Energy-Consistent Mapping for Concrete Tensile Softening Within a Framework Combining Concrete Damaged Plasticity and Crack Band Theory
Abstract
1. Introduction
2. Materials and Methods
2.1. Isotropic Concrete Damaged Plasticity Model
- where , .
2.2. Uniaxial Constitutive Law Coupled with Concrete Damaged Plasticity Model
2.2.1. Parameters in the Concrete Damaged Plasticity Model
2.2.2. Elastic Stiffness Damage Evolution
- 1.
- Damage Evolution Law 1 ()
- 2.
- Damage Evolution Law 2 ()
- 3.
- Damage Evolution Law 3 ()
2.2.3. Uniaxial Tensile Behavior
- Uniaxial Tensile Relations from the Fictious Crack Model
- 2.
- Coupling the Fictious Crack model with the Crack Band Theory
- 3.
- Clarification of Global Strain in the Direction, Uniaxial Strain in Purely Uniaxial Stress States, and Scalar Equivalent Strain in Multiaxial Stress States
- 4.
- Coupling the Fictious Crack Model and the Crack Band Theory with the Concrete Damaged Plasticity Model
2.2.4. Uniaxial Compressive Behavior
2.3. Accuracy of the Solution by Newton–Raphson Method
2.3.1. Convergence Criteria for Nonlinear Problems
2.3.2. Local and Global Consistent Tangents
2.3.3. Clarification of Physical and Simulated Crack Band
2.3.4. A Sensitivity Indicator Linking Newton–Raphson Solver, CDP Coupling, and CBT Energy Consistency
3. Verification of the Proposed Model
3.1. Verification of the Proposed Damaged Constitutive Law at the Macro-Scale
3.1.1. Analytical Expression
3.1.2. Estimation of Fracture Energy ()


3.1.3. Estimation of Tensile Damage Evolution ()
3.2. Verification of the Proposed Damaged Constitutive Law at Element and Structural Scales
3.2.1. Numerical Model Details
3.2.2. Result Overview
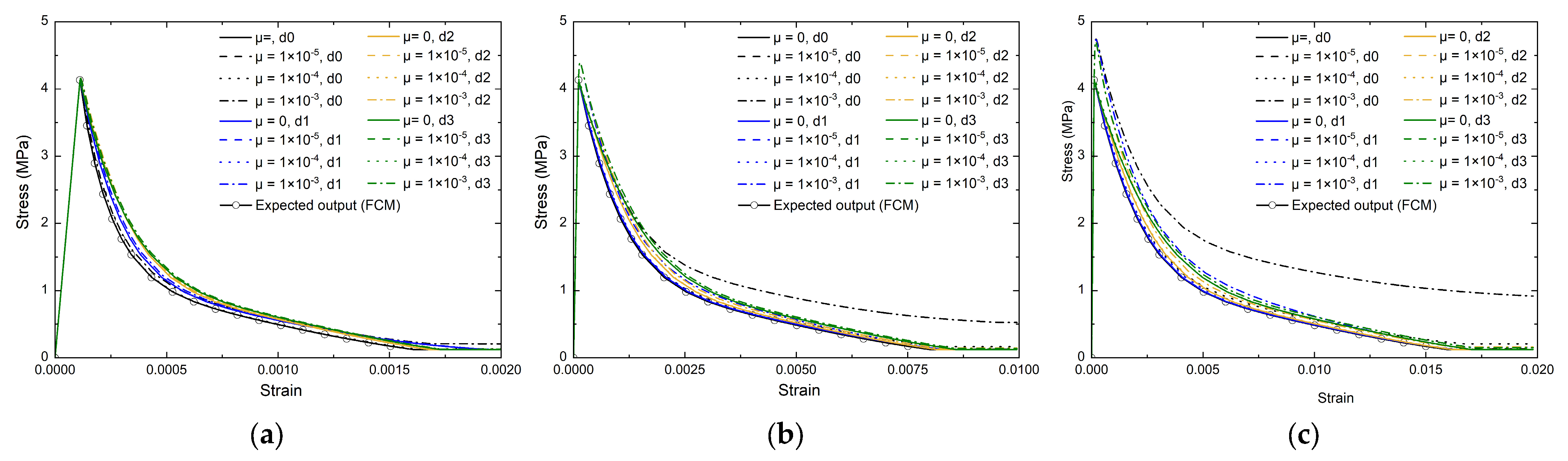
3.2.3. Numerical Results for a Single Element at Element Scale
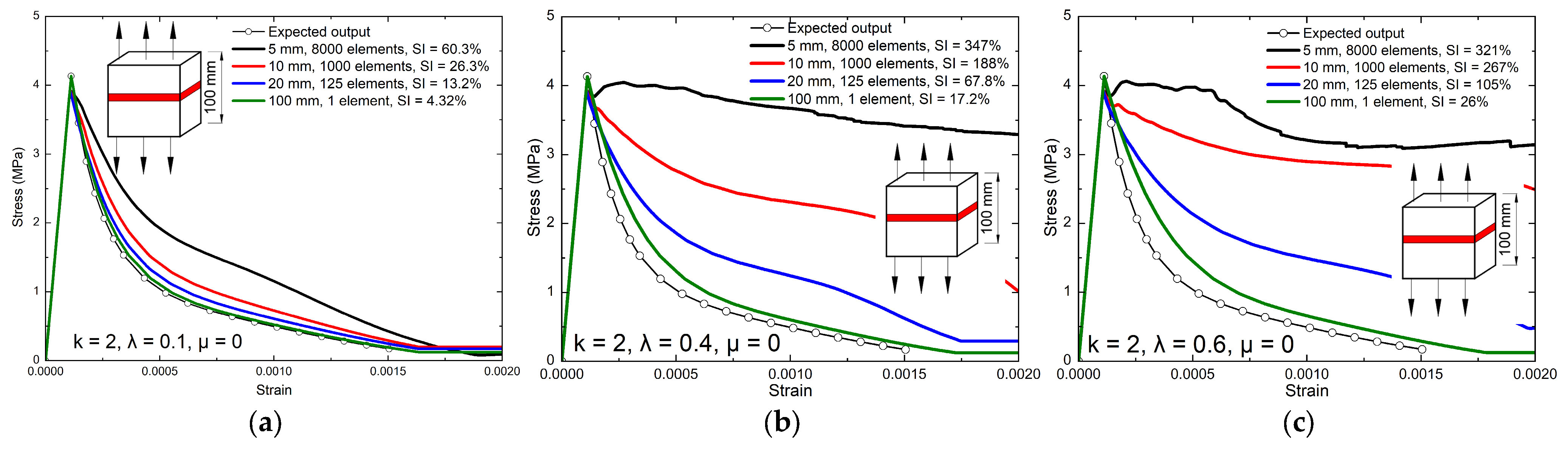
3.2.4. Numerical Results for Multiple-Element Models at the Structural Scale
- 1.
