue higher economic benefits, affecting subcontractors’ and construction crews’ safety cognition and safety awareness [53,54]. The subcontractors’ supervision of MST is mainly reflected in the implementation. The subcontractors strictly abide by the relevant regulations that organize and implement MST according to the contractors’ requirements to ensure that the construction crews obtain the safety training [55]. Supervising construction crews’ MST takes more time and costs. The construction crews are responsible for specific construction tasks and site management. Construction crews must actively participate in MST to learn safety knowledge and skills to achieve safe production [56]. However, the inconvenience of operation, resistance to new technology, and work stress affect their attitude [57,58]. Existing MST studies focus on individual cognition, training satisfaction, or technological performance, whereas the cross-level behavioral coupling among stakeholders remains silent. Such neglect obscures systemic mechanisms through which mutual supervision, incentive alignment, and cooperative learning shape the ultimate effectiveness of MST. Therefore, exploring the dynamic evolution is vital to bridge this theoretical and practical gap.
To sum up, contractors, subcontractors, and construction crews are the primary stakeholders involved in MST. Their interactions significantly influence the effectiveness of the training. Existing research has primarily focused on the roles and impacts of individual stakeholders within metaverse safety training. MST with the dynamics is in the initial stage and the application of metaverse into safety training is challenging. The in-depth discussions of the interaction among the contractors, subcontractors, and construction crews from the organizational perspective are neglected. Especially, it is crucial to account for the stakeholders’ MST strategies in HCPs. It is crucial to identify dynamic strategies to improve safety performance by supervising, organizing, and participating in MST, contributing to dynamic guidance in HCPs. Although owners are excluded from the core tripartite game, their policy support and financial incentives are incorporated into the model parameters. This allows the evolutionary game to identify indirect yet critical influence on contractors’ decisions, ensuring theoretical consistency with the institutional realities of HCPs.

2.3. Evolutionary Game in AEC Industry

Evolutionary game theory provides a dynamic analytical framework to explain how decision-makers adjust their strategies over time under bounded rationality, learning, and feedback mechanisms [59]. In HCPs, stakeholders such as contractors, subcontractors, and construction crews make decisions upon their interests, significantly influencing the effectiveness and cost of training programs. The interactions are characterized by a dynamic interplay between cooperation and competition. By constructing models of both cooperation and competition, evolutionary game theory reveals equilibrium states under various strategic combinations and provides a theoretical foundation for formulating rational management and incentive mechanisms.
Evolutionary game theory has been widely applied to examine stakeholders’ resource allocation [60], benefit distribution [61], and cooperative negotiations [62]. It effectively models bounded rationality [63] and adaptive learning, highlighting how historical experience, institutional context, and feedback loops shape strategic evolution [64,65]. For example, Wang et al. (2020) [66] adopt a two-stage game framework to explore interactions among contractors, project managers, and regulators, revealing the influence of environmental regulation on supervision and information disclosure. Ahmed et al. (2021) [67] develop a game-theoretic bidding function to explore how general contractors ascertain the final joint bid within a multi-stage bidding context. Zhu et al. (2022) [68] examine the conflicts between contractors and clients in delayed design-bid-build projects, incorporating various linguistic standards related to time and cost to propose an effective dispute resolution strategy.
In recent years, evolutionary game applications have expanded from traditional project management toward complex multi-agent systems. Wang et al. (2025) [69] constructed a tripartite evolutionary game among governments, residents, and enterprises to analyze behavioral evolution in municipal waste classification and recycling, showing that well-designed incentive and penalty mechanisms can achieve stable cooperative equilibrium. Similarly, Zhu et al. (2023) [70] developed a two-layer heterogeneous network evolutionary game to simulate the coevolution of residents and recyclers in electric vehicle battery recycling decisions, demonstrating that network heterogeneity and feedback coupling accelerate convergence toward stable strategies.
In conclusion, evolutionary game theory serves as a mathematical framework and methodology for examining optimal solutions in decision-making processes involving multiple stakeholders. In the context of HCPs, benefit and responsibility allocation among contractors, subcontractors, and construction crews involves both competition and cooperation. Stakeholders may compete for training resources and efficiency while collaborating to improve safety. However, existing research largely focuses on static or bilateral relationships, with little attention to tripartite dynamic interactions in digital safety training. To address this gap, this study extends the tripartite evolutionary game framework to analyze behavioral evolution in MST, providing new insights into how stakeholder strategies co-evolve under digital transformation [71].

3. Methodology

3.1. Research Design

Following Section 2.2, contractors, subcontractors, and construction crews (construction foremen and construction workers) are considered to be the most influential stakeholders for safety training in HCPs [55,72]. It is worth explaining that the decision to treat construction crews as an aspect rather than construction workers is according to several reasons as follows: (1) Construction crews is the fundamental construction and management unit of HCPs [73], which is consistent with engineering practice. (2) Construction crews learn from and influence each other in safety training; contributing to overcoming cultural [74] and individual differences [75] is crucial for maintaining a safe work environment. (3) In the context of safety training, construction foremen experienced positive changes in their daily work methods and interactions with their crews, colleagues, leaders, customers, and other construction professions [76]. This is particularly important in HCPs, where construction crews advocating for improved safety conditions and benefits can significantly impact the overall safety culture. Hence, this study introduces construction crews into the evolutionary game. The strategy selection and evolution path among contractors, subcontractors, and construction crews are analyzed to enhance the level of MST in HCPs. The research flowchart of this study is illustrated in Figure 2.
First, this study defines the possible strategies for the stakeholders’ MST. These include whether contractors strictly supervise the MST process and outcomes, whether subcontractors implement MST, and whether construction crews actively accept MST. Then, this study defines the benefits that stakeholders receive from strategy combinations. For example, construction crews can increase work efficiency, receive additional incentives, and reduce accidents. Next, the evolutionary stability and the influencing factors of strategy combinations are evaluated. Later, this study can obtain the combinations of evolutionary stable strategies under different conditions by analyzing the game equilibrium point. Finally, to conduct the numerical stimulation, this study collected data from contractors and subcontractors and construction crews from ten HCPs in Hunan Province, China, all of which utilize MST smart management platform, through participant observation, internal files, and the Delphi method. Multiple rounds of repeated games simulate dynamic evolutionary strategies.

3.2. Model Assumptions

Based on evolutionary game theory, this study analyzes the stability of stakeholders’ strategies, the equilibrium point, and the relationship of each element to construct the game model.
Assumption 1. 
There are three stakeholders in the model. Ω represents game stakeholders, Ω = {contractors, subcontractors, construction crews}, and the three types of stakeholders constitute a complete game system. All stakeholders are assumed to possess bounded rationality and heterogeneous behavioral preferences, characterized by differences in cognition, experience, and attitudes toward MST. Information asymmetry exists during the game process, and strategy selection evolves dynamically through learning, imitation, and adaptive adjustment rather than purely rational optimization. Stakeholders’ strategies evolve toward an equilibrium under both economic and behavioral constraints, stabilizing into an adaptive optimal state. The model assumes that stakeholders interact without rent-seeking behavior, but their strategic updates are subject to stochastic fluctuations arising from learning uncertainty and cognitive bias.
Assumption 2. 
The contractors’ strategic space A = {A1, A2} = {Severe supervision, Lax supervision}. Severe supervision reflects the willingness of contractors to invest [77]. This strategy is adopted when contractors prioritize long-term safety benefits and are willing to spend higher initial costs. Lax supervision represents a more passive strategy, where contractors may use traditional safety training methods to minimize costs and avoid the uncertainties associated with new technologies, especially in projects with tight budgets [78]. The probability that it adopts A1 is x(0 ≤ x0 ≤ 1), A2 is 1−x. The subcontractors’ strategic space B = {B1, B2} = {Positive execution, Negative execution}. The former is typically driven by the desire to maintain good relationships with contractors and avoid penalties, yet short-term financial pressures influence the latter [25]. The probability that it adopts B1 is y(0 ≤ y ≤ 1), B2 is 1−y. The construction crews’ strategic space C = {C1, C2} = {Positive participation, Negative participation}. Construction crews actively engaging in safety training are more likely to develop better safety awareness and skills, leading to fewer accidents and higher productivity [16]. They may resist or passively participate in safety training due to lack of interest, time constraints, or resistance to new technologies. The probability that it adopts C1 is z(0 ≤ z ≤ 1), C2 is 1−z.
Assumption 3. 
In MST, contractors, subcontractors, and construction crews pay additional costs Ca, Cb, Cc, Ca < Cb < Cc. It reflects both theoretical reasoning and empirical observations from HCPs. The contractors’ additional cost Ca mainly derives from the technological setup and platform maintenance, such as the purchase of VR devices, software licenses, and digital twin platforms. These are one-time or fixed capital expenditures, typically shared across multiple projects. Subcontractors bear higher recurrent costs Cb associated with training organization, supervision, and coordination [25,79]. They must allocate personnel to schedule MST sessions, verify attendance, and ensure compliance with contractors’ safety requirements. Their cost intensity is greater than that of contractors, driven by repeated time and human resource inputs rather than equipment investment. Construction crews incur the highest adaptation and opportunity costs Cc due to their limited digital literacy, age heterogeneity, and tight construction schedules [80,81]. Their costs include the time required to learn digital operations, the temporary reduction in work efficiency during adaptation, and the psychological resistance to new technologies. This may lead to construction crews spending more additional costs on Cc, producing boredom and negative emotions. The Cc represents the financial expenses incurred by construction enterprises due to the increased time and energy workers invest in MST. However, it is important to note that while some studies suggest that MST can enhance worker engagement and reduce boredom [16], the initial learning curve and resistance to new technology may still be challenging. Empirical evidence from field investigations and expert evaluations across multiple MST pilot projects supports it. Practitioners reported that subcontractors face heavier organizational burdens, while construction crews encounter significant adaptation challenges that translate into greater time and efficiency losses. These observations are consistent with behavioral cost theories, which illustrate that bounded rationality, learning barriers, and technology acceptance gaps elevate the short-term cost burden on workers. Therefore, the assumption Ca < Cb < Cc reflects the increasing capital, organizational, and adaptive costs among stakeholders, consistent with both practical project experience and learning curve theory.
Assumption 4. 
The owners provide different levels of policy support and financial incentives to encourage contractors to carry out MST. When the strategic space is {A1, B1, C1} = {Severe supervision, Positive execution, Positive participation}, the owners will reward. The owners provide policy support and financial incentives to contractors with strong production safety performance, while offering no incentives to those participating in traditional safety training. The organization of MST by contractors will generate related costs (i.e., new technology training fees, software development costs, and technical maintenance costs). However, it can reduce safety accidents and improve the safety awareness of construction workers. Contractors can benefit from increased safety productivity, which includes achieving safety production goals, fulfilling social responsibilities, enhancing their corporate social image, and earning specific honors [82]. On the other hand, owners typically mandate contractors to participate in traditional safety training, which does not require contractors to bear additional innovation costs.
Assumption 5. 
The negative feedback of MST on technical, time, environmental, and operation convenience makes the construction crews have a negative attitude [83]. Therefore, the contractors have developed a series of reward and penalty mechanisms to require the subcontractors and construction crews to carry out MST [84]. The primary benefits of subcontractors and construction crews are Nb and Nc, respectively. The rewards for subcontractors and construction crews are Rb and Rc, separately. The contractors are responsible for penalizing the subcontractors and construction crews, with the penalties being Lab and Lac, respectively.
Assumption 6. 
Subcontractors’ non-compliance that yields short-term benefits is S1, while construction crews’ lack of participation that results in short-term benefits is S2.
In general, primary benefit is higher than short-term benefit, Nb > S1, Nc > S2. If the subcontractors and construction crews have a negative attitude, the probability of safety production accidents will increase. It brings losses to the contractors La.
Although the model simplifies decision-making to enhance analytical clarity, real-world MST scenarios are characterized by stakeholder behaviors shaped by cultural norms, regulatory enforcement, and psychological factors such as perceived trust, risk perception, and technology acceptance. These contextual influences are embedded within the model’s parameters, which serve as proxies for cross-cultural and institutional differences. Therefore, while the framework focuses on economic and strategic interactions, the interpretation of outcomes explicitly incorporates broader sociocultural and cognitive dimensions, strengthening the model’s empirical relevance and theoretical robustness. Based on the above assumptions, relevant parameters and meanings are shown in Table 1.

