Study on the Allocation of Service Facilities for Integrated Communities: A Case Study of the Old City Center of Nanchang
Abstract
1. Introduction
2. Materials and Methods
2.1. Study Area
2.2. Definition of Indicators
- (1)
- the provision of well-established basic public service facilities.
- (2)
- the establishment of convenient service facilities.
- (3)
- the completion of municipal infrastructure.
- (4)
- the availability of sufficient public activity spaces.
- (5)
- comprehensive property management coverage.
- (6)
- a sound community management mechanism.
2.3. Research Methods
3. Analysis and Results
3.1. Service Facility Configuration Analysis and Results
3.1.1. Data of Service Facilities Processing Principles
3.1.2. Service Facility Configuration Levels
3.1.3. Results of Configuration Level Analysis
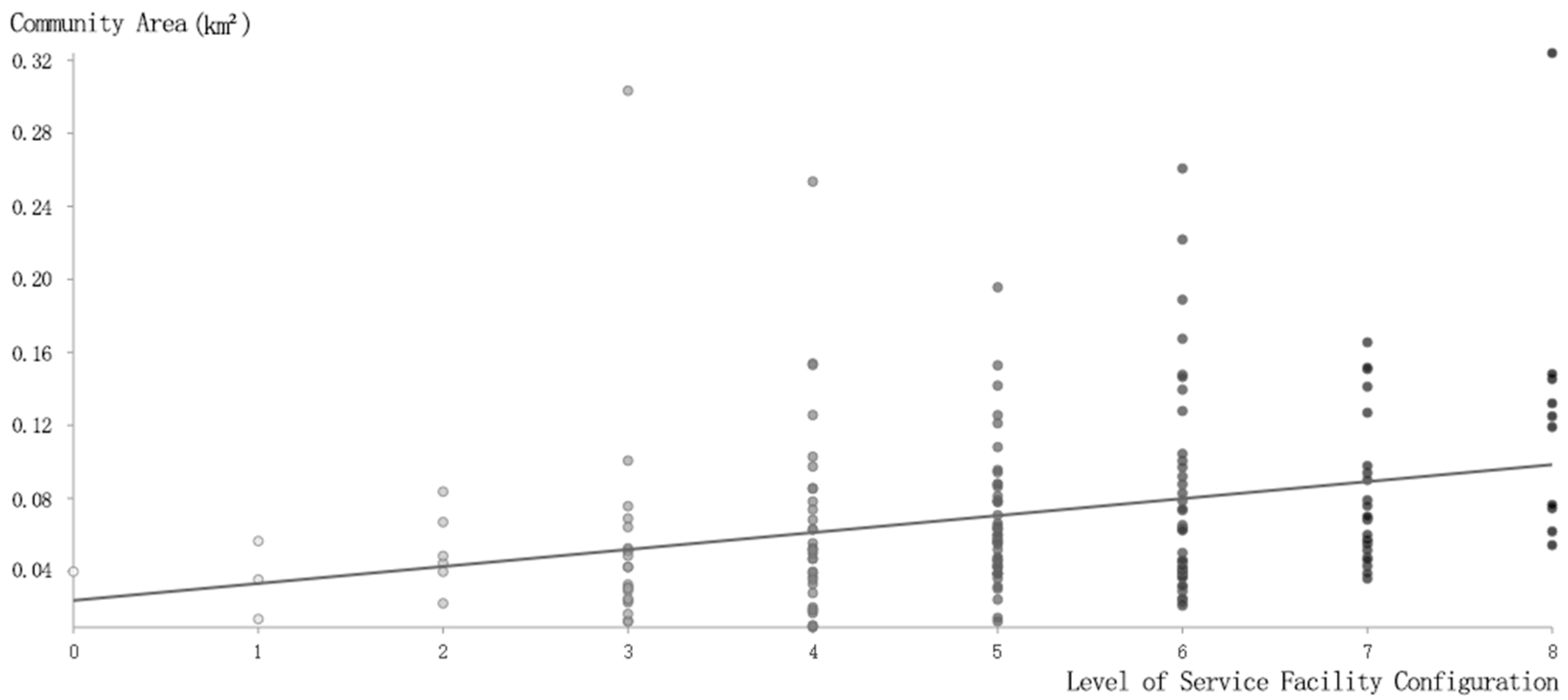
3.2. Correlation Analysis and Results Between Configuration Levels and Indicators
4. Validation
4.1. Community Selection and Validation Objectives
- (1)
- By investigating the five communities of different configuration levels, to determine whether the actual configuration of each community corresponds with the results generated through data analysis, and thus to infer the accuracy of the overall data analysis. This helps to compensate for the deviations caused by the generality and macro-level nature of large-scale data analysis.