- Loss of Strong Ellipticity
- 2.
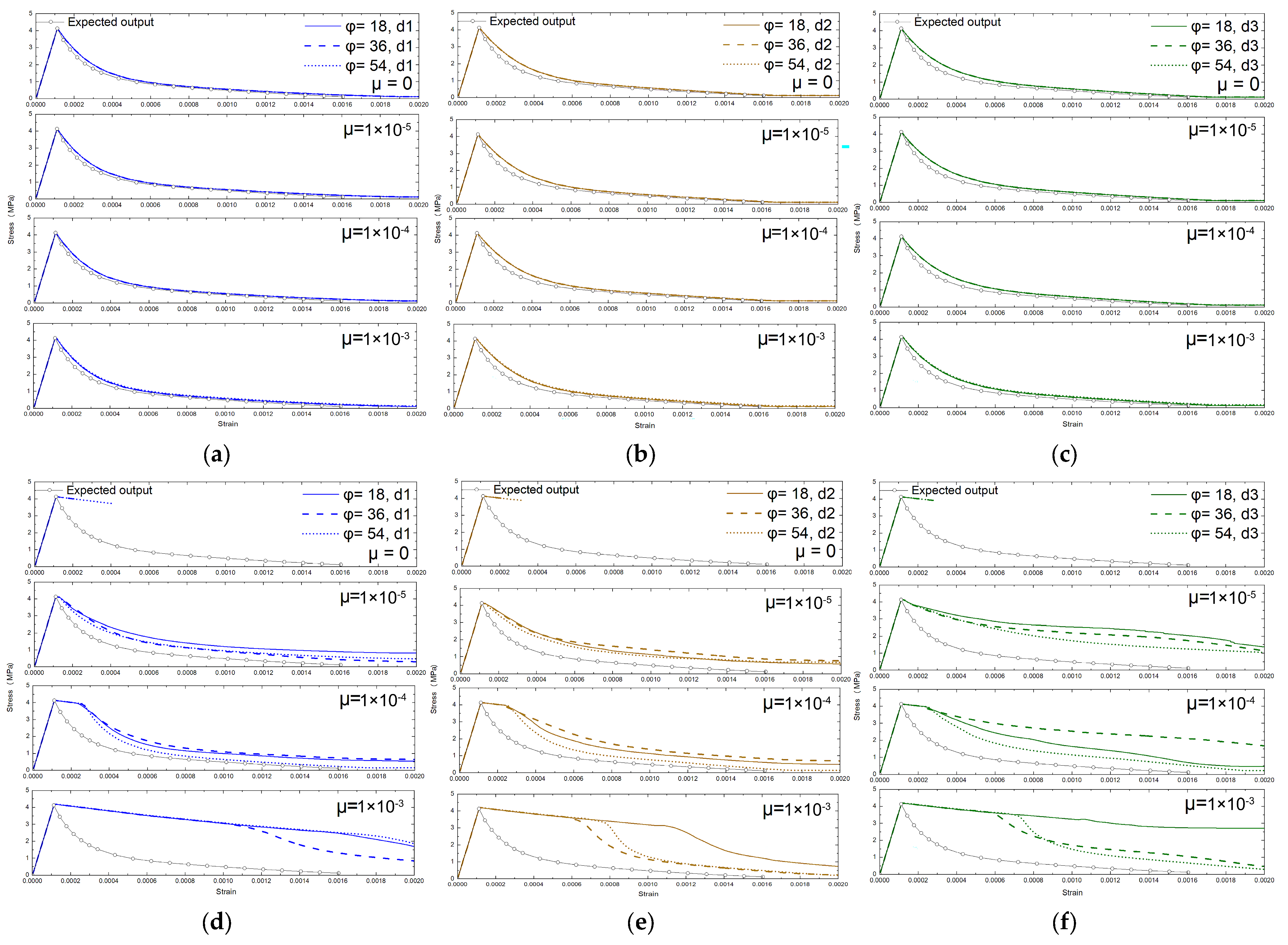
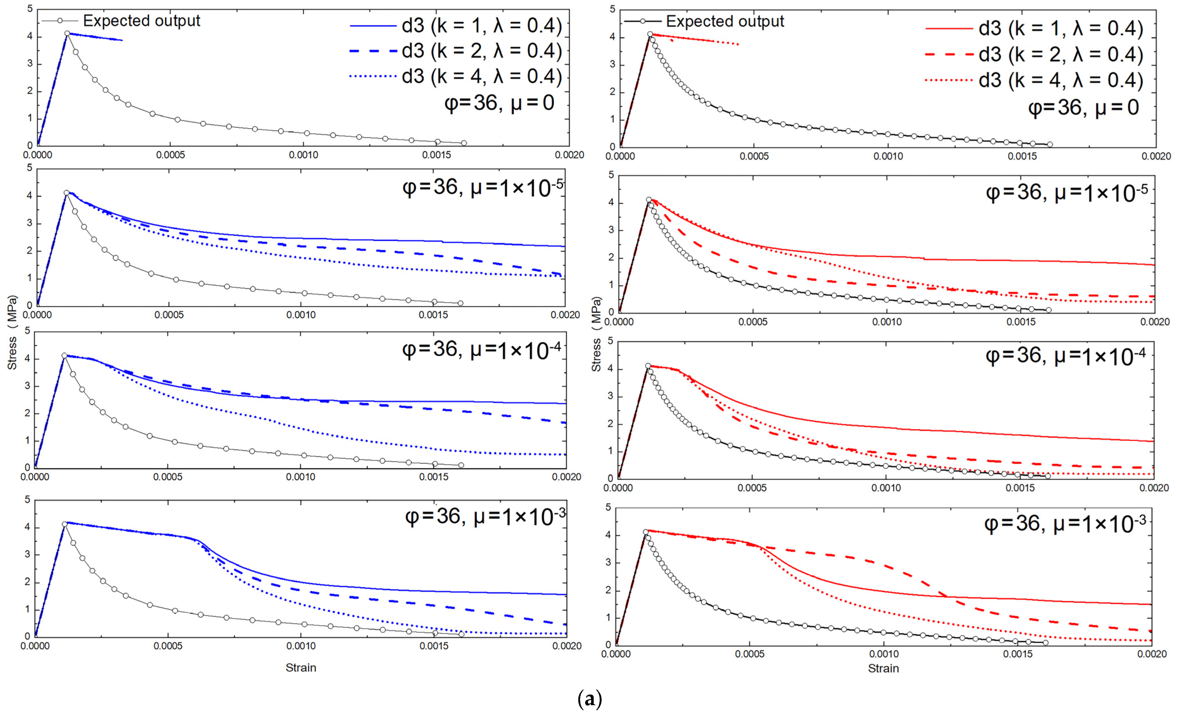
- Effect of Dilation Angle
- 3.
- Effect of Damage Evolution
- 4.
- Effect of the Density of Data Points
3.2.5. Numerical Results Simulation with a Predefined Weaker Layer at Structural Scale
- 1.
- Results and Discussion
- 2.
- Increase in Mesh Sensitivity in Fine-Mesh Simulations
3.3. Discussion on the Effect of
4. A Calibration Framework for Concrete Tensile Behavior
4.1. Assumption Validations
4.1.1. Single-Element Validation
4.1.2. Multi-Element Validation and Localization
4.1.3. Material-Level Stability Indicator Linking Element Calibration to Structural Response
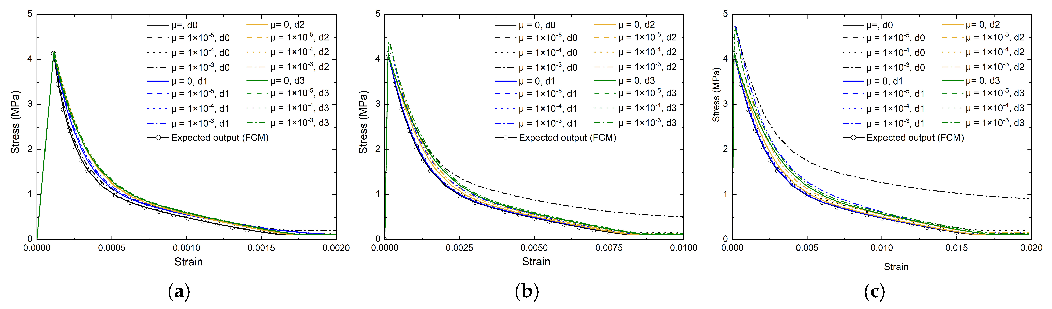
4.1.4. Energy Regularization and Mesh Sensitivity
4.2. Inverse Calibration Framework Based on Numerical Validations
5. Conclusions
- 1.
- Tensile damage and plastic flow are tightly coupled. A damage evolution law with several tensile parameters in the CDP model is proposed for energy consistency in addition to scaling of the softening strain. For a prescribed uniaxial tensile stress–strain ( − ) curve, the dilation angle ( to ) has negligible effect in one-element tension, whereas using viscoplastic regularization without an explicit tensile-damage law biases the response. Given elastic modulus, tensile strength, fracture energy from pure tension, and an estimated shape of the − curve, the evolutions of damage variables are uniquely determined. Using the proposed damage law with calibrated damage evolution parameters ( and ), the one-element can be reduced to less than 5%, in which target tensile damage evolution for the corresponding relationship is obtained. One-element analyses are thus suitable for calibrating the purely uniaxial tensile behavior of concrete.
- 2.