3.3. Evolutionary Game Model

3.3.1. Payoff Matrix

The payoff matrix in Table 2 illustrates the potential outcomes for contractors, subcontractors, and construction crews based on their strategic choices in MST. The payoffs are calculated based on each strategy combination’s costs, rewards, and penalties. The matrix reflects the interactions among the three stakeholders, with each unit representing the payoffs for contractors, subcontractors, and construction crews, respectively. For example, if contractors choose the severe supervision strategy, subcontractors may choose the positive execution strategy, and construction crews may choose positive participation. Contractors will spend additional costs, reward subcontractors and construction crews, and obtain owners’ policy support and financial incentives. Therefore, the potential outcome for contractors is C a + I R b R c . Subcontractors and contraction crews need to spend some additional cost but will receive primary benefits and rewards. Therefore, the potential outcome for them is C b + R b + N b and C c + R c + N c .

3.3.2. Each Stakeholders’ Expected Return

E i j represents the expected return of stakeholders, while E ¯ i denotes the average return. Here, i = a, b, c corresponds to contractors, subcontractors, and construction crews, and j = 1, 2 represents the two possible opinions of the stakeholders. Based on the payoff matrix in Table 2, the expected return of the contractors choosing the “Severe supervision” is E a 1 , and for choosing “Lax supervision,” it is E a 2 . The average return of the contractors is E ¯ a .
E a 1 = y z ( C a + I R b R c ) + y ( 1 z ) ( C a + L a b + L a c L a ) + z ( 1 y ) ( C a + L a b L a R c ) + ( 1 y ) ( 1 z ) ( C a + L a b + L a c L a )
E a 2 = 0 + y ( 1 z ) ( L a ) + z ( 1 y ) ( L a ) + ( 1 y ) ( 1 z ) ( L a )
E ¯ a = x E a 1 + ( 1 x ) E a 2
The expected return of the subcontractors choosing “Positive execution” is E b 1 , while choosing “Negative execution” results in E b 2 . The average return of the subcontractors is E ¯ b .
E b 1 = x z ( C b + R b + N b ) + ( 1 x ) z N b + x ( 1 z ) ( C b L a b + N b ) + ( 1 x ) ( 1 z ) ( N b C b )
E b 2 = x z ( S 1 L a b ) + ( 1 x ) z S 1 + x ( 1 z ) ( S 1 L a b ) + ( 1 x ) ( 1 z ) S 1
E ¯ b = y E b 1 + ( 1 y ) E b 2
The expected return of the construction crews choosing “Positive participation” is E c 1 , while choosing “Negative participation” is E c 2 . The average return of the construction crews is E ¯ c .
E c 1 = x y ( C c + R c + N c ) + ( 1 x ) y N c + x ( 1 y ) ( C c + R c + N c ) + ( 1 x ) ( 1 y ) ( N c C c )
E c 2 = x y ( S 2 L a c ) + ( 1 x ) y S 2 + x ( 1 y ) ( S 2 L a c ) + ( 1 x ) ( 1 y ) S 2
E ¯ c = z E c 1 + ( 1 z ) E c 2

3.4. Model Analysis

3.4.1. An Evolutionary Stability Strategy Analysis of a Stakeholder

From Formulas (1)–(3), the replication dynamic equation of the contractors is obtained as Formula (10).
F x = d x d t = x 1 x E a 1 E a 2 = x ( 1 x ) [ y z I L a b R b z R c z L a c C a + L a b + L a c ]
According to the stability conditions of the replication dynamic equation, when the replication dynamic equation of the contractors F x = 0 , F x < 0 , this point is the evolutionary stable point of the contractors, and the contractors are in a stable state. If F x = 0 , x = 0 , x = 1 , x = x = z = C a L a b L a c [ y ( I L a b R b ) R c L a c ] . When x = x = z = C a L a b L a c [ y ( I L a b R b ) R c L a c ] , F x = 0 , the contractors’ strategy is not affected by the evolutionary system, which is stable at any time, and the stable strategy is any strategy. When x > x , F x | ( x = 1 ) > 0 , F x | ( x = 0 ) < 0 , x = 0 is the stable strategy (the contractors choose “Lax supervision”). When x < x , F x | ( x = 1 ) < 0 , F x | ( x = 0 ) > 0 , x = 1 is the stable strategy (the contractors choose “Severe supervision”).
From Formulas (4)–(6), the replication dynamic equation of the subcontractors is obtained as Formula (11).
F y = d y d t = y 1 y E b 1 E b 2 = y 1 y N b C b S 1 + C b z C b x z + L a b x z + R b x z
From Formulas (7)–(9), the replication dynamic equation of the construction crews is obtained as Formula (12).
F z = d z d t = z 1 z E c 1 E c 2 = z ( 1 z ) N c C c S 2 + C c y + L a c x + R c x C c x y
According to the stability conditions of the replication dynamic equation, when the replication dynamic equation of the construction crews satisfy F z = 0 , F z < 0 , this point is the evolutionary stable point of the construction crews, and the construction crews are in a stable state. If F z = 0 , then z = z = y = N c C c S 2 + L a c x + R c x C c ( x 1 ) . When z = z = y = N c C c S 2 + L a c x + R c x C c ( x 1 ) , and F z = 0 , the construction crews’ strategy is not affected by the evolutionary system, which is stable at any time, and the stable strategy is any strategy. When z > z , F z | ( z = 1 ) > 0 , F z | ( z = 0 ) < 0 , z = 0 is the stable strategy (where construction crews choose “Negative participation”). When y < y , F z | ( z = 1 ) < 0 , F z | ( z = 0 ) > 0 , z = 1 is the stable strategy (where construction crews choose “Positive participation”).

3.4.2. An Evolutionary Stability Strategy Analysis of Three Stakeholders

A three-dimensional dynamic system can be obtained by connecting (10)–(12). Taking the partial derivatives of x , y , a n d   z , this study calculates the Jacobian matrix J for a three-position dynamical system and the corresponding eigenvalues.
J = F ( x ) x F ( x ) y F ( x ) z F ( y ) x F ( y ) y F ( y ) z F ( z ) x F ( z ) y F ( z ) z
F ( x ) x = ( 1 2 x ) [ y z ( I L a b R b ) z R c z L a c C a + L a b + L a c ]
F ( x ) y = x ( 1 x ) z ( I L a b R b )
F ( x ) z = x ( 1 x ) [ y ( I L a b R b ) R c L a c ]
F ( y ) x = y 1 y C b z + L a b z + R b z
F ( y ) y = ( 1 2 y ) N b C b S 1 + C b z C b x z + L a b x z + R b x z
F ( y ) z = y 1 y C b C b x + L a b x + R b x
F ( z ) x = z ( 1 z ) L a c + R c C c y
F ( z ) y = z ( 1 z ) C c C c x
F ( z ) z = ( 1 2 z ) N c C c S 2 + C c y + L a c x + R c x C c x y
Since there must be eight pure strategy points in the evolutionary equilibrium point of the three-dimensional dynamic system, the remaining mixed strategy may not exist. If F x = 0 , F y = 0 , F z = 0 , the dynamic system has equilibrium points as follows: E1(0,0,0), E2(1,0,0), E3(0,1,0), E4(0,0,1), E5(1,1,0), E6(1,0,1), E7(0,1,1), E8(1,1,1). The evolutionary stable strategy (ESS) of a multi-group evolutionary game assigning dynamic system must be the set of pure strategy Nash equilibrium, and only these eight pure strategy equilibrium points need to be considered. According to the equilibrium point’s asymptotic stability, when the Jacobian matrix’s eigenvalue is negative, the corresponding equilibrium point is the ESS of the dynamic system. The eigenvalues of the Jacobian matrix are shown in Table 3.
λ 1 = ( 1 2 x ) [ y z ( I L a b R b ) z R c z L a c C a + L a b + L a c ]
λ 2 = ( 1 2 y ) N b C b S 1 + C b z C b x z + L a b x z + R b x z
λ 3 = ( 1 2 z ) N c C c S 2 + C c y + L a c x + R c x C c x y

