Deformation and Reinforcement of the Existing Tunnel Affected by New Shield Tunnel Construction with Small Clearance
Abstract
1. Introduction
2. Impact of Tunnel Crossing on the Existing Tunnel
2.1. Engineering Background
2.2. Establishment of Numerical Model
2.3. Deformation and Stress Characteristics of the Existing Tunnel
2.3.1. Settlement of the Existing Tunnel
2.3.2. Maximum Principal Stress of the Existing Tunnel
2.3.3. Ground Subsidence of the Soil
3. Research on Local Reinforcement of the Existing Tunnel
3.1. Local Reinforcement Plan for the Existing Tunnel
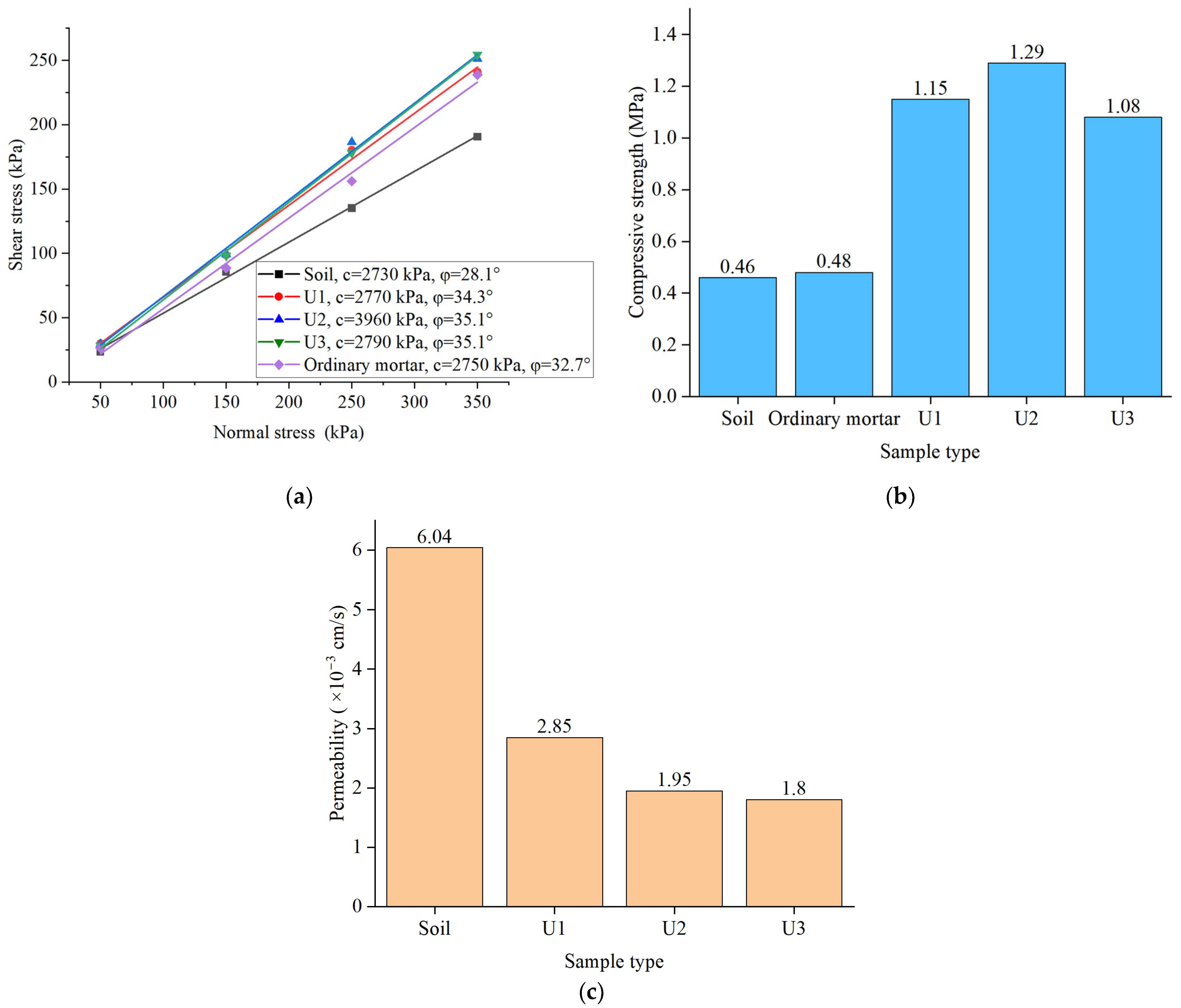
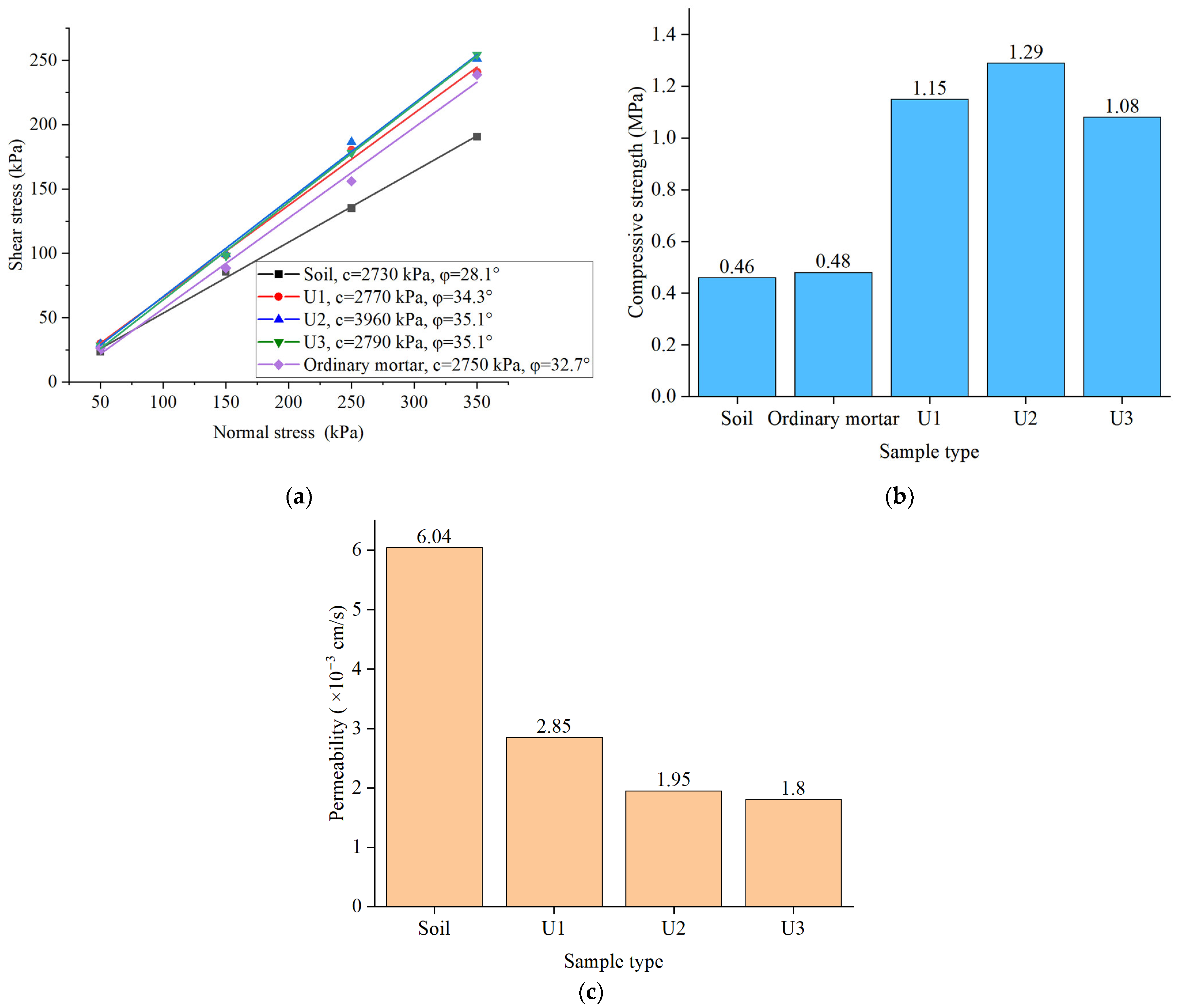
3.2. Ultra-High-Performance Grouting Material Test
3.3. Numerical Simulation of Tunnel Reinforcement
3.4. Analysis of the Effectiveness of Local Reinforcement of the Existing Tunnel
3.4.1. Maximum Settlement of the Existing Tunnel After Reinforcement
3.4.2. Maximum Principal Stress of the Tunnel After Reinforcement
3.4.3. Ground Subsidence of the Soil After Reinforcement
4. Conclusions
- (1)
- The construction of a new tunnel induces settlement in the existing tunnel above, and its deformation process can be divided into three stages: the initial stage, the crossing stage, and the departure stage. During the initial stage, the tunnel experiences minor settlement, with the deformation curve generally exhibiting a U-shape. In the crossing stage, the deformation rate accelerates, and the tunnel’s settlement pattern transitions from a U-shape to a W-shape. In the departure stage, the tunnel deformation stabilizes, with settlement changes becoming minimal and symmetrically distributed around the center of the intersection. The maximum settlement recorded is 39.9 mm for the left line and 40.1 mm for the right line.