- One-element calibration does not guarantee structural validity. In multi-element models, responses depend on mesh size, viscosity parameter, tensile-damage evolution rate, and assembly/constraint effects condensed in the global tangent with a confinement factor, while they are weakly sensitive to the dilation angle. Localization begins at the loss of strong ellipticity. A large viscosity parameter or high initial damage rate delays localization and overestimates residual strength and energy. Without a prescribed stress-concentration path, it is advised to use very small viscosity parameters purely for convergence to avoid uniform softening or aborted runs. Decreasing the initial damage rate parameter () markedly reduces mesh sensitivity, especially with a specific localization path. Denser target data points for inputting uniaxial tensile behavior in the CDP model reduce the path randomness of stress concentration. A predefined weak layer reproduces crack concentration and sharpens localization (here its tensile strength is reduced by 5%).
- 3.
- In addition to tensile strength, elastic modulus, and an estimated uniaxial tensile stress–strain curve, three key tensile parameters are validated by parametric analyses at the element and structural levels, i.e., the ratio between fracture energy from pure tension in the physical crack band and that from direct-tension tests, and two mesh-independent damage evolution parameters ( and ). Accordingly, an inverse calibration workflow under a framework coupling the CDP model, the CBT, and the Newton–Raphson solver in Abaqus is proposed, separating the material-scale crack band tensile law from structural responses. The damage evolution parameters and the fracture-energy ratio are identified in a one-element model subjected to uniaxial tension () and multi-element models with boundary effects, respectively.