3.5. Simulation Analysis

According to the “Production Safety Law,” the “Regulations on Production Safety in Hunan Province,” and the “Provisions on the Principal Responsibility for Production Safety in Production and Business Entities in Hunan Province,” Hunan Province issued the “Key Points for Major Risk Control in Construction of Transportation Projects in Hunan Province: One Meeting, Three Cards, and Ten Significant Risks” in 2021. It aims to convey safety production requirements to construction workers, enhancing safety awareness and emergency response capabilities at the grassroots level. The “One Meeting and Three Cards” consists of a pre-work safety meeting, operational key point cards, risk alert cards, and emergency understanding cards. To further implement it, metaverse technology has been integrated into the safety training of HCPs. By developing a management platform system for “One Meeting, Three Cards” and constructing a knowledge base for the “Three Cards,” this study has created a ubiquitous intelligent learning environment that aligns with the learning characteristics of workers, facilitating smart recommendations and precise information delivery. The collaboration between humans and machines through voice interaction, combined with the dual-teaching approach involving an online pre-work meeting assistant and offline team leaders, enhances the effectiveness of pre-work meetings.
This study selected ten ongoing highway construction projects in Hunan Province that had officially implemented the “One Meeting, Three Cards” program integrating MST by July 2023, as shown in Figure 3. The selection followed three criteria as follows: (i) projects must be under active construction to ensure real-time data accessibility; (ii) each project must involve distinct contractor–subcontractor–construction crews to identify diverse stakeholder interactions; and (iii) project sizes and contractors should vary to ensure heterogeneity in organizational scale and management maturity. Although all ten cases are located in Hunan Province, they represent a cross-section of major Chinese state-owned, private, and joint-venture firms, ensuring coverage of diverse ownership structures and technological maturity levels. The region was selected for its pioneering adoption of MST policies since 2021, making it an appropriate pilot area rather than a geographical limitation. In this case, a random selection of participants can focus on the core issue and avoid unnecessary distractions. Therefore, this study randomly selected stakeholders from these ten projects to evaluate the effectiveness of MST, as shown in Table 4.
Ca, Cb, Cc, I, Rb, Rc, Lab, and Lac are the main parameters. The acquisition of these data faces numerous challenges in HCPs. When dealing with complex contractual relationships, data are dispersed across multiple organizations. Each stakeholder records data in different ways, making data integration difficult. The relevant data are considered sensitive information and are subject to strict privacy protection and commercial confidentiality restrictions. As an emerging technological application, the cost of MST may vary due to project requirements and technological complexity. The results in the financial data of each project have unique characteristics, making it difficult to standardize aggregations. This study uses multiple channels, including participant observation, internal files, and the Delphi method to collect data. Triangulation of data sources plays a crucial role in providing accurate information, constructing deep theoretical insights, and enhancing the robustness of theoretical outcomes [77].
In addition, given the complex evolutionary game context, it is challenging to directly specify concrete numerical values. This study employs the proportional coefficient method to obtain data in the initial simulations. The introduction of proportional coefficients simplifies the model formulation while maintaining the coherence among the various parameters [78,79]. Different proportional coefficients represent various strategic choices and environmental conditions. By adjusting these coefficients, it is possible to simulate the performance of different strategies in diverse environments, thereby gaining insight into the dynamics of evolutionary game behavior [80]. In the context of evolutionary games, the proportional coefficient method was used to transform qualitative insights into normalized, dimensionless numerical values. Specifically, all cost and benefit parameters were first evaluated by experts in relative terms rather than absolute financial figures. Each expert was asked to rate the perceived magnitude of the additional investment or benefit for contractors, subcontractors, and construction crews on a five-point scale, considering time, financial, and human resource inputs. Based on three Delphi rounds, the consensus ratios were determined. These ratios were then normalized to a 0–10 dimensionless scale to ensure comparability across all parameters and avoid unit inconsistency in the simulation. It can ensure coherence among model parameters while maintaining their relative magnitude. The numerical values are thus not direct monetary amounts but dimensionless representations of relative stakeholder burdens.
To improve simulation reliability, all parameters were calibrated using empirical data, expert input, and proportional derivation. Cost parameters (Ca, Cb, Cc) were based on R&D and financial expense ratios from the Statistical Yearbook of the China Construction Industry (2020) [85]. Benefit parameters (Nb, Nc) reflected average worker output, while short-term benefits (S1, S2) came from observed productivity gains in metaverse versus traditional safety training. Seven industry experts reviewed the values for consistency. A sensitivity analysis varying Ca, Nb, and S2 by ±20% confirmed robustness. The ESS remained stable, showing consistent model performance under plausible parameter changes. Additionally, to enhance reproducibility, data were triangulated across the following three independent sources: participant observation, internal documentation, and Delphi expert feedback. Consistency was verified through cross-checks of numerical data (rewards, penalties, costs) and qualitative statements (stakeholder attitudes). The combination of these sources mitigates single-method bias and strengthens the robustness of empirical support for the evolutionary game simulation.
(1)
Participant observation
From July 2021 to June 2022, investigators 1 and 2 conducted a study on the composition of additional costs associated with MST in HCPs. Data (i.e., C a , C b , C c , S 1 , S 2 ) was collected through the observation of stakeholder workflows and participation in relevant meetings.
This study found that the additional costs associated with this study include human resources, financial resources, and material resources. Contractors and subcontractors spend money on specialized training equipment, such as safety manuals, teaching videos, and online learning platforms. The subcontractors will provide the particular training site and equipment to ensure smooth training. Construction crews work more than eight hours, and the subcontractors must reasonably arrange the training time to ensure the projects’ average progress. According to the Statistical Yearbook of China Construction Industry 2020, the additional cost C b of the subcontractors is assigned as “R&D expenses of construction enterprises (186 billion yuan)”, and the additional cost C c of construction crews is assigned as “financial expenses of construction enterprises (155 billion yuan).” C b : C c 1.2 : 1 . Investigator 1 and 2 interviewed the project leader of “One Meeting and Three Cards.” They pointed out that “relevant policies and contractual commitments, such as platform testing, put more pressure on subcontractors and construction crews. In particular, subcontractors spend more time organizing construction crews.” This study assume that C a = 4 , C b = 8 , C c = 6 based on the discussion from external experts 1, 2, and 3.
The short-term benefits of the subcontractors come from the reduction in project management personnel’s input. Construction crews show they do not need to pay corresponding energy, especially in solving complex operational problems, saving more time. These costs and time may be used for other construction activities. The short-term benefit of the subcontractors S 1 is assigned as “per capita completion output value 229,815 yuan/person”, and the short-term benefit of construction crews S 2 is assigned as “labor productivity calculated according to total output value 587,122 yuan/person”, S 1 : S 2 = 1 : 2.6 . Therefore, assume that the short-term benefit of subcontractors is S 1 = 3 , and the short-term benefit of construction crews is S 2 = 7.8 .
(2)
Internal files
From June 2022 to July 2023, investigators 1, 3, and 4 conducted in-depth research on these ten projects. They participated in multiple MST meetings and activities. Through on-site operations and centralized learning, they submitted requests to various projects to review relevant internal documents, including “Minutes of the Special Meeting on ‘Three Major Issues and One Big Decision’,” “Plan for the ‘One Meeting, Three Cards’ Learning Competition,” “Summary of the ‘One Meeting, Three Cards’ Learning Competition,” and “Distribution Table for Bonuses from the ‘One Meeting, Three Cards’ Learning Competition.” The contractors instructed the subcontractors to organize monthly MST knowledge contests. The contractors give cash rewards to the subcontractors (average 400 yuan/person) and construction crews (average 450 yuan/crew). The penalties include verbal criticism and delayed payment, which were quantified based on the financial impact of delayed payments and the potential loss of productivity due to verbal criticism. Specifically, delayed payment was quantified as the average amount of delayed wages per crew member, which was estimated based on historical project data. Verbal criticism was quantified by considering the potential reduction in productivity and morale, which was estimated through interviews with project managers and construction crews. The contractors impose penalties on the subcontractors (average 300 yuan/person) and construction crews (average 450 yuan/crew). Therefore, suppose the contractors reward or penalize the subcontractors and construction crews R b = 4 , R c = 4.5 , L a b = 3 , L a c = 4.5 . The data information has been recognized by experts 1, 2, and 3 outside the team.
(3)
Delphi method
First, this study employed the Delphi method to identify four contractors and three subcontractors as experts, consisting of both national groups and local companies [27]. Three rounds of research were conducted, including multiple surveys involving seven experts from these entities through face-to-face interviews, Tencent conference discussions, and the distribution of questionnaires. Subsequently, this study provided the experts with all the background information collected by the team, clearly defining the objectives, issues, and scope of the prediction [77]. Next, experts offer their opinions, based on the information at hand and professional knowledge anonymously. They freely express opinions without influence from others and explain the rationale for their forecasts. Then, the team members aggregated and organized predictions from the experts, without revealing the identities of the individual experts. Thereafter, the consolidated opinions were fed back to each expert for their reference and further contemplation. Finally, the experts reevaluated their predictions and may adjust their original viewpoints accordingly based on the feedback from the previous round.
In China, the government has not yet issued policies of MST for HCPs. However, the related policies have made explicit provisions for safety training. Most local governments will give equipment investment subsidies. Policy support and financial incentives for contractors can reduce the investment, but it is not equivalent to the cost. It is an additional input to encourage the contractors to fulfill the safety responsibilities. This study assumes the owners’ policy support and financial incentives for contractors I = 10 .
The other parameters are assigned according to the actual situation and their relationship with the main parameters. The subcontractors’ positive implementation of safety training can enhance employees’ safety awareness and shape the project’s good safety culture. Under the MST scenario, the subcontractors improve the emergency handling capacity. Construction crews’ essential benefit is ensuring their life and property safety. For MST, stakeholders are more focused on non-financial objectives. A cost–benefit ratio of 1:1 in this case may be seen as an acceptable point, as the project at least meets the bottom line of cost recovery while being able to pursue more important objectives. Considering that the cost–benefit ratio is close to 1:1, N b : N c C b : c c 1.25 : 1 . However, expert 1 and expert 2 believed that the benefit ratio of subcontractors and construction crews is slightly lower than their cost ratio. Because subcontractors invest more in MST, they may not receive significant returns in the short term. In this regard, we invited three external experts (who have long been involved in project cost management research) and agreed that N b : N c 1.25 : 1 was appropriate. Further, MST may initially require input from subcontractors and construction crews, while the benefits will far outweigh the costs in the long run. Therefore, this study assumes that the primary benefit of the subcontractors is N b = 10 , and the primary benefit of the construction crews is N c = 8 . In HCPs, stakeholders’ MST will not receive a high return.
Compared with traditional safety training, MST has immersive experience and virtual interaction characteristics, showing better training results. It helps to reduce the probability of safety incidents. Safety accidents will cause many adverse effects on the contractors, such as delays, loss of labor, brand reputation damage, economic compensation, and legal liability. Work Safety Law of China has also made a series of regulations on the safety management of construction enterprises. This study assumes that the loss of contractors L a = 9 .
In conclusion, this study assumes that C a = 4 , C b = 8 , C c = 6 , I = 10 , R b = 4 , R c = 4.5 , L a b = 3 , L a c = 4.5 , N b = 10 , N c = 8 , S 1 = 3 , S 2 = 7.8 , L a = 9 .

4. Results

MATLAB R2023a is a system tool to simulate the dynamic evolution of game stakeholders’ strategies. It assigns values to model parameters based on relevant data and information and is employed to analyze the sensitivity of these parameters. The horizontal axis represents the number of iterations, while the vertical axis represents the frequency of the corresponding strategies. The situation in evolutionary games where an indicator has two lines is related to the players in the game and their strategies. They represent the two strategies of different stakeholders and the corresponding index changes.