- (2)
- During the construction process, the maximum settlement of the tunnel continuously increases. The most rapid deformation of the existing tunnel occurs as the new tunnel excavation reaches the intersection position, accounting for 81.7% of the total settlement. Therefore, the primary impact zone of the underpass tunnel can be considered to extend 30 m before and after the intersection. Within this critical range, construction must be strictly controlled to minimize disturbance, and grouting measures should be implemented to prevent excessive deformation.
- (3)
- The proposed UHPG materials demonstrate significant advantages over traditional grouting materials, particularly in shear strength and compressive strength. When applied for local reinforcement beneath the existing tunnels, notable improvements are observed in soil displacement and ground subsidence. Specifically, soil displacements in the left and right lines decrease by 35% and 33.1%, respectively, while ground subsidence is reduced by 13.2% compared to pre-reinforcement levels. This improvement is attributed to the strengthening effect of UHPG on the soil beneath the tunnel structure, which effectively improves stress distributions across the tunnel sections. As a result, stress levels at tunnel intersections are significantly reduced, ensuring that the tunnel segments remain within a safe stress range.
Author Contributions
Funding
Data Availability Statement
Conflicts of Interest
References
- Yelce, T.U.; Balcı, E.; Bezgin, N.O. A discussion on the beam on elastic foundation theory. Chall. J. Struct. Mech. 2023, 9, 34–47. [Google Scholar] [CrossRef]
- Zhang, B.Q.; Liu, H.; Luo, C.S. Analytical model for rail deflection of ballasted railway caused by tunnelling underneath. J. Chin. Railw. Soc. 2023, 45, 105–111. [Google Scholar]
- Dai, C.Q.; Wang, L. Study on the deformation of overlapping tunnel lining based on the elastic foundation beam model. J. Shandong Univ. Sci. Technol. 2012, 31, 39–44. [Google Scholar] [CrossRef]
- Wang, Q.; Geng, P.; Wang, T.; Chen, J.; Wang, Z.; Shen, H. Mathematical modelling for seismic affected zoning of tunnel cavity section under sh wave incidence and shaking table verification. Appl. Math. Model. 2025, 138, 115811. [Google Scholar] [CrossRef]
- Klar, A.; Vorster, T.E.B.; Soga, K.; Mair, R.J. Soil—Pipe interaction due to tunnelling: Comparison between winkler and elastic continuum solutions. Géotechnique 2005, 55, 461–466. [Google Scholar] [CrossRef]
- Klar, A.; Vorster, T.E.B.; Soga, K.; Mair, R.J. Continuum solution of soil-pipe-tunnel interaction including local failure. In Proceedings of the 11th International Conference of IACMAG, Turin, Italy, 19–24 June 2005. [Google Scholar]
- Ding, Z.; Zhang, M.B.; Zhang, X.; Wei, X.J.; Shen, W.M.; Zhou, J.H. Theoretical research on shield tunnels with different diameters crossing existing tunnels in saturated soil areas. J. Cent. South Univ. 2024, 55, 1447–1462. [Google Scholar]
- Zhang, H.Q. Research on the Influence and Control of New Tunnels Underpassing Existing Operational Metro Tunnels. Master’s Thesis, Chongqing Jiaotong University, Chongqing, China, 2023. [Google Scholar]
- Jiang, B.; Chen, L.; Yang, J.S.; Wang, S.; Ng, C.W.W. Effects of twin-tunnel excavation on an existing horseshoe-shaped tunnel considering the influence of a settlement joint. Can. Geotech. J. 2017, 54, 1346–1355. [Google Scholar] [CrossRef]
- Jin, D.L.; Yuan, D.J.; Wei, J.X.; Li, X.G.; Lu, P. Centrifugal model test study on small clear distance tunnel groups underpassing existing operational tunnels. Chin. J. Geotech. Eng. 2018, 40, 1507–1514. [Google Scholar] [CrossRef]