- 4.
- During calibration in the proposed framework, the mesh size should be matched to the physical crack-band width, with a viscosity parameter set to approximately zero. With these calibrations, the tensile response of the physical crack band is obtained, and multi-element analyses achieve mesh insensitivity and CBT-consistent energy dissipation when meshes are at or above typical admissible sizes in the CBT (e.g., mm in this study). Practical starting values are , , and based on numerical and experimental observation.
- 5.
- In the embedded CDP model in Abaqus, the input parameter for determining the uniaxial tensile response must be recalibrated to ensure both CBT-consistent energy dissipation (i.e., target fracture energy dissipation at structural level) and mesh-robust predictions. For fine meshes required by structural details, continuum assumptions for concrete are violated and thus mesh sensitivity rises, unless the initial tensile-damage rate is moderated by decreasing the initial damage rate parameter (e.g., ).
- 6.
- A computable indicator, , obtained from one-element simulations is proposed, which is mainly affected by tensile damage evolution. A small value of at the start of softening indicates a rapid initial tensile damage evolution rate, which increases the value of in multiple-element simulations using fine meshes as well as delays of the loss of strong ellipticity, i.e., tensile localization. Using a near-zero initial damage rate in commercial implementations means that the results behave as if were large, which decreases mesh sensitivity led by tensile damage variables but underestimates the total dissipated energy at a structural level.
- 7.
- The CDP algorithm should be refined in future work. While energy regularization based on crack band theory is often regarded as a simple scaling of the softening strain, the numerical results indicate that regularization is also coupled with plastic-damage quantities, particularly the damage evolution variables. To enforce fracture-energy consistency, the confinement-related stiffness term and the corresponding tangent-stiffness increment should be calibrated and fixed using a reference simulation in which the mesh size equals the physical crack-band width. Adopting this criterion allows the tangent-stiffness formulation in the CDP algorithm to be revised so that multi-element analyses become effectively mesh-insensitive and energy regularization is achieved. Under the revised formulation, any variation in dissipated energy arises from the chosen damage evolution law rather than from the discretization.
Author Contributions
Funding
Data Availability Statement
Acknowledgments
Conflicts of Interest
Nomenclature
| // | uniaxial compressive stress/initial equibiaxial compressive yield stress/initial uniaxial compressive yield stress, |
| / | uniaxial tensile stress/initial uniaxial tensile yield stress |
| / | stress matrix |
| // | components of the stress matrix () in //() direction in multiaxial stresses states, and or refers to or in uniaxial stress states |
| // | uniaxial compressive strength of concrete/uniaxial tensile strength of concrete/coefficient for modifying the estimation of of different concretes from the references in fib MC2020 |
| / | total/plastic strain matrix |
| // | components of the strain matrix () in // direction in multiaxial stresses states |
| uniaxial compressive strain | |
| uniaxial compressive strain corresponding to | |
| average additional compressive strain caused by the formation of longitudinal cracks | |
| // | uniaxial tensile strain/uniaxial tensile strain in localized fracture zone/uniaxial tensile strain at which failure is defined corresponding to |
| / | uniaxial tensile strain corresponding to /uniaxial tensile strain in localized fracture zone corresponding to |
| localized compressive shear deformation | |
| // | tensile crack opening/tensile crack opening of the micro-cracks in the hardening process corresponding to /tensile crack opening of the macro-crack opening in the softening process corresponding to |
| linear decrease in compressive strain caused by unloaded components without damage | |
| /// | linear decrease in tensile strain caused by the unloaded components without damage/linear decrease of tensile strain caused by the unloaded components without damage at which failure is defined corresponding to /linear decrease of tensile strain caused by the unloaded components without damage in localized fracture zone ()/linear decrease of tensile strain caused by the unloaded components without damage in localized fracture zone corresponding to () |
| yield function of the CDP model, governed by three parameters, , , . | |
| the ratio of the second stress invariant on the tensile meridian, , to that on the compressive meridian, , at initial yield for any given value of the pressure invariant, , such that the maximum principal stress is negative, , which is active only at triaxial stresses, | |
