Effect of Fiber Type and Content on the Mechanical Properties of High-Performance Concrete Under Different Saturation Levels
Abstract
1. Introduction
2. Experimental Setup
2.1. Raw Materials
2.2. Specimen Preparation
2.3. Testing Methods
2.3.1. Uniaxial Compression Test
2.3.2. Splitting Tensile Test
2.3.3. Three-Point Bending Test
3. Experimental Results
3.1. Failure Mode of Sample
3.1.1. Compressing Failure Mode
3.1.2. Tensile Failure Mode
3.1.3. Bending Failure Mode
3.2. Mechanical Property
3.2.1. Performance Parameters of Compressing
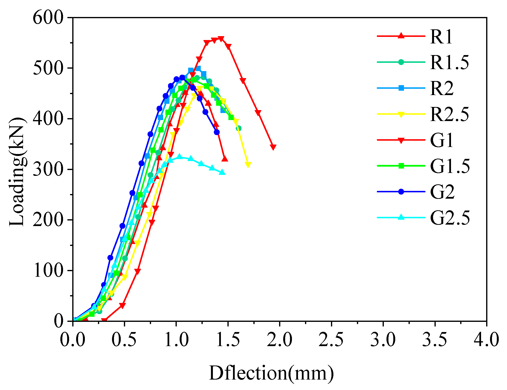
3.2.2. Performance Parameters of Bending
3.2.3. Tensile Performance Parameters
3.3. Comparison of Concrete Properties at Different Moisture Contents
- (1)
- Pore Formation and Internal Stress: As moisture content increases, excess water occupies the internal spaces of concrete, creating micro-pores and voids. These weaken the internal structure, reducing the concrete’s density and strength. Additionally, water within the concrete is prone to expansion and shrinkage, leading to volume changes. These changes generate internal stresses that further reduce the strength of the concrete.
- (2)
- Weakened Aggregate-Cement Bonding: Higher moisture content decreases the bonding strength between aggregates and cement, adversely affecting the overall integrity of the concrete.
- (3)
- Carbonation Effect: Concrete interacts with CO2 in the air, leading to surface corrosion and carbonation. As the extent of corrosion deepens, it spreads to the interior of the concrete. The carbonation effect intensifies with increasing moisture content, further compromising the concrete’s strength.
- (4)
- Impact of Low Moisture Content: Insufficient moisture can negatively affect the bonding between fibers and concrete as well as between aggregates and the cement matrix, reducing the adhesive strength.
4. Discussion
4.1. Effect of Fiber on Mechanical Properties
4.2. Effect of Fly Ash and Ultrafine Slag
4.3. Effect of Two Types of Fibers
4.4. Effect of Water Saturated Level
5. Conclusions
- (1)
- The failure modes of HPC materials under different loading conditions were analyzed. Under compression, for FRC specimens, the crack width gradually increased with the falling of rock chips, and the cross-sectional area was bulging. Their failure was not sudden like that of plain concrete. Under tension, the fracture of FRC specimens was similar to that of ordinary concrete, with a small fracture sound and a large number of tensile fibers on the fracture surface. Compared with glass fiber, basalt fiber has better bonding performance with concrete. Under bending, fiber-reinforced concrete (FRC) exhibits a delay between crack initiation and fracture compared to plain concrete, with a more tortuous crack propagation path.
- (2)
- The optimal fiber volume fraction was identified as 1%, at which FRC exhibited the best performance. Relationships between fiber volume fraction, flexural strength, and fracture energy were established. The fitting equations yielded good results under natural moisture conditions but were less satisfactory under dry and saturated conditions.
- (3)
- Both fibers improved the compressive, tensile, and flexural strengths of concrete. Under natural conditions, glass fibers were more effective in enhancing toughness and energy absorption than basalt fibers, whereas basalt fibers demonstrated greater stability than glass fibers in saturated conditions.
- (4)
- Similarly to ordinary concrete, the overall mechanical strength of FRC decreased with increasing saturation. However, toughness and energy absorption first increased and then decreased, reaching their peak values in the natural state. This trend was attributed not only to the effect of moisture on the concrete matrix but also to the influence of water on fiber properties.