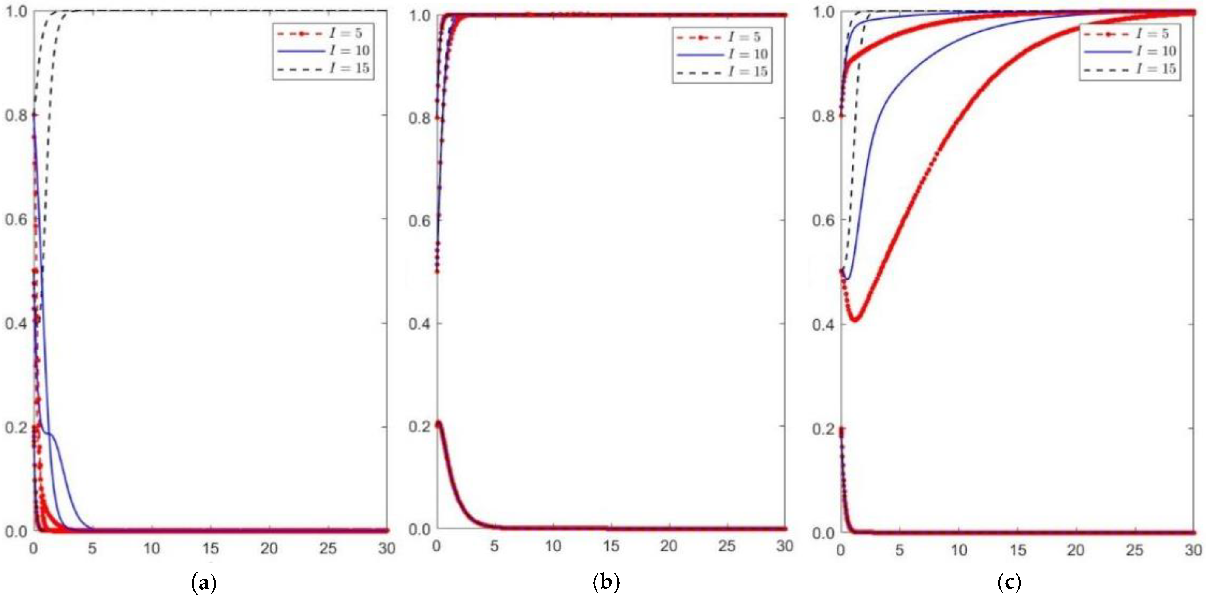
4.1. The Impact of Owners’ Policy Support and Financial Incentives

Figure 4 shows the effects of changes in owners’ policy support and financial incentives on game behavior while keeping the other parameters constant. Figure 4a indicates that when owners’ policy support and financial incentives to the contractors are at medium levels, the contractors are willing to supervise MST. Low and high policy support and financial incentives make the contractors quickly converge to a stable state. The former means “Lax supervision,” the opposite of which is the latter represents “Severe supervision.” This is consistent with engineering practice. MST requires advanced technology and many resources, including artificial intelligence, virtual reality, and blockchain. Due to the amount of investment with uncertain returns, exploring collaboration with governments, businesses, and the public is indispensable. In this case, the contractors may spend more than the low level on MST regulation. Considering the economy, they will reduce investment. The contractors’ concern about market risks and the uncertainty in HCP recognition and acceptance also affect their attitudes to MST.
Figure 4b represents owners’ policy support and financial incentives that will quickly converge the subcontractors into a stable state. Figure 4c illustrates that owners’ policy support and financial incentives will quickly converge the construction crews into a stable state, and the higher the reward level, the more pronounced the convergence trend. Based on equilibrium points, owners’ policy support and financial reward is an essential factor affecting the strategic choice of contractors and subcontractors. If I = 15 , I > C a + R b + R c , the three players choose strategy E7(0,1,1). If I = 5 , 10 , I < C a + R b + R c , it is in an unstable state point. The high level makes the contractors tend to “Severe supervision,” then the subcontractors’ and construction crews’ strategic choices will be affected.

4.2. The Impact of Contractors’ Incentives

Figure 5 shows that the influence of the change in the contractors’ reward on the game behavior is investigated separately when other parameters are unchanged. When the reward of the contractors is 0, it gradually converges to 0 and eventually stabilizes to E1(0,0,0). In the early stage, when the contractors are not rewarded, the attitude of the subcontractors is gradually negative, and the construction crews quickly converge to 0. It can be attributed to the differences in safety awareness, cognition, and attitudes between contractors and construction crews. Contractors have higher safety knowledge due to their managerial responsibilities and exposure to safety regulations. In contrast, construction crews are composed of workers with lower educational backgrounds and limited exposure to formal safety training. They are more likely to prioritize immediate tasks over safety unless incentivized. The differences between safety culture and awareness explain why contractors are more likely to participate in safety training actively even without rewards, while construction crews refrain from taking part.
As shown in Figure 5b, reward motivates subcontractors to adopt the “Positive execution” strategy. Subcontractors highly respond to financial incentives provided by contractors. The relationship between the reward and the subcontractors’ strategy is not strictly linear. While financial incentives are effective, the incentive effect of reward is affected by various factors, such as the reward type and the subcontractors’ internal incentive mechanism. Nevertheless, if the reward mechanism is not designed reasonably, the effect will be poor performance. For example, the incentive effect will be limited if the rewards are not aligned with the actual demands or expectations of the subcontractors and construction crews or if the rewards are perceived as unfair or insufficient. This is supported by the simulation results, which show that when the reward levels exceed a certain threshold, the rate at which construction crews converge to positive participation decreases. It suggests that excessive or poorly structured rewards can lead to diminishing returns, as they may create an environment of over-reliance on incentives rather than fostering internal motivation. In addition, if the reward system is not transparent or disproportionately benefits certain groups, it can lead to reduced cooperation among workers, further influencing the effectiveness of the safety training.
As seen from Figure 5c, the larger the R b , R c , the more inclined construction crews are to “Positive execution.” However, when the critical value of R b , R c is exceeded, the rate at which the construction crews converge to one decreases. The critical value is the threshold in evolutionary dynamics where the expected payoff difference between “positive” and “negative” participation for construction crews approaches zero. Below this threshold, each additional reward significantly boosts perceived benefits, accelerating strategy updates. Above it, the marginal motivational effect declines. Excessive incentives shift focus from intrinsic safety awareness to external rewards, weakening the internalization of safe behaviors. As the payoff gap narrows, the replication rate decreases, slowing convergence to the stable state. This indicates diminishing returns beyond the critical value, highlighting the necessity for balanced incentive design in MST. Rewards can motivate construction crews to participate in MST to improve work efficiency and safety productivity. When the reward reaches a certain level, the demands and expectations of workers will rise. If the reward no longer meets their expectations, it is no longer motivating. It is supported by the simulation results, where the convergence rate slows down as the reward increases beyond a certain threshold. Excessive rewards may lead to an unfair work environment or increase competition. It could make working conditions worse for construction crews, affecting their productivity.

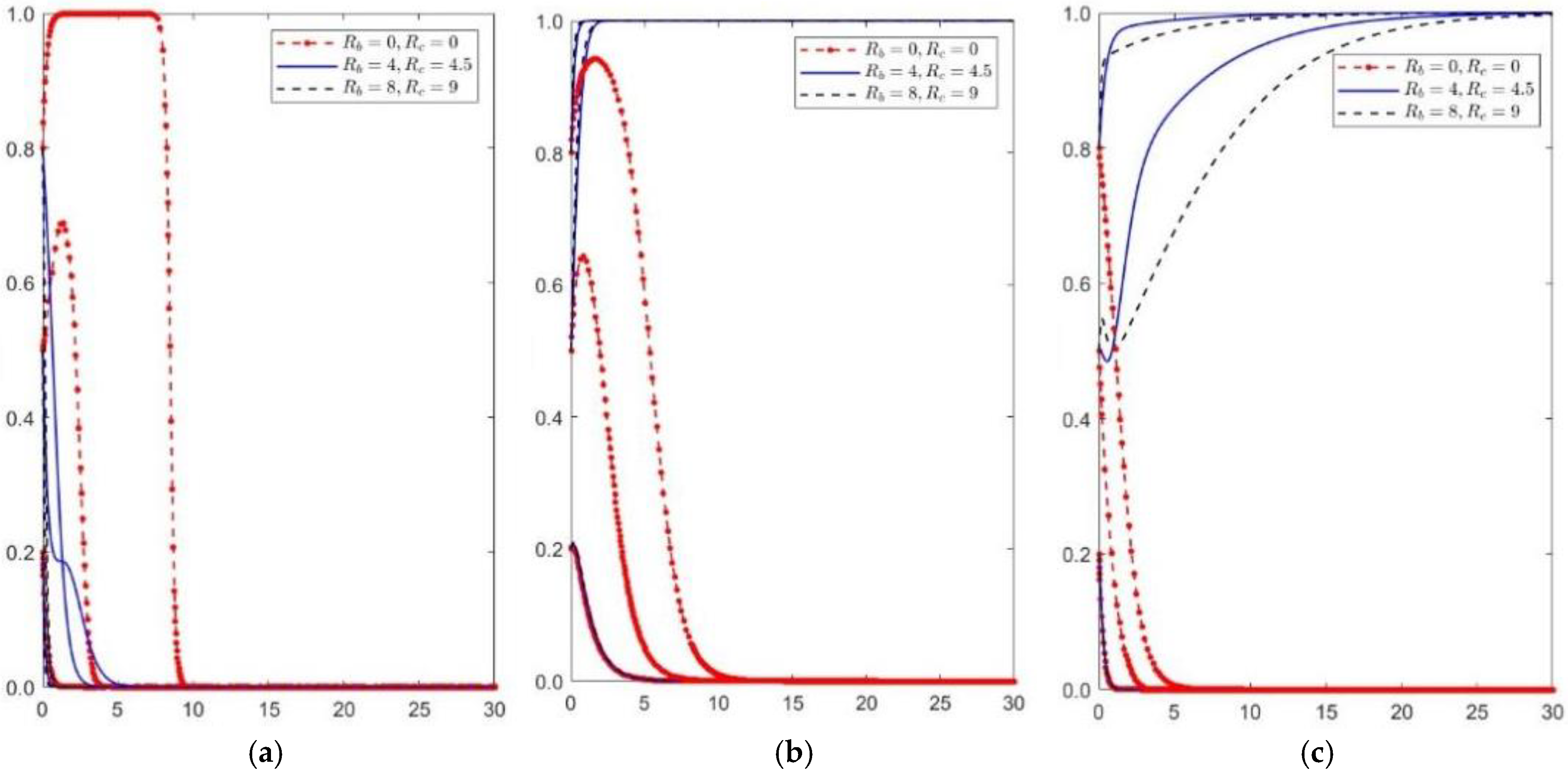
4.3. The Impact of Contractors’ Penalties

Figure 6 shows that the influence of penalty change in contractors on game behavior is investigated separately when other parameters are unchanged. As seen from Figure 6a, with the increase in penalty, the convergence rate of the contractors slows down, and the period of reaching the stability strategy is extended. The contractors can first warn or criticize the subcontractors, remind them of the importance of actively implementing MST, and ask them to correct their behavior. If the contractors fail to ensure their employees participate in MST, they may choose traditional safety training even if the penalty has little effect. Traditional safety training reduces the cost and avoids the potential risks of new technology applications.
As can be seen from Figure 6b, when the contractors are not punished, the subcontractors gradually converge to zero and choose “Negative execution.” With the increase in penalty the convergence speed of the subcontractors is becoming faster and faster. The contractors must punish the subcontractors, which can make them pay more attention to MST. When a particular critical value is reached, the increase in penalty will not accelerate the convergence of the subcontractors. As can be seen from Figure 6c, when the contractors are not punished, the construction crews quickly converge to zero and choose “Negative participation.” The greater the penalty the faster the construction crews converge, eventually converging to one.
To further generalize the simulation results, this study conducted sensitivity and uncertainty analyses using the Monte Carlo sampling method. Each key parameter (I, Rb, Rc, Lab, Lac) was perturbed within ±20% of its baseline value, and 1000 iterations were performed. The results indicate that Rb and Rc have the highest first-order Sobol indices (0.41 and 0.36, respectively), demonstrating their dominant influence on the convergence of stakeholders’ strategies. The evolutionary stable state E7(0,1,1) remains robust in 92.4% of all simulations, confirming the stability of the model under parameter uncertainty. In addition, a two-factor interaction analysis of Rb and Lab reveals a nonlinear synergistic effect, suggesting that excessive penalties weaken the positive impact of rewards.