| effective cohesion stresses in () direction | |
| effective compressive cohesive stress/effective tensile cohesive stress | |
| principal stress in () direction | |
| / | maximum principal effective stress/minimum principal effective stress |
| components of the strain matrix () in the direction of | |
| / | hydrostatic pressure stress/Mises equivalent effective stress |
| initial (undamaged) elastic modulus | |
| damage of secant elastic modulus | |
| a parameter related to uniaxial plastic and elastic strain | |
| / | damaged/undamaged elastic modulus matrix, |
| viscosity parameter | |
| / | isotropic scalar degradation variable in elastic stiffness with/without viscoplastic regularization |
| / | isotropic scalar degradation rate in elastic stiffness/plastic strain rate with viscoplastic regularization |
| / / | plastic strain matrix without/with viscoplastic regularization |
| / | scalar damage variables for uniaxial compression/scalar damage variables for uniaxial tension |
| / | functions of the stress state that are introduced to model compressive/tensile stiffness recovery effects associated with stress reversals |
| multiaxial stress weight factor | |
| / | compressive/tensile weight factors, which are assumed to be material properties that control the recovery of the compressive ()/ tensile () stiffness upon load reversal. |
| / | uniaxial tensile damage variables in localized fracture zone in meso-scale/uniaxial tensile damage variables in macro-scale |
| / | plastic flow potential function/length of the plastic strain increment () |
| flow potential eccentricity, | |
| dilation angle measured in the p–q plane at high confining pressure | |
| / | hardening law ()/scalar hardening variables |
| / | equivalent compressive hardening variables (), which can be estimated by parameters and /equivalent tensile hardening variables () |
| /// | mesh size ()/ element area of the contour vertical to the loading direction (element )/element area (element )/structural area of the contour vertical to the loading direction (structural model) |
| characteristic length of the specimens | |
| / | equivalent inelastic compressive strain/uniaxial compressive inelastic strain |
| / | compressive inelastic/tensile cracking strain in direction in multiaxial stresses states |
| / | equivalent compressive plastic strain/uniaxial compressive plastic strain |
| compressive or tensile plastic strain in direction in multiaxial stresses states | |
| undamaged compressive elastic strain | |
| / | equivalent cracking strain/uniaxial tensile cracking strain |
| / | equivalent tensile plastic strain/uniaxial tensile plastic strain |
| / | volumetric plastic strain at a material level/a global (structural) level of a damaged element |
| / | undamaged tensile elastic strain/undamaged tensile elastic strain in localized fracture zone |
| // | compressive or tensile plastic deformation/compressive inelastic deformation/tensile cracking deformation in direction in multiaxial stresses states |
| deformation in direction in multiaxial stresses states | |
| Tensile deformation in direction in multiaxial stresses states in localized fracture zone | |
| // | equivalent cracking displacement/uniaxial cracking displacement in purely uniaxial tensile stress state/tensile cracking deformation in direction in multiaxial stresses states |
| // | equivalent tensile plastic displacement/uniaxial tensile plastic displacement in purely uniaxial tensile stress state/tensile plastic deformation in direction in multiaxial stresses states |
| / | undamaged tensile elastic deformation/undamaged tensile elastic deformation in localized fracture zone |
| /// | uniaxial tensile deformation in purely uniaxial tensile stress state/ uniaxial tensile deformation in purely uniaxial tensile stress state in localized fracture zone /tensile deformation in direction in multiaxial stresses states / tensile deformation in localized fracture zone in direction in multiaxial stresses states |
| ratio between and | |
| // | ratio between and /ratio between and and between and /initial value of |
| ratio between and | |
| / | initial and overall damage evolution rate parameter to assume the evolution of ; can be initially estimated to be 0.1~0.4 and can be initially estimated to be a value larger than 0 |
| / | crushing energy measured in purely uniaxial compressive stress state (a material constant)/crushing energy measured in purely uniaxial compressive stress state () of one unit length |
| / | fracture energy from pure tension in the physical crack band, i.e., measured in purely uniaxial tensile stress state (a material constant)/ fracture energy measured in purely uniaxial tensile stress state () of one unit length |