Author Contributions
Funding
Data Availability Statement
Conflicts of Interest
References
- Parvez, A.; Foster, S.J. Fatigue of steel-fibre-reinforced concrete prestressed railway sleepers. Eng. Struct. 2017, 141, 241–250. [Google Scholar] [CrossRef]
- Khalel, H.; Khan, M.; Starr, A.; Khan, K.A.; Muhammad, A. Performance of engineered fibre reinforced concrete (EFRC) under different load regimes: A review. Constr. Build. Mater. 2021, 306, 124692. [Google Scholar] [CrossRef]
- Niu, F.; Liu, Y.; Xue, F.; Sun, H.; Liu, T.; He, H.; Liao, H. Ultra-high performance concrete: A review of its material properties and usage in shield tunnel segment. Case Stud. Constr. Mater. 2025, 22, e04194. [Google Scholar] [CrossRef]
- Ali, B.; Raza, S.S.; Kurda, R.; Alyousef, R. Synergistic effects of fly ash and hooked steel fibers on strength and durability properties of high strength recycled aggregate concrete. Resour. Conserv. Recycl. 2021, 168, 105444. [Google Scholar] [CrossRef]
- Yang, W.; Tang, Z.; Wu, W.; Zhang, K.; Yuan, J.; Li, H.; Feng, Z. Effect of different fibers on impermeability of steam cured recycled concrete. Constr. Build. Mater. 2022, 328, 127063. [Google Scholar] [CrossRef]
- Devi, C.; Vijayan, D.S.; Nagalingam, R.; Arvindan, S. A review of the implementations of glass fiber in concrete technology. Mater. Today Proc. 2022, 62, 2010–2015. [Google Scholar] [CrossRef]
- Wei, J.; Meyer, C. Utilization of rice husk ash in green natural fiber-reinforced cement composites: Mitigating degradation of sisal fiber. Cem. Concr. Res. 2016, 81, 94–111. [Google Scholar] [CrossRef]
- Ahmad, J.; González-Lezcano, R.A.; Majdi, A.; Ben Kahla, N.; Deifalla, A.F.; El-Shorbagy, M.A. Glass Fibers Reinforced Concrete: Overview on Mechanical, Durability and Microstructure Analysis. Materials 2022, 15, 5111. [Google Scholar] [CrossRef]
- Ali, B.; Qureshi, L.A. Influence of glass fibers on mechanical and durability performance of concrete with recycled aggregates. Constr. Build. Mater. 2019, 228, 116783. [Google Scholar] [CrossRef]
- Zhou, J.; Wang, G.; Zhu, G. The durability of basalt-fiber-reinforced cement mortar under exposure to unilateral salt freezing cycles. Front. Mater. 2023, 10, 1202889. [Google Scholar] [CrossRef]
- Wang, Y.; Kang, A.-H.; Wu, Z.-G.; Xiao, P.; Gong, Y.-F.; Sun, H.-F. Investigation of the basalt fiber type and content on performances of cement mortar and concrete. Constr. Build. Mater. 2023, 408, 133720. [Google Scholar] [CrossRef]
- Bencardino, F.; Mazzuca, P.; Carmo, R.D.; Costa, H.; Curto, R. Cement-Based Mortars with Waste Paper Sludge-Derived Cellulose Fibers for Building Applications. Fibers 2024, 12, 13. [Google Scholar] [CrossRef]
- Jin, L.; Du, X.; Ma, G. Macroscopic effective moduli and tensile strength of saturated concrete. Cem. Concr. Res. 2012, 42, 1590–1600. [Google Scholar] [CrossRef]
- Isa, M.N.; Pilakoutas, K.; Guadagnini, M. Determination of tensile characteristics and design of eco-efficient UHPC. Structures 2021, 32, 2174–2194. [Google Scholar] [CrossRef]
- Chen, M.; Zhong, H.; Wang, H.; Zhang, M. Behaviour of recycled tyre polymer fibre reinforced concrete under dynamic splitting tension. Cem. Concr. Compos. 2020, 114, 103764. [Google Scholar] [CrossRef]
- Jiang, J.; Feng, T.; Chu, H.; Wu, Y.; Wang, F.; Zhou, W.; Wang, Z. Quasi-static and dynamic mechanical properties of eco-friendly ultra-high-performance concrete containing aeolian sand. Cem. Concr. Compos. 2019, 97, 369–378. [Google Scholar] [CrossRef]
- GB/T 1596-2017; Fly Ash Used for Cement and Concrete. Standardization Administration of the People’s Republic of China, SAC: Beijing, China, 2019.