- (2)
- Through the surveys, to determine whether the overall community environment is positively correlated with community configuration levels. The aim is to explore several reasons for the correlation between configuration level and the overall community environment, and to propose strategies to improve community environments from the perspective of facility configuration.
- (3)
- To attempt to propose construction pathways for service facilities in integrated communities from two different perspectives: type optimization and configuration level improvement. The type of optimization perspective focuses on overall construction, while configuration level improvement emphasizes specific communities.
4.2. Validation of Community Configuration Level
4.3. Correlation Between Configuration Level and Overall Community Environment
5. Discussion
5.1. Construction Pathways from the Perspective of Facility Type Optimization
5.2. Construction Pathways from the Perspective of Configuration Level Growth
6. Conclusions
- (1)
- The configuration levels of the 186 communities within the research scope exhibit a normal distribution. Most communities show average or good service facility configurations, while only a few demonstrate either very poor or excellent configurations. Based on this finding, the study proposes a construction pathway aimed at improving community configuration levels. It also analyzes the configuration rates of six categories of service facilities and the reasons behind their disparities. To address these differences, the study further proposes a construction pathway focusing on the optimization of facility types.
- (2)
- The study explores the correlations between single facilities and community configuration levels, as well as between community area and configuration levels. The results show positive correlations in both cases, but with relatively low correlation coefficients (R-values). Therefore, in building integrated communities, greater attention should be given to overall development rather than focusing narrowly on individual indicators. Furthermore, since the correlation between community area and configuration level is also weak, “small but refined” communities should equally be considered targets for integrated community development.
- (3)
- In the validation stage, on-site surveys of selected sample communities confirmed the accuracy of the facility configuration level analysis. Further investigation into the correlation between configuration levels and the overall community environment also revealed a positive relationship.
- (4)
- On the theoretical plane, this study further contributes to the development of the integrated community concept. Through data analysis, field investigation, and community verification, the author argues that the construction standards outlined in the “Guidelines” should allow for contextual adaptation under the framework of overall harmony, rather than a rigid pursuit of quantitative targets. A flexible, adaptive, and context-sensitive set of the “Guidelines” will serve as a more effective reference for community development.
Author Contributions
Funding
Data Availability Statement
Conflicts of Interest
References
- Wu, L.Y. Human settlements at academic frontier. Urban Plan. Rev. 2012, 36, 9–12. [Google Scholar]
- Han, S.; Yuan, Q.F.; Li, R.R.; Wang, Y.K. From Lifang and Jiexiang to integrated community: Model evolution, planning practice and trend prospects in China. J. Hum. Settle. West China 2024, 39, 74–83. [Google Scholar] [CrossRef]
- Zhang, L.M.; Zhang, L.X.; Huang, Y.X.; LIU, L.F. Urban Physical Examination Evaluation Index System Research and Practice Towards Integrated Community Development. Planners 2022, 38, 45–52. [Google Scholar]
- Shi, J.R.; Jin, S.M.; Wu, J.; Zhao, X.M. Medical Facilities Flexible Planning Modes in Integrated Community. Planners 2023, 39, 101–107. [Google Scholar]
- Sun, Y.J.; Xiao, D.X.; Huang, L. Exploration of the Reconstruction of Old Residential Districts in Historical Urban Areas of Guangzhou under the Concept of Complete Community. S. Archit. 2023, 9, 62–69. [Google Scholar]
- Yang, Y.J.; Li, C.X.; Zhou, D. Study on the Characteristics of Community Elderly Care Service Facilities Usage and Optimization Design Based on Life Cycle Theory. Buildings 2024, 14, 3003. [Google Scholar] [CrossRef]