| /// | fracture energy, which can be determined by direct-tension tests ()/ratio between (fracture energy from pure tension in the physical crack band) and (fracture energy from direct-tension tests)/coefficient for modifying the estimation of of different concretes from the references in fib MC2020/coefficient for modifying the estimation of of different concretes from the references in fib MC2020 |
| // | elastic energy due to stress in the undamaged/damaged material/damaged material in the CDP model |
| error in the residuals, which is 0.005 by default | |
| correction to the solution, which is 0.01 by default | |
| largest residual in the balance equation for field at time | |
| largest correction to any nodal variable of type provided by the current iteration at time . | |
| overall time-averaged value of the typical flux for field so far during this step, including the current increment at time , defined as and averaged over all the increments in the step in which is non-zero, which is recalculated after every iteration of the current increment. | |
| value of at increment . | |
| instantaneous magnitude of the flux for field at time averaged over the entire model (spatial average flux), which is by default defined by the fluxes that the elements apply to their nodes and any externally defined fluxes. | |
| largest change in a nodal variable of type in the increment at time | |
| total number of increments so far in the step, including the current increment | |
| the number of external fluxes for field (depends on element type, loading type, and number of loads applied to an element) | |
| magnitude of the external flux for field | |
| the number of degrees of freedom of type at node of element | |
| the number of elements in the model | |
| magnitude of the total flux component that element applies at its degree of freedom of type at its node at time | |
| the number of nodes in element | |
| time | |
| stiffness matrix of the element | |
| consistent global Jacobian (global algorithmic tangent) | |
| residual vector (, and denotes the external force) | |
| / | element/global directional tangent under uniaxial tension ( and denote the loading direction and the mesh sizes, respectively) |
| acoustic tensor () | |
| additional directional stiffness that originates from the lateral confinement stiffness of the surrounding elements and boundary conditions | |
| // | normal stress/total strain/plastic strain in the loading direction () |
| / | element/global strain-displacement operator built from shape-function gradients |
| / | element/global consistent algorithmic constitutive tangent |
| / | element volume/element volume matrix |
| / | element/global geometric -operator used in the geometric-stiffness term |
| element-to-global assembly matrix (i.e., Boolean assembly operator) | |
| / | Kirchhoff stress/Kirchhoff stress matrix |
| consistent tangent of the effective stress with respect to the total strain () | |
| effective plastic modulus () | |
| plastic share of the total strain increment (, ) | |
| loading direction | |
| unit vector defining the loading projection | |
| direction-extraction vector that maps nodal DOFs to the directional displacement measure along | |
| Schur complement of the global stiffness after eliminating external DOFs, providing the effective lateral stiffness seen by the crack band () | |
| initial (pre-damage) consistent tangent of the uncracked elements surrounding | |
| / | a sensitivity indicator linking Newton–Raphson solver, CDP coupling, and CBT energy consistency and its computable indicator |
References
- Bažant, Z.P.; Oh, B.H. Crack band theory for fracture of concrete. Matér. Constr. 1983, 16, 155–177. [Google Scholar] [CrossRef]
- Markeset, G.; Hillerborg, A. Softening of concrete in compression—Localization and size effects. Cem. Concr. Res. 1995, 25, 702–708. [Google Scholar] [CrossRef]
- Zhou, X.; Mickleborough, N.; Li, Z. Shear strength of joints in precast concrete segmental bridges. ACI Struct. J. 2005, 102, 3. [Google Scholar] [CrossRef] [PubMed]
- Feng, J.; Liang, W.; Jiang, H.; Huang, C.; Zhang, J. Shear performance of single-keyed dry joints between reactive power concrete and high strength concrete in push-off tests. Sci. Prog. 2020, 103, 0036850420928643. [Google Scholar] [CrossRef]
- Hillerborg, A.; Modéer, M.; Petersson, P.-E. Analysis of crack formation and crack growth in concrete by means of fracture mechanics and finite elements. Cem. Concr. Res. 1976, 6, 773–781. [Google Scholar] [CrossRef]
- Lubliner, J.; Oliver, J.; Oller, S.; Oñate, E. A plastic-damage model for concrete. Int. J. Solids Struct. 1989, 25, 299–326. [Google Scholar] [CrossRef]
- Lee, J.; Fenves, G.L. Plastic-damage model for cyclic loading of concrete structures. J. Eng. Mech. 1998, 124, 892–900. [Google Scholar] [CrossRef]