- Su, Y.; Li, J.; Wu, C.; Wu, P.; Tao, M.; Li, X. Mesoscale study of steel fibre-reinforced ultra-high performance concrete under static and dynamic loads. Mater. Des. 2017, 116, 340–351. [Google Scholar] [CrossRef]
- Habel, K.; Gauvreau, P. Response of ultra-high performance fiber reinforced concrete (UHPFRC) to impact and static loading. Cem. Concr. Compos. 2008, 30, 938–946. [Google Scholar] [CrossRef]
- Farnam, Y.; Mohammadi, S.; Shekarchi, M. Experimental and numerical investigations of low velocity impact behavior of high-performance fiber-reinforced cement based composite. Int. J. Impact Eng. 2010, 37, 220–229. [Google Scholar] [CrossRef]
- Drdlová, M.; Čechmánek, R. Comparison of tensile behaviour of polypropylene, aramid and carbon fibre reinforced cementitious composite at high strain rate loading. Procedia Struct. Integr. 2018, 13, 1731–1738. [Google Scholar] [CrossRef]
- Bahedh, M.A.; Jaafar, M.S. Ultra high-performance concrete utilizing fly ash as cement replacement under autoclaving technique. Case Stud. Constr. Mater. 2018, 9, e00202. [Google Scholar] [CrossRef]
- Hao, Y.; Hao, H. Dynamic compressive behaviour of spiral steel fibre reinforced concrete in split Hopkinson pressure bar tests. Constr. Build. Mater. 2013, 48, 521–532. [Google Scholar] [CrossRef]
- ASTM C192/C192M-24; Standard Practice for Making and Curing Concrete Test Specimens in the Laboratory. ASTM International: West Conshohocken, PA, USA, 2024.
- ASTM-C39/C39M-21; Standard test method for Compressive Strength of Cylindrical Concrete Specimens. ASTM International: West Conshohocken, PA, USA, 2021.
- Wang, Q.-Z.; Xing, L. Determination of fracture toughness KIC by using the flattened Brazilian disk specimen for rocks. Eng. Fract. Mech. 1999, 64, 193–201. [Google Scholar] [CrossRef]
- GB/T 17671-1999; Method of Testing Cements—Determinationof Strength. National Standardization Administration: Beijing, China, 1999.
- JSCE-SF4; Method of Test for Flexural Strength and Flexural Toughness of Fiber Reinforced. Japan Society of Civil Engineers, JSCE: Tokyo, Japan.
- Zhou, H.; Jia, B.; Huang, H.; Mou, Y. Experimental Study on Basic Mechanical Properties of Basalt Fiber Reinforced Concrete. Materials 2020, 13, 1362. [Google Scholar] [CrossRef] [PubMed]
- Jiang, C.; Fan, K.; Wu, F.; Chen, D. Experimental study on the mechanical properties and microstructure of chopped basalt fibre reinforced concrete. Mater. Des. 2014, 58, 187–193. [Google Scholar] [CrossRef]
- Sun, X.; Gao, Z.; Cao, P.; Zhou, C.; Ling, Y.; Wang, X.; Zhao, Y.; Diao, M. Fracture performance and numerical simulation of basalt fiber concrete using three-point bending test on notched beam. Constr. Build. Mater. 2019, 225, 788–800. [Google Scholar] [CrossRef]
- Hillerborg, A.; Modéer, M.; Petersson, P.E. Analysis of crack formation and crack growth in concrete by means of fracture mechanics and finite elements. Cem. Concr. Res. 1976, 6, 773–781. [Google Scholar] [CrossRef]
- Deng, Q.; Zhang, R.; Liu, C.; Duan, Z.; Xiao, J. Influence of fiber properties on abrasion resistance of recycled aggregate concrete: Length, volume fraction, and types of fibers. Constr. Build. Mater. 2023, 362, 129750. [Google Scholar] [CrossRef]
- Banthia, N.; Majdzadeh, F.; Wu, J.; Bindiganavile, V. Fiber synergy in Hybrid Fiber Reinforced Concrete (HyFRC) in flexure and direct shear. Cem. Concr. Compos. 2014, 48, 91–97. [Google Scholar] [CrossRef]