- Hui, E.C.M.; Chen, T.T.; Lang, W.; Ou, Y.B. Urban community regeneration and community vitality revitalization through participatory planning in China. Cities 2021, 110, 103072. [Google Scholar] [CrossRef]
- Cheng, X.Y.; Zhong, W.; Li, D.Q. Urban neighborhood self-governance and community attachment: Evidence from southwest China. Cities 2021, 112, 103128. [Google Scholar] [CrossRef]
- Song, L.; Kong, X.S.; Cheng, P. Supply-demand matching assessment of the public service facilities in 15-minute community life circle based on residents’ behaviors. Cities 2024, 144, 104637. [Google Scholar] [CrossRef]
- Wu, X.L.; Li, J.P. Constructing Associated Communities: The Practical Paths and Development Trends of “Future Communities”. Gov. Stud. 2025, 41, 58–73+158. [Google Scholar] [CrossRef]
- Wu, Z.Q.; Wang, K.; Chen, W.; Yang, Y.D.; Ren, G.Y.; Chen, Q.R.; Luo, C.; Su, L.L.; Cheng, Y.Y.; Li, Q.F. Innovative Reflections on Refined Governance of Community Space. Urban Plan. Forum 2020, 3, 1–14. [Google Scholar]
- Ye, Y.C.; Luo, J.; Guan, T.; Feng, D.J. Interpretation and Reflections on “Construction Standards for Complete Residential Communities (Trial)” from a Comparative Perspective. In Proceedings of the 2020/2021 China Urban Planning Annual Conference and 2021 China Urban Planning Academic Season, Chengdu, China, 25–27 September 2021; p. 9. [Google Scholar]
- Yu, C.H.; Liu, S.J.; Lu, S.W.; Xie, L.R.; Xie, X.T. The Evaluation Method of Urban Community Physical Examination Based on the Concept of Integrated Community: The Case of Daye City, Hubei Province. Planners 2024, 40, 63–70. [Google Scholar]
- Zhang, H.; Lan, T.Z. Construction of Complete Communities from the Perspective of ‘Neighborhood Communities’: Concepts, Problems, and Strategies. Urban Dev. Stud. 2024, 31, 50–55. [Google Scholar]
- Zang, Y.W.; Wang, H.M.; Huang, J.; Liu, G.F.; Li, J.J. Community disaster resilience assessment and external association characteristics analysis based on accessibility of service facilities: From the perspective of 15-minute life circle. Sustain. Cities Soc. 2025, 118, 106051. [Google Scholar] [CrossRef]
- Jiang, Z.H.; Wu, C.L.; Chung, H.Y.C. The 15-minute community life circle for older people: Walkability measurement based on service accessibility and street-level built environment—A case study of Suzhou, China. Cities 2025, 157, 105587. [Google Scholar] [CrossRef]
- Dong, W.; Cao, X.Y.; Wu, X.Y.; Dong, Y. Examining pedestrian satisfaction in gated and open communities: An integration of gradient boosting decision trees and impact-asymmetry analysis. Landsc. Urban Plan. 2019, 185, 246–257. [Google Scholar] [CrossRef]
- He, D.S.; Miao, J.; Lu, Y.; Song, Y.M.; Chen, L.; Liu, Y. Urban greenery mitigates the negative effect of urban density on older adults’ life satisfaction: Evidence from Shanghai, China. Cities 2022, 124, 103607. [Google Scholar] [CrossRef]
- Ding, X.Y.; Zhao, Z.Y.; Zheng, J.; Yue, X.P.; Jin, H.; Zhang, Y.K. Community Gardens in China: Spatial distribution, patterns, perceived benefits and barriers. Sustain. Cities Soc. 2022, 84, 103991. [Google Scholar] [CrossRef]
- Chen, Y.; Yue, W.Z.; La Rosa, D. Which communities have better accessibility to green space? An investigation into environmental inequality using big data. Landsc. Urban Plan. 2020, 204, 103919. [Google Scholar] [CrossRef]
- Slemp, C.; Davenport, M.A.; Seekamp, E.; Brehm, J.M.; Schoonover, J.E.; Williard, K.W.J. “Growing too fast:” Local stakeholders speak out about growth and its consequences for community well-being in the urban-rural interface. Landsc. Urban Plan. 2012, 106, 139–148. [Google Scholar] [CrossRef]
- Li, X.; Zhang, F.; Hui, E.C.M.; Lang, W. Collaborative workshop and community participation: A new approach to urban regeneration in China. Cities 2020, 102, 102743. [Google Scholar] [CrossRef]
- Davis, J.; Pijawka, D.; Wentz, E.A.; Hale, M. Evaluation of community-based land use planning through Geodesign: Application to American Indian communities. Landsc. Urban Plan. 2020, 203, 103880. [Google Scholar] [CrossRef]