- Nguyen, G.D.; Korsunsky, A.M. Development of an approach to constitutive modelling of concrete: Isotropic damage coupled with plasticity. Int. J. Solids Struct. 2008, 45, 5483–5501. [Google Scholar] [CrossRef]
- Li, J.; Ren, X. Stochastic damage model for concrete based on energy equivalent strain. Int. J. Solids Struct. 2009, 46, 2407–2419. [Google Scholar] [CrossRef]
- Guo, C.; Li, J. A unified stochastic damage model for concrete based on multi-scale energy dissipation analysis. Sci. China Technol. Sci. 2024, 67, 863–877. [Google Scholar] [CrossRef]
- Wang, Y. A 3D stochastic damage model for concrete under monotonic and cyclic loadings. Cem. Concr. Res. 2023, 171, 107208. [Google Scholar] [CrossRef]
- Shamsi, T.; Sümer, Y. A finite element modeling approach for analyzing the cyclic behavior of RC frames. Arab. J. Sci. Eng. 2024, 49, 13749–13768. [Google Scholar] [CrossRef]
- Arruda, M.R.T.; Pacheco, J.; Castro, L.; Júlio, E.N.B.S. A modified Mazars damage model with energy regularization. Eng. Fract. Mech. 2022, 259, 108129. [Google Scholar] [CrossRef]
- Shen, J.; Arruda, M.R.T.; Pagani, A.; Carrera, E. A consistent crack bandwidth for higher-order beam theories: Application to concrete. Int. J. Damage Mech. 2024, 33, 269–292. [Google Scholar] [CrossRef]
- Fédération Internationale du Béton (FIB). Model Code for Concrete Structures 2020; Wilhelm Ernst & Sohn: Berlin, Germany, 2024. [Google Scholar]
- Krätzig, W.B.; Pölling, R. An elasto-plastic damage model for reinforced concrete with minimum number of material parameters. Comput. Struct. 2004, 82, 1201–1215. [Google Scholar] [CrossRef]
- Feng, J.; Fang, S.; Chen, M.; Fang, Z.; Liang, W. Effect of joint width on shear behaviour of wet joints using reactive powder concrete with confining stress. Eng. Struct. 2023, 293, 116566. [Google Scholar] [CrossRef]
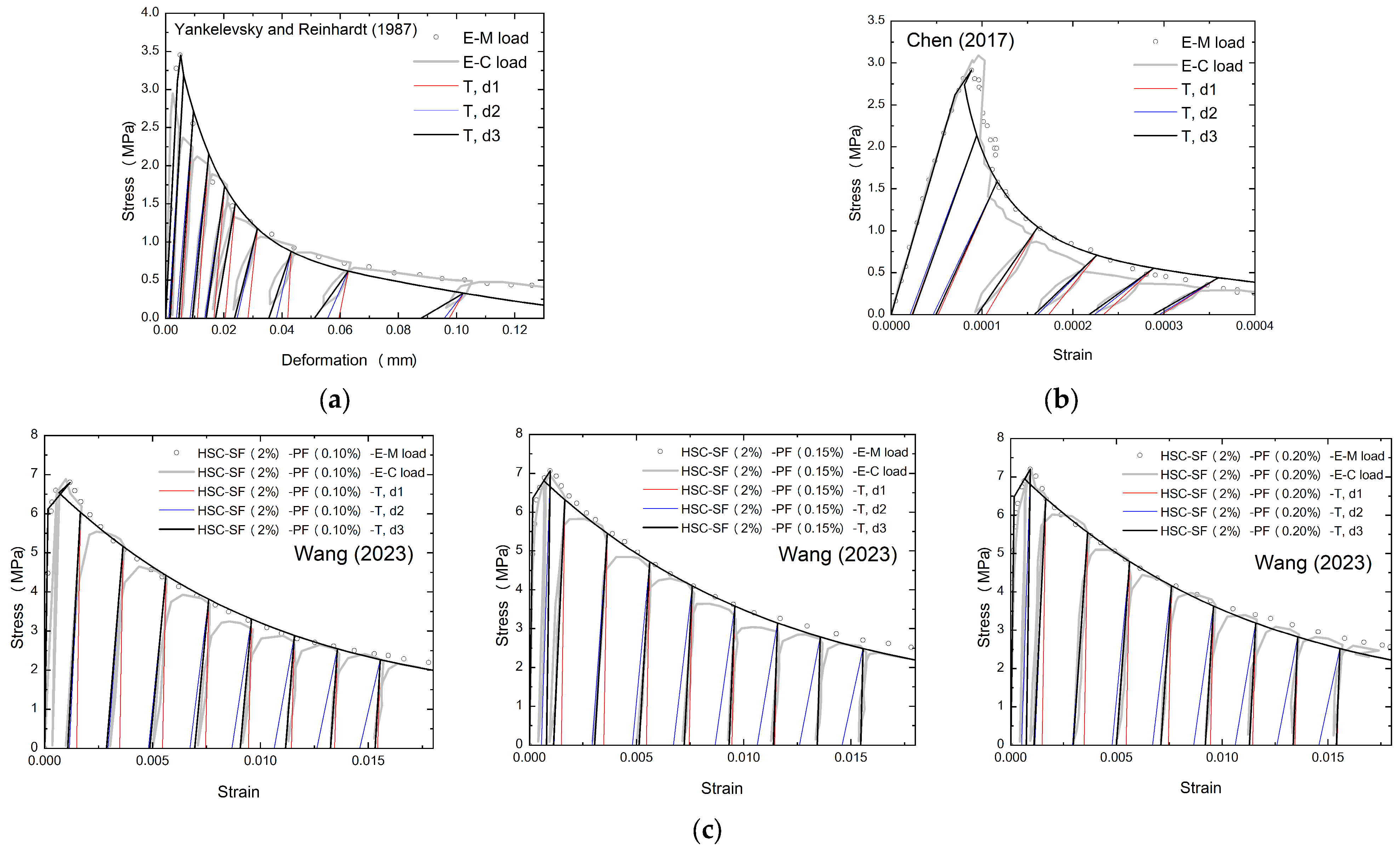
- Wang, S.; Xu, L.; Chi, Y.; Cui, K.; Yin, C.; Li, B. Cyclic tensile behavior of ultra-high performance concrete with hybrid steel–polypropylene fiber: Experimental study and analytical model. Compos. Struct. 2023, 321, 117255. [Google Scholar] [CrossRef]
- van Mier, J.G.M.; Vonk, R.A. Fracture of concrete under multiaxial stress—Recent developments. Mater. Struct. 1991, 24, 61–65. [Google Scholar] [CrossRef]
- van Mier, J.G.M.; Shah, S.P.; Arnaud, M.; Balayssac, J.P.; Bascoul, A.; Choi, S.; Dasenbrock, D.; Ferrara, G.; French, C.; Gobbi, M.E.; et al. Report of the Round Robin Test carried out by RILEM TC 148-SSC. Mater. Struct. 1997, 30, 195–209. [Google Scholar] [CrossRef]
- Nastri, E.; Tenore, M.; Todisco, P. Calibration of concrete damaged plasticity materials parameters for tuff masonry types of the Campania area. Eng. Struct. 2023, 283, 115927. [Google Scholar] [CrossRef]
- Fakeh, M.; Jawdhari, A.; Fam, A. Calibration of ABAQUS Concrete Damage Plasticity (CDP) model for UHPC material. In Proceedings of the 3rd International Interactive Symposium on Ultra-High Performance Concrete; Iowa State University Digital Press: Ames, IA, USA, 2023; p. 16675. [Google Scholar]
- Fakeh, M.; Jawdhari, A.; Fam, A. Recommended concrete damage plasticity parameters and constitutive models for UHPC in ABAQUS. Eng. Struct. 2025, 333, 120154. [Google Scholar] [CrossRef]
- Spozito, R.S.; Rodrigues, E.F.C.; Santos, H.F.d.; Oliveira, I.A.d.; Christoforo, A.L.; de Almeida Filho, F.M.; Delalibera, R.G. Numerical modeling of four-pile caps using the Concrete Damaged Plasticity model. Buildings 2024, 14, 2066. [Google Scholar] [CrossRef]
- Ayhan, B.; Lale, E. Modeling strain rate effect on tensile strength of concrete using damage plasticity model. Int. J. Impact Eng. 2022, 162, 104132. [Google Scholar] [CrossRef]
- Qasem, M.; Hasan, M.; Muhamad, R.; Chin, C.L.; Alanazi, N. Generalised calibration and optimization of concrete damage plasticity model for finite element simulation of cracked reinforced concrete structures. Results Eng. 2025, 25, 103905. [Google Scholar] [CrossRef]
- Dassault Systèmes. Abaqus User Manual; Version 6.49; Dassault Systèmes Simulia Corp.: Johnston, RI, USA, 2020. [Google Scholar]
- Alfarah, B.; López-Almansa, F.; Oller, S. New methodology for calculating damage variables evolution in plastic damage model for RC structures. Eng. Struct. 2017, 132, 70–86. [Google Scholar] [CrossRef]
- Sidoroff, F. Description of anisotropic damage application to elasticity. In Proceedings of the Physical Non-Linearities in Structural Analysis: Symposium, Senlis, France, 27–30 May 1980; pp. 237–244. [Google Scholar]
- Hillerborg, A. Application of the fictitious crack model to different types of materials. Int. J. Fract. 1991, 51, 95–102. [Google Scholar] [CrossRef]
- Sinha, B.P.; Gerstle, K.H.; Tulin, L.G. Stress–strain relations for concrete under cyclic loading. J. Proc. 1964, 61, 195–212. [Google Scholar]
- Simo, J.C.; Hughes, T.J.R. Computational Inelasticity; Interdisciplinary Applied Mathematics; Springer: New York, NY, USA, 1998; Volume 7. [Google Scholar]