- Ng, C.W.W.; Shi, J.; Hong, Y. Three-dimensional centrifuge modelling of basement excavation effects on an existing tunnel in dry sand. Can. Geotech. J. 2013, 50, 874–888. [Google Scholar] [CrossRef]
- Pan, T.; Ma, K.; Zhang, J.; Feng, J.; Tan, Y. Construction mechanics behavior of double-layer primary support arch cover method. Structures 2023, 57, 105215. [Google Scholar] [CrossRef]
- Feng, J.; Tan, Y.; Ma, K.; Zhang, J.; Pan, T.; Yao, S.; Song, J.; Li, Z. Stability classification and construction method analysis of subway stations in upper-soft and lower-hard strata. Eng. Fail. Anal. 2023, 153, 107550. [Google Scholar] [CrossRef]
- Zhang, Y.F. Study on the Influence of Overlapping Shield Tunnel Construction on Surface Deformation and Lining Structure Mechanical Performance. Master’s Thesis, Changchun Institute of Engineering, Changchun, China, 2022. [Google Scholar]
- He, C.; Su, Z.X.; Zeng, D.Y. Influence of overlapping underpass construction of metro shield tunnels on the above-constructed tunnels. Chin. Civ. Eng. J. 2008, 41, 91–98. [Google Scholar]
- Niu, P.; Zhou, P.; Jin, C.; Shao, Y. Construction mechanical characteristics and monitoring analysis of the existing subway over the newly built long foundation pit. Buildings 2024, 14, 2385. [Google Scholar] [CrossRef]
- Zou, Y.L. Research on the Deformation Characteristics and Control of Shield Tunnels Crossing Existing Tunnels. Master’s Thesis, Harbin Institute of Technology, Harbin, China, 2022. [Google Scholar]
- Wu, F.X. Impact Analysis and Countermeasures of Super-Close Lateral Crossing of Shield Tunnels to Bridge Piles. Master’s Thesis, Wuhan University of Technology, Wuhan, China, 2023. [Google Scholar]
- Xu, G.C.; Li, C.X.; Wang, H.Y.; Zhao, Y.; Hu, P. Impact analysis of metro shield tunnels underpassing the beijing-tianjin intercity high-speed railway. Rock Soil Mech. 2009, 30, 269–272, 276. [Google Scholar] [CrossRef]
- Feng, J.; Tan, Y.; Ma, K.; Zhang, J.; Ma, J.; Liu, J. Mechanisms of slope instability induced by two-hole oversized tunnels with small clearances underneath. Structures 2023, 55, 294–309. [Google Scholar] [CrossRef]
- Feng, J.; Tan, Y.; Zhang, J.; Ma, K.; Dai, Y.; Yao, S. Evolution mechanism of axial force of super-long pipe roof. J. Civ. Struct. Health 2024, 14, 527–544. [Google Scholar] [CrossRef]
- Zhai, L.; Cai, G.; Liang, Y.; Guan, S.; Wang, S.; Liaquat, L. Structural behaviors of large-section mine tunnels undercrossing existing metro lines. Buildings 2023, 13, 1771. [Google Scholar] [CrossRef]
- Jin, D.; Yuan, D.; Li, X.; Zheng, H. An in-tunnel grouting protection method for excavating twin tunnels beneath an existing tunnel. Tunn. Undergr. Space Technol. 2018, 71, 27–35. [Google Scholar] [CrossRef]
- Tang, Z.H. Optimization design of reinforcement range for metro shield tunnels closely underpassing existing railway tunnels—Taking the underpassing of nanning metro line 4 beneath the existing chalu tunnel as an example. Tunn. Constr. 2020, 40, 1185–1191. [Google Scholar]
- Lin, X.T.; Chen, R.P.; Wu, H.N.; Cheng, H.Z. Deformation behaviors of existing tunnels caused by shield tunneling undercrossing with oblique angle. Tunn. Undergr. Space Technol. 2019, 89, 78–90. [Google Scholar] [CrossRef]
- Jiang, X.; Song, H.; Li, K.; Qiang, J.; Tian, J. Experimental investigation on shear strength between ultra-high-performance concrete and normal concrete substrates. Adv. Mater. Sci. Eng. 2023, 2023, 3169912. [Google Scholar] [CrossRef]