5. Discussions

5.1. Redefining Stakeholder Roles and Highlighting Owners’ Indirect Influence in MST

As clarified in Section 2.2, owners are not direct participants in the tripartite evolutionary game, but external facilitators whose policy and financial inputs influence contractors’ strategies. Owners’ indirect influence is reflected in the transmission of their policy incentives and regulatory signals through contractors to subcontractors and construction crews, driving MST adoption and implementation dynamics. This study investigates the evolutionary game of MST in HCPs, with a clear focus on the direct stakeholders. The shift in perspective aims to deeply analyze how these stakeholders design, implement, and optimize safety training processes within the metaverse environment to ensure the safety and efficiency of construction. This study emphasizes the responsibility of direct stakeholders while prudently diminishing the indirect role of owners in MST. However, it does not imply that the role of owners is unimportant. Although owners are not the primary participants in construction safety management, their attention to and investment in production safety can indirectly enhance the effectiveness of MST. This study emphasizes how owners can indirectly facilitate the improvement and development of the MST system by establishing policies, providing resources, and overseeing implementation. The role of owners has been redefined as the silent facilitator and supervisor of the MST ecosystem. Although their influence does not act directly on the MST process, it plays a decisive role in shaping the direction, standards, and outcomes of the training.
As shown in Figure 4, when owners give policy support and financial incentives, the contractors tend to “Severe supervision.” There is a “signal effect” to the eligible policy support and financial incentives, which affect the contractors’ strategies through resource allocation, policy guidance, and economic input [78]. In the model, the signal effect is operationalized through parameter I, which captures owners’ policy support and financial incentives. Although not explicitly isolated as a standalone variable in the payoff matrix, variations in I directly influence the evolutionary stability of contractors’ supervision strategies, effectively serving as an endogenous signal propagated through resource allocation and policy implementation channels. For this reason, this study presents some suggestions. Specifically, owners are willing to help contractors purchase and maintain MST-related equipment and train construction crews on how to use it, making MST more popular and more accessible to implement. Otherwise, a public metaverse service platform rent for MST-related equipment is required for contractors [15,79]. In this case, contractors may conduct efficient safety training without purchasing expensive equipment. Meanwhile, urging contractors to monitor the subcontractors’ MST is a necessary measure. Various MST publicity (i.e., media and publicity boards) can affect the safety awareness of stakeholders imperceptibly.

5.2. Considering More on Construction Crews Rather than Construction Workers

One of the innovative points of this study is the shift in focus from construction workers to construction crews as the parties engaged in the evolutionary game. Construction crews possess the advantages of collective action. Members within the construction crew can learn from and influence each other in MST, collectively enhancing safety awareness and operational skills. This collective effort contributes to the formation of a unified set of safety behaviors, reducing individual differences and conflicts. When comparing construction workers to a construction crew as a whole, viewing the latter can lead to a more efficient analysis and decision-making during the training process, as well as their interests and demands. This approach can help design more reasonable incentive mechanisms and supervision measures. In the context of evolutionary game theory, the construction crew, as a collective entity, possesses greater negotiation power and influence. When the team assumes the role of a player in the game, it can more effectively safeguard its interests and advocate for improved MST conditions and benefits. Construction crews are the fundamental production and management unit in HCPs. Research on the construction crew as a player in the game aligns with the actual management demands and operational habits.
When construction crews choose “Positive participation,” there will be a “demonstration effect,” reducing the subcontractors’ investment and making the subcontractors “Positive execution.” The demonstration effect is evident in the simulation trajectories, where an increase in construction crews’ positive participation accelerates subcontractors’ positive execution. It emerges from co-evolutionary dynamics rather than being externally imposed, reflecting stakeholder imitation and learning as intrinsic mechanisms within the system. The proportional cost allocation catalyzes the subcontractors’ “Positive execution” to promote MST. In this vein, MST can reduce the impact on working hours for construction crews. However, it is still necessary to arrange training programs properly to avoid affecting regular work and production schedules [24]. The subcontractors should arrange short-term and concentrated training during the construction gap and rest time. After the training, the subcontractors should assess the effectiveness to highlight the influences on the actual work. Collecting feedback and suggestions from workers through questionnaire surveys and field observation is crucial to optimizing training content and methods [46]. The subcontractors should encourage construction crews to participate in MST using rewards and assessments to create a positive learning atmosphere and competition mechanism. Furthermore, cooperating with government and industry associations will promote the development and application of MST. More support and resources can be obtained through cooperation to improve social benefits.

5.3. Balancing Reward and Penalty

The integration of reward and penalty mechanisms for contractors and subcontractors in the evolutionary game model has opened up a new path for MST. By incorporating reward and penalty this study has conducted an in-depth analysis of the behavioral choices and their consequences of contractors and subcontractors. The reward and penalty mechanism, as a dual means of incentive and constraint, has effectively promoted the attention and investment of various stakeholders in MST. Contractors and subcontractors, while seeking to maximize interests, must also consider the positive or negative impacts their actions may have on other parties (such as the construction crew, the owner, and even the entire project).
Table 3 shows that E7(0,1,1) is the ESS, E3(0,1,0), E4(0,0,1), and E8(1,1,1) are unstable points. It indicates that the “Severe supervision” of the contractors can stimulate the enthusiasm of the subcontractors and construction crews. However, due to the imbalance of the rewards and penalties of the contractors, the final trend is toward the equilibrium point E7(0,1,1). In other words, the contractors’ reasonable reward and penalty system can stimulate the enthusiasm of the subcontractors and construction crews. A reasonable evaluation mechanism is established, and the performance of subcontractors and construction crews in MST is conducive to implementing the reward and penalty system [80]. By encouraging employees to assess themselves, contractors can understand the demands and opinions in management and practice to improve the content and methods of training. The most important thing is that the contractors should establish a complete incentive mechanism to ensure fairness, justice, and effectiveness [81,82]. Employees who do not comply with the system should be resolutely punished to achieve a warning effect.

5.4. The Complexity and Dynamic Interactions Between Agents

In the process of engaging in MST, the participants not only obtain benefits for themselves but also generate certain gains for other participants. This study also expands the scope of research regarding the influence of agents on other entities beyond themselves. Rather than being limited to decision-making analysis within a single agent, this research extends perspective to the MST system, exploring the interactions and feedback mechanisms between different agents. This cross-agent approach contributes to a more comprehensive understanding of the complexity and dynamics inherent in safety training games.
This study found that the higher the reward contractors give to the construction crews, the more active the construction crews become, but the relationship is not proportional [83]. If the penalty is too significant or unreasonable, it may lead to resentment and resistance among construction crews, reducing their motivation and participation. Combining the research results of construction crews with incentive mechanisms, rewards can enhance the enthusiasm and motivation to participate in training. For the workers who perform well, specific commendations and awards can be given to encourage them. For workers with poor performance, training is required to improve their safety awareness and skill level rather than severe penalty. At the same time, contractors and subcontractors use the metaverse platform to establish safety training communities for construction crews so that they can communicate and share experiences and skills [84,86]. Construction crews can provide timely feedback on training issues and references for improving training content through the social platform. In addition, interactive learning experiences can be designed to allow construction crews to learn and practice safe operations in a simulated natural environment using the metaverse.

6. Conclusions

This study analyzes the interaction and behavioral strategies dynamically among contractors, subcontractors, and construction crews for implementing MST in HCPs. A tripartite evolutionary game model and simulation analysis were used to provide the corresponding measures and reduce accidents.
(1)
The choice of behavioral strategies and evolutionary paths for any given game stakeholder is closely related to the strategies of other stakeholders. Additionally, there are significant differences in the extent to which each stakeholder influences the initial strategies of the others. When formulating policy support and financial incentive strategies, the demands and expectations of all stakeholders must be fully considered. Policymakers and contractors must understand how these incentives affect stakeholders’ expectations of MST. Effective incentives with subcontractors and construction crews should be established for contractors to ensure a stable state of MST.
(2)
Owners’ policy support and financial incentives have a positive effect on contractors. These strategies can alleviate the economic burden on contractors in the context of MST and stimulate motivation for supervision. At the same time, increasing rewards for subcontractors and construction crews by the contractor is conducive to achieving a collaborative synergy among the three stakeholders, thereby promoting the positive evolution of the game system. However, excessive rewards may hinder the beneficial evolution of the system. When contractors provide excessive rewards, it can lead to an unfair work environment and competition. Therefore, contractors should increase their investment within a moderate range to promote collaboration among the three parties and enhance the effectiveness of MST.
(3)
The benefits gained from enhancing MST effectiveness have a positive impact on subcontractors. Although enhancing the effectiveness of MST incurs certain costs, the benefits it yields far outweigh expenses. These benefits are not only reflected in direct economic gains (such as reduced operational costs and increased project success rates) but also manifest in the long-term competitiveness and sustainability of the enterprises. Subcontractors should pay more attention to social benefits and sustainable development to adopt more environmentally friendly, healthy measures and contribute to HCPs.
(4)
The enhancement of reward and penalty measures has a significant positive impact on the enthusiasm of construction crews to participate in MST. Increased intensity of rewards and penalties indicates a marked elevation in the attention project managers place on MST. The clear signal makes construction crews realize that MST is not merely a routine task but is directly related to their professional development. The reward mechanism can directly stimulate the enthusiasm of the construction crew to participate in MST. Whether in the form of material or non-material rewards, it allows the construction crew to recognize the benefits that can be gained through their diligent participation in MST. Corresponding to rewards is the penalty mechanism. When the intensity of rewards and penalties increases, individuals who fail to participate in or engage half-heartedly in safety training may face more severe consequences, such as fines or even termination of employment. The constraint mechanism creates an external pressure that compels members of the construction crew to take training seriously, in order to avoid incurring costs due to their own negligence or laziness. The intensification of rewards and penalties may foster an atmosphere of both competition and collaboration within the construction crew. Construction workers will motivate and assist one another, collectively enhancing safety awareness and skill levels.
Although this study focuses on HCPs in Hunan, China, the tripartite structure (i.e., contractors, subcontractors, and construction crews) is common in global construction. The model’s parameters can be adjusted for different institutional, regulatory, and cultural contexts. Thus, the framework is not limited to China and can be applied elsewhere by tuning policy intensity and stakeholder interaction coefficients. Future research should compare MST outcomes across countries with different governance systems or cultural power distances to improve the model’s international applicability.
After explaining the results, some limitations should be noted. First, the model assumptions and data structure inherently introduce potential biases. The simulation parameters are based on ten HCPs in Hunan Province, China, which limits their representativeness across diverse project governance frameworks and incentive mechanisms in other regional or institutional contexts. While the use of proportional coefficients improves computational tractability by simplifying evolutionary dynamics, it risks obscuring behavioral heterogeneity among stakeholders. Furthermore, the assumptions of bounded rationality and partial information symmetry, though analytically convenient, likely oversimplify the complex and often asymmetric decision-making environments faced by contractors, subcontractors, and construction crews in practice.
Second, data collection relied on expert judgments, internal documents, and participant observation. While triangulation was employed to enhance reliability, the accuracy of certain parameters may still be influenced by subjective assessments and institutional constraints inherent in the data sources. Consequently, the results should be interpreted as indicative of potential behavioral trends rather than definitive representations of stakeholder decision-making.
Third, while numerical simulations offer theoretical validation of model dynamics, the study has not yet empirically validated its outcomes against real-world project performance indicators, such as safety incident frequency, training completion rates, or efficiency improvements. Future research should establish this empirical linkage by integrating performance data from ongoing highway projects or pilot MST implementations. Incorporating field surveys, behavioral observations, and longitudinal tracking of performance metrics would strengthen the evaluation of how closely the simulated equilibrium reflect actual training outcomes.
Finally, future studies should refine the model by incorporating cultural dimensions, cross-regional policy variations, and heterogeneous learning capabilities among stakeholders. Expanding this framework to other construction sectors and validating it with empirical project performance data would significantly enhance its robustness and practical applicability in diverse operational contexts.