- Ahmed, W.; Lim, C.W. Multicriteria performance assessment of sustainable recycled concrete produced via hybrid usage of basalt, polypropylene and glass fiber. Constr. Build. Mater. 2023, 397, 132462. [Google Scholar] [CrossRef]
- Xi, Y.; Siemer, D.D.; Scheetz, B.E. Strength development, hydration reaction and pore structure of autoclaved slag cement with added silica fume. Cem. Concr. Res. 1997, 27, 75–82. [Google Scholar] [CrossRef]
- Abdulkareem, O.M.; Fraj, A.B.; Bouasker, M.; Khouchaf, L.; Khelidj, A. Microstructural investigation of slag-blended UHPC: The effects of slag content and chemical/thermal activation. Constr. Build. Mater. 2021, 292, 123455. [Google Scholar] [CrossRef]
- Jing, R.; Liu, Y.; Yan, P. Uncovering the effect of fly ash cenospheres on the macroscopic properties and microstructure of ultra high-performance concrete (UHPC). Constr. Build. Mater. 2021, 286, 122977. [Google Scholar] [CrossRef]
- Yang, R.; Yu, R.; Shui, Z.; Gao, X.; Xiao, X.; Zhang, X.; Wang, Y.; He, Y. Low carbon design of an Ultra-High Performance Concrete (UHPC) incorporating phosphorous slag. J. Clean. Prod. 2019, 240, 118157. [Google Scholar] [CrossRef]
- Ashraf, M.J.; Idrees, M.; Akbar, A. Performance of silica fume slurry treated recycled aggregate concrete reinforced with carbon fibers. J. Build. Eng. 2023, 66, 105892. [Google Scholar] [CrossRef]
- Kazmi, S.M.S.; Munir, M.J.; Wu, Y.-F.; Patnaikuni, I.; Zhou, Y.; Xing, F. Axial stress-strain behavior of macro-synthetic fiber reinforced recycled aggregate concrete. Cem. Concr. Compos. 2019, 97, 341–356. [Google Scholar] [CrossRef]
- Ahmed, W.; Lim, C.W. Production of sustainable and structural fiber reinforced recycled aggregate concrete with improved fracture properties: A review. J. Clean. Prod. 2021, 279, 123832. [Google Scholar] [CrossRef]
- Lei, B.; Li, W.; Liu, H.; Tang, Z.; Tam, V.W.Y. Synergistic Effects of Polypropylene and Glass Fiber on Mechanical Properties and Durability of Recycled Aggregate Concrete. Int. J. Concr. Struct. Mater. 2020, 14, 37. [Google Scholar] [CrossRef]
- Afroughsabet, V.; Biolzi, L.; Monteiro, P.J.M. The effect of steel and polypropylene fibers on the chloride diffusivity and drying shrinkage of high-strength concrete. Compos. Part B 2018, 139, 84–96. [Google Scholar] [CrossRef]
- Ahmed, W.; Lim, C.W.; Akbar, A. Influence of Elevated Temperatures on the Mechanical Performance of Sustainable-Fiber-Reinforced Recycled Aggregate Concrete: A Review. Buildings 2022, 12, 487. [Google Scholar] [CrossRef]
- Ahmed, W.; Lim, C.W. Effective recycling of disposable medical face masks for sustainable green concrete via a new fiber hybridization technique. Constr. Build. Mater. 2022, 344, 128245. [Google Scholar] [CrossRef]


























| Type | Tensile Strength (MPa) | Elastic Modulus (GPa) | Density (Kg/m3) | Equivalent Diameter (μm) | Length (mm) |
| Basalt fiber | 1131 | 45 | 2.64 | 10 | 12 |
| Glass fiber | 1824 | 75 | 2.68 | 12 | 12 |
| Composition | Yu su [18] | Habel [19] | Franam [20] | Martina Drdlová [21] | Textual |
| Cement | 750 | 967 | 1020 | 990 | 710 |
| Water | 190 | 244 | 385 | 290 | 226 |
| Sand | 1030 | 675 | 850 | 670 | 1000 |
| Ultra-fine BF slag | / | / | / | / | 106 |
| Silica fume | 225 | 251 | 180 | 78 | 142 |
| WRHR | 16 | 35 | 18 | 10 | 26.7 |
| Fly ash | / | / | / | / | 71 |
| Composition | CaO | SO3 | Al2O3 | SiO2 | MgO | Fe2O3 | LOI |
| Silica fume | 0.51 | / | 0.32 | 92.20 | 0.97 | 0.85 | 3.00 |
| Ultra-fine BF slag | 34.00 | 1.64 | 17.71 | 34.50 | 6.02 | 1.03 | 0.84 |