- Cai, S.H.; Wang, X.Y.; Zhou, X.Y.; Hyman, M.R.; Yang, Z.L. Political and community logics jointly affect ‘social distancing’ compliance. Sustain. Cities Soc. 2021, 74, 103200. [Google Scholar] [CrossRef]









| Research District Area | Subdistrict Name | Number of Communities | Community Names |
|---|---|---|---|
| Donghu District | Yuzhang Subdistrict | 11 | Sijing Road, Hongcheng, Qianjiang, Xiashatan, Weisheng Road, Donghu Street, Shangshatan, Jiangnan, Ganjiang, Jiangchai, Provincial Party Community |
| Dunzitang Subdistrict | 12 | Shangying Fang, Huanhu Road, Daijia Lane, Jintang Lane, Minde Road, Dangjia Lane, Zhangjiachang, Majia Chi, Youying Street, Xiashuixiang, Beihu Lake, Yangming Community | |
| Baihuazhou Subdistrict | 12 | Bamao Lane, Qiujia Chang, General Liu’s Temple, Zhuangyuan Bridge, Fire God Temple, South Lake Road, Yangjia Chang, Guiwang Lane, Post Road, Xiaojin Tai, North Yuanming Road, White Horse Temple Community | |
| Dayuan Sub-district | 8 | Provincial Government Compound No. 1 Community, Provincial Government Compound No. 2 Community, Park, Tiyuan, Erqi North Road, Guangchang North Road, South Nanjing West Road, Fuzhou Road Community | |
| Dongjiayao Subdistrict | 20 | Xianshi First Road, Xianshi Second Road, Xianshi Garden First Community, Xianshi Garden Second Community, North Nanjing West Road, Yinjia Lane, South Yonghe Road, Qingqiao, Qingshan South Road, Jinjiashan, Douya Lane, Zhu Lake, Xinhua, Qingyang, Jinyuan Chuntian, Zijincheng, Xingyuan, Longsha, Guanxin, Dadi Longquan Bay Community | |
| Pengjiaqiao Subdistrict | 11 | Beijing West Road, Wenjiao Road, Fuzhou North Road, Wenjiao North Road, Jiangzhong Garden, Lijia Village, Guangming, Qingshan North Road, Qilijie Street, Jianxin, Hubin South Road Community | |
| Tengwangge Subdistrict | 11 | Dashiyuan South Area, Dashiyuan West Area, Dashiyuan North Area, West Dieshan Road, Zigu Road, Rongmen Road, Shangfenghuangpo, Min Lane, Lijia Lane, Zhangjiang Road, Shebuting Community | |
| Xianshi Lake Subdistric | 3 | Changxiang Village, Xianhu Village, Yonghe Village Community | |
| Xihu District | Guangrunmen Subdistrict | 15 | Zhichong Lane, Yantong Lane, Jishuicang (District), Xiawan Street, Huiminmen, Wazijiao, Baiyian, Wanshougong, Xiatangchengshang, Zhuzi Lane, Suanziqiao, Kangwangmiao, Shaoguachi, Ruzi Pavilion, Shangyuting Community |
| Nanpu Subdistrict | 18 | Nanhai Xungong, Luojia Garden, Ximazhuang, Liuyanjing, East Academy, Tianzhutang, Yingtian Temple, Songbai Lane, Ruzi Road, Xiangshan, Erlangmiao, Chuanshan, Liaozhou Street, Haoshang Street, Lizhou, Tiandengxia, Taoshatang, West Academy Community | |
| Shengjinta Subdistrict | 19 | Yesutang, Zhangjiashan, West Zhanqian Road, Yongshu Road, Laofushan, Shengjinta, Bakouxiang, Youdian, Gongjiao, Shizi Street, Jiaopianxiang, Simamiao, Fushan Garden, Shangyaowan, Tanzikou, Luxin, Jiangdian, Committee of Jiangxi Branch, Qianjin Road, Huiyuan Community | |
| Dinggong Road Subdistrict | 16 | Dinggong Road, Guangchang East Road, West Jinpan Road, East Jinpan Road, Jingmi Lane, West Chadaokou Road, North South Erqi Road, Hengmao Huacheng, Jiangong, Fuqian, Department of Transportation, Xinhua, Department of Machinery, Nanchai, Changyun, Dizhi Community | |
| Nanzhan Subdistrict | 11 | Erqi South Road, Railway No. 2 Village, Jinggangshan Avenue, Railway No. 4 Village, Luoyang Road, East Railway No. 3 Village, West Jiefang West Road, Zhanan Lane, Guangchang South Road, West Railway No. 3 Village, Railway No. 7 Village Community | |
| Qingshanhu District | Shanghai Road Subdistrict | 9 | Xinwei Road, Banbian Street, South Normal University Road, East Chadaokou Road, Shangyuan, North Workers’ New Village, Railway No. 5, Railway No. 6, Railway No. 8 Community |
| Qingyunpu District | Xujiafang Subdistrict | 7 | Jianxi, Heshi Street, Hongcheng Lane, Nanguan Pass, East of Jiefang West Road, Xinnian, Yuhe Community |
| Jingshan Subdistrict | 3 | Jiannan, Hongwei Village, Cuizhu Community |
| Objective | Construction Content | Remarks |
|---|---|---|
| Improvement of Basic Public Service Facilities | One Community Service Center | Set up a community service center, including spaces for the neighborhood committee, community resident activities, reading rooms, party activity centers, etc. |
| One Kindergarten | Provides early childhood education services for children aged 3–6 years. | |