Author Contributions

Conceptualization, C.C. and X.T.; methodology, C.C.; software, C.C.; validation, C.C.; formal analysis, C.C.; investigation, C.C.; resources, X.T.; data curation, X.T.; writing—original draft preparation, C.C. and X.T.; writing—review and editing, C.C.; supervision, X.T.; project administration, X.T.; funding acquisition, X.T. All authors have read and agreed to the published version of the manuscript.

Funding

The authors gratefully acknowledge the funding support from Natural Science Foundation of Xiamen, China (Grant No. 3502Z202473064); the Research Initiation Program of Jimei University (ZQ2024051); the Teaching Reform Research Project of Hunan Institute of Technology in 2023 (grant No. JY202317).

Institutional Review Board Statement

Not applicable.

Informed Consent Statement

Not applicable.

Data Availability Statement

Data for this study are available upon request to the corresponding author.

Conflicts of Interest

The authors declare no conflicts of interest.

References

  1. Awolusi, I.; Marks, E.D. Active Work Zone Safety: Preventing Accidents Using Intrusion Sensing Technologies. Front. Built Environ. 2019, 5, 21. [Google Scholar] [CrossRef]
  2. Nnaji, C.; Lee, H.W.; Karakhan, A.; Gambatese, J. Developing a Decision-Making Framework to Select Safety Technologies for Highway Construction. J. Constr. Eng. Manag. 2018, 144, 04018016. [Google Scholar] [CrossRef]
  3. Rashid, H.M.; Ahmed, A.; Wali, B.; Qureshi, N.A. An analysis of highway work zone safety practices in Pakistan. Int. J. Inj. Control Saf. Promot. 2019, 26, 37–44. [Google Scholar] [CrossRef]
  4. Arditi, D.; Lee, D.-E.; Polat, G. Fatal accidents in nighttime vs. daytime highway construction work zones. J. Saf. Res. 2007, 38, 399–405. [Google Scholar] [CrossRef]
  5. Kim Young, A.; Ryoo Boong, Y.; Kim, Y.-S.; Huh Woon, C. Major Accident Factors for Effective Safety Management of Highway Construction Projects. J. Constr. Eng. Manag. 2013, 139, 628–640. [Google Scholar] [CrossRef]
  6. Li, Y.; Hu, Y.; Xia, B.; Skitmore, M.; Li, H. Proactive behavior-based system for controlling safety risks in urban highway construction megaprojects. Autom. Constr. 2018, 95, 118–128. [Google Scholar] [CrossRef]
  7. Scorgie, D.; Feng, Z.; Paes, D.; Parisi, F.; Yiu, T.W.; Lovreglio, R. Virtual reality for safety training: A systematic literature review and meta-analysis. Saf. Sci. 2024, 171, 106372. [Google Scholar] [CrossRef]
  8. Chen, T.-T.; Leu, S.-S. Fall risk assessment of cantilever bridge projects using Bayesian network. Saf. Sci. 2014, 70, 161–171. [Google Scholar] [CrossRef]
  9. Xu, S.; Zhang, M.; Hou, L. Formulating a learner model for evaluating construction workers’ learning ability during safety training. Saf. Sci. 2019, 116, 97–107. [Google Scholar] [CrossRef]
  10. Din, Z.U.; Gibson, G.E., Jr. Serious games for learning prevention through design concepts: An experimental study. Saf. Sci. 2019, 115, 176–187. [Google Scholar] [CrossRef]
  11. Pamucar, D.; Deveci, M.; Gokasar, I.; Tavana, M.; Köppen, M. A metaverse assessment model for sustainable transportation using ordinal priority approach and Aczel-Alsina norms. Technol. Forecast. Soc. Change 2022, 182, 121778. [Google Scholar] [CrossRef]
  12. Park, S.M.; Kim, Y.G. A Metaverse: Taxonomy, Components, Applications, and Open Challenges. IEEE Access 2022, 10, 4209–4251. [Google Scholar] [CrossRef]
  13. Riva, G.; Wiederhold, B.K. What the Metaverse Is (Really) and Why We Need to Know About It. Cyberpsychol Behav. Soc. Netw. 2022, 25, 355–359. [Google Scholar] [CrossRef] [PubMed]
  14. Dwivedi, Y.K.; Hughes, L.; Wang, Y.; Alalwan, A.A.; Ahn, S.J.; Balakrishnan, J.; Wirtz, J. Metaverse marketing: How the metaverse will shape the future of consumer research and practice. Psychol. Mark. 2023, 40, 750–776. [Google Scholar] [CrossRef]
  15. Oh, H.J.; Kim, J.; Chang, J.J.C.; Park, N.; Lee, S. Social benefits of living in the metaverse: The relationships among social presence, supportive interaction, social self-efficacy, and feelings of loneliness. Comput. Hum. Behav. 2023, 139, 107498. [Google Scholar] [CrossRef]
  16. Guo, Z.; Wang, Q.; Peng, C.; Zhuang, S.; Yang, B. Willingness to accept metaverse safety training for construction workers based on extended UTAUT. Front. Public Health 2024, 11, 1294203. [Google Scholar] [CrossRef]
  17. Lee, J.; Kundu, P. Integrated cyber-physical systems and industrial metaverse for remote manufacturing. Manuf. Lett. 2022, 34, 12–15. [Google Scholar] [CrossRef]
  18. Gu, J.; Wang, J.; Guo, X.; Liu, G.; Qin, S.; Bi, Z. A Metaverse-Based Teaching Building Evacuation Training System with Deep Reinforcement Learning. IEEE Trans. Syst. MAN Cybern. Syst. 2023, 53, 2209–2219. [Google Scholar] [CrossRef]
  19. Guo, H.; Li, H.; Chan, G.; Skitmore, M. Using game technologies to improve the safety of construction plant operations. Accid. Anal. Prev. 2012, 48, 204–213. [Google Scholar] [CrossRef]
  20. Bao, L.; Tran, S.V.-T.; Nguyen, T.L.; Pham, H.C.; Lee, D.; Park, C. Cross-platform virtual reality for real-time construction safety training using immersive web and industry foundation classes. Autom. Constr. 2022, 143, 104565. [Google Scholar] [CrossRef]
  21. Han, Y.; Yang, J.; Diao, Y.; Jin, R.; Guo, B.; Adamu, Z. Process and Outcome-based Evaluation between Virtual Reality-driven and Traditional Construction Safety Training. Adv. Eng. Inform. 2022, 52, 101634. [Google Scholar] [CrossRef]
  22. Shayesteh, S.; Ojha, A.; Liu, Y.; Jebelli, H. Human-robot teaming in construction: Evaluative safety training through the integration of immersive technologies and wearable physiological sensing. Saf. Sci. 2023, 159, 106019. [Google Scholar] [CrossRef]
  23. Daniel, E.I.; Pasquire, C.; Dickens, G.; Ballard, H.G. The relationship between the last planner® system and collaborative planning practice in UK construction. Eng. Constr. Archit. Manag. 2017, 24, 407–425. [Google Scholar] [CrossRef]
  24. Marin, L.S.; Roelofs, C. Promoting Construction Supervisors’ Safety-Efficacy to Improve Safety Climate: Training Intervention Trial. J. Constr. Eng. Manag. 2017, 143, 04017037. [Google Scholar] [CrossRef]
  25. Kim, N.K.; Rahim, N.F.A.; Iranmanesh, M.; Foroughi, B. The role of the safety climate in the successful implementation of safety management systems. Saf. Sci. 2019, 118, 48–56. [Google Scholar] [CrossRef]
  26. Arif, M.; Nasir, A.R.; Thaheem, M.J.; Khan, K.I.A. ConSafe4All: A framework for language friendly safety training modules. Saf. Sci. 2021, 141, 105329. [Google Scholar] [CrossRef]
  27. Dou, Y.; Sun, X.; Ji, A.; Wang, Y.; Xue, X. Development strategy for prefabricated construction projects: A tripartite evolutionary game based on prospect theory. Eng. Constr. Archit. Manag. 2023, 30, 105–124. [Google Scholar] [CrossRef]
  28. An, X.; Ren, S.; Wang, L.; Huang, Y. Evolutionary game analysis of collaborative application of BIM platform from the perspective of value co-creation. Eng. Constr. Archit. Manag. 2024, 32, 4458–4474. [Google Scholar] [CrossRef]
  29. Zhang, N.; Deng, X.; Hwang, B.-G.; Bi, M.; Mahmoudi, A. A Novel Approach to Selecting the Best Partner for High-Speed Rail Firms. Eng. Constr. Archit. Manag. 2021, 29, 2130–2152. [Google Scholar] [CrossRef]
  30. Zhu, J.; Shi, Q.; Zhang, C.; Yuan, J.; Li, Q.; Wang, X. Investigating cooperative strategies in low-carbon public–private partnership projects through evolutionary game. Eng. Constr. Archit. Manag. 2022, 31, 789–811. [Google Scholar] [CrossRef]
  31. Buhalis, D.; Leung, D.; Lin, M. Metaverse as a disruptive technology revolutionising tourism management and marketing. Tour. Manag. 2023, 97, 104724. [Google Scholar] [CrossRef]
  32. Han, E.; Miller, M.R.; DeVeaux, C.; Jun, H.; Nowak, K.L.; Hancock, J.T.; Bailenson, J.N. People, places, and time: A large-scale, longitudinal study of transformed avatars and environmental context in group interaction in the metaverse. J. Comput.-Mediat. Commun. 2023, 28, zmac031. [Google Scholar] [CrossRef]
  33. Almeida, L.G.G.; Vasconcelos, N.V.D.; Winkler, I.; Catapan, M.F. Innovating Industrial Training with Immersive Metaverses: A Method for Developing Cross-Platform Virtual Reality Environments. Appl. Sci. 2023, 13, 8915. [Google Scholar] [CrossRef]
  34. Wang, J.; Chen, S.; Liu, Y.; Lau, R. Intelligent Metaverse Scene Content Construction. IEEE Access 2023, 11, 76222–76241. [Google Scholar] [CrossRef]
  35. Lee, U.-K.; Kim, H. UTAUT in Metaverse: An “Ifland” Case. J. Theor. Appl. Electron. Commer. Res. 2022, 17, 613–635. [Google Scholar] [CrossRef]
  36. Teng, Z.; Cai, Y.; Gao, Y.; Zhang, X.; Xinlong, L. Factors Affecting Learners’ Adoption of an Educational Metaverse Platform: An Empirical Study Based on an Extended UTAUT Model. Mob. Inf. Syst. 2022, 2022, 5479215. [Google Scholar] [CrossRef]
  37. Nykänen, M.; Puro, V.; Tiikkaja, M.; Kannisto, H.; Lantto, E.; Simpura, F.; Teperi, A.-M. Implementing and evaluating novel safety training methods for construction sector workers: Results of a randomized controlled trial. J. Saf. Res. 2020, 75, 205–221. [Google Scholar] [CrossRef]