- Zhou, P.; Feng, P. Unified analysis for tailorable multi-scale fiber reinforced cementitious composites in tension. Compos. Part B-Eng. 2023, 254, 110586. [Google Scholar] [CrossRef]
- Wu, T.; Gao, Y.; Huang, C.; Jin, A.; Qu, X.; Ji, M.; Zhou, Y.; Li, J. In situ resource reutilization of earth pressure balance (EPB) shield muck for the generation of novel synchronous grouting materials. Constr. Build. Mater. 2024, 421, 135737. [Google Scholar] [CrossRef]
- Li, Z.P.; Wang, K.; Jiang, H.T.; Yang, K. Research on the influence and control measures of long-distance overlapping shield tunnel construction on formed tunnels. Chin. Civ. Eng. J. 2020, 53, 174–179. [Google Scholar] [CrossRef]















| Layer | Category | Thickness (m) | Elastic Modulus (MPa) | Poisson’s Ratio | Density (kg/m3) | Cohesion (kPa) | Friction Angle (°) |
|---|---|---|---|---|---|---|---|
| 1 | Sandy silt | 2.75 | 23.11 | 0.3 | 1790 | 12.3 | 12.2 |
| 2 | Silty-fine sand | 41.28 | 69.47 | 0.28 | 1870 | 2.73 | 32 |
| 3 | Silty clay | 2.91 | 20.45 | 0.34 | 1800 | 18.4 | 15.4 |
| 4 | Sandy mudstone | 13.06 | 8919.98 | 0.22 | 2410 | 255.4 | 36.3 |
| Lining | Concrete | / | 35,000.00 | 0.2 | 2450 | / | / |
| Construction Step | Excavation Distance of New Tunnel (m) | Construction Step | Excavation Distance of New Tunnel (m) |
|---|---|---|---|
| 1 | 10 | 9 | 90 |
| 2 | 20 | 10 | 100 |
| 3 | 30 | 11 | 110 |
| 4 | 40 | 12 | 120 |
| 5 | 50 | 13 | 130 |
| 6 | 60 | 14 | 140 |
| 7 | 70 | 15 | 150 |
| 8 | 80 | 16 | 160 |
| No. | Cement (g) | Silica Fume (g) | Fly Ash (g) | River Sand (g) | Microbeads (g) | Water (g) | Water Reducing Agent (g) | Expansion Agent (g) |
|---|---|---|---|---|---|---|---|---|
| U1 | 863 | 172 | 115 | 1045 | 35 | 284 | 34 | / |
| U2 | 863 | 172 | 115 | 1045 | 35 | 284 | 34 | 10 |
| U3 | 863 | 172 | 115 | 1045 | / | 284 | 34 | / |
Disclaimer/Publisher’s Note: The statements, opinions and data contained in all publications are solely those of the individual author(s) and contributor(s) and not of MDPI and/or the editor(s). MDPI and/or the editor(s) disclaim responsibility for any injury to people or property resulting from any ideas, methods, instructions or products referred to in the content. |
© 2025 by the authors. Licensee MDPI, Basel, Switzerland. This article is an open access article distributed under the terms and conditions of the Creative Commons Attribution (CC BY) license (https://creativecommons.org/licenses/by/4.0/).
Share and Cite
Zhang, J.; Yu, J.; Li, C.; Liu, Y.; Tian, L.; He, Y.; Zhang, Q. Deformation and Reinforcement of the Existing Tunnel Affected by New Shield Tunnel Construction with Small Clearance. Buildings 2025, 15, 265. https://doi.org/10.3390/buildings15020265
Zhang J, Yu J, Li C, Liu Y, Tian L, He Y, Zhang Q. Deformation and Reinforcement of the Existing Tunnel Affected by New Shield Tunnel Construction with Small Clearance. Buildings. 2025; 15(2):265. https://doi.org/10.3390/buildings15020265
Chicago/Turabian StyleZhang, Junchao, Jiacheng Yu, Cunjun Li, Yizhou Liu, Longgang Tian, Yonglin He, and Qi Zhang. 2025. "Deformation and Reinforcement of the Existing Tunnel Affected by New Shield Tunnel Construction with Small Clearance" Buildings 15, no. 2: 265. https://doi.org/10.3390/buildings15020265
APA StyleZhang, J., Yu, J., Li, C., Liu, Y., Tian, L., He, Y., & Zhang, Q. (2025). Deformation and Reinforcement of the Existing Tunnel Affected by New Shield Tunnel Construction with Small Clearance. Buildings, 15(2), 265. https://doi.org/10.3390/buildings15020265