| Fly ash | 4.90 | 1.50 | 24.47 | 60.90 | 0.68 | 6.70 | 2.00 |
| Specimen | Vf | fc | δc | I0 | I1 | COV |
|---|---|---|---|---|---|---|
| R1 | 1 | 46.70 | 1.154 | 2.22 | 1.69 | 0.039 |
| R1.5 | 1.5 | 48.21 | 1.265 | 2.05 | 1.65 | 0.036 |
| R2 | 2 | 49.2 | 1.209 | 1.93 | 1.60 | 0.041 |
| R2.5 | 2.5 | 46.62 | 1.291 | 2.18 | 1.74 | 0.026 |
| P | 0 | 55.19 | 1.254 | 2.07 | 1.67 | 0.025 |
| G1 | 1 | 55.93 | 1.433 | 2.50 | 1.73 | 0.032 |
| G1.5 | 1.5 | 47.68 | 1.167 | 2.06 | 1.71 | 0.034 |
| G2 | 2 | 48.14 | 1.057 | 1.97 | 1.67 | 0.042 |
| G2.5 | 2.5 | 32.43 | 1.031 | 2.38 | 1.98 | 0.036 |
| Specimen | Vf | ff | δf | Gf | α | COV |
|---|---|---|---|---|---|---|
| R1 | 1 | 10.36 | 0.412 | 0.773 | 1.323 | 0.043 |
| R1.5 | 1.5 | 9.43 | 0.431 | 0.652 | 1.067 | 0.016 |
| R2 | 2 | 8.89 | 0.406 | 0.574 | 1.062 | 0.015 |
| R2.5 | 2.5 | 7.16 | 0.533 | 0.510 | 1.061 | 0.023 |
| P | 0 | 9.26 | 0.482 | 0.639 | 1.000 | 0.015 |
| G1 | 1 | 9.87 | 0.722 | 0.887 | 1.052 | 0.014 |
| G1.5 | 1.5 | 8.35 | 0.437 | 0.769 | 1.043 | 0.056 |
| G2 | 2 | 9.75 | 0.450 | 0.707 | 1.207 | 0.043 |
| G2.5 | 2.5 | 4.93 | 0.530 | 0.541 | 0.906 | 0.016 |
| Specimen | Vf | ft | Et | εt | Gt | Lch | COV |
|---|---|---|---|---|---|---|---|
| R1 | 1 | 5.27 | 150.83 | 36.59 | 118.80 | 650.97 | 0.042 |
| R1.5 | 1.5 | 5.04 | 140.37 | 22.30 | 120.65 | 661.49 | 0.020 |
| R2 | 2 | 5.38 | 154.20 | 38.14 | 114.93 | 613.13 | 0.016 |
| R2.5 | 2.5 | 4.55 | 166.77 | 33.11 | 88.77 | 617.10 | 0.015 |
| P | 0 | 4.36 | 136.67 | 31.26 | 84.66 | 608.32 | 0.032 |
| G1 | 1 | 5.89 | 154.03 | 39.45 | 130.29 | 626.76 | 0.034 |
| G1.5 | 1.5 | 5.82 | 157.02 | 35.68 | 126.78 | 617.62 | 0.015 |
| G2 | 2 | 4.99 | 123.25 | 43.57 | 113.33 | 639.59 | 0.016 |
| G2.5 | 2.5 | 4.36 | 133.70 | 37.81 | 104.16 | 683.18 | 0.024 |
Disclaimer/Publisher’s Note: The statements, opinions and data contained in all publications are solely those of the individual author(s) and contributor(s) and not of MDPI and/or the editor(s). MDPI and/or the editor(s) disclaim responsibility for any injury to people or property resulting from any ideas, methods, instructions or products referred to in the content. |
© 2025 by the authors. Licensee MDPI, Basel, Switzerland. This article is an open access article distributed under the terms and conditions of the Creative Commons Attribution (CC BY) license (https://creativecommons.org/licenses/by/4.0/).
Share and Cite
Bao, S.; Wang, S.; Wang, S.; Tang, X.; Guo, T. Effect of Fiber Type and Content on the Mechanical Properties of High-Performance Concrete Under Different Saturation Levels. Buildings 2025, 15, 3805. https://doi.org/10.3390/buildings15203805
Bao S, Wang S, Wang S, Tang X, Guo T. Effect of Fiber Type and Content on the Mechanical Properties of High-Performance Concrete Under Different Saturation Levels. Buildings. 2025; 15(20):3805. https://doi.org/10.3390/buildings15203805
Chicago/Turabian StyleBao, Shibo, Shuangjie Wang, Sheng Wang, Xugang Tang, and Tengfei Guo. 2025. "Effect of Fiber Type and Content on the Mechanical Properties of High-Performance Concrete Under Different Saturation Levels" Buildings 15, no. 20: 3805. https://doi.org/10.3390/buildings15203805
APA StyleBao, S., Wang, S., Wang, S., Tang, X., & Guo, T. (2025). Effect of Fiber Type and Content on the Mechanical Properties of High-Performance Concrete Under Different Saturation Levels. Buildings, 15(20), 3805. https://doi.org/10.3390/buildings15203805