| One Nursery | Can be integrated with the community service center and health service stations. This facility may be located in a residential building or a designated facility within the community. | |
| One Senior Service Station | Should be integrated with the community service center. Provides services for the elderly, including assistance, care, health insurance, and cultural activities. | |
| One Community Health Service Station | Provides basic health services, including medical care, health checks, disease prevention, and health education. | |
| Improvement of Convenient Commercial Service Facilities | One General Supermarket | Provides daily living services such as groceries and food. |
| Multiple Express Delivery Stations | Establish multiple express delivery points within the community to facilitate convenience. | |
| Other Convenient Commercial Service Points | Includes additional service networks, such as laundry, pharmacies, repair services, and household services. |
| Detailed Rules for Service Facility Configuration Levels | ||
|---|---|---|
| Level 0 | Level 0 | Represents extremely poor service facility configuration in integrated communities, with none of the eight configuration indicators meeting the standards. |
| Level 1 | Levels 1–2 | Represent poor service facility configuration, with only one or two configuration indicators meeting the standards of integrated community construction. |
| Level 2 | ||
| Level 3 | Levels 3–5 | Represent average service facility configuration, with some indicators meeting the construction standards. |
| Level 4 | ||
| Level 5 | ||
| Level 6 | Levels 6–7 | Represent good service facility configuration, with most indicators meeting the standards of integrated community construction, thus providing a solid foundation for further development toward a fully integrated community. |
| Level 7 | ||
| Level 8 | Level 8 | Represents complete service facility configuration, with all eight indicators meeting the requirements, in accordance with the “Guidelines” for well-established basic public service facilities and well-developed convenient service facilities. |
| Community Name | Community Scope | Current Community Image | Configuration Level |
|---|---|---|---|
| Huiminmen Community | ![]() | ![]() | Level 2 |
| Wanshougong Community | ![]() | ![]() | Level 4 |
| Gongjian Community | ![]() | ![]() | Level 5 |
| Hengmao Huacheng Community | ![]() | ![]() | Level 7 |
| Provincial Government Compound No. 2 Community | ![]() | ![]() | Level 8 |
Disclaimer/Publisher’s Note: The statements, opinions and data contained in all publications are solely those of the individual author(s) and contributor(s) and not of MDPI and/or the editor(s). MDPI and/or the editor(s) disclaim responsibility for any injury to people or property resulting from any ideas, methods, instructions or products referred to in the content. |
© 2025 by the authors. Licensee MDPI, Basel, Switzerland. This article is an open access article distributed under the terms and conditions of the Creative Commons Attribution (CC BY) license (https://creativecommons.org/licenses/by/4.0/).
Share and Cite
Wang, X.; Zhu, X.; Qamaruz Zaman, N.; Abdul Ghani, M.Z. Study on the Allocation of Service Facilities for Integrated Communities: A Case Study of the Old City Center of Nanchang. Buildings 2025, 15, 4078. https://doi.org/10.3390/buildings15224078
Wang X, Zhu X, Qamaruz Zaman N, Abdul Ghani MZ. Study on the Allocation of Service Facilities for Integrated Communities: A Case Study of the Old City Center of Nanchang. Buildings. 2025; 15(22):4078. https://doi.org/10.3390/buildings15224078
Chicago/Turabian StyleWang, Xueqiang, Xingyuan Zhu, Nurulhusna Qamaruz Zaman, and Mimi Zaleha Abdul Ghani. 2025. "Study on the Allocation of Service Facilities for Integrated Communities: A Case Study of the Old City Center of Nanchang" Buildings 15, no. 22: 4078. https://doi.org/10.3390/buildings15224078
APA StyleWang, X., Zhu, X., Qamaruz Zaman, N., & Abdul Ghani, M. Z. (2025). Study on the Allocation of Service Facilities for Integrated Communities: A Case Study of the Old City Center of Nanchang. Buildings, 15(22), 4078. https://doi.org/10.3390/buildings15224078