- Simo, J.C.; Taylor, R.L. Consistent Tangent Operators for Rate-Independent Elastoplasticity. Comput. Methods Appl. Mech. Eng. 1985, 48, 101–118. [Google Scholar] [CrossRef]
- Van Vliet, M.R.A.; Van Mier, J.G.M. Experimental investigation of size effect in concrete and sandstone under uniaxial tension. Eng. Fract. Mech. 2000, 65, 165–188. [Google Scholar] [CrossRef]
- Chen, X.; Xu, L.; Bu, J. Experimental study and constitutive model on complete stress–strain relations of plain concrete in uniaxial cyclic tension. KSCE J. Civ. Eng. 2017, 21, 1829–1835. [Google Scholar] [CrossRef]
- Yankelevsky, D.Z.; Reinhardt, H.W. Model for cyclic compressive behavior of concrete. J. Struct. Eng. 1987, 113, 228–240. [Google Scholar] [CrossRef]
- Rudnicki, J.W.; Rice, J.R. Conditions for the Localization of Deformation in Pressure-Sensitive Dilatant Materials. J. Mech. Phys. Solids 1975, 23, 371–394. [Google Scholar] [CrossRef]






















| Tests | Specimen Dimensions | Mechanical Properties | ||||||||
|---|---|---|---|---|---|---|---|---|---|---|
| Type | Depth (d) | Height/d | Gauge Length | Type | 35 | 35 | 41 | 41 | ||
| Van Vliet (2000) [34] | DB | 50, 100, 200 | 0.725 | 30, 60, 120 | NC | 2.75 | 0.090 | 0.650 | / | / |
| Chen (2017) [35] | CY | 73 | 2 | 135 | NC | 2.91 | 0.063 | 0.450 | 0.400 | 2.00 |
| Yankelevsky (1987) [36] | PR | 50 | 5 | 35 | NC | 3.45 | 0.117 | 0.800 | 0.250 | 1.00 |
| Wang (2023) [18] | CY | 75 | 2.67 | 20 | SFRC | 6.80 | 11.6 | 60.0 | 0.400 | 20.0 |
| 7.07 | 12.9 | 65.0 | 0.400 | 30.0 | ||||||
| 7.20 | 13.0 | 65.0 | 0.400 | 25.0 | ||||||
| = 100 mm | = 100/5 mm | = 100/10 mm | ||||||||||||
|---|---|---|---|---|---|---|---|---|---|---|---|---|---|---|
| 0 | 1 × 10−5 | 1 × 10−4 | 1 × 10−3 | 0 | 1 × 10−5 | 1 × 10−4 | 1 × 10−3 | 0 | 1 × 10−5 | 1 × 10−4 | 1 × 10−3 | |||
| 0.00 | 0.11 | 1.06 | 10.5 | 0.00 | 0.53 | 5.24 | 50.8 | 0.00 | 1.05 | 10.3 | 99.4 | |||
| 10.9 | 10.9 | 11.2 | 13.7 | 2.09 | 2.21 | 3.32 | 14.5 | 0.99 | 1.23 | 3.41 | 25.7 | |||
| 14.6 | 14.6 | 14.9 | 17.2 | 7.69 | 7.76 | 8.38 | 14.7 | 5.42 | 5.53 | 6.51 | 16.4 | |||
| 17.2 | 17.2 | 17.4 | 19.6 | 16.3 | 16.3 | 16.8 | 21.7 | 15.3 | 15.3 | 16.0 | 23.12 | |||
| (1 Element) | (1 Element) | (1 Element) | ||||||||||||
|---|---|---|---|---|---|---|---|---|---|---|---|---|---|---|
| 0 | 1 × 10−5 | 1 × 10−4 | 1 × 10−3 | 0 | 1 × 10−5 | 1 × 10−4 | 1 × 10−3 | 0 | 1 × 10−5 | 1 × 10−4 | 1 × 10−3 | |||
| 10.9 | 10.9 | 11.1 | 13.2 | 14.6 | 14.6 | 14.8 | 16.7 | 17.2 | 17.2 | 17.4 | 19.1 | |||
| 10.9 | 10.9 | 11.2 | 13.7 | 14.6 | 14.6 | 14.9 | 17.2 | 17.2 | 17.2 | 17.4 | 19.6 | |||
| 10.9 | 10.9 | 11.6 | 17.9 | 14.6 | 14.7 | 15.3 | 22.0 | 17.2 | 17.2 | 17.9 | 24.2 | |||
| (1000 Elements) | (1000 Elements) | (1000 Elements) | ||||||||||||
|---|---|---|---|---|---|---|---|---|---|---|---|---|---|---|
| 0 | 1 × 10−5 | 1 × 10−4 | 1 × 10−3 | 0 | 1 × 10−5 | 1 × 10−4 | 1 × 10−3 | 0 | 1 × 10−5 | 1 × 10−4 | 1 × 10−3 | |||
| 76.0 | 93.2 | 78.7 | 273 | 67.3 | 82.8 | 92.8 | 227 | 69.5 | 217.1 | 129 | 300 | |||
| 57.2 | 55.1 | 92.2 | 226 | 50.7 | 103.2 | 120 | 126 | 39.7 | 184.3 | 228 | 165 | |||
| 12.3 | 59.9 | 40.5 | 280 | 34.9 | 74.6 | 49.5 | 142 | 46.4 | 147.8 | 85.7 | 150 | |||
Disclaimer/Publisher’s Note: The statements, opinions and data contained in all publications are solely those of the individual author(s) and contributor(s) and not of MDPI and/or the editor(s). MDPI and/or the editor(s) disclaim responsibility for any injury to people or property resulting from any ideas, methods, instructions or products referred to in the content. |
© 2025 by the authors. Licensee MDPI, Basel, Switzerland. This article is an open access article distributed under the terms and conditions of the Creative Commons Attribution (CC BY) license (https://creativecommons.org/licenses/by/4.0/).
Share and Cite
Chen, M.; De Corte, W.; Zhang, F.; Taerwe, L. Energy-Consistent Mapping for Concrete Tensile Softening Within a Framework Combining Concrete Damaged Plasticity and Crack Band Theory. Buildings 2025, 15, 3985. https://doi.org/10.3390/buildings15213985
Chen M, De Corte W, Zhang F, Taerwe L. Energy-Consistent Mapping for Concrete Tensile Softening Within a Framework Combining Concrete Damaged Plasticity and Crack Band Theory. Buildings. 2025; 15(21):3985. https://doi.org/10.3390/buildings15213985
Chicago/Turabian StyleChen, Mingzhu, Wouter De Corte, Fan Zhang, and Luc Taerwe. 2025. "Energy-Consistent Mapping for Concrete Tensile Softening Within a Framework Combining Concrete Damaged Plasticity and Crack Band Theory" Buildings 15, no. 21: 3985. https://doi.org/10.3390/buildings15213985
APA StyleChen, M., De Corte, W., Zhang, F., & Taerwe, L. (2025). Energy-Consistent Mapping for Concrete Tensile Softening Within a Framework Combining Concrete Damaged Plasticity and Crack Band Theory. Buildings, 15(21), 3985. https://doi.org/10.3390/buildings15213985