  38. Ayouz, H.; Alzubi, A.; Iyiola, K. Using benevolent leadership to improve safety behaviour in the construction industry: A moderated mediation model of safety knowledge and safety training and education. Int. J. Occup. Saf. Ergon. 2024, 31, 167–180. [Google Scholar] [CrossRef]
  39. Li, W.; Huang, H.; Solomon, T.; Esmaeili, B.; Yu, L.-F. Synthesizing Personalized Construction Safety Training Scenarios for VR Training. IEEE Trans. Vis. Comput. Graph. 2022, 28, 1993–2002. [Google Scholar] [CrossRef]
  40. Yoo, J.W.; Park, J.S.; Park, H.J. Understanding VR-Based Construction Safety Training Effectiveness: The Role of Telepresence, Risk Perception, and Training Satisfaction. Appl. Sci. 2023, 13, 1135. [Google Scholar] [CrossRef]
  41. Ahn, S.Z. Using Building Information Modeling (BIM) in Construction Worker Safety Training. Ph.D. Thesis, University of Florida, Gainesville, FL, USA, 2016. [Google Scholar]
  42. Adami, P.; Rodrigues, P.B.; Woods, P.J.; Becerik-Gerber, B.; Soibelman, L.; Copur-Gencturk, Y.; Lucas, G. Effectiveness of VR-based training on improving construction workers’ knowledge, skills, and safety behavior in robotic teleoperation. Adv. Eng. Inform. 2021, 50, 101431. [Google Scholar] [CrossRef]
  43. Hinze, J.; Gambatese, J. Factors That Influence Safety Performance of Specialty Contractors. J. Constr. Eng. Manag. 2003, 129, 159–164. [Google Scholar] [CrossRef]
  44. Liang, Q.; Zhou, Z.; Ye, G.; Shen, L. Unveiling the mechanism of construction workers’ unsafe behaviors from an occupational stress perspective: A qualitative and quantitative examination of a stress–cognition–safety model. Saf. Sci. 2022, 145, 105486. [Google Scholar] [CrossRef]
  45. Demirkesen, S.; Arditi, D. Construction safety personnel’s perceptions of safety training practices. Int. J. Proj. Manag. 2015, 33, 1160–1169. [Google Scholar] [CrossRef]
  46. Sunindijo Riza, Y.; Zou Patrick, X.W. Conceptualizing Safety Management in Construction Projects. J. Constr. Eng. Manag. 2013, 139, 1144–1153. [Google Scholar] [CrossRef]
  47. Hammer, L.B.; Truxillo, D.M.; Bodner, T.; Pytlovany, A.C.; Richman, A. Exploration of the impact of organisational context on a workplace safety and health intervention. Work Stress 2019, 33, 192–210. [Google Scholar] [CrossRef]
  48. Loosemore, M.; Malouf, N. Safety training and positive safety attitude formation in the Australian construction industry. Saf. Sci. 2019, 113, 233–243. [Google Scholar] [CrossRef]
  49. Jia, G.; Chen, Y.; Xue, X.; Chen, J.; Cao, J.; Tang, K. Program management organization maturity integrated model for mega construction programs in China. Int. J. Proj. Manag. 2011, 29, 834–845. [Google Scholar] [CrossRef]
  50. Carrillo, P.; Ruikar, K.; Fuller, P. When will we learn? Improving lessons learned practice in construction. Int. J. Proj. Manag. 2013, 31, 567–578. [Google Scholar] [CrossRef]
  51. Schärrer, L.; Sender, A. Boomerang independent contractors: An experimental study using a psychological contract approach. Int. J. Hum. Resour. Manag. 2023, 34, 966–986. [Google Scholar] [CrossRef]
  52. Chen, W.T.; Lu, C.S.; Liu, S.-S.; Wang, M.-S. Measuring the perception of safety among taiwan construction managERS. J. Civ. Eng. Manag. 2013, 19, 37–48. [Google Scholar] [CrossRef]
  53. Cheng, C.-W.; Wu, T.-C. An investigation and analysis of major accidents involving foreign workers in Taiwan’s manufacture and construction industries. Saf. Sci. 2013, 57, 223–235. [Google Scholar] [CrossRef]
  54. Wang, G.; Chao, Y.; Cao, Y.; Jiang, T.; Han, W.; Chen, Z. A comprehensive review of research works based on evolutionary game theory for sustainable energy development. Energy Rep. 2022, 8, 114–136. [Google Scholar] [CrossRef]
  55. Jide, S.; Xincheng, W.; Liangfa, S. Chinese construction workers’ behaviour towards attending vocational skills trainings: Evolutionary game theory with government participation. J. Differ. Equ. Appl. 2016, 23, 468–485. [Google Scholar] [CrossRef]
  56. Piri, L.; Ghezavati, V.; Hafezalkotob, A. Developing a new model for simultaneous scheduling of two grand projects based on game theory and solving the model with Benders decomposition. Front. Eng. Manag. 2020, 9, 117–134. [Google Scholar] [CrossRef]
  57. Ding, H.; Wang, Y.; Guo, S.; Xu, X.; Che, C. Game analysis and benefit allocation in international projects among owner, supervisor and contractor. Int. J. Gen. Syst. 2016, 45, 253–270. [Google Scholar] [CrossRef]
  58. Nasirzadeh, F.; Mazandaranizadeh, H.; Rouhparvar, M. Quantitative Risk Allocation in Construction Projects Using Cooperative-Bargaining Game Theory. Int. J. Civ. Eng. 2016, 14, 161–170. [Google Scholar] [CrossRef]
  59. Li, X.; Wang, C.; Alashwal, A.; Shilpi, B. Game analysis on prefabricated building evolution based on dynamic revenue risks in China. J. Clean. Prod. 2020, 267, 121730. [Google Scholar] [CrossRef]
  60. Ma, T.; Jiyong, D.; Wang, Z.; Skibniewski, M. Governing Government-Project Owner Relationships in Water Megaprojects: A Concession Game Analysis on Allocation of Control Rights. Water Resour. Manag. 2020, 34, 4003–4018. [Google Scholar] [CrossRef] [PubMed]
  61. Wang, W.; Zhang, Y.; Feng, L.; Wu, Y.; Dong, T. A System Dynamics Model for Safety Supervision of Online Car-Hailing from an Evolutionary Game Theory Perspective. IEEE Access 2020, 8, 185045–185058. [Google Scholar] [CrossRef]
  62. Wang, Z.L.; Wang, G.; Zuo, J.; Guangdong, W.; Liu, B. To be green or not to be: How environmental regulations shape contractor greenwashing behaviors in construction projects. Sustain. Cities Soc. 2020, 63, 102462. [Google Scholar] [CrossRef]
  63. Ahmed, M.; El-adaway, I.; Coatney, K. Solving the Negative Earnings Dilemma of Multistage Bidding in Public Construction and Infrastructure Projects: A Game Theory-Based Approach. J. Manag. Eng. 2021, 38, 04021087. [Google Scholar] [CrossRef]
  64. Zhu, X.-X.; Mu, Q.-R.; Liang, W.-Z. An Innovative Strategic Choice for Stakeholders in the Chinese Traditional Commercial Street Renewal Using Evolutionary Game Theory. J. Innov. Knowl. 2022, 7, 100225. [Google Scholar] [CrossRef]
  65. Wang, Y.; Fan, R.; Chen, R.; Xie, X.; Ke, C. Exploring the coevolution dynamics of residents and recyclers in electric vehicle battery recycling decisions on the two-layer heterogeneous complex networks. Appl. Energy 2025, 382, 125235. [Google Scholar] [CrossRef]
  66. Zhu, C.; Fan, R.; Lin, J.; Chen, R.; Luo, M. How to promote municipal household waste management by waste classification and recycling? A stochastic tripartite evolutionary game analysis. J. Environ. Manag. 2023, 344, 118503. [Google Scholar] [CrossRef]
  67. Zhang, Y.; Yi, X.; Li, S.; Qiu, H. Evolutionary game of government safety supervision for prefabricated building construction using system dynamics. Eng. Constr. Archit. Manag. 2023, 30, 2947–2968. [Google Scholar] [CrossRef]
  68. Schwatka, N.V.; Goldenhar, L.M.; Johnson, S.K.; Beldon, M.A.; Tessler, J.; Dennerlein, J.T.; Trieu, H. A training intervention to improve frontline construction leaders’ safety leadership practices and overall jobsite safety climate. J. Saf. Res. 2019, 70, 253–262. [Google Scholar] [CrossRef]
  69. Schwatka, N.V.; Goldenhar, L.M.; Johnson, S.K. Change in frontline supervisors’ safety leadership practices after participating in a leadership training program: Does company size matter? J. Saf. Res. 2020, 74, 199–205. [Google Scholar] [CrossRef]
  70. Al-Bayati, A. Satisfying the Need for Diversity Training for Hispanic Construction Workers and Their Supervisors at U.S. Construction Workplaces: A Case Study. J. Constr. Eng. Manag. 2019, 145, 05019007. [Google Scholar] [CrossRef]
  71. Lyu, S.; Hon, C.K.H.; Chan, A.P.C.; Javed, A.A.; Zhang, R.P.; Wong, F.K.W. An exploratory study of safety communication networks of ethnic minority crews in the Hong Kong construction industry. Eng. Constr. Archit. Manag. 2021, 28, 1156–1175. [Google Scholar] [CrossRef]
  72. Jeschke, K.C.; Kines, P.; Rasmussen, L.; Andersen, L.P.S.; Dyreborg, J.; Ajslev, J.; Andersen, L.L. Process evaluation of a Toolbox-training program for construction foremen in Denmark. Saf. Sci. 2017, 94, 152–160. [Google Scholar] [CrossRef]
  73. Eisenhardt, K.M. Building Theories from Case Study Research. Acad. Manag. Rev. 1989, 14, 532–550. [Google Scholar] [CrossRef]
  74. Jian, Q.; Li, X.; Xia, C. Impact of reputation assortment on tag-mediated altruistic behaviors in the spatial lattice. Appl. Math. Comput. 2021, 396, 125928. [Google Scholar] [CrossRef]
  75. Zhang, F.; Wu, L.; Liu, W.; Ding, K.; Hui, J.; Leng, J.; Zhou, X. Evolutionary game-based incentive models for sustainable trust enhancement in a blockchained shared manufacturing network. Adv. Eng. Inform. 2022, 54, 101791. [Google Scholar] [CrossRef]
  76. Yuan, M.; Li, Z.; Li, X.; Li, L.; Zhang, S.; Luo, X. How to promote the sustainable development of prefabricated residential buildings in China: A tripartite evolutionary game analysis. J. Clean. Prod. 2022, 349, 131423. [Google Scholar] [CrossRef]
  77. Chen, K.; Ren, Z.; Mu, S.; Sun, T.; Mu, R. Integrating the Delphi survey into scenario planning for China’s renewable energy development strategy towards 2030. Technol. Forecast. Soc. Change 2020, 158, 120157. [Google Scholar] [CrossRef]
  78. Ulubeyli, S.; Kazaz, A.; Er, B. Health and Safety Perception of Workers in Turkey: A Survey of Construction Sites. Int. J. Occup. Saf. Ergon. 2014, 20, 323–338. [Google Scholar] [CrossRef] [PubMed]
  79. Schöbel, S.M.; Leimeister, J.M. Metaverse platform ecosystems. Electron. Mark. 2023, 33, 12. [Google Scholar] [CrossRef]
  80. Goldenhar, L.M.; Moran, S.K.; Colligan, M. Health and safety training in a sample of open-shop construction companies. J. Saf. Res. 2001, 32, 237–252. [Google Scholar] [CrossRef]
  81. Jiang, Y.; Kang, J.; Niyato, D.; Ge, X.; Xiong, Z.; Miao, C.; Shen, X. Reliable Distributed Computing for Metaverse: A Hierarchical Game-Theoretic Approach. IEEE Trans. Veh. Technol. 2023, 72, 1084–1100. [Google Scholar] [CrossRef]
  82. Wang, J.; Du, H.; Tian, Z.; Niyato, D.; Kang, J.; Shen, X. Semantic-Aware Sensing Information Transmission for Metaverse: A Contest Theoretic Approach. IEEE Trans. Wirel. Commun. 2023, 22, 5214–5228. [Google Scholar] [CrossRef]
  83. Shin, M.; Lee, H.-S.; Park, M.; Moon, M.; Han, S. A system dynamics approach for modeling construction workers’ safety attitudes and behaviors. Accid. Anal. Prev. 2014, 68, 95–105. [Google Scholar] [CrossRef]
  84. Wu, L.; Yu, R.; Su, W.; Ye, S. Design and implementation of a metaverse platform for traditional culture: The chime bells of Marquis Yi of Zeng. Herit. Sci. 2022, 10, 193. [Google Scholar] [CrossRef]
  85. China Construction Industry. Guidelines for Coordinated Development of Intelligent Construction and Building Industrialization. Ministry of Housing and Urban–Rural Development. 2020. Available online: https://www.mohurd.gov.cn/ (accessed on 17 July 2025).
  86. Chun, H. A study on the design education method using metaverse by wireless communication with computing for UAV-enabled B5G/6G network. Wirel. Netw. 2023, 30, 6731–6738. [Google Scholar] [CrossRef]
Figure 1. The mechanism of MST stakeholders.
Figure 1. The mechanism of MST stakeholders.
Buildings 15 04083 g001
Figure 2. Research flowchart source.
Figure 2. Research flowchart source.
Buildings 15 04083 g002
Figure 3. Highway construction projects.
Figure 3. Highway construction projects.
Buildings 15 04083 g003
Figure 4. The impact of owners’ policy support and financial incentives changes on the game results. Note: I represents the owners’ policy support and financial incentives for contractors. (a) Contractors. (b) Subcontractors. (c) Construction crews.
Figure 4. The impact of owners’ policy support and financial incentives changes on the game results. Note: I represents the owners’ policy support and financial incentives for contractors. (a) Contractors. (b) Subcontractors. (c) Construction crews.
Buildings 15 04083 g004
Figure 5. The impact of contractors’ incentives changes on the game results. Notes: Rb represents the rewards given by the contractors to subcontractors; Rc represents the rewards given by the contractors to construction crews. (a) Contractors. (b) Subcontractors. (c) Construction crews.
Figure 5. The impact of contractors’ incentives changes on the game results. Notes: Rb represents the rewards given by the contractors to subcontractors; Rc represents the rewards given by the contractors to construction crews. (a) Contractors. (b) Subcontractors. (c) Construction crews.
Buildings 15 04083 g005
Figure 6. The impact of contractors’ penalties changes on the game results. Notes: Lab represents the penalty imposed by the contractors on subcontractors; Lac represents the penalty imposed by the contractors on construction crews. (a) Contractors. (b) Subcontractors. (c) Construction crews.
Figure 6. The impact of contractors’ penalties changes on the game results. Notes: Lab represents the penalty imposed by the contractors on subcontractors; Lac represents the penalty imposed by the contractors on construction crews. (a) Contractors. (b) Subcontractors. (c) Construction crews.
Buildings 15 04083 g006
Table 1. Relevant parameters and meanings.
Table 1. Relevant parameters and meanings.
MeaningsParameters
(1) Positive behavior
Additional costCa, Cb, Cc
Owners’ policy support and financial incentives for contractorsI
Primary benefit for subcontractors and construction crewsNb, Nc
Rewards given by the contractors to the subcontractors and construction crewsRb, Rc
(2) Negative behavior
Short-term benefit for the subcontractorsS1
Short-term benefit for the construction crewsS2
Penalty imposed by the contractors on the subcontractors and construction crewsLab, Lac
Loss of the contractorsLa
Table 2. Game payoff matrix.
Table 2. Game payoff matrix.
StrategyConstruction CrewsContractors
Severe
Supervision x
Lax Supervision 1−x
SubcontractorsPositive execution yPositive participation z C a + I R b R c
C b + R b + N b
C c + R c + N c  
0
N b
N c
Negative participation 1−z C a + L a b + L a c L a
C b L a b + N b
S 2 L a c  
L a
N b C b
S 2
Negative execution 1−yPositive participation z C a + L a b L a R c
S 1 L a b
C c + R c + N c  
C c + R c + N c
S 1
N c C c
Negative participation 1−z C a + L a b + L a c L a
S 1 L a b
S 2 L a c  
L a
S 1
S 2
Table 3. Stability analysis of equilibrium points.
Table 3. Stability analysis of equilibrium points.
Equilibrium Point λ 1 , λ 2 , λ 3 ESSConclusionCondition
(0,0,0) N b C b S 1
N c C c S 2
2 L a b L a 2 C a + L a c R c  
, , × Uncertainty point**
(1,0,0) N b C b S 1
L a c C c + N c + R c S 2
2 C a + L a 2 L a b L a c + R c  
, × , × Uncertainty point**
(0,1,0) N c S 2
L a b C a + L a c
C b N b + S 1  
+ , × , × Unstable point\
(0,0,1) N b S 1
L a b C a R c
C c N c + S 2
+ , × , × Unstable point\
(1,1,0) C b N b + S 1
C a L a b L a c
L a c C c + N c + R c S 2
× , × , × Uncertainty point\
(1,0,1) C a L a b + R c
C c L a c N c R c + S 2
L a b C b + N b + R b S 1
× , × , × Uncertainty point\
(0,1,1) S 1 N b
S 2 N c
I C a R b R c
, , ESS*
(1,1,1) C a I + R b + R c
C b L a b N b R b + S 1
C c L a c N c R c + S 2
+ , × , × Unstable point*
Notes: * I < C a + R b + R c , ** N b < C b , N c < C c , + indicates that the corresponding eigenvalue is positive and the equilibrium point is unstable. − indicates that the corresponding eigenvalue is negative and the equilibrium point is stable. × indicates the uncertainty of the eigenvalue sign. *, ** indicates the condition of the equilibrium point to reach stable state. The equilibrium point is unstable or meaningless when the condition is not met. \ indicates that the equilibrium point is in the current state without conditions.
Table 4. MST stakeholders’ information.
Table 4. MST stakeholders’ information.
ProjectContractors and SubcontractorsConstruction Crews
① Leiyang–Yizhang Expressway Expansion ProjectChina Construction Fifth Engineering Bureau Co., Ltd., Changsha, ChinaConcrete Production Team 1
② Chaling–Changning ExpresswayHunan Road and Bridge Construction Group Co., Ltd., Changsha, ChinaUnderstructure Team 1
③ Lingling–Daoxian ExpresswayChina Railway Second Bureau Group Co., Ltd., Chengdu, ChinaUnderstructure Team 1
④ Xinhua–Xinning ExpresswayHunan Road and Bridge Construction Group Co., Ltd., Changsha, ChinaPile Foundation Team 3
⑤ Guanzhuang–Xinhua ExpresswayChina Second Harbor Engineering Company, Wuhan, ChinaPile Foundation Team 2
⑥ Zhangjiajie–Guanzhuang ExpresswayChina Gezhouba Group No.1 Engineering Co., Ltd., Yichang, ChinaReinforcing Steel Work Team 2
⑦ Sangzhi–Longshan ExpresswayChina Railway Airport Construction Group Co., Ltd., Beijing, ChinaConcrete Production Team 3
⑧ Liling–Loudi ExpresswayHunan Expressway Huada Engineering Co., Ltd., Changsha, ChinaReinforcing Steel Work Team 1
⑨ Yiyang–Changde Expressway Expansion Project Hunan Road and Bridge Construction Group Co., Ltd., Changsha, ChinaPile Foundation Team 1
⑩ Luhongshan–Cili ExpresswayChina Railway Airport Construction Group Co., Ltd., Beijing, ChinaConcrete Production Team 1
Disclaimer/Publisher’s Note: The statements, opinions and data contained in all publications are solely those of the individual author(s) and contributor(s) and not of MDPI and/or the editor(s). MDPI and/or the editor(s) disclaim responsibility for any injury to people or property resulting from any ideas, methods, instructions or products referred to in the content.

Share and Cite

MDPI and ACS Style

Chen, C.; Tang, X. Strategies of Metaverse Safety Training in Highway Construction Projects: A Tripartite Evolutionary Game. Buildings 2025, 15, 4083. https://doi.org/10.3390/buildings15224083

AMA Style

Chen C, Tang X. Strategies of Metaverse Safety Training in Highway Construction Projects: A Tripartite Evolutionary Game. Buildings. 2025; 15(22):4083. https://doi.org/10.3390/buildings15224083

Chicago/Turabian Style

Chen, Cheng, and Xiaoying Tang. 2025. "Strategies of Metaverse Safety Training in Highway Construction Projects: A Tripartite Evolutionary Game" Buildings 15, no. 22: 4083. https://doi.org/10.3390/buildings15224083

APA Style

Chen, C., & Tang, X. (2025). Strategies of Metaverse Safety Training in Highway Construction Projects: A Tripartite Evolutionary Game. Buildings, 15(22), 4083. https://doi.org/10.3390/buildings15224083

Note that from the first issue of 2016, this journal uses article numbers instead of page numbers. See further details here.

Article Metrics

Article metric data becomes available approximately 24 hours after publication online.
Back to TopTop